Experiencias, recursos y otros trabajos
Medida de la constante de Planck con una lámpara de incandescencia y un led como fotodetector
Measurement of the Planck’s constant with an incandescent lamp and an LED as a photodetector
Medida de la constante de Planck con una lámpara de incandescencia y un led como fotodetector
Revista Eureka sobre Enseñanza y Divulgación de las Ciencias, vol. 19, núm. 2, pp. 220301-220310, 2022
Universidad de Cádiz
Recepción: 31 Agosto 2021
Revisado: 28 Noviembre 2021
Aprobación: 23 Diciembre 2021
Resumen: En algunos experimentos para la determinación de la constante de Planck se ha hecho uso de fototransistores o de fotodiodos como dispositivos fotodetectores para medir la radiación emitida por una lámpara de incandescencia. El uso de estos componentes electrónicos obliga al empleo de filtros ópticos para seleccionar una estrecha banda del espectro. En este trabajo se presenta un método para medir la constante de Planck, basado igualmente en el uso de una lámpara de incandescencia, que aprovecha las propiedades fotodetectoras del led, su respuesta lineal y su estrecha banda de sensibilidad, lo que evita el empleo de filtros ópticos.
Palabras clave: Constante de Planck, led, lámpara de incandescencia.
Abstract: In some experiments for the determination of Planck's constant, phototransistors or photodiodes have been used as photodetector devices to measure the radiation emitted by an incandescent lamp. Optical filters to select a narrow band of the spectrum are necessary when using these electronic components. This work presents a method to measure the Planck constant, also based on the use of an incandescent lamp, which takes advantage of the photodetector properties of the LED, its linear response and its narrow sensitivity band, which avoids the use of filters.
Keywords: Planck’s constant, LED, incandescent lamp.
Introducción
Se denomina radiación térmica a la radiación electromagnética emitida por un cuerpo debido a su temperatura T > 0 K. La radiación térmica, junto con la conducción y la convección, constituyen las formas básicas de propagación del calor, pero a diferencia de estas dos últimas, la radiación no necesita un medio material para su propagación, pudiéndose propagar en el vacío en todas las direcciones a la velocidad de la luz. Experimentalmente se observa que la energía asociada a la radiación emitida por un cuerpo es tanto mayor cuanto mayor es su temperatura. En el estudio de la radiación térmica juega un papel importante el concepto de cuerpo negro, el cual se define como un cuerpo ideal que absorbe toda la radiación que le llega, de modo que nada de dicha radiación se refleja o se transmite. Este concepto fue introducido por el físico alemán Gustav Kirchhoff en 1862 con objeto de estudiar la radiación térmica emitida por un cuerpo. En particular, Kirchhoff enunció una ley, conocida hoy día como ley de Kirchhoff de la radiación, que establece que un cuerpo en equilibrio térmico con su entorno emite la misma radiación que la que absorbe. Quiere ello decir que el cuerpo negro es también el emisor ideal de radiación térmica. Los cuerpos reales no se comportan como cuerpos negros. La relación entre la energía emitida por un cuerpo real y la que emitiría dicho cuerpo si se considerase como un cuerpo negro a la misma temperatura, se llama emisividad, ε.
La cantidad de energía que emite un cuerpo por unidad de tiempo y superficie es proporcional a la cuarta potencia de la temperatura absoluta. Esta dependencia se conoce como ley de Stefan-Boltzmann. La distribución de esta energía en el espectro electromagnético no es la misma a diferentes temperaturas. Cuando la temperatura es baja, la mayor parte de la radiación se concentra en longitudes de onda largas, pero a medida que aumenta la temperatura, la máxima emisión se desplaza hacia longitudes de onda más cortas. La ecuación de la curva que muestra esta distribución de radiación en el espectro electromagnético fue propuesta por Max Planck (1900), y explicada bajo la hipótesis de que la materia está constituida por osciladores elementales que emiten y absorben radiación en forma de pequeños “paquetes” denominados cuantos. En realidad, el espíritu conservador de Planck solo admitió inicialmente la discontinuidad cuántica de los osciladores (Boya 2004) pero no de la radiación, cuya discontinuidad fue propuesta por Einstein en su artículo de 1905 sobre la interpretación del efecto fotoeléctrico (Stachel 2001). De este modo se introducía la cuantización del campo electromagnético; para estos cuantos Lewis (1926) propuso el nombre de fotones. La energía de estos cuantos es proporcional a la frecuencia de la radiación. La constante de proporcionalidad, h, que relaciona esas dos magnitudes, se denomina constante de Planck. La constante de Planck es una de las constantes fundamentales de la naturaleza y la base para la definición del kilogramo en el actual SI de unidades (Martín Delgado 2020).
En este artículo se propone un sencillo experimento para obtener la constante de Planck utilizando una lámpara de incandescencia y un led como dispositivo fotodetector.
Fundamento teórico
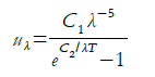
La energía radiada por un cuerpo a una temperatura T se distribuye entre las distintas regiones del espectro electromagnético según la ecuación propuesta por Planck
(1)en la que uλ representa la energía por unidad de tiempo, superficie y longitud de onda, λ, mientras que C1 y C2 se denominan, respectivamente, primera y segunda constante de la radiación y vienen dadas por:
(2)donde c es la velocidad de luz en el vacío, k es la constante de Boltzmann y h la constante de Planck.
La figura 1 muestra la radiación de un cuerpo negro en función de la longitud de onda, para diferentes temperaturas. A medida que aumenta la temperatura del cuerpo se observa, no solo que aumenta la energía emitida, sino que la longitud de onda máxima se desplaza hacia longitudes de onda menores. Así, un cuerpo que se encuentre, por ejemplo, a 500 K no es visible en la oscuridad, ya que su emisión se concentra en la región infrarroja. En torno a una temperatura de 750 K comienza a mostrar una coloración rojiza. A una temperatura cercana a 2800 K, como es el caso de una típica bombilla de incandescencia de 60 W, la coloración es amarillenta. A temperaturas del orden de 5000 K la luz emitida por el cuerpo tiende al blanco.

