ARTICLES
Photosynthetic efficiency and production of cowpea cultivars under deficit irrigation
Eficiência fotossintética e produção de cultivares de feijão-caupi sob irrigação deficitária
Photosynthetic efficiency and production of cowpea cultivars under deficit irrigation
Revista Ambiente & Água, vol. 13, no. 5, 2018
Instituto de Pesquisas Ambientais em Bacias Hidrográficas
Received: 15 May 2017
Accepted: 20 August 2018
Abstract: Cowpea is a crop with great economic, social and food importance in semi-arid regions, but its production is drastically reduced by the water deficit in these regions, requiring better management strategies that allow the crop’s production. This study therefore aimed to evaluate the photosynthetic efficiency and production of cowpea cultivars under deficit irrigation replacement levels. The experiment tested three cowpea genotypes (G1 = ‘BRS Aracé’, G2 = ‘BR 17 Gurguéia’ and G3 = ‘BRS Marataoã’) and four irrigation depths (40, 60, 80 and 100% of ETc), resulting in a 3 x 4 factorial scheme, arranged in randomized complete blocks design with four replicates. During the experiment, the gas exchanges, chlorophyll a fluorescence and production of the cowpea genotypes under deficit irrigation were evaluated. Carbon fixation in the photosynthetic metabolism of cowpea plants was reduced by accentuated water deficit, regardless of the genotype. The low stress severity was indicated by the lack of effects on chlorophyll fluorescence, indicating that the reduction in the rate of carbon assimilation was due to the stomatal effects. The irrigation with 80% of ETc can be used in the cultivation of the respective cultivars, but with small losses in the production. Among the genotypes, ‘BRS Marataoã’ stands out with respect to yield, with higher values for weight of pods and green beans.
Keywords: gas exchanges, physiology, Vigna unguiculata, water replacement..
Resumo: O feijão-caupi é uma cultura que apresenta grande importância econômica e sócio-alimentar em regiões semiáridas, no entanto, sua produção é drasticamente reduzida pelo déficit hídrico ocorrente nessas regiões, sendo necessário traçar melhores estratégias de manejo que viabilizem a produção da cultura. Com isso, objetivou-se avaliar a eficiência fotossintética e a produção de genótipos de feijão-caupi sob níveis de reposição da irrigação deficitária. O experimento foi constituído por um estudo de três genótipos de feijão-caupi (G1 = BRS Aracé, G2 = BR 17 Gurgueia e G3 = BRS Marataoã) e quatro lâminas de irrigação (40, 60, 80 e 100% da ETc), que aos combinados resulta em um fatorial 3 x 4, organizado no delineamento em blocos casualizados com quatro repetições. Durante a condução do experimento foram avaliadas as trocas gasosas, fluorescência da clorofila a e de produção dos genótipos de feijão-caupi sob irrigação deficitária. A fixação de carbono no metabolismo fotossintético de plantas de feijão-caupi é reduzida com déficit hídrico acentuado, independente do genótipo. A baixa severidade do estresse foi indicada pela inexistência de efeitos sobre a fluorescência da clorofila, indicando que a redução na taxa de assimilação de carbono se deveu aos efeitos estomáticos. A irrigação com 80% da Etc pode ser utilizada no cultivo das respectivas cultivares, porém com pequenas perdas na produção. Entre os genótipos de feijão, o ‘BRS Marataoã’ destaca-se quanto à produtividade com maiores valores para peso de vagem e grãos verdes.
Palavras-chave: fisiologia, reposição hídrica, trocas gasosas, Vigna unguiculata..
1. INTRODUCTION
Cowpea (Vigna unguiculata L.), also known as ‘feijão-de-corda’ or ‘feijão-macassar’, is the main subsistence crop in the North and Northeast regions of Brazil, standing out as the main source of protein in the diet of people of this region. Recently, the cowpea crop started to be cultivated also in the dry period under irrigation, especially in the Northeast region of the country (Nascimento et al., 2011).
