Experiencias, recursos y otros trabajos
Determinación de la longitud de onda de las microondas de un horno a través de sus fugas de radiación
Calculation of the wavelength of the radiation leaks from a microwave oven
Determinación de la longitud de onda de las microondas de un horno a través de sus fugas de radiación
Revista Eureka sobre Enseñanza y Divulgación de las Ciencias, vol. 20, núm. 1, pp. 120101-120107, 2023
Universidad de Cádiz
Recepción: 26 Octubre 2021
Revisado: 09 Septiembre 2022
Aprobación: 19 Septiembre 2022
Resumen: Los hornos de microondas producen radiación electromagnética de 2450 MHz. Estos electrodomésticos se blindan para evitar fugas de radiación, aunque una pequeña parte de esta pasa al exterior. Con un diodo Schottky, un multímetro y una pantalla metálica se puede comprobar experimentalmente la naturaleza ondulatoria de esa radiación y medir su longitud de onda.
Palabras clave: Horno de microondas, ondas estacionarias, diodo Schottky, dipolo.
Abstract: Microwave ovens produce 2450 MHz electromagnetic radiation. These appliances are shielded to prevent radiation leaks, although a small part goes outside. With a Schottky diode, a multimeter and a metal screen, the wave nature of this radiation can be experimentally verified and its wavelength measured.
Keywords: Microwave oven, standing waves, Schottky diode, dipole.
Introducción
La naturaleza ondulatoria de las perturbaciones eléctricas descubiertas por Heinrich Hertz (1893, 1989) quedó probada por él mismo durante la Navidad de 1887. Para ello, utilizó el Aula Magna de la Universidad de Karlsruhe, en la que situó una pantalla reflectora de cinc, de 2 m de ancho y 4 m de alto. Manteniendo un oscilador eléctrico a unos cuantos metros de la pantalla y desplazando el resonador (nombre que daba al dispositivo detector) entre la pantalla y el oscilador, probó la formación de ondas estacionarias, lo que le permitió determinar su longitud de onda.
No obstante, los resultados no fueron lo suficientemente precisos, ya que el aula tenía columnas de hierro y conducciones de gas que provocaban perturbaciones. Los experimentos fueron repetidos en mejores condiciones, entre 1891 y 1892, por Edouard Sarrasin y Lucien de la Rive (Brenni 2013), en el gran vestíbulo de la fábrica de electricidad de Ginebra, donde instalaron una pantalla reflectora de 16 m de ancho y 8 m de altura, construida con placas de cinc. Utilizando un oscilador y resonadores semejantes a los de Hertz, mejoraron los resultados de este en la medida de la longitud de onda.
Norihiro Sugimoto (2011) ha descrito un experimento bastante sencillo para detectar ondas estacionarias en las pequeñas fugas de radiación que presentan los hornos de microondas. Para ello utiliza como detector un diodo y un amplificador para hacer funcionar un amperímetro.
El experimento que se presenta aquí, aprovecha esas fugas de microondas para realizar una determinación cuantitativa de la longitud de onda de esta radiación y, con ella, de su velocidad de propagación. Nuestro experimento simplifica el sistema de detección de Sugimoto, ya que consta únicamente de un diodo conectado directamente a un voltímetro.
Fundamento teórico
Las radiaciones del espectro electromagnético con frecuencias comprendidas entre 300 MHz y 300 GHz forman una región que se conoce como microondas. Los hornos de microondas constituyen una de las múltiples aplicaciones de esta radiación. Utilizan una frecuencia de 2450 MHz y, a pesar de contar con blindaje, presentan pequeñas fugas de radiación (Abdul-Razzaq, Bushey y Winn 2011) que pueden utilizarse para experimentar en esta región del espectro.
Cuando un movimiento ondulatorio interfiere con otro de igual amplitud y frecuencia, pero que se propaga en sentido contrario se produce una onda estacionaria. En una onda de este tipo aparecen unas zonas de máxima amplitud, que se denominan vientres y otras zonas de amplitud nula, llamadas nodos. La distancia, d, entre dos nodos o vientres consecutivos es la semilongitud de onda, /2 (figura 1).

El producto de la longitud de onda, y la frecuencia, ν, de un movimiento ondulatorio es su velocidad de propagación, c,
(1)o, bien:
(2)Para ondas electromagnéticas, c representa su velocidad de propagación en el medio en el que se propagan (en el caso del aire, esta velocidad de propagación es prácticamente igual a la del vacío).
Procedimiento experimental
El equipo requerido para el experimento consta de los siguientes elementos:
- Horno de microondas
- Pantalla de aluminio, que en nuestro caso es de 37 cm de anchura, 45 cm de altura y 0,1 cm de espesor, con un soporte para facilitar el desplazamiento (figura 2)
- Cartulina
- Regla de 50 cm
- Multímetro
- Antena de microondas (figura 3): Se construye con un diodo Schottky para detección de UHF y VHF. En este experimento se ha utilizado el diodo 1N5711. A ambos lados del encapsulado del diodo se han soldado los conductores de un cable apantallado, con lo que el diodo se comporta como una antena dipolo. El otro extremo del cable acaba en un conector macho dipolar que se inserta en las tomas del multímetro, usado como voltímetro. El cable está montado en un sistema de tubos de PVC que permite situar el dipolo en posición horizontal o vertical. La radiación que sale del horno no está polarizada, por lo que no hay una dirección preferente para la orientación del dipolo. En consecuencia, el dipolo puede encontrarse en cualquier dirección de un plano perpendicular a la dirección de propagación de las ondas.


