Ciencia recreativa
Más allá de las redes: Cinética química con un dispositivo de telefonía móvil y elementos de uso familiar
Beyond social media: Chemical kinetics with a mobile phone and household elements
Más allá de las redes: Cinética química con un dispositivo de telefonía móvil y elementos de uso familiar
Revista Eureka sobre Enseñanza y Divulgación de las Ciencias, vol. 22, núm. 3, pp. 340101-340112, 2025
Universidad de Cádiz
Recepción: 28 Marzo 2025
Revisado: 07 Julio 2025
Aprobación: 18 Julio 2025
Resumen: En este trabajo se reporta el uso de dispositivos de telefonía móvil y aplicaciones de libre acceso como herramientas de medición para determinar el orden de reacción del proceso de decoloración de un colorante alimentario azul, empleando una solución diluida de hipoclorito de sodio comercial. La experiencia, implementada en el segundo semestre del ciclo lectivo 2024, fue validada con los datos experimentales recolectados por un grupo de 30 estudiantes del segundo año de la carrera de Ingeniería Química. Este procedimiento efectivo, de bajo costo y medioambientalmente amigable permite colectar en forma sencilla un gran número de datos que facilitan la discusión y el análisis estadístico posterior. Más aún, permite introducir de forma sencilla y accesible conceptos generales de cinética química como alternativa válida a las experiencias clásicas.
Palabras clave: Dispositivos de telefonía móvil, Colorante azul, Hipoclorito de sodio, Cinética.
Abstract: This paper reports the use of mobile phones and freely available apps as tools for determining the kinetic order of reaction between a blue food coloring using a diluted solution of commercial sodium hypochlorite. The activity, implemented in the second semester of the 2024 academic year, was validated with the experimental data collected by a group of 30 second-year students of the Chemical Engineering degree. This effective, low-cost and environmentally friendly procedure allows to collect a large amount of data in a simple way by favoring discussion and subsequent statistical analysis. Moreover, it enables the introduction of chemical kinetics in a simple and accessible way, as a valid alternative choice to classical tests.
Keywords: Mobile phones, Blue coloring, Sodium hypochlorite, Kinetics.
Introducción
Para quienes la enseñanza de la química constituye no solo el motivo de su sustento sino también una fuente de superación e inspiración, los cambios tecnológicos y sociales experimentados en las últimas tres décadas introdujeron tanto retos como nuevas oportunidades de aprendizaje. En efecto, muchos docentes de química resignifican sus prácticas educativas intentando adaptar las técnicas y procedimientos convencionales a las nuevas herramientas tecnológicas y a una población estudiantil que los desafía con actitudes y comportamientos novedosos e inéditos (Chávez-Martínez y Salazar-Jiménez, 2024; Romero-Ariza, 2017; Martínez et al., 2013; Gil et al., 2015).
En los últimos años, la literatura reporta numerosos trabajos en los que se discute el uso de dispositivos de telefonía móvil como herramientas pedagógicas, dada su popularidad y disponibilidad por parte de los estudiantes (Fojtik, 2017; Calderón-Garrido et al., 2022; Keengwe et al., 2014). Desde la perspectiva de la enseñanza de la química, los dispositivos móviles han demostrado ser una herramienta de trabajo eficaz, empleándose como indicadores del punto final de titulación de reacciones ácido/base (Rathold et al., 2019); para determinar la dureza de muestras acuosas (Larkin et al., 2024); o para analizar la presencia y concentración de acetaminofén en muestras comerciales de medicamentos de venta libre (James y Honeychurch, 2024). En todos estos trabajos se resalta la versatilidad y sencillez de las estrategias abordadas mediante el uso de estos dispositivos, que además favorecen el entendimiento de los conceptos que desean enseñarse por parte de los estudiantes.
