Eficiencia de aplicación máxima del agua y longitud del surco en función de los caudales
Maximum water application efficiencies and furrow length as a function of inflow rate
Eficiencia de aplicación máxima del agua y longitud del surco en función de los caudales
Revista Ciencias Técnicas Agropecuarias, vol. 25, núm. 1, 2016
Universidad Agraria de La Habana Fructuoso Rodríguez Pérez
Recepción: 22 Diciembre 2014
Aprobación: 09 Octubre 2015
Resumen: La investigación se desarrolló en el mes de diciembre de 2013, con el objetivo de estimar las máximas eficiencias de aplicación alcanzable y la longitud del surco para alcanzar estas eficiencias en función del caudal utilizando el modelo propuesto por Konuku y Delibas. El área de investigación pertenece a la UBPC Grito de Yara la cual se encuentra ubicada a los 200 25’ Latitud N y a los 760 53’ Longitud O con una altura de 6 m.s.n.m. El área de investigación se dividió en tres parcelas, con una pendiente de 0,5%. En cada parcela se construyeron 9 surcos de 100 m de largo y un ancho de 0,8 m. Los caudales fueron de 1, 2 y 3 L/s para las parcelas 1, 2, y 3 respectivamente. La geometría del surco se midió con un perfilómetro. Se marcaron estaciones con intervalos de 10 m a lo largo del surco para investigar los tiempos de avance y recesión del agua en cada caudal. El aumento de caudal de 1 a 3 L/s genera una diferencia de 53 min en el tiempo de avance. Se pudo comprobar que la forma del surco tiende a pasar de triangular a parabólica con reducciones del área de la sección transversal que oscilan entre un 17 y 22% para el primer riego. Para los caudales evaluados 1, 2 y 3 L/s las máximas eficiencias alcanzables son de 61, 60 y 57% con longitudes 95, 155 y 209 m respectivamente.
Palabras clave: eficiencia de ampliación, caudal.
Abstract: Investigation was carried out on dicember of 2013, with de objective of estimate maximum attainable water application efficiencies and furrow length to achieve these efficiencies as a function of inflow rate utilizing Konuku y Delibas model. The area of investigation belonging to UBPC Grito de Yara, with coordinates 200 25’ Latitud N and 760 53’ Longitud 0 at 6 m.s.n.m. The investigation area was divided into three plot, with a slope of 0,05%. Then nine furrow with 0,8 m width and 100 m length were constructed on each plot. The inflow rate were 1, 2 y 3 L/s to plot 1, 2, y 3 respectively. Furrow profilometer for determining cross-sectional area was utilized. Stations with 10 m intervals were marked along de side of the furrow to investigate the water advance and recession speed of each rate. Increases of inflow rate from 1 to 3 L/s make a different of 53 min in advance time. Furrow shape trend to be from triangular to parabolic with area reductions of cross-sectional area between 17 and 22% for first irrigation. Maximum attainable water application efficiencies and furrow length to achieve this efficiencies for inflow rate 1, 2 and 3 L/s were 61, 60 y 57% with length 95, 155 y 209 m respectively.
Keywords: application efficiencies, inflow rate.
INTRODUCCIÓN
El riego superficial es ampliamente practicado en todo el mundo, ocupa más del 95% de las tierras irrigadas en todo el mundo (UN/WWP, 2003), aún en países industrializados como Estados Unidos, es aún superior al 70% (Playan et al., 2004). También en Cuba hasta el 2010 el riego superficial ocupaba 75% del área bajo riego (Herrera, 2011) con eficiencia del uso del agua del 50% (INRH, 1999). Un sistema de riego por surcos
tiene variables de diseño que afectan su desempeño; estas son el caudal de entrada, la longitud del surco, el tiempo de riego y las características de infiltración. Estos parámetros han sido estudiados por muchos investigadores para diseñar un surco óptimo que alcance la máxima eficiencia de aplicación. El diseño del caudal, el cual está afectado por la pendiente, la longitud del surco y la tasa de infiltración del suelo, puede ajustarse por el diseñador para alcanzar una buena uniformidad y aplicar una lámina requerida en un tiempo razonable. La eficiencia de aplicación del agua está influenciada principalmente por la cantidad de agua aplicada, las características de infiltración del suelo y la tasa de avance. El objetivo de este trabajo es estimar las máximas eficiencias de aplicación alcanzable y la longitud del surco para alcanzar estas eficiencias utilizando el modelo propuesto por Konuku y Delibas (2006).
MÉTODOS
La investigación se desarrolló en el mes de diciembre de 2013. El área de investigación pertenece a la UBPC Grito de Yara la cual se encuentra ubicada a los 200 25’ Latitud N y a los 760 53’ Longitud O con una altura de 6 m.s.n.m. La textura del suelo es franco arcilloso con una densidad aparente que oscila entre 1,40 y 1,43 g/cm3, la capacidad de campo es de 35% en base al volumen.
El área de investigación se dividió en tres parcelas, con una pendiente de 0,5% medida con un Láser rotativo autonivelante FRE207, en cada parcela se construyeron 9 surcos de 100 m de largo y un ancho de 0,8 m. Se sembró la variedad de frijol Delicia 360 el día 20 diciembre, con un marco de plantación de 0,5·0,8 m. Los caudales fueron de 1, 2 y 3 L/s para las parcelas 1,2, y 3 respectivamente. La entrega de los caudales se garantizó con la utilización de espitas PVC calibradas para los diámetros de 35, 50 y 70 mm. Las mediciones fueron hechas solamente en los surcos centrales de cada parcela para eliminar los efectos de borde.
La geometría del surco se midió con un perfilómetro, registrando alturas en tramos equidistantes de 0,05 m del espaciamiento del surco. Se realizaron cuatro mediciones por surco a los 20, 40, 60, 80 m (Rahimi, 2013). Estas mediciones fueron descargadas en Excel y transformadas en imágenes JPG, para luego calcular el área con el procesador de imágenes ImageTool ver. 3.00.
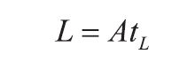
Se marcaron estaciones con intervalos de 10 m metros a lo largo del surco para investigar los tiempos avance y recesión del agua en cada caudal. Los parámetros A y b de la ecuación de avance fueron computados para cada caudal mediante técnicas de regresión no lineal:

Dónde x es la longitud cubierta por agua en el tiempo; t (min); . el coeficiente empírico que representa la distancia que avanza el frente de agua en el primer minuto; . el exponente empírico cuyo valor es menor que 1.
De manera similar los parámetros . y . de la ecuación de infiltración de Kostiakov fueron determinados por el metodo de balance de volumen de dos puntos:

Donde . es la lámina infiltrada (m); k el coeficiente de ajuste m3 min-3 m-1; t el tiempo de infiltración de la lámina de riego; a el exponente empírico que indica la forma en que la velocidad de infiltración se reduce con el tiempo.
La dosis de riego neta calculada fue de 25 mm. Aunque la longitud del surco fue de 100 m, las eficiencias de riego se calcularon además para longitudes de 50, 60, 70, 80 y 90 m para cada uno de los tres gastos.
Asumiendo tL como tiempo transcurrido para que el frente de avance alcance una longitud particular, t como el tiempo de oportunidad necesario para que se infiltre completamente una lámina de 25 mm y . como el cociente de tiempo según la ecuación:

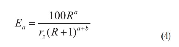
Se calculó la eficiencia de aplicación utilizando la siguiente ecuación:

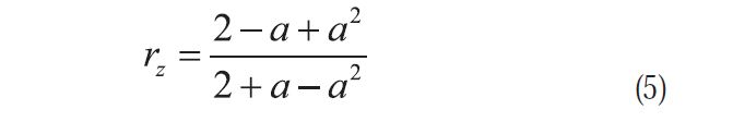
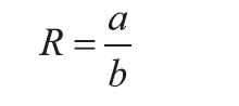
Donde Ea es la eficiencia de aplicación (%); R el cociente de tiempo; a el exponente empírico que indica la forma en que la velocidad de infiltración se reduce con el tiempo; b el exponente empírico cuyo valor es menor que 1; rZ el factor de forma subsuperficial en la forma:

Para el cálculo de las eficiencias máximas alcanzables se obtuvo R de la siguiente ecuación:

Donde a es el exponente empírico que indica la forma en que la velocidad de infiltración se reduce con el tiempo b es el exponente empírico cuyo valor es menor que 1. Las longitudes óptimas de los surcos se calcularon según la siguiente expresión:

Donde tL se obtuvo de la siguiente relación:

RESULTADOS Y DISCUSIÓN
En la actualidad es inaceptable hablar de diseño y manejo del riego por surcos; si antes no se han determinado las curvas de avance del agua a partir de datos reales de campo. Se acepta por los investigadores que la curva de avance es la fundamental para determinar a partir del caudal de diseño la longitud del surco y la función de infiltración entre otros parámetros. En la Figura 1 se representa la curva de avance del flujo superficial.

Es notable la diferencia del tiempo que tardaron en llegar el Q1 con relación a Q2 y Q3. El tiempo que demoraron los caudales en alcanzar el final del surco fue de 83, 48 y 28 min para los caudales Q1, Q2 y Q3 respectivamente. La diferencia en minutos entre Q1 y Q2 es de 35 min, mientras que la diferencia entre Q1 y Q3 es de 53 min. Se observa que el incremento del caudal influye significativamente en el avance del agua. Este comportamiento se debe a que el avance del agua sobre un suelo bajo riego depende principalmente del tiempo, caudal unitario, pendiente, velocidad de infiltración, rugosidad o aspereza de la superficie de avance y la geometría del surco (Mostafazadeh y Moravejalahkami, 2006).
La forma y tamaño del surco (sección transversal) cumplen un rol fundamental en el humedecimiento parejo del suelo en todo el largo del surco. En el proceso de riego en el cultivo del fríjol, se pudo comprobar que la sección del surco sufre importantes modificaciones a causa de la influencia del caudal de entrada, la pendiente, la rugosidad y otras variables de diseño y manejo del riego; por lo que la sección triangular original; usualmente predominante en el cultivo del fríjol, pasó a ser de tipo parabólico; especialmente en el primer riego, que es donde ocurren los cambios más notables de la geometría del surco, como puede observarse en la Figura 2.

Al valorar las modificaciones según la magnitud de los caudales, se observa que el Q3 tiene la mayor tendencia de pasar de una forma triangular a una parabólica, lo cual es lógico y consecuente, si se tiene en cuenta que el volumen de agua aportado es mayor y tratándose de un suelo franco arcilloso siempre se producen movimiento de las partículas. La forma del surco es altamente variable a lo largo de cada surco individual aún en las mejores condiciones.
Conocer la sección hidráulica del surco, conjuntamente con el avance del frente de agua y en casos de los metodos de riego con drenaje al final del surco ha resultado ser el procedimiento más efectivo para la evaluación de los métodos de riego (Walker, 1989).
Los datos de velocidad del agua, área de la sección transversal antes del riego (AR) y después del riego (DR) y porcentaje de reducción del área de la sección transversal (PA) se presentan en la Tabla 1. La velocidad del agua varió de 1,20 a 3,57 m·min-1, de lo cual se deduce que hubo un incremento casi proporcional entre los caudales y la velocidad. El área de la sección transversal fue muy similar antes del riego al haberse construido el surco con el mismo implemento. Sin embargo al evaluar la reducción área de la sección transversal después del primer riego se puede notar que esta fue mayor en la medida que se aumentó el gasto con valores entre 17 y 22%, lo que sugiere que el aumento del caudal tiene influencia en las modificaciones del área de la sección transversal.

La caracterización de la infiltración de los suelos, así como su variabilidad espacial y temporal, resulta de suma importancia para el método de riego superficial ya que afecta de forma significativa el desempeño del método, como así también la práctica del diseño y manejo (Khatri y Smith, 2006; Gillies et al., 2007). En la Tabla 2 se exponen los resultados de los parámetros de la función de infiltración de Kostiakov, los cuales están relacionados con la magnitud del caudal suministrado en el surco. A partir de estos valores es posible estimar el patrón de humedecimiento subsuperficial del surco, teniendo en cuenta la magnitud del tiempo de oportunidad de infiltración.