In Northeast Brazil, the prominent climatic features are a remarkable aspect, particularly the rainfalls concentrated in short periods of the year, low relative air humidity and high temperatures. In this region, irrigation management strategies associated with the resistance of the crops to drought and the utilization of species tolerant to water stress allow an alternative production of the crop under water scarcity (Figueiredo et al., 2008; Ferraz et al., 2011).
Under these conditions, the need for studies aiming to identify genotypes adapted to distinct edaphoclimatic conditions becomes evident, in order to have positive results in the cultivation of the crop, thus leading to improvements in production and higher profitability for the producers (Lemos et al., 2004). According to FLOSS (2004), approximately 90% of the biological production of the crop occurs in response to photosynthetic activity and 60% of the global cowpea production comes from regions with water deficit, which makes it the second largest cause of reduction in the yield of the crop (Singh, 1995).
Among various abiotic stresses that affect the cowpea crop, water deficit stands out for its large area of occurrence and its role in yield reduction, reduction of stomatal conductance and increase of diffusive resistance to water vapor through stomatal closure, reduction of transpiration and, consequently, the CO2 supply for photosynthesis (Oliveira et al., 2005; Muñoz-Perea et al., 2006; Dutra et al., 2015). However, the responses of the crop to water stress vary according to the species, cultivar, duration of exposure and edaphic factors. In addition, the physiological variables alone do not constitute an indication of tolerance to drought, requiring studies that evaluate plant physiology and production under stress, to identify tolerant genotypes. This study therefore aimed to evaluate the photosynthetic efficiency and production of cowpea genotypes under deficit irrigation replacement levels.
2. MATERIAL AND METHODS
The research was a field study in the experimental area of the Fruticulture and Plant Ecophysiology Sector, at the Center of Human and Agrarian Sciences (CCHA), Campus IV of the State University of Paraíba (UEPB), located in the municipality of Catolé do Rocha, PB, Brazil. The city is situated at latitude 6º21’ S and longitude 37º48’ W, at an altitude of 250 m.
The climate of the region is BSw’h’, according to Köppen’s classification, characterized as hot semi-arid, with two different seasons, a rainy one with irregular rainfall and another one without rainfall. The mean annual rainfall is 870 mm, and the mean temperature is 27ºC with a rainy period concentrated between February and April, and a maximum temperature of 35ºC and a minimum of 19ºC.
The study was carried out from September 19 to December 12, 2012, which corresponds to the drought period in this region, requiring the use of irrigation for the crop.
In the locality, the edaphic conditions were represented by a soil classified as typic eutrophic Tb FLUVIC NEOSOL with sandy loam texture (sand = 773.7; silt = 168.3 and clay = 58 g kg-1), with soil density = 1.53 and particle density = 2.53 g kg-1, porosity of 42.26% and moisture at field capacity and permanent wilting point of 114.4 and 35.1 g kg-1, respectively. The mean results of the chemical analyses, before installing the experiment, were: pH in H2O (1:2.5) = 7.32; P = 186.97 and K = 309.08 mg dm-3; Ca = 4.8; Mg = 1.55; Na = 0.404; Al = 0.0; H + Al = 0.413; SB = 7.54; CEC = 7.96 cmolc dm-3 and OM = 12.62 g kg-1.
The experiment consisted of three cowpea cultivars, obtained from the cowpea genetic improvement program of Embrapa Mid-North with potential of production in the semi-arid region (G1 = ‘BRS Aracé’, G2 = ‘BR 17 Gurguéia’ and G3 = ‘BRS Marataoã’) and four irrigation depths (40, 60, 80 and 100% of ETc). Factorially combined, it resulted in a 3 x 4 factorial scheme, arranged in randomized complete block design with four replicates. The experimental units consisted of a zinc box with dimensions of 1.20 x 1.20 x 1.0 m, containing 8 useful plants per box, totaling 288 experimental plants in a total area of 300 m2. Sowing of the cultivars was done manually, and three seeds were distributed per hill at a spacing of 0.50 x 0.20 m. At 15 days after sowing (DAS) plants were thinned, leaving five plants per linear meter.