En este trabajo se presenta el uso de dispositivos de telefonía móvil y de una aplicación de libre acceso que permite registrar parámetros de color (Carolina® RGB Colorimeter, accesible a través de la tienda digital de Google® para ambos sistemas operativos, Android® e iOS®) para determinar el comportamiento cinético de la reacción de decoloración de un colorante alimentario azul empleando una solución diluida de hipoclorito de sodio comercial. La experiencia, que no presenta complicaciones experimentales, permite la adquisición de un gran conjunto de datos en forma simple y sencilla, lo que favorece su análisis posterior y la comprensión de los conceptos teóricos involucrados por parte de los estudiantes. La actividad se validó con los datos experimentales colectados por 30 estudiantes del segundo año de la carrera de Ingeniería Química de nuestra universidad y los resultados obtenidos se certificaron estadísticamente. Comparada con otras alternativas tradicionales (Snehalatha et al., 1997; Burguess y Davidson, 2014; Steffel, 1990), la propuesta acorta el tiempo de trabajo, simplificando su implementación y favoreciendo el registro de un mayor número de datos experimentales. Por otra parte, los reactivos empleados son fácilmente accesibles y los residuos generados (soluciones diluidas de hipoclorito de sodio comercial) tienen un moderado impacto ambiental, lo que la transforma en una propuesta medioambientalmente amigable y respetuosa con los principios de la química verde (Zuin et al., 2021).
Materiales y métodos
Las experiencias se llevaron a cabo en un curso de 30 alumnos, divididos en comisiones de trabajo compuestas por 3 o 4 integrantes. Como reactivos se emplearon colorante alimentario azul Fleibor® (E133 – Azul Brillante FCF) y solución de hipoclorito de sodio comercial, 25 g/L. El dispositivo experimental utilizado se muestra en la figura 1. Cada comisión armó su dispositivo empleando un soporte universal, un soporte para embudos (de 12 cm de diámetro, donde se coloca el dispositivo móvil), un vaso de precipitados de 250 mL y una base plástica (puede ser de otro material, pero éste es más funcional) de color rojo (que sirve como referencia del valor inicial del parámetro R medido por la aplicación). También se utilizaron probetas de 50 y 100 mL para diluir la solución de hipoclorito de sodio comercial en agua y un cronómetro Tressa® Crono 10B por cada comisión de estudiantes. Para el registro de los datos experimentales, los estudiantes emplearon su dispositivo móvil personal con la aplicación Carolina® RGB Colorimeter instalada.

Procedimiento experimental y registro de datos
Se adosó a un soporte universal otro soporte para embudos, a una altura aproximada de 40 cm desde la base. Sobre este último soporte se colocó el dispositivo de telefonía móvil con la aplicación Carolina® RGB Colorimeter instalada. Esta aplicación permite registrar parámetros de color rojo (R), verde (G) y azul (B) en forma simultánea, informando para una determinada imagen los valores relativos de la intensidad de cada parámetro que conforman el color observado (Fan et al., 2021). Se colocó una base plástica roja paralela a la base del soporte y sobre ella el vaso de precipitados de 250 mL conteniendo una solución preparada a partir de la mezcla homogénea de 30 mL de solución comercial de hipoclorito de sodio en 100 mL de agua destilada. Al iniciar la aplicación Carolina® RGB Colorimeter en el dispositivo móvil se verificó que en su pantalla la cámara reprodujera la visión del centro del vaso de precipitados. Acto seguido, se registraron los valores del parámetro de color R informados por la aplicación cada 10 s hasta obtener un conjunto de al menos 5 medidas (se puede registrar un número mayor, pero la experiencia adquirida en ensayos previos realizados por la Cátedra demostró que 5 valores proporcionan resultados confiables). A partir de estos valores se obtuvo un valor medio, que a efectos del cálculo se definió como R0 (valor del parámetro R al tiempo t = 0 s). Es importante dejar en claro que el valor de parámetro R indica la cantidad de luz roja transmitida a través de la solución y que el valor de R0 representa la cantidad de luz roja que pasa a través de la solución cuando ésta es incolora (es decir, sin el colorante alimentario agregado) que, a los efectos de la experiencia es, esencialmente, el “blanco” (valor de referencia) de la reacción.