Considérese el filamento de wolframio de una lámpara de incandescencia por el que circula una intensidad eléctrica, I, al aplicarle una diferencia de potencial, V. Si la intensidad eléctrica es baja, el filamento se calienta moderadamente y disipa la energía por conducción, convección y radiación. Al aumentar la intensidad, se eleva la temperatura y, para un valor de esta suficientemente alta, pueden considerarse despreciables las pérdidas de energía por conducción y convección frente a las producidas por radiación.
La resistencia R del wolframio aumenta con la temperatura, T. De los distintos tipos de ajustes empíricos que proporcionan la dependencia entre ambas magnitudes, se utilizará aquí un ajuste potencial (Prasad y Mascarenhas 1978, Zanetti 1985):
(3)Obtenida la resistencia del filamento, R0, a temperatura ambiente, T0, la expresión anterior permite escribir:
(4)de donde se puede determinar, con buena aproximación, la temperatura, T, del filamento, conocida su resistencia, R, en cada momento.
Para longitudes de onda suficientemente pequeñas, es decir, en regiones situadas a la izquierda de los máximos de emisión observados en la figura 1, se puede considerar que >> 1, por lo que la expresión (1) queda:
(5)Si se utiliza un fotodetector capaz de responder en una banda suficientemente estrecha del espectro visible, en torno a una longitud de onda λ0 (figura 2), de modo que su respuesta, Vλ0 sea proporcional a uλ0, la expresión (5) se convierte en:
(6)donde Cλ0es una nueva constante. Aplicando logaritmos naturales a la expresión (6), se tiene:
(7)