Soil tillage consisted of one plowing with disc harrow, which turned the soil to a depth of 0.20 cm, and subsequent leveling with a leveling harrow. Fertilizers were applied according to the soil analysis, for the cowpea crop. Fertilizer application was the same for all treatments using mineral fertilizers with NPK, in the form of urea (45% N), single superphosphate (22% P2O5) and potassium chloride (60% K2O).
Irrigation management was based on the soil water depletion level relative to the treatment, determined through the reference evapotranspiration (ETo) by the Penman-Monteith method (Allen et al., 1998), based on data from the existing meteorological station in the experimental area, to determine the evapotranspiration of the culture (ETc = ETo x Kc), using the Kc proposed by Doorenbos and Kassan (1979), in the different crop development stages: germination - primary leaves (V0 - V2), Kc from 0.30 to 0.40; first trifoliate leaf - third trifoliate leaf (V3 - V4), Kc from 0.70 to 0.80; pre-flowering - pod formation (R5 - R7), Kc from 1.05 to 1.20; grain filling (R8) and maturation (R9), Kc from 0.25 to 0.30. These data were used to calculate the gross irrigation depth, application intensity and irrigation time.
Internal CO2 concentration (Ci) (µmol m-2 s-1), transpiration (E) (mmol H2O m-2 s-1), stomatal conductance (gs) (mol H2Om-2 s-1) and net photosynthesis (A) were evaluated and the readings were taken between 8:40 and 9:40 h in the morning at 22 days after sowing (V5 vegetative stage). These data were used to quantify the instantaneous water use efficiency (IWUE) (A/E) [(µmol m-2 s-1) (mmol H2O m-2 s-1)-1] and instantaneous carboxylation efficiency (A/Ci) (Silva et al., 2014). These measurements were taken in the third leaf of the central leaflet from the apex, fully expanded and without signs of senescence or herbivory, in two plants per plot, using an infrared gas analyzer (IRGA), Model LCpro+Sistem.
Fluorescence determinations were taken in 2-h intervals throughout the day on the same date of the readings of gas exchanges. The evaluations of initial fluorescence (Fo), maximum fluorescence (Fm), variable fluorescence (Fm-Fo) and maximum quantum efficiency of photosystem II (Fv/Fm) were performed in the third intermediate leaf of the main branch of the evaluated plants of each plot, after being pre-adapted in the dark for 30 minutes, using a portable fluorometer (Hansatech).
After the phenological stage R3, characterized by the beginning of the change of color of the pods, considering that the grains were already completely formed, the pods were harvested, for later determination of the weight of green pods, length of green pods, number of grains by pod and weight of green grains. For weighing, a precision balance ± 0.01g.
The data of the variables were subjected to analysis of variance by F test (P ≤ 0.05), while the regression models were fitted based on the coefficient of determination (α ≤ 0.05) and the means were compared by Tukey test (α ≤ 0.05), using the program SAEG 9.1.
3. RESULTS AND DISCUSSION
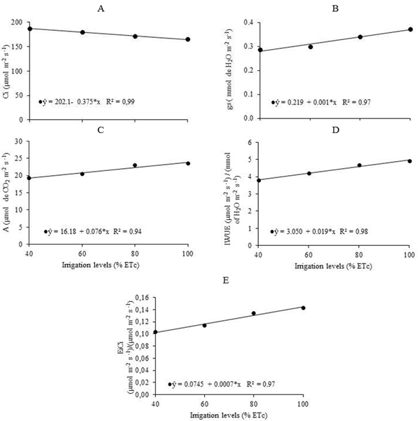
For the variables internal CO2 concentration, stomatal conductance, photosynthesis, instantaneous water use efficiency and instantaneous carboxylation efficiency was significant influenced by irrigation levels (Figure 1A, B, C, D e E). The transpiration rate was not influenced by the treatments.
