Original Articles
Evaluación de la integridad estructural de un molino de bolas usando elemento finito
Assessment of the structural integrity of a ball mill using the finite element
Evaluación de la integridad estructural de un molino de bolas usando elemento finito
Revista Ciencias Técnicas Agropecuarias, vol. 25, núm. 2, 2016
Universidad Agraria de La Habana Fructuoso Rodríguez Pérez
Recepción: 27 Septiembre 2015
Aprobación: 19 Marzo 2016
Resumen: Uno de los métodos para el diseño de un molino de bolas es el de Bond. En este tipo de máquinas las condiciones de operación son críticas y cualquier cambio influye en su diseño. En este trabajo se desarrolló un programa numérico (BM-Crush) con el propósito de contar con una herramienta para el diseño de un molino de bolas siguiendo la siguiente metodología: (1) se estimó el dimensionamiento del molino usando el método de Bond, (2) se emplearon las ecuaciones de movimiento para estimar la potencia mecánica (3) se utilizó la teoría de falla de Von Mises y de resistencia a la fatiga con el fin de obtener el espesor de sus paredes, y (4). El Método del Elemento Finito fue empleado para evaluar la integridad estructural del molino. Para esto se obtuvieron los campos de esfuerzos de Von Mises y los 5 primeros modos de vibración. Con todo esto. Se obtuvo la evaluación de la integridad estructural de un molino de bolas, al combinar un algoritmo híbrido, que por un lado emplea las ecuaciones de Bond y por otra parte se implementan subrutinas de ecuaciones de diseño mecánico. Todo esto en conjunto con el método del elemento finito.
Palabras clave: molino de bolas, cargas estáticas, frecuencia natural, Método del Elemento Finito.
Abstract: One of the methods for the design of a ball mill is Bond method. In this type of machine operating conditions are critical and any change affects your design. In this paper a numerical program (BM-Crush) was developed with the purpose of providing a tool for the design of a ball mill using the following methodology: (1) the sizing of the mill was estimated using the method of Bond (2) the equations of motion were used to estimate the mechanical power (3) failure theory of Von Mises and fatigue resistance was used in order to obtain the thickness their wall, and (4). The Finite Element Method was used to evaluate the structural integrity of mill. For this purpose were obtained the stress field of Von Mises and the 5 first modes of vibration. With all this. Evaluating the structural integrity of a ball mill was obtained using a hybrid algorithm that employs equations Bond, and moreover, subroutines mechanical design equations are implemented. All this combined with the finite element method.
Keywords: Ball mill, static loads, natural frequency, Finite Element Method.
INTRODUCIÓN
Los molinos de bolas son esencialmente reactores que transforman partículas grandes en partículas más pequeñas. Son equipos sencillos, relativamente baratos de construir, seguros, fáciles de controlar, mantener y además tienen bajos requerimientos de energía por tonelada de producto comparados con otros tipos de equipos de molienda (Blanc, 1975; Rivera et al., 2012). El molino de Bolas está formado por un cuerpo cilíndrico de eje horizontal, que en su interior tiene bolas libres de diversos tamaños (Figura 1a) (Lüders et al., 2012; Núñez y Martín, 2013; Cartagena, 2014). El cuerpo gira con el accionamiento de un motor, el cual mueve el cuerpo del cilíndrico por medio de algún accionamiento mecánico (banda, corona, etc.).