Luego de realizar estas mediciones, se agregó al vaso de precipitados una gota del colorante alimentario azul, se inició el cronómetro y se agitó manualmente el vaso durante unos 5 s para homogenizar y obtener una solución homogénea final de color azul. Posteriormente, cada 30 s, se registraron los valores del parámetro de color R informados por la aplicación (definidos, a efectos del cálculo, como Rt, valor del parámetro R al tiempo t). El intervalo total del registro de datos fue de 5 min, lapso en el cual se observó que la solución inicial pierde paulatinamente su coloración azul. Las experiencias se realizaron para dos condiciones de iluminación del ambiente de trabajo, luz natural (persianas del laboratorio levantadas y sin luminarias eléctricas encendidas) y luz artificial (persianas del laboratorio bajas y luminarias eléctricas encendidas), repitiéndose entre 3 o 4 veces dependiendo de la cantidad de integrantes de cada comisión de trabajo (es deseable que cada alumno registre sus propios datos para que, de esta forma, se registren réplicas de los ensayos y luego se analicen en forma conjunta por cada comisión). Al finalizar cada experiencia, los volúmenes de solución residual remanentes se colectaron en un recipiente adecuado para su posterior uso como solución de limpieza de material de laboratorio, dado que su resultado es una solución diluida de hipoclorito de sodio comercial (con cantidades mínimas de colorante alimentario azul oxidado) que no afectan al material. Por otra parte, las buenas prácticas de laboratorio exigen el descarte de residuos (en este caso, líquidos del lavado de material) en contenedores adecuados. Los líquidos residuales de limpieza del material de laboratorio deben ser descartados como “soluciones acuosas no neutras” o, en su defecto, por el drenaje sólo si son convenientemente diluidos en agua para minimizar su impacto ambiental (Kulkarni et al., 2024).
Análisis de datos
Al finalizar las experiencias, se dispuso de un conjunto de datos que correspondían a los valores de los parámetros R0 y Rt. Los datos experimentales recopilados para el parámetro de color R se analizaron en forma análoga a la definición de absorbancia A según la ley de Lambert-Beer. Dado que la absorbancia A del colorante alimentario en la solución es directamente proporcional a su concentración, es posible usar la medida de la absorbancia A como medida de concentración del colorante. En el caso de esta experiencia en particular, la aplicación Carolina® RGB Colorimeter registró la cantidad de luz roja que atravesó la solución formada por el colorante alimentario azul y la solución diluida de hipoclorito de sodio comercial. De esta forma, la absorbancia medida al tiempo t se calculó como se muestra en la Ecuación 1:
[Ecuación 1]donde A es el valor de absorbancia aparente calculado a partir de los datos experimentales registrados; Rt es el valor del parámetro de color R medido al tiempo t; y R0 es el valor promedio del parámetro de color R registrado antes del agregado de las gotas del colorante.
El análisis de los valores de A obtenidos permitió determinar el orden cinético de la reacción de decoloración. La ecuación de velocidad de reacción puede definirse como se muestra en la Ecuación 2:
[Ecuación 2]donde v es la velocidad de la reacción de decoloración; k es la constante cinética; [azul] es la concentración del colorante alimentario azul; [lavandina] es la concentración de la solución de hipoclorito de sodio comercial; y x e y son sus órdenes de reacción respectivos. Como se emplea un exceso de solución de hipoclorito de sodio comercial respecto del colorante alimentario, la Ecuación (2) puede reescribirse como se expresa en la Ecuación 3:
[Ecuación 3]donde k´ es equivalente al producto de la Ecuación 2.
Considerando que la velocidad de la reacción puede expresarse como la velocidad de consumo de uno de los reactivos en la unidad de tiempo, las ecuaciones integradas dependen del orden de reacción x correspondiente. Si la reacción de decoloración es de orden cero respecto de la concentración del colorante alimentario azul, la velocidad es constante y su ecuación integrada se presenta en la Ecuación 4:
[Ecuación 4]donde [azul]t es la concentración del colorante alimentario azul al tiempo t y [azul]0 es la concentración inicial del colorante en la solución. Por su parte, si la reacción de decoloración es de primer orden respecto de la concentración del colorante alimentario azul, la velocidad dependerá de su concentración y su ecuación integrada se puede representar como se indica en la Ecuación 5:
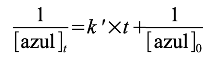
[Ecuación 5]Finalmente, si la reacción de decoloración es de segundo orden respecto de la concentración del colorante alimentario azul, la ecuación integrada se expresa en la Ecuación 6:
[Ecuación 6]Teniendo en cuenta estas ecuaciones y dado que la medida de la absorbancia A del colorante alimentario en la solución es directamente proporcional a su concentración, el orden cinético de la reacción de decoloración se determinó a partir del mejor ajuste lineal obtenido al graficar [azul]t vs. t para la cinética de orden cero; ln [azul]t vs. t para la cinética de primer orden; y 1/[azul]t vs. t para la cinética de segundo orden, en forma análoga a lo reportado en trabajos anteriores (Henary y Russel, 2007; Nalliah, 2019; Kuntzleman, 2019). Para obtener las gráficas correspondientes se empleó la herramienta Excel® 16.0 del paquete Office® de Microsoft®. Los datos experimentales recopilados se analizaron estadísticamente mediante el software libre JASP® 0.19.3 a los efectos de determinar valores anómalos y diferencias significativas (ANOVA de un factor, p < 0,05). Este análisis se realizó para cada una de las condiciones de iluminación estudiadas.