The internal CO2 concentration (Ci) suffered significant effect of the irrigation depths, with highest gas accumulation (191.16 μmol mol-1) in cowpea plants cultivated under highest stress (40% of ETc) (Figure 1A). On the other hand, there was a slight variation in the Ci rates with the increase of water availability in the soil, after applying water depths of 40 to 100% ETc. It should be pointed out that Ci accumulation in the leaf mesophyll is directly associated with stomatal closure and reduction in CO2 assimilation (Paiva et al., 2005). Souza et al. (2016) also observe this fact, in cowpea cv. BRS Punjante, where the increase of Ci concentration in the lower levels of water availability corroborated with the lower levels of photosynthesis.
For stomatal conductance (gs), there was a reduction of 30.30% to the critical value of 0.2861 mol m-2 s-1 obtained with the replacement of 40% ETc after a water stress period of 24 h for all cowpea genotypes studied (‘BRS Aracé’, ‘BR17 Gurguéia’ and ‘BRS Marataoã’) (Figure 1B). Such reduction in gs was obtained in relation to the highest conductance among the means (0.3728 mol m-2 s-1), relative to the highest irrigation depth (100% ETc). Since gs is responsible for almost all activities of the internal and external factors of the plant related to water deficit, it is a highly integrative factor for the global effect of water stress on the physiological parameters (Singh and Reddy, 2011; Silva et al., 2014).
For net photosynthesis (A), the decrease from 100% irrigation to deficit irrigation of 40% ETc caused linear reductions in the photosynthetic rates of the cowpea plants. The highest value of photosynthetic rate was 23.57 μmol of CO2 m-2 s -1, observed in plants under irrigation of 100% ETc, and the lowest value (19.32 μmol CO2 m-2s-1) was obtained in plants under deficit irrigation of 40% ETc (Figure 1C). According to Taiz and Zeiger (2013), such reduction in net photosynthesis under water deficit is partially associated with the high temperatures and low relative air humidity, which are peculiar characteristics of the climate of the semi-arid region of Paraíba, where the research was conducted.

The irrigation depths differed significantly for the variable instantaneous water use efficiency (IWUE), with reductions on the order of 29.55% between the highest value of 4.90 [(μmol m-2 s -1) / (mmol H2O m-2 s -1)] at the irrigation depth of 100% ETc and the lowest value of 3.78 [(μmol m-2 s -1) / (mmol H2O m-2 s -1)] recorded at the lowest irrigation depth, 40% ETc (Figure 1D). The assimilation of CO2 from the external environment leads to water loss and the decrease in this loss also restricts the CO2 entry (Shimazaki et al., 2007). Thus, the increments observed in IWUE, notably at irrigation depths of 40 to 100% ETc, are reflexes of the increases observed in the net photosynthetic rate (A) of the cowpea plants.
The instantaneous carboxylation efficiency (EiCi) was affected by the application of irrigation depths, with the increase from 40 to 100% ETc. The highest EiCi (0.1429) occurred in plants irrigated with 100% ETc, contrasting with the lowest value of 0.1031 observed at the lowest irrigation depth (40% ETc), which represented a reduction of 38.60% (Figure 1E). Brito et al. (2012), evaluating the physiological behavior of citrus plants in protected environment under water replacement levels, observed that high values of internal CO2 concentration associated with the increase in stomatal conductance indicate an increment in the instantaneous carboxylation efficiency, due to the availability of ATP and NADPH and of the substrate for Ribulose-1,5-bisphosphate carboxylase/oxygenase (RuBisCO). This fact may have occurred in the present study because of the increase of photosynthesis and stomatal conductance and reduction of the internal concentration of CO2 under the greater availability of water (Figure 1).
There was no significant influence on the variables of chlorophyll a fluorescence, with mean values of 330, 1739 and 1335 electrons quantum-1 for Fo, Fm and Fv, respectively, and 0.77 for quantum efficiency of PSII, which indicate absence of damages to the photosynthetic apparatus (Baker and Rosenqvst, 2004). This indicates that the reductions in the photosynthetic capacity of the studied cultivars were mainly of stomatal origin.