De esta forma, si se va modificando la intensidad de la corriente que circula por el filamento y se determinan los correspondientes valores de la temperatura, T, a la vez que se miden las respuestas del fotodetector, pueden representarse gráficamente (figura 3) los valores de ln Vλ0 frente a 1/T, lo que proporciona una recta de pendiente -C2/λ0 . Haciendo uso de la relación (2), y conocidos el valor de la velocidad de la luz en el vacío, c, y de la constante de Boltzmann, k, puede obtenerse el valor de la constante de Planck, h.
Fotodetectores
El uso de un fototransistor con un filtro de celofán coloreado se ha utilizado por Crandall y Delort (1983), Brizuela y Juan (1996) y Usman et al. (2009). Los filtros de este tipo pueden seleccionar una banda del espectro visible, pero transmiten intensamente en el infrarrojo, precisamente en la región donde las lámparas de incandescencia tienen su máxima emisión. La suposición de que el filtro deja pasar una banda centrada en λ0 cuando, en realidad, permite también el paso de radiaciones de mayor longitud de onda, puede ser la causa de los bajos valores para la constante de Planck que obtienen estos autores. Este comportamiento de los filtros comunes ya fue puesto de manifiesto por Dryzek y Ruebenbauer (1992), quienes evitaban el problema utilizando fotocélulas con gas, más sensibles que las fotocélulas de vacío, que requerían el uso de amplificadores.
En el problema experimental de la IPhO (2005) se conseguía eliminar la radiación infrarroja de una lámpara de incandescencia de 12 V, utilizando una disolución que contenía sulfato de cobre (II) y el colorante Anaranjado II. La disolución de sulfato de cobre (II) absorbe intensamente la radiación infrarroja y con el colorante se conseguía seleccionar una banda del espectro visible con un máximo en 590 nm, aproximadamente. En este problema, el fotodetector era una fotorresistencia, que no tiene una respuesta lineal, por lo que era necesario tener en cuenta la dependencia entre iluminación y resistencia. Si se utiliza una bombilla de 60 W y se sustituye la fotorresistencia por un fotodiodo montado en tensión inversa, cuya respuesta es bastante lineal, se obtienen resultados que se acercan más al valor real de la constante de Planck.
En la última década del siglo xx se propuso la utilización de ledes en fotometría atmosférica (Acharya et al. 1995). Una de las características de estos componentes es que funcionan como fotodetectores selectivos, para bandas del espectro más estrechas que los fotodiodos o los fototransistores. Acharya (2004) puso de manifiesto que el espectro de emisión y la respuesta espectral de un led no son iguales. El centro de la respuesta espectral de un led como fotodetector está desplazado hacia longitudes de onda más cortas que el centro de su espectro de emisión, con un ancho de banda mayor que el de emisión.
Por otra parte, el led que actúa como fotodetector tiene una buena respuesta lineal frente a la iluminación. Para determinar experimentalmente este comportamiento, una fuente de luz cuasipuntual (led blanco de alta luminosidad encerrado en una cápsula opaca con un orificio de 0,4 mm de diámetro, aproximadamente) ilumina el led fotodetector, que es un led verde de 3 mm con encapsulado transparente, de fabricante desconocido (figura 4). La diferencia de potencial, V, medida entre los terminales del led, para distancias de separación, d, entre ambos elementos, comprendidas entre 8,0 cm y 30,0 cm, conduce a la relación V ∝ d-2,03. Si de este resultado se infiere que la diferencia de potencial es inversamente proporcional al cuadrado de la distancia, igual que la ley que cumple la iluminación, puede concluirse que diferencia de potencial e iluminación son directamente proporcionales. Esta relación justifica el paso de la ecuación (5) a la ecuación (6).

El uso de este led como fotodetector para determinar la constante de Planck, a partir de la energía emitida por una lámpara incandescente, hace innecesario el uso de filtros y simplifica el circuito fotodetector. El máximo de emisión de los ledes de este color se encuentra en torno a 525 nm. La determinación de la respuesta de este led en el espectro visible se ha realizado utilizando un dispositivo cuyo fundamento se muestra en la figura 5. El led verde se ilumina con los sucesivos colores producidos por la descomposición de un haz de luz blanca colimada que incide perpendicularmente en una red de difracción de 500 líneas por milímetro, y se miden con un voltímetro las correspondientes diferencias de potencial entre los terminales del led. En la figura 6 se muestra el resultado, con un máximo en torno a 440 nm y un ancho de banda de 75 nm, aproximadamente. El resultado obtenido con un espectrofotómetro tan sencillo es suficiente para el propósito de este experimento.