El montaje (figura 4) se realiza sobre una mesa o superficie de trabajo que tenga pocas partes metálicas y, en este caso, con el dipolo en dirección vertical. El horno se selecciona para la máxima potencia. Para evitar que se dañe, antes de ponerlo en funcionamiento se introduce un recipiente con agua, que conviene sustituir por agua fría después de cada experimento. La antena dipolo –conectada al voltímetro, en la escala de 200 mV de corriente continua– se sitúa frente a la puerta del horno a una distancia tal que, con el horno en funcionamiento, el voltímetro no marque valores que superen 15 o 20 mV. En nuestro caso, se ha elegido una distancia de 1,50 m de la puerta del horno. La pantalla de aluminio se coloca inicialmente cerca del dipolo, donde el voltímetro da una medida baja (si la pantalla estuviera junto al dipolo, nos encontraríamos ante el primer nodo, m = 0). Posteriormente, la pantalla se va alejando lentamente del dipolo, con lo que la medida del voltímetro sube, pero vuelve a bajar hasta llegar a una nueva posición en la que la medida del voltímetro es prácticamente nula, que se corresponde con un nuevo nodo (m = 1). Sobre la cartulina se marca esta posición. Alejando la pantalla se llega hasta el siguiente nodo (m = 2), es decir, a una posición en la que la lectura del voltímetro vuelve a ser prácticamente nula, y que se marca nuevamente. El proceso se repite hasta localizar un número suficiente de nodos (figura 5). Es importante tener presente que los rúteres wifi emiten en la banda de 2,4 GHz, que es en la que lo hacen los hornos de microondas, por lo que la proximidad de un rúter al lugar en el que se realiza el experimento puede provocar medidas del voltímetro sensiblemente superiores a cero en los nodos.


El experimento puede realizarse con el dipolo en posición horizontal, aunque las localizaciones de los nodos son menos nítidas que con el dipolo vertical. Esto puede deberse a que el dipolo detecta la oscilación del campo eléctrico orientado en su misma dirección y, cuando el dipolo está horizontal recibe, no solo la radiación directa del horno, sino –posiblemente– , radiación reflejada en la mesa.
En nuestro experimento, los nodos localizados y marcados sobre la escala métrica se muestran en la figura 6. La posición de cada nodo, xm, medida desde el origen de la escala, se muestra en la tabla 1.


La representación gráfica de los valores de xm frente a los de m será una línea recta, cuya pendiente es el valor de la semilongitud de onda, d.

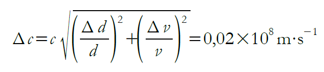
De la representación gráfica mostrada en la figura 7, se obtiene que d ± Δd = (6,13 0,02) cm. Esto supone que la longitud de onda, , de la radiación es:

En el horno se indica que la frecuencia es de 2450 MHz, por lo que la velocidad de propagación, según la ec. (2) es:

Determinada la incertidumbre de la semilongitud de onda, y aceptando que el ancho de banda del magnetrón es Δv = ± 10 MHz (Vollmer 2004), se tiene:

por lo que el resultado obtenido es:

Método alternativo
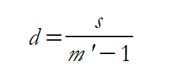
Existe una vía más rápida, aunque menos rigurosa, para la determinación de la semilongitud de onda. En la figura 5 puede observarse que, una vez marcada la situación de un cierto número de nodos, m, el cociente entre la distancia, s, desde el nodo m = 1 al último nodo, m’, y el número de intervalos, m’ - 1, proporciona el valor de la semilongitud de onda, d,
(3)En nuestro experimento se han localizado ocho nodos. El nodo m = 1 se encuentra a 6,2 cm del origen de la escala y el nodo m’ = 8 está a 49,2 cm.
De la expresión (3) se tiene:

Conclusiones
Existen numerosas páginas web y vídeos en Internet que proponen la medida de la longitud de onda de la radiación producida por hornos de microondas y la posterior determinación de la velocidad de propagación de esas ondas. Por lo general, se sugiere introducir en el interior del horno sustancias fácilmente fusibles, como lonchas de queso o tabletas de chocolate. En la cavidad del horno se producen ondas estacionarias en las que los “puntos fríos” se corresponden con los nodos y los “puntos calientes”, con los vientres. Las zonas en las que la sustancia se funde identifican estos últimos puntos y, en ocasiones, se admite erróneamente que la distancia entre dos de estas zonas consecutivas fundidas es la medida de la semilongitud de onda.
En ondas estacionarias unidimensionales, las posiciones de máxima o de mínima amplitud se corresponden, respectivamente, con los vientres o los nodos, y la distancia entre dos posiciones consecutivas de unos u otros, da la medida de la semilongitud de onda. Sin embargo, el interior de un horno de microondas es una cavidad resonante tridimensional en la que la estructura de las ondas estacionarias es compleja, por lo que la distancia entre “puntos calientes” consecutivos no se corresponde, necesariamente, con el valor de la semilongitud de onda (SteynRoss y Riddell 1990; Vollmer 2004; Kamol, Limsuwan y Onreabroy 2010). Para la visualización de los puntos calientes en el interior del horno, SteynRoss y Riddell, así como Vollmer, utilizan papel empapado con una disolución de cloruro de cobalto (II) hexahidrato. Esta sal, de color rosa, pierde agua por acción del calor y se convierte en sal anhidra, que es de color azul. Hojas de papel empapadas en esta sal pueden situarse en distintas posiciones y orientaciones dentro del horno. El patrón de zonas de color azul sobre fondo de color rosa permite conocer la disposición tridimensional de esos puntos calientes.
Al trabajar con las fugas de radiación del horno de microondas, con el dipolo situado a una distancia suficientemente alejada de la puerta del horno y con la pantalla reflectora paralela a la misma, el dipolo recibe las ondas, prácticamente, de una sola dirección. En estas condiciones, el patrón de nodos y vientres corresponde al de ondas estacionarias unidimensionales, cuyo estudio teórico es sencillo. Además, se cuenta con la ventaja de poder crear un gran número de nodos, con posiciones bastante nítidas, lo que conduce a una reducción significativa en la incertidumbre del valor de la semilongitud de onda.
Por otra parte, el dispositivo detector es simple, sensible y económico. Puesto que la semilongitud de onda obtenida, λ/2, es de 6,1 cm y la longitud del diodo, L, que se usa como dipolo es de 6,0 cm, se cumple que L ≈ λ/2. Esta condición hace del diodo un elemento adecuado para actuar como antena de media onda.
Las características del experimento hacen posible que este se pueda realizar de forma relativamente rápida, por ejemplo, en una clase de física de bachillerato. El experimento puede ser útil para que el alumnado comprenda los vínculos entre el movimiento ondulatorio, la óptica y el electromagnetismo. Una vez montado el dispositivo, no se necesitan más de dos minutos para poner el horno en marcha, desplazar lentamente la pantalla reflectora sobre la cartulina y hacer sobre ella las marcas correspondientes a los nodos, cuando el voltímetro señala mínimos de potencial. Una evaluación visual rápida ya pone de manifiesto un espaciado bastante constante entre las marcas realizadas, y la medida de la distancia entre un cierto número de ellas basta para obtener un valor muy aceptable de la semilongitud de onda. Con este resultado y la frecuencia del magnetrón del horno, información que siempre incluye el fabricante, se obtiene el valor de la velocidad de propagación de las ondas. Esta velocidad es semejante a la de propagación de la luz, lo que confirma la pertenencia de esta radiación al conjunto de las ondas electromagnéticas.
Las personas interesadas pueden ver el experimento propuesto en el vídeo I. Experiments with radiation leaks from microwave ovens. Standing waves (http://youtu.be/mYyqhnzaYAc). Los autores resaltan la necesidad de utilizar diodos Schottky como el que se emplea en este experimento. Otros diodos no destinados expresamente a la detección de UHF y VHF son ineficaces para este propósito.
Referencias
Abdul-Razzaq W., Bushey R., Winn G. (2011) Leakage of microwave ovens, Physics Education 46 (4), 417-420.
Brenni P. (2013) Etincelles et ondes. Les expériences de E. Sarrasin et L. de la Rive sur les ondes électromagnétiques. Archives des Sciences (Genève) 66, 201-210.
Hertz H. (1893) Electric waves: being researches on the propagation of electric action with finite velocity through space. London, McMillan and Co. https://archive.org/details/electricwavesbe00jonegoog/mode/2up
Hertz H. (1989) Las ondas electromagnéticas. Selección de M. García Doncel y X. Roqué. Barcelona. Universitat Autònoma de Barcelona.
Kamol S., Limsuwan P., Onreabroy W. (2010) Three-dimensional standing waves in a microwave oven, American Journal of Physics 78 (5), 492-495.
SteynRoss A., Riddell A. (1990) Standing waves in a microwave oven, The Physics Teacher 28, 474-476.
Sugimoto N. (2011) Looking for radio waves with a simple radio wave detector, The Physics Teacher 49 (8), 514-515.
Vollmer M. (2004) Physics of the microwave oven, Physics Education 39 (1), 74-81.
Información adicional
Para citar este artículo: del Mazo, A. y Velasco, S. (2023) Determinación de la longitud de onda de las microondas de un horno a través de sus fugas de radiación. Revista Eureka sobre Enseñanza y Divulgación de las Ciencias 20(1), 1201. doi: 10.25267/Rev_Eureka_ensen_divulg_cienc.2023.v20.i1.1201