Resultados y discusión
Los valores experimentales promedio del parámetro de color R obtenidos para las dos condiciones de iluminación estudiadas se muestran en la tabla 1 (luz artificial) y tabla 2 (luz natural). Asimismo, en la Tabla 1 y en la Tabla 2 también se informan los valores para A calculados según la ecuación (1) y las variables resultantes para determinar el orden cinético de la reacción de decoloración del colorante alimentario promovida por la solución diluida de hipoclorito de sodio comercial. Las gráficas resultantes en función del tiempo se muestran en las figuras 2 a) – c) y 3 a) – c), respectivamente


Como se discutió precedentemente, la solución de hipoclorito de sodio comercial se encuentra siempre en exceso respecto de la concentración de colorante alimentario y la velocidad de reacción sólo depende de la concentración remanente de colorante a diferentes tiempos de reacción (Nalliah 2019; Kuntzleman, 2019). La Figura 2 y la Figura 3 representan el ajuste de los datos experimentales a las ecuaciones cinéticas (4) a (6).


Como puede deducirse de las gráficas de las figuras 2 y 3, la cinética que mejor describe el comportamiento de la reacción es la de primer orden para las dos condiciones de iluminación estudiadas, obteniéndose un excelente ajuste lineal a partir del valor promedio de los datos recopilados. De la pendiente de cada una de las rectas de ajuste se pueden determinar los valores de las constantes cinéticas de la velocidad de la reacción en las condiciones de temperatura e iluminación estudiadas, obteniéndose como resultados k´ = – 0,0143 s –1 para luz artificial y k´ = – 0,0125 s –1 para luz natural. A efectos de determinar si las condiciones de iluminación influyen en el registro de los valores experimentales, se realizó un ANOVA de un factor para determinar si existen o no diferencias estadísticamente significativas (p < ɑ = 0,05). Los resultados indicaron que no existen diferencias estadísticamente significativas para el registro de los valores del parámetro Rt (p = 0,661). Este resultado puede corroborarse en la gráfica de cajas y bigotes de la Figura 4, donde se comparan las distribuciones de los valores registrados para las dos condiciones de iluminación empleadas.

Otro resultado significativo de la experiencia es que, a pesar de emplearse dispositivos móviles con diferentes sistemas operativos, los datos que se recopilaron mostraron una coherencia notable. Este resultado permite concluir que, independientemente del dispositivo y de su sistema operativo, el análisis estadístico posterior de los valores recopilados permite arribar a idénticos resultados.
Finalmente, es importante comentar algunos aspectos que surgieron al evaluar el impacto pedagógico y didáctico de la actividad Una vez finalizada la experiencia, la Cátedra docente proporcionó a los estudiantes un cuestionario que se elaboró empleando la herramienta Forms de Google®. A partir del análisis de las respuestas obtenidas (N = 19), se verificó que el 95 % de los estudiantes consideró muy interesante el uso de dispositivos de telefonía móvil como herramientas de medición y un 90 % consideró que debería evaluarse la adecuación de otras experiencias convencionales para el registro de datos mediante estos dispositivos. El 84 % consideró que la experiencia y el análisis de datos posterior facilitaron la comprensión de los conceptos teóricos aplicados (cinética química y ANOVA) y todos los estudiantes que respondieron la encuesta destacaron como muy importante la escasa generación de residuos al finalizar la actividad, característica que apreciaban como un valor agregado de suma importancia.