Es posible que la respuesta de ledes verdes de otros fabricantes sea parecida a la del que se utiliza aquí. No obstante, la obtención del valor de λ0 para un led concreto puede conseguirse construyendo un espectrofotómetro básico.
Se podría plantear el uso de ledes de otros colores como fotodetectores. La utilización de un led verde en este experimento se basa en el hecho de que la expresión (5) es válida para longitudes de onda, situadas a la izquierda de los máximos de emisión (figura 1), que están en la región del infrarrojo. El valor de λ0 más bajo lo proporcionaría un led azul, situado en una zona próxima al extremo de menor longitud de onda del espectro visible, precisamente donde la emisión de la lámpara de incandescencia es más baja, por lo que se descarta su uso. Para un led rojo, cuya emisión se encuentra en 640 nm, aproximadamente, se ha medido la respuesta máxima en λ0 ≈ 585 nm. Como la respuesta está por debajo de los máximos de emisión de la bombilla, podría utilizarse, aunque se ha optado por el led verde, con λ0 más baja.
Procedimiento
El material utilizado para este experimento es:
- Autotransformador variable.
- Estructura con lámpara de incandescencia de 60 W y soporte con led verde de 3 mm. En caso de tener dificultades para conseguir una lámpara de incandescencia convencional puede modificarse el diseño para utilizar una lámpara halógena.
- Tres multímetros con sondas.
- Termómetro.
- Cables de conexión.
El esquema del circuito eléctrico se muestra en la figura 7, y el montaje real, junto con un detalle sobre la disposición de la lámpara y el fotodetector, en la figura 8.

Determinación de la constante de Planck
Inicialmente, en uno de los multímetros se selecciona el óhmetro, se mide la resistencia de la bombilla Ro, y a continuación, con el termómetro, la temperatura ambiente, que en escala absoluta es To.
El experimento ha de hacerse en un lugar oscuro o con iluminación muy débil, para evitar que el fotodetector se vea afectado por luces diferentes a la de la lámpara, ya que todo el dispositivo permanece al descubierto. El led se ha situado a una distancia de 4,5 cm de la ampolla de la bombilla (no conviene que esta distancia sea menor de 4 cm, para evitar el calentamiento del led). En el circuito del led, el voltímetro, V’ se sitúa en la escala de 2 V de corriente continua. Los valores proporcionados por este voltímetro se tomarán como medida de la respuesta Vλ0. En el circuito de la lámpara se ajusta el voltímetro V en la escala de 700 V y el amperímetro A en la escala de 20 A; en ambos casos, de corriente alterna. La escala de intensidad puede parecer excesiva, teniendo en cuenta que las intensidades siempre serán inferiores a 1 A, pero en los multímetros más comunes la siguiente escala posible es de 200 mA, que resulta insuficiente.
Esa circunstancia que se da con el amperímetro supone que solo se cuenta con dos cifras significativas en la medida de la intensidad. Por esto, para la toma de datos, se gira muy lentamente el mando del autotransformador, partiendo de la posición cero, hasta el momento en que –por ejemplo- el amperímetro comienza a señalar 0,17 A, se espera aproximadamente un minuto para que la temperatura del filamento se estabilice (se trata de que las medidas de los dos voltímetros y del amperímetro se mantengan constantes) y se toma la medida de los voltímetros V y V’. Los primeros valores de la medida del fotodetector pueden ser demasiado bajos, por lo que la intensidad eléctrica de inicio hay que condicionarla a esta situación.
Tomado el primer conjunto de medidas, se sigue girando lentamente el mando del autotransformador hasta que el amperímetro comience a marcar el siguiente valor, que en nuestro caso vale 0,18 A. Se espera nuevamente hasta la estabilización, se toman medidas de los dos amperímetros, y se continúa el proceso hasta que el voltímetro de la bombilla no supere 220 V.