Esquema general de un molino de bolas.
Las bolas se mueven haciendo el efecto de cascada, rompiendo el material que se encuentra en la cámara de molienda mediante fricción e impacto. El material a moler ingresa por un extremo y sale por el opuesto. Cuando el molino gira sobre su propio eje, provoca que las bolas caigan en cascada desde su altura máxima. Esta acción causa un golpeteo sobre el material a moler; además de obtenerse un buen mezclado. De esta manera la molienda es uniforme (McCabe et al., 2004).
Los cuerpos moledores son bolas que pueden estar fabricadas de acero de fundición, acero forjado y éste puede estar aleado al Cr-Mo, para ser resistentes al desgaste por impacto o aleado con Ni, para ser más resistentes a la abrasión (bolas de acero muy duro) y suelen ser de diferentes tamaños aún en el mismo molino para facilitar la molienda (Bond, 1960; McCabe et al., 2004), (Figura 1b). Al intentar describir un sistema de molienda, incluso el más sencillo, existen un número de niveles de complejidad que pueden ser usados. Estos pueden ser categorizados, en orden ascendente, de la siguiente forma (Duda, 1977; Bombardieri, 2010; Osorio et al., 2013):
1. Método de la energía específica global
2. Método global de Bond
3. Método de balance de tamaño-masa
En este trabajo se hace uso únicamente del método de Bond, que consiste en utilizar una serie de relaciones empíricas, como “ley” de Bond (Bond, 1960), las que describen cómo la energía específica de molienda varía con cambios en el tamaño de la alimentación o el tamaño del producto. Se utilizan factores de escalamiento y a menudo es necesario hacer una serie de correcciones con base en experiencias previas para obtener resultados correctos. Este método engloban todos los factores cinéticos en un único parámetro descriptivo, el índice de trabajo de Bond (wiD). El método de Bond permite estimar las dimensiones iniciales del molino. El tamaño y distribución de las bolas de acero dependen del tipo de material que se va a moler (Davis, 2004; Albertin et al., 2011; Soler y Muñoz, 2012; Romero Baylón et al., 2014). Este método además permite la estimación de la potencia mecánica necesaria para hacer girar el molino a una velocidad constante, sin embargo, en este trabajo la potencia mecánica es estimada a partir de las ecuaciones de movimiento del molino con base en el par mecánico, esto evita las suposiciones y limitaciones que implica el método de Bond, que consiste en despreciar el peso del molino y del material a moler (Bond, 1960; Davis, 2004; Rivera et al., 2014).
PLANTEAMIENTO DEL PROBLEMA
En la literatura abierta existen pocos trabajos acerca del diseño de un molino de bolas desde el punto de vista estructural. Además todos los métodos de dimensionamiento están aplicados a molinos de gran tamaño en donde las consideraciones de diseño son diferentes a la de los molinos pequeños (Bond, 1960; Duda, 1977; Davis, 2004; Rose & Sullivan, 1958). Debido a ésta problemática, en el presente trabajo se presenta el diseño de un molino de bolas que consiste en: (I) estimar las dimensiones iniciales de un molino de bolas y sus condiciones de carga (Figura 2), (II) el espesor de sus paredes con base en la teoría de falla de Von Mises y de resistencia a la fatiga y (III) la evaluación de la integridad estructural del molino en condiciones estáticas y dinámicas.

Dimensionamiento de un molino de bolas.
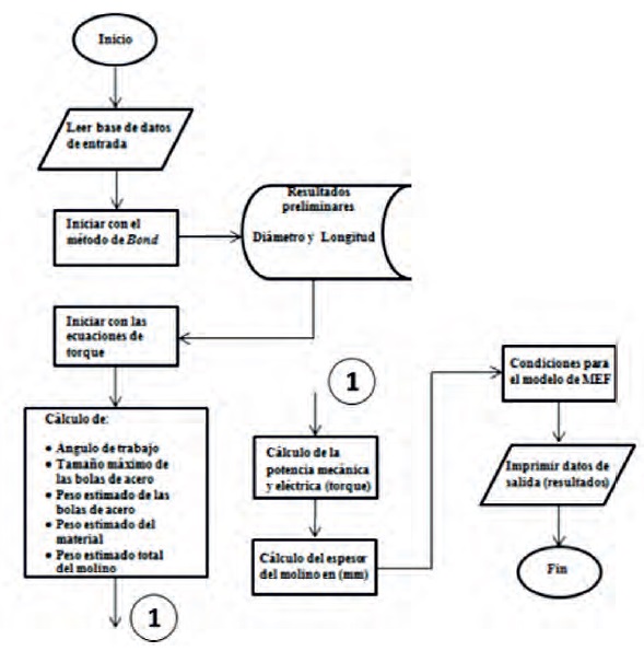
Para este propósito fue necesario el desarrollo de un programa numérico (BM-Crush), (Figura 4). Para la evaluación de la integridad estructural fue empleado un programa de elementos finitos. Todo esto para una condición de operación específica. Las condiciones iniciales de operación para el dimensionamiento del molino (longitud, diámetro, velocidad, potencia mecánica, tamaño y distribución de las bolas de acero) se muestran en la Tabla 1.