For the variable Length of green pods, significant (p <0.05) influence of irrigation levels was observed (Figure 2A). However, for weight of green pods, number of green beans and weight of green beans (WGB) significant (p <0.05) influence of cowpea cultivars was observed (Figures 2B, C and D).
For the length of green pods (LGP), there was an increasing linear behavior as the water availability increased, with lowest value (13.3 cm) for the application of 40% ETc and highest value (15.9 cm) for the maximum water content in the soil (100% ETc). There was an increment of 20% at this irrigation depth and no difference between the studied genotypes (Figure 2A), denoting that the water stress has direct influence on cowpea production, affecting the growth and filling of the pods and, consequently, of the grains.
For the variables weight of green pods (WGP) and weight of green beans (WGB), the genotype ‘BRS Marataoã’ exhibited a superior behavior compared with the others, with 6 g for WGP and 3.46 g for WGB, showing mean differences of 41 and 43% in relation to the values obtained by the genotypes ‘BRS Aracé’ (4.26 and 2.59) and ‘BR17 Gurguéia’ (4.23 and 2.83 g), respectively (Figures 2B and D). This reduction in the weight of pods and beans has direct influence on the yield of green beans and indicates that it is related to the reduction in soil water content, which means that the lowest values of growth, photosynthesis and biochemical components also reflect in the production characteristics of cowpea plants. Hence, there is a reduction of conductance and leaf transpiration in the plant and, consequently, an increment in leaf temperature and reduction in the production of photoassimilates, causing reduction in the production components and final yield.
For the variable number of green beans (NGB), the genotype ‘BR17 Gurguéia’ showed the highest mean values for beans per pod (11.5 beans), four more in comparison to the cultivar ‘BRS Aracé’ (7.5 beans) (Figure 2C). The results were similar to those obtained by Mendes et al. (2007), working with the source-sink relationships in cowpea for the production of dry beans subjected to water deficit. These authors found that water stress applied in both vegetative and reproductive stages leads to significant reduction in number of beans per pod.

4. CONCLUSIONS
Carbon fixation in the photosynthetic metabolism of cowpea plants is reduced with accentuated water deficit, regardless of the genotype.
Low stress severity was indicated by the lack of effects on chlorophyll fluorescence, indicating that the reduction in the rate of carbon assimilation was due to the stomatal effects.
Irrigation with 80% of the ETc can be used in the cultivations of the respective cultivars, but with small losses in production.
Among the genotypes, ‘BRS Marataoã’ stands out with respect to the yield, with higher values for weight of pods and green beans.
5. REFERENCES
ALLEN, R. G.; PEREIRA, L. S.; RAES, D.; SMITH, M. Crop evapotranspiration: guidelines for competing crop water requirements. Roma: FAO, 1998. 300p. (Irrigation and Drainage, Paper 56).
BAKER, N. R.; ROSENQVIST, E. Applications of chlorophyll fluorescence can improve crop production strategies: an examination of future possibilities. Journal of Experimental Botany, v. 55, p. 1607-1621, 2004.
BRITO, M. E. B.; SOARES, L. A. A.; FERNANDES, P. D.; LIMA, G. S.; SÁ, F. V. S.; MELO, A. S. Comportamento fisiológico de combinações copa/porta-enxerto de citros sob estresse hídrico. Revista Brasileira de Ciências Agrárias, v. 7, p. 857-865, 2012.
DOORENBOS, J.; KASSAN, A. H. Efectos del água en rendimento de los cultivos. Roma: FAO,1979. 212p. (Boletim Riego y Drenaje, 33).
DUTRA, A. F. ; MELO, A. S.; FILGUEIRAS, L. M. B.; SILVA, A. R. F.; OLIVEIRA, I. M.; BRITO, M. E. B. Parâmetros fisiológicos e componentes de produção de feijão-caupi cultivado sob deficiência hídrica. Revista Brasileira de Ciências Agrária, v. 10, p. 189-197, 2015.