Las observaciones realizadas durante el desarrollo de la actividad y las respuestas y sugerencias al cuestionario recopiladas por la Cátedra permitieron vislumbrar otros escenarios de análisis. Por ejemplo, en futuras actividades se podría evaluar el efecto de la temperatura en la velocidad de la reacción (para obtener gráficas de tipo Arrhenius) y de esta forma analizar el comportamiento de la constante cinética k´ (Nalliah, 2019). Asimismo, resulta igualmente razonable explorar el comportamiento de otros colorantes alimentarios y de otros agentes decolorantes como, por ejemplo, soluciones comerciales de agua oxigenada. Estas variantes permiten imaginar nuevos escenarios de enseñanza-aprendizaje, dado que sería posible abordar un tema complejo como la cinética química empleando materiales y dispositivos de uso común en forma simple y efectiva sin descartar su adecuación en eventos o charlas de divulgación científica. En tal sentido, la Cátedra prevé llevar a cabo estas experiencias con los alumnos que participen en el próximo ciclo lectivo del curso. Consideramos que esta ampliación enriquece significativamente la perspectiva pedagógica del trabajo y subraya su contribución a la enseñanza de las ciencias de manera creativa y sostenible.
Conclusiones
La cinética de decoloración del colorante alimentario azul Fleibor® (E133 – Azul Brillante FCF) con solución diluida de hipoclorito de sodio comercial bajo dos condiciones de iluminación (luz natural o artificial) puede ser estudiada en forma simple mediante el uso de dispositivos de telefonía móvil como herramientas de medición. La actividad resulta adecuada y fácil de implementar en cursos universitarios introductorios de química, ya que es posible llevarla a cabo con un grupo numeroso de estudiantes sin complejidades experimentales y usando recursos y materiales de uso común. En un tiempo de registro de datos no superior a los 5 min fue posible obtener un conjunto aceptable de réplicas en forma sencilla, sin complejidades experimentales y con escasa generación de residuos. Desde el punto de vista pedagógico, la actividad favoreció la comprensión de aspectos teóricos básicos del tema e incentivó la participación activa de los estudiantes no solo en el registro de un gran número de datos experimentales sino también en su posterior validación y análisis.
Referencias bibliográficas
Burguess, A. E. y Davidson, J. C. (2014). Kinetics of the rapid reaction between iodine and ascorbic acid in aqueous solution using UV-Visible absorbance and titration by an iodine clock. Journal of Chemical Education 91(2), 300-304. https://doi.org/10.1021/ed400579m
Calderón-Garrido, D., Ramos-Pardo, F. J. y Suárez-Guerrero, C. (2022). The use of mobile phones in classrooms: a systematic review. International Journal of Emerging Technologies in Learning 17(6), 194-210. https://doi.org/10.3991/ijet.v17i06.29181
Chávez-Martínez, A. L y Salazar-Jiménez, J. G. (2024). Relación entre inteligencia emocional y rendimiento académico entre adolescentes: aportes para la práctica educativa. Revista Caribeña de Investigación Educativa 8(1), 145-165. https://doi.org/10.32541/recie.2024.v8i1.pp145-165
Fan, Y., Li, J., Guo, Y., Xie, L. y Zhang, G. (2021). Digital image colorimetry on smartphone for chemical analysis: a review. Measurement 171, 108829. https://doi.org/10.1016/j.measurement.2020.108829
Fojtik, R. (2017). The use of mobile devices in education. New Trends and Issues Proceedings on Humanities and Social Sciences 3(3), 41-47. https://doi.org/10.18844/prosoc.v3i3.1521
Gil, S., Calderón, S., Núñez, P., Di Laccio, J. L. e Ianelli, L. M. (2015). Aulas-laboratorio de bajo costo, usando TIC. Revista Eureka sobre Enseñanza y Divulgación de las Ciencias 12(1), 212-226. https://revistas.uca.es/index.php/eureka/article/view/2912
Henary, M. M. y Russell, A. A. (2007). An inexpensive kinetic study: the reaction of FD&C red #3 (erythrosin B) with hypochlorite. Journal of Chemical Education 84(3), 480-482. https://doi.org/10.1021/ed084p480
James H. y Honeychurch K. (2024). Digital Image Colorimetry Smartphone Determination of Acetaminophen. Journal of Chemical Education 101(1), 187-196. https://doi.org/10.1021/acs.jchemed.3c00659