En nuestro caso, la temperatura ambiente era de 22 ºC (To = 295 K), la resistencia de la lámpara a esa temperatura, Ro = 63,0 Ω y la longitud de onda de máxima respuesta del led, λ0 = 440 nm.
De acuerdo con la expresión (7) se opera para representar ln Vλ0 (es decir, ln V') frente a 1/T. Los resultados se muestran en la tabla 1.

La representación gráfica, que se muestra en la figura 9, corresponde a una recta, cuya ecuación es

donde:
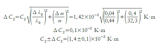
m ± Δm = (-32,3 ± 0,4) × 103 K
b ± Δb = 11,8 ± 0,2



De acuerdo con la ecuación (7), a partir del valor de C2 y tomando los valores c=2,998 × 108 m·s-1 y k = 1,381× 10-23 J·K-1, se obtiene:

Admitiendo que c y k están libres de error, se tiene:

El valor oficial de la constante de Planck (NIST 2019) es h = 6,62607015 × 10-34 J·s.
Conclusiones
En este trabajo se ha mostrado un experimento destinado a la determinación de la constante de Planck a partir de la radiación emitida por una lámpara incandescente con filamento de wolframio, midiendo su emisión en un estrecho rango del espectro visible, utilizando para ello un led verde como fotodetector, sin más elementos accesorios.
El actual montaje simplifica otros que han sido propuestos anteriormente, basados en el uso de fotodetectores que requieren el uso de filtros, y mejora los resultados obtenidos en esos experimentos.
Referencias
Acharya Y., Jayaraman A., Ramachandran S., Subbaraya H. (1995) Compact light-emitting-diode sun photometer for atmospheric optical depth measurements. Applied Optics 34 (7), 1209-1214.
Acharya Y. (2004) Spectral and emission characteristics of LED and its application to LED-based sun-photometry. Optical & Laser Technology 37, 547-550.
Boya L. (2004) The Thermal Radiation Formula of Planck (1900), arXiv:physics/0402064. p. 64.
Brizuela G., Juan A. (1996) Planck’s constant determination using light bulb. American Journal of Physics 64, 819-821.
Crandall R., Delord J. (1983) Minimal apparatus for determination of Planck’s constant. American Journal of Physics 51, 90-91.
IPhO (2005) Planck’s constant in the light of an incandescent lamp. Problema experimental en la XXXVI Olimpiada Internacional de Física, 2005 Salamanca (España) https://www.ipho-new.org/documentations/
Dryzek J., Ruebenbauer K. (1992) Planck’s constant determination from black-body radiation. American Journal of Physics 60, 251-253.
Lewis G. (1926) The Conservation of Photons. Nature 118, 2981, 874-875.
Martín-Delgado M A. (2020) The new SI and the fundamental constants of nature. European Journal of Physics 41, 063003 (31 pp).
NIST (2019) Special Publication 330 The International System of Units (SI). David B. Newell and Eite Tiesinga, editors.
Planck M. (1900) Über eine Verbesserung der Wienschen Spektralgleichung. Verhandlungen der Deutschen Physikalischen Gesellschaft. 2, 202–204. Traducido al inglés en Haar, D. (1967) On an Improvement of Wien’s Equation for the Spectrum, The Old Quantum Theory. Oxford: Pergamon Press. pp. 79–81.
Prasad B. S. N., Mascarenhas R. (1978) A laboratory experiment on the application of Stefan’s law to tungsten filament electric lamps. American Journal of Physics 46 (4), 420-423.
Stachel J. (2001) Einstein 1905: un año milagroso, Barcelona: Crítica. p. 162.
Usman A., Dogari J., Enuwa M., Sambo I. (2009) A tutorial for laboratory determination of Planck's constant from the Planck radiation law. Latin-American Journal of Physics Education 3(2), 246-252.
Zanetti V. (1984) Sun and lamps. American Journal of Physics 52 (12), 1127-1130.
Información adicional
Para citar este artículo:: del Mazo Vivar, A. y Velasco, S. (2022) Medida de la constante de Planck con una lámpara de incandescencia y un led como fotodetector. Revista Eureka sobre Enseñanza y Divulgación de las Ciencias 19(2), 2203. doi:10.25267/Rev_Eureka_ensen_divulg_cienc.2022.v19.i2.2203