FERRAZ, R. L. S.; MELO, A. S.; SUASSUNA, J. F.; BRITO, M. E. B.; FERNANDES, P. D.; NUNES JÚNIOR, E. S. Trocas gasosas e eficiência fotossintética em ecótipos de feijoeiro cultivados no semiárido. Revista Ciência Agronômica, v. 42, p. 957-964, 2011.
FIGUEIREDO, M. G.; FRIZZONE, J. A.; PITELLI, M. M; REZENDE, R. Lâmina ótima de irrigação do feijoeiro, com restrição de água, em função do nível de aversão ao risco do produto. Acta Scientiarum Agronomy, v. 30, p. 81-87, 2008.
FLOSS, E. L. Fisiologia das plantas cultivadas. Passo Fundo: UPF, 2004.
LEMOS, L. B.; OLIVEIRA, R. S.; PALOMINO, E. C.; SILVA, T. R. B. Características agronômicas e tecnológicas de genótipos de feijão do grupo comercial carioca. Pesquisa Agropecuária Brasileira, v. 39, p. 319-326, 2004.
MENDES, R. M. S.; TÁVORA, F. J. A. F.; PINHO, J. L. N.; PITOMBEIRA, J. B. Relações fonte-dreno em feijão-de-corda submetido à deficiência hídrica. Ciência Agronômica, v. 38, p. 95-103, 2007.
MUÑOZ-PEREA, C. G. ; TERÁN, H.; ALLEN, R. G.; WRIGHT, J. L.; WESTERMANN, D. T.; SINGH, S. P. Selection for drought resistance in dry bean landraces and cultivars. Crop Science, v. 46, p. 2111-2120, 2006.
NASCIMENTO, S. P. N.; BASTOS, E. A.; ARAUJO, E. C. E.; FILHO FREIRE, F. R. ; SILVA, E. M. Tolerância ao déficit hídrico em genótipos de feijão - caupi. Revista Brasileira de Engenharia Agrícola e Ambiental, v. 15, p. 853-860, 2011.
OLIVEIRA, A. D.; FERNANDES, E. J.; RODRIGUES, T. J. D. Condutância estomática como indicador de estresse hídrico em Feijão. Engenharia Agrícola, v. 25, p. 86-95, 2005.
PAIVA, A. S.; FERNANDES, E. J.; RODRIGUES, T. J. D.; TURCO, J. E. P. Condutância estomática em folhas de feijoeiro submetido a diferentes regimes de irrigação. Engenharia Agrícola,v. 25, p. 161-169, 2005.
SHIMAZAKI, K. I.; DOI, M.; ASMANN, S. M.; KINOSHITA, T. Light regulation of stomatal movement. Annual Review of Plant Biology, v. 58, p. 219-247, 2007.
SILVA, L. A. S.; BRITO, M. E. B.; SÁ, F. V. S.; MOREIRA, R. C. L. M.; SOARES FILHO, W. S. et al. Mecanismos fisiológicos em híbridos de citros sob estresse salino em cultivo hidropônico. Revista Brasileira de Engenharia Agrícola e Ambiental,v. 18, p. S1-S7, 2014.
SINGH, S. K.; REDDY, K. R. Regulation of photosynthesis, fluorescence, stomatal conductance and water-use efficiency of cowpea (Vigna unguiculata [L.] Walp.) under drought. Journal of Photochemistry and Photobiology B: Biology, v. 105, p. 40-50, 2011.
SINGH, S. P. Selection for water-stress tolerance in interracial populations of common bean. Crop Science,v. 35, p. 118-124, 1995.
SOUZA, T. M. A.; SOUZA, T. A.; SOLTO, L. S.; SÁ, F. V. S.; PAIVA, E. P.; BRITO, M. E. B. et al. Crescimento e trocas gasosas do feijão-caupi cv. BRS Pujante sob níveis de água disponível no solo e cobertura morta. Irriga, v. 21, p. 796-805, 2016.
TAIZ, L.; ZEIGER, E. Fisiologia vegetal. 5. ed. Porto Alegre: Artmed, 2013. 918p.
Author notes
*Corresponding author: Alberto Soares de Melo, e-mail: alberto@uepb.edu.br