Metodología general del diseño de un molino de bolas

Diagrama de flujos del programa BM-Crush.

Condiciones de operación
MÉTODOS
La metodología general de diseño empleada en este trabajo se muestra en la Figura 3. Estas parten de unas condiciones de parámetros de diseño específicos (Tabla 1).
El procedimiento numérico para el diseño del molino de bolas (BM-Crush) y las condiciones de frontera para una simulación usando un programa de elementos finitos se muestran en la Figura 4, donde el programa BM-Crush fue escrito en C++ y la simulación para la evaluación de la integridad estructural fue hecha con Ansys, versión 14.5.
El procedimiento final consistió en evaluar la integridad estructural del molino de bolas usando un programa de elementos finitos para tres modelos de diferente espesor: a) 12,7 mm; b) 15,9 mm; c) 19,1 mm.
Bases Teóricas
Las bases teóricas en las que se fundamenta este trabajo se describen simplificadamente en los siguientes puntos. Éstas se incluyen como parte del algoritmo general del programa BM-Crush.
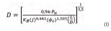
(1) Método de bond. Este es el método inicial utilizado en el dimensionamiento del molino (Figura 3). En el programa BMCrush el diámetro del molino es obtenido mediante la ecuación 1, y la longitud depende de la relación (L/D) que se halla supuesto desde el inicio de los cálculos, donde KB es una constante que es igual a 4,456·10-5 para molienda seca y Φ. es la velocidad crítica.

La potencia mecánica Pa, se puede obtener mediante la ecuación 2, propuesta por Bond, donde; (d80 . D80) representan el tamaño de las partículas de entrada y salida expresada en metros, . es la capacidad del molino en toneladas/hora (Rowland y Kjos, 1978).

El índice de Bond (wiD) debe ser corregido (wi) para otras condiciones de operación mediante la ecuación 3, donde Kj depende de una serie de 8 factores que se pueden obtener de tablas y de por otros procedimientos numéricos (Duda, 1977; Neikov et al., 2009; Wills, 2011).

wiD, depende de las dimensiones del diámetro del molino de bolas y se corrige mediante la ecuación 4.

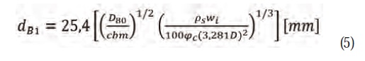
El tamaño máximo de las bolas se determina mediante la siguiente expresión desarrollada por Bond (ecuación 5) (Wills, 2011).

donde;
ρ. = densidad del material a moler en gr/cm3
cbm = constante del molino de bolas = 350
(2) Potencia mecánica. La potencia estimada de un molino en función de su par mecánico fue descrita por (Duda, 1977), y es empleada por el programa BM-Crush para las condiciones de torque utilizadas por el programa de elementos finitos; . es la relación geométrica entre el centro de gravedad y el nivel de llenado del molino, mT es el peso total del molino, . es la velocidad a la que gira el molino en rpm.

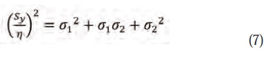
(3) Teoría de falla de von-mises. El cálculo del espesor de un molino, se realiza considerando el diseño de un cilindro hueco por la teoría de la energía de distorsión de Von Mises-Hencky. Este método de energía de distorsión fue propuesto inicialmente por James Clerk Maxwell, en 1856, y después se le hicieron algunas contribuciones: en 1904 por Hueber, en 1913 por Von Mises y en 1925 por Hencky. Actualmente se le da crédito a Von Mises y a Hencky. La teoría dice que el principio de fluencia se produce cuando la energía de distorsión alcanza un valor crítico (Mises, 1913). Esta Puede ser simplificada en 2-D por:

Para una combinación de cargas, los esfuerzos principales y son;

El esfuerzo combinado de flexión está dado por;

El esfuerzo de torsión es;

Los momentos de inercia y polar de inercia;

Combinando las ecuaciones 9, 10 y 11 dentro de la ecuación 8. Finalmente sustituyendo en la ecuación 7 y considerando la fuerza axial P=0. Se obtiene la ecuación de diseño por Von mises.