Las funciones de infiltración son importantes por dos razones: primero la tasa de infiltración básica se utiliza para determinar el tiempo de avance del flujo del agua a lo largo del surco y este parámetro es muy sensible; segundo, los cálculos de los parámetros k y a en la función de infiltración dependen de la tasa de infiltración básica y se utilizan posteriormente para calcular el tiempo de avance. En general los parámetros de la ecuación de infiltración, tienen una variabilidad espacial para un mismo tipo suelo y caudal (Moravejalahkami et al., 2012).
En la Tabla 2, puede observarse esa variación de las variables analizadas, estos valores se deben a múltiples factores que los determinan y que no pueden ser explicados por modelos. El exponente . depende del tipo de suelo (textura y estructura) y del tiempo transcurrido desde el inicio del ensayo, “.” no es constante, se incrementa con el tiempo ya que el gradiente de la fuerza matriz presente en el suelo disminuye con el tiempo mientras que el gradiente de la fuerza gravitatoria sobre el agua del suelo permanece constante (Mostafazadeh y Moravejalahkami, 2006).
En relación con los valores obtenidos del coeficiente (A) y del exponente (b) de las ecuaciones de avance, muestran valores normales (Tabla 2) en relación con aquellos mencionados en la literatura internacional (Cuésta et al., 2005; Walker et al., 2006). Se observa además, que el valor de . es directamente proporcional al caudal. La eficiencia de aplicación del agua está muy relacionada con los parámetros . y . (Konuku y Delibas, 2006). Las diferentes ecuaciones que explican el avance del frente del agua no presentan diferencia importantes.
Al analizar el significado físico de A y b, se encontró que b depende de la pendiente, el caudal, las características hidráulicas del flujo y la rugosidad de la superficie y . está relacionado con las características físicas del suelo (Mostafazadeh y Moravejalahkami, 2006; Zolfaghari et al., 2012; Duan et al., 2011).
Para una pendiente y caudal específico R disminuye con el incremento de la longitud del surco (Tabla 3) ya que tL aumenta y t permanece constante como puede observarse en la ecuación (3). Con el aumento del caudal y la longitud del surco, el valor de R aumenta; esto significa que los cambios en las longitudes de los surcos y los caudales influyen en la eficiencia de aplicación.

Konuku y Delibas (2006) son del criterio que un diseño bien balaceado de las variables, pendiente, caudal y longitud del surco permite diseñar con una eficiencia máxima y que el cociente de tiempo es el factor para este tipo de diseño. Generalmente la eficiencia se incrementa con la disminución del valor de R ; sin embargo, para un gasto particular este incremento no es continuo y comienza a disminuir después de cierto valor de ., como ocurre con el Q1 a los 100 m (Tabla 3).
En la Tabla 4 se resumen las máximas eficiencias, longitudes máximas para alcanzar estas eficiencias y otros elementos de cálculos utilizando los parámetros obtenido en los experimentos de campo y el valor de R calculado, el cual disminuye con el aumento del caudal; por lo que son dos variables inversamente proporcionales (Génova, 2014). De los resultados se observa que para un caudal de 1 L·s-1 la mayor eficiencia es de 61% y la longitud para lograr esta eficiencia es de 95 m; mientras que en el caudal de 2 L·s-1 se alcanzan eficiencias similares 60%; pero con una longitud de 155 m y para un caudal de 3 L·s-1 se alcanza un eficiencia de 57% con una longitud de 209 m. En relación con este resultado Konuku y Delibas (2006) plantean que para una cierta pendiente la eficiencia máxima para una longitud de surco particular se alcanza aplicando el menor caudal y que si el caudal se incrementa la longitud del surco debe incrementarse para no disminuir la eficiencia o para mantener valores cercanos.