Keengwe, J., Schnellert, G y Jonas, D. (2014). Mobile phones in education: challenges and opportunities for learning. Education and Information Technologies 19(2), 441-450. https://doi.org/10.1007/s10639-012-9235-7
Kulkarni, D., Jaspal, D., Itankar, N., Petrounias, P., Rogkala, A., Lampropoulou, P. (2024). Bleaching Agents: A Review of Their Utilization and Management. Sustainability 16(24), 9084. https://doi.org/10.3390/su16209084
Kuntzleman, T. (25/11/2019). Chemical kinetics with a smartphone. ChemEdXChangehttps://www.chemedx.org/blog/chemical-kinetics-smartphone
Larkin, E., Ahn, D., Ahn, N., Alzarooni, F., Busaibe, Y., Yeong Cho, S., Lee, S., Madani, B. Mun, J., Quirós-Canales, K., Rabeh, N., Raef, Z., Shen, Y., Shupac, M., Villanueva, A. y Pergantis, S. (2024). Modernizing Titrations in the Undergraduate Laboratory: No More Burets and End Point Confusion, Just a Top-Loading Balance and a Smartphone. Journal of Chemical Education 101(2), 438-447. https://doi.org/10.1021/acs.jchemed.3c00799
Martínez, R., Corzana, F. y Millán, J. (2013). Experimentando con las redes sociales en la enseñanza universitaria en ciencias. Revista Eureka sobre Enseñanza y Divulgación de las Ciencias 10(3), 394-405. https://revistas.uca.es/index.php/eureka/article/view/2848
Nalliah, R. E. (2019). Reaction of FD&C blue 1 with sodium percarbonate: multiple kinetics methods using an inexpensive light meter. Journal of Chemical Education 96(7), 1453-1457. https://doi.org/10.1021/acs.jchemed.8b00589
Rathold, B. B., Murthy, S. y Bandyopadhyay, S. (2019). Is this solution pink enough? A smartphone tutor to resolve the eternal question in phenolphthalein-based titration. Journal of Chemical Education 96(3), 486-494. https://doi.org/10.1021/acs.jchemed.8b00708
Romero-Ariza, M. (2017) El aprendizaje por indagación: ¿existen suficientes evidencias sobre sus beneficios en la enseñanza de las ciencias? Revista Eureka sobre Enseñanza y Divulgación de las Ciencias, 14(2), 286-299. https://revistas.uca.es/index.php/eureka/article/view/3335
Snehalatha, T., Rajanna, K. C. y Saiprakash P. K. (1997). Methylene blue-ascorbic acid: an undergraduate experiment in kinetics. Journal of Chemical Education 74(2), 228. https://doi.org/10.1021/ed074p228
Steffel, M. J. (1990). Reduction of permanganate: a kinetics demonstration for general chemistry. Journal of Chemical Education 67(7), 598. https://doi.org/10.1021/ed067p598.3
Zuin, V. G., Eilks, I., Elschami, M. y Kümmerer, K. (2021). Education in green chemistry and in sustainable chemistry: perspectives towards sustainability. Green Chemistry 23(4), 1594-1608. https://doi.org/10.1039/D0GC03313H
Información adicional
Para citar este artículo: Domínguez, M., Seraín, M., Bayona Solano, J., De Genaro, P., Chalapud, M. y Ciolino, A. (2025). Más allá de las redes: cinética química con un dispositivo de telefonía móvil y elementos de uso familiar. Revista Eureka sobre Enseñanza y Divulgación de las Ciencias 22(3), 3401. https://doi.org/10.25267/Rev_Eureka_ensen_divulg_cienc.2025.v22.i3.3401
Agradecimientos : Los autores agradecen a los encargados de laboratorio, Técnica Gabriela Martínez Ipucha y Licenciado Miguel Ángel Nievas por su ayuda y asistencia para llevar adelante esta experiencia. También, a los alumnos que cursaron la asignatura Laboratorio de Ingeniería Química durante el segundo semestre de 2024, por su buena predisposición en las actividades experimentales y por sus comentarios y sugerencias que permitieron evaluar y mejorar la propuesta. Finalmente, los autores también quieren agradecer el apoyo económico y humano brindado por el Departamento de Ingeniería Química de la Universidad Nacional del Sur (DIQ–UNS), que hizo posible la realización de esta actividad.
Declaración de autoría : Andrés Ciolino: Conceptualización; Metodología; Supervisión; Escritura del texto original. Martina Domínguez, Marcos Serain, Jaime Bayona Solano, Pablo de Genaro y Mayra Chalapud: Escritura; Revisión y edición.
Declaración responsable de uso de herramientas de Inteligencia Artificial : Los autores declaran no haber utilizado herramientas de inteligencia artificial para producir este texto.
Información adicional
redalyc-journal-id: 920