donde;
d0 - diámetro exterior del molino;
di - diámetro interior del molino;
η -factor de seguridad;
Sy - límite de cedencia;
M - momento de flexión;
T - momento de torsión.
Resistencia a la fatiga. Para dimensionar el espesor del molino mediante condiciones de resistencia a la fatiga, se usará el criterio no lineal con base en la Norma de la American Society of Mechanical Engineers (A.S.M.E.) (Norton, 2011).
El modelo de ésta se muestra en la Figura 5. La ecuación general que describe este modelo no lineal en los puntos de fallas es:

Modelo de falla típica en ejes sometidos a flexión alternante y torsión constante

donde:
Sa - esfuerzo alternante;
Sm - esfuerzo medio:
Se’ - 0,5 Su, donde Su es el esfuerzo último;
Sys- 0.577Sy.
En la ecuación 14, se introducen los siguientes factores; el factor de concentración de esfuerzos Kesf, el factor de seguridad η.

La resistencia a la fatiga (Se) se debe modificar de acuerdo a la ecuación 15, (Pilkey y Pilkey, 2008; Shigley et al., 2011)1

Finalmente desarrollando las ecuaciones 15, 16 y 17 dentro de la ecuación 14, se obtiene la ecuación de diseño por resistencia a la fatiga (ecuación 18).



donde:
Kesf - Concentrador de esfuerzos;
Se - Resistencia a la fatiga;
Sy - Resistencia a la cedencia;
M - Momento de flexión alternante;
T - Momento de torsión medio.
Análisis numérico
Simulación estática usando el método del elemento finito.
Con ayuda del programa BM-Crush fue posible obtener las dimensiones del molino de bolas (Figura 6), su espesor y sus condiciones de frontera (Tabla 2).

Cargas aplicadas a los modelos analizados

Modelo geométrico del molino de bolas.
En la Tabla 2, se muestran los torque y las presiones aplicadas a los tres modelos bajo estudio. El peso del molino se analiza con base en su densidad. La presión está en función de la fuerza cinética ejercida por las bolas de acero y del material a moler.
El torque y la presión se obtuvieron directamente por medio del programa BM-Crush para cada una de las geometrías evaluadas. El tipo de elemento usado en este trabajo fue un elemento parabólico 3D-solid-186 de 20 nodos. Este tipo de elemento puede tolerar formas irregulares, se puede utilizar como tetraedro o hexaedro sin pérdida en la precisión de los resultados, así mismo se usará un acero estructural A-36 que tiene un módulo de Young de 200 GPa y coeficiente de Poisson de 0,3.
El modelo consta de cuatro grados de libertad. Las condiciones de frontera serán aplicadas en los extremos del modelo en donde se restringirán los movimientos en los ejes (x, y) y se deja libre la rotación en z. La aplicación de las cargas serán declaradas de la siguiente forma; el peso del molino estará en función de la densidad del material utilizado para su construcción (7 850 kg/m3). La fuerza ejercida por las bolas de acero se modelará como una presión concentrada en una cuarta parte de las paredes internas del molino, y por último el torque se simula como una fuerza tangencial opuesta en los ejes (x, y), (Figura 7).

Condiciones de frontera y aplicación de las cargas.
En este trabajo se realiza una prueba de convergencia, en donde se utilizaron 5 densidades de mallas diferentes, a partir de 204 015 elementos el modelo converge al 97%. Se puede observar que usando 461 101 elementos el resultado se mantiene prácticamente constante. Sin embargo el tiempo de computo se incrementa 5,5 veces (Figura 8).

Prueba de convergencia

Densidad de la malla del molino de bolas.
Simulación del modelo estático I(12,7mm) (Tabla 3).
En las Figuras (10-18) se muestran los resultados de las simulaciones usando un programa de elementos finitos (Ansys), bajo condiciones estáticas en donde se evaluaron los esfuerzos de Von Mises y las deflexiones máximas usando dos criterios de carga; 1) considerando el torque. Esto con el propósito de obtener el campo de esfuerzos de Von Mises al considerar todos los efectos y todas las cargas. 2) sin considerar el torque. Esto con el fin de obtener los esfuerzos y deflexiones sobre la panza del molino.

Esfuerzos de Von Mises considerando el torque

Deflexión máxima sin torque

Esfuerzos de Von Mises sin torque.

Esfuerzos de Von Mises considerando el torque

Deflexión máxima sin torque.
En la Figura 9a se muestra el modelo discretizado, cuya densidad de elementos es homogénea y es de 461 101 elementos.
Para mejorar el tiempo de cómputo y la convergencia de los resultados se procede a discretizar el modelo con tres densidades diferentes (Figura 9b). Esto se justifica debido a que los efectos más críticos suceden donde se unen los cartabones con la flecha y la tapa del molino, la densidad total bajo estas condiciones fue de 337 611 elementos y 3 251 segundos de computo.
Para el análisis estático del molino de bolas se analizan tres modelos diferentes con las mismas dimensiones y con diferentes espesores, (12,7mm, 15,9mm, 19.1mm). Estos fueron obtenidos usando el programa BM-Crush.

Malla del modelo I
Simulación del modelo estático II (15,9 mm) (Tabla 4).

Malla del modelo II

Esfuerzos de Von Mises sin torque
Simulación del modelo estático III (19,1 mm) (Tabla 5).

Malla del modelo III

Esfuerzos de Von Mises considerando el torque

Deflexión máxima sin torque

Esfuerzos de Von Mises sin torque.
Simulación dinámica usando el Método del Elemento Finito
Todas las estructuras y sistemas que poseen masa y elasticidad son capaces de vibrar. Estas pueden ser excitadas por fuentes externas. Si la frecuencia de estas fuentes coincide con una de ellas, la estructura entra en resonancia y puede colapsarse. Para evitar esto es necesario conocer las frecuencias naturales de vibración de los diferentes modos. De esta forma se denomina “análisis modal” a las técnicas utilizadas para determinar los modos normales, formas y sus respectivas frecuencias naturales de vibración. La técnica más utilizada para esto es el Método de Elementos Finito y la ecuación general de movimiento dentro de un análisis dinámico se muestra en la ecuación 19:

dónde;
[M] matriz de masa
[C] matriz de amortiguamiento
[K] matriz de rigidez
[ü] vector nodal de aceleración
[] vector nodal de velocidad
[u] vector nodal de desplazamiento
[F] vector de fuerza aplicada
Para un análisis modal en condiciones libres sin amortiguamiento, la matriz de amortiguamiento y el vector de fuerzas aplicado son ignorados. Para este modelo se utilizó un espesor de 12.7 mm, y fueron extraídos los 5 primeros modos de vibración (Figuras 19 -23).

Primer modo de vibración.

Segundo modo de vibración.

Tercer modo de vibración.

Cuarto modo de vibración.

Quinto modo de vibración.
DISCUSIÓN DE RESULTADOS
Usando la teoría de falla de Von Mises y de resistencia a la fatiga se estimó el espesor del molino mediante varias consideraciones. Fue necesario suponer un coeficiente de seguridad relativamente grande (Tabla 7 y Tabla 8), con base en esto se eligen tres espesores de 12,7 mm, 15,9 mm y 19,1 mm como límite para ser sometido a simulaciones numéricas por el Método del Elemento Finito.

Resultados usando el método de Bond

Espesores usando Von-Mises

Espesores usando la resistencia a la fatiga
Los resultados de (dimensiones, velocidad y potencia eléctrica) fueron obtenidos usando el programa BM-Crush, estos se muestran en la Tabla 6.
La Tabla 7, muestra los espesores de las paredes del molino variando los coeficientes de seguridad.
La Tabla 8 muestra las condiciones que se emplearon para estimar el espesor de las paredes del molino por medio de la resistencia a la fatiga.
En los resultados que se muestran en la Figura 24, se observa que los tres modelos están por debajo del límite de cedencia del material (Sy= 260MPa).

Esfuerzo y deformación de los modelos I, II y III.
Sin embargo los esfuerzos máximos no se localizan en el interior del molino de bolas (Figura 25). Estos se localizan en:
a) La placa que une a la flecha con la tapa del molino (Torsión principalmente)
b) El soporte de la chumacera (Cargas y peso del molino)

Esfuerzo de Von Mises en condiciones estáticas.
Esto se debe básicamente a que los impactos dentro del molino no se están considerando dentro del modelo, por lo que es necesario un análisis de impactos dentro del molino. Por otro lado todas las estructuras poseen varias formas de vibrar naturalmente (modos de vibración), si una carga oscila en la vecindad de esa frecuencia natural propia de cada estructura, esta tiende a colapsar (resonancia), es por eso que se deben de tener en cuenta los modos de vibración de cada estructura. La zona de trabajo para un espesor del molino de 12,7 mm es menor de 1.1 Hz.

En la Figura 26 se muestran los cinco modos de vibración que se extrajeron numéricamente, usando el método del elemento finito, se puede ver que la región de resonancia está lejos de la zona de trabajo que oscila entre 0,3 y 1,1 Hertz. Es de esperarse que al considerarse las cargas (bolas de acero dentro del molino y el soporte estructural del molino) su frecuencia natural de vibración aumente, debido a una mayor rigidez del sistema (Lee, 2012) y no supone un riesgo para la baja zona de trabajo con la que opera el molino de bolas.
CONCLUSIONES
El método de Bond es necesario para estimar inicialmente las dimensiones del molino con base a la reducción de un material (Factor de reducción) para un determinado tiempo.
El espesor del molino se estima inicialmente en condiciones estáticas, en donde es necesario un coeficiente de seguridad elevado de hasta 120, para Von Mises y de 8 para condiciones de resistencia a la fatiga.
La zona en la que trabaja el molino de bolas es de (0,3 a 1,1) Hertz, la misma está alejada a las frecuencias naturales de los modos de vibración, por lo que se excluye que pueda entrar en resonancia y fallar.
El desarrollo de un programa implementado sobre ordenador hace que el proceso de análisis sea más eficiente permitiendo evaluar diferentes condiciones de operación en muy poco tiempo y adecuar el propósito de las ecuaciones de diseño para condiciones específicas.
El desarrollo de un algoritmo propio permite flexibilidad en el manejo de los resultados adecuándolos para ser usados inmediatamente por un programa de elementos finitos, ahorrando tiempo en el diseño de los molinos de bolas.
Es necesario realizar un análisis dinámico transitorio en el que se consideren las cargas de impacto para poder evaluar la integridad dinámica bajo estas condiciones.
Agradecimientos
Los autores agradecen al apoyo brindado por CONACyT y el Instituto Politécnico Nacional.
Referencias
ALBERTIN, E.; SINATORA, A.; PITALUGA, G.; PARADA, A.: ¨Relación entre factores micro-estructurales e impacto repetido en aleaciones de alto cromo para bolas de molino.//Relationship among factors micro-structural and impact repeated in alloys of high chromium for mill balls.¨, Ingeniería Mecánica, ISSN-1815-5944, 11(1): 57–62, 2011.
BLANC, E.C.: Tecnología de los aparatos de fragmentación y de clasificación dimensional: machacadoras, trituradoras, cribas, separadores, Ed. Rocas y Minerales, pp. 50-56, ISBN-9788440084903 [en línea] 1975, Disponible en: http://books.google.com.cu/books/about/ Tecnolog%C3%ADa_de_los_aparatos_de_ fragmenta.html?id=52dKGQAACAAJ&redir_esc=y [Consulta: 28 de marzo de 2015].
BOMBARDIERI, L.: ¨Pietre da macina, macine per mulini, Definizione e sviluppo delle techniche per la macinazione nell’area del Vicino Oriente e del Mediterraneo orientale antico, 2010¨, Journalof Near Eastern Studies, ISSN-0022-2968, 22: 259–267, 2010.
BOND, F.C.: ¨Crushing and Grinding Calculations¨, British Chemical Engineering, ISSN-0007-0424, 6(1): 378-391, 543-548, 1960.
CARTAGENA, F.A.: ¨Dimensionamiento de molinos de bolas¨, Revista Remetallica, ISSN-1888-8615, 0(5), 2014 [en línea] 24 de septiembre de 2014, Disponible en: http://www.journals.usach.cl/ojs/index.php