CONCLUSIONES
* El aumento de caudal de 1 a 3 L·s-1 genera una diferencia de 53 minutos en el tiempo de avance.
La forma del surco tiende a pasar de triangular a parabólica
* La forma del surco tiende a pasar de triangular a parabólica con reducciones del área de la sección transversal que oscilan entre un 17 y 22% para primer riego.
* Para los caudales evaluados de 1, 2 y 3 L·s-1 las máximas eficiencias alcanzables son de 61, 60 y 57 con longitudes 95, 155 y 209 m respectivamente.
REFERENCIAS BIBLIOGRÁFICAS
CUESTA, T., X. NEIRA C. ALVAREZ & J. CANCELA: Evaluation of water use in traditional irrigation, An application to the Lemos Valley irrigation district, northwest of Spain, Agricultural Water Management,, ISSN 0378-3774, 75: 137-1512005.
DUAN, R., F. CLIFFORD & J. BORRELLI: Field evaluation of infiltration models in lawn soils. Irrigation Science, DOI 10.1007/s00271-010- 0248-y, 29:379–389, 2011.
GÉNOVA, L., R. ANDREAU y P. ETCHEVERS: Desempeño de tres métodos de riego por surcos: caudal único, dos caudales y caudal discontinuo en un cultivo de maíz, La Plata, Revista de la Facultad de Agronomía, ISSN 0041-8676, 113(2): 174-191, 2014.
GUIILES, M. H., R. J. y S. R. RAINE: Accounting for temporal inflow variation in the inverse solution for infiltration in surface irrigation. Irrigation Science, ISSN: 0342-7188, 25: 877-897, 2007.
KATRI, K. L. y R. J. SMITH: Real time prediction of soli infiltration characteristic for the management of furrow irrigation, Irrigation Science, ISSN: 0342-7188, 25: 25-33, 2006.
KONUKU, F. y L. DELIBAS: Optimum time ratio for application efficiency in furrow irrigation, Journal of Tekirdag Agricultural Faculty, ISSN: 1302-7050, 3(3):129-137, 2006.
MORAVEJALAHKAMI, B., B. MOSTAFAZADEH-FARD, M. HEIDARPOUR y F. ABBASI: Comparison of Multilevel Calibration and Volume Balance Method for Estimating Furrow Infiltration, Journal of Irrigation and Drainage Engineering, ISSN: 0733-9437, 138 (8): 777-781, 2012.
MOSTAFAZADEH, B. F. y B. MORAVEJALAHKAMI: The Performance of Gholam-gardeshy Furrow Irrigation, International Journal of Agriculture & Biology, ISSN: 1560–8530, 8(5): 698-702, 2006.
PLAYAN, E., J. A. RODRÍGUEZ y G. NAVARRO: Simulation model for level furrows, Analysis of field experiments, Journal of Irrigation and Drainage Engineering, ISSN: 0733-9437, 130: 106-112, 2004.
RAHIMI, A. y B. MOTALLEB: Evaluation of Wetted Perimeter and Water Flow Cross Section in Furrow Irrigation by Use Manning, SCS and Ellipsoid Equations, Australian Journal of Basic and Applied Sciences, ISSN 1991-8178, 7(6): 350-358, 2013.
SAMIR, H. y, B. MALEK: Influence of the geometrical shape of agricultural furrow (grooves) on the sediment transport. International Journal of Engineering Science and Technology, ISSN: 0975-5462, 4(5):1842-1849, 2012.
UN/WWAP: UN Water, Development Report, Water for People, Water for Life, UNESCO Berghahn Books, ISBN 978-1-57181-426-5, France, 2003.
WALKER, R., C. PRESTWICH y T. SPOFFORD: Development of revised USDA-NRCS intake fails for surface irrigation, Agricultural Water Management, ISSN: 0378-3774, 85: 157-164, 2006.
WALKER, R.: Guidelines for designing and evaluating surface irrigation systems, Irrigation and Drainage Paper, No 45, 85pp. Food and Agricultural organization of the United Nations, ISBN 92-5-102879-6, Rome, 1989.
ZOLFAGHARI, A. A., MIRZAEE, S. y M. GORJI: Comparison of different models for estimating cumulative infiltration. Int. J. Soil Sci. ISSN: 1816-4978, 7:108–115, 2012
Notas
Correo electrónico: ntorneso@udg.co.cu
Correo electrónico: obrown@unica.cu
Correo electrónico: yarisbet@udg.co.cu
Correo electrónico: arnaldo@udg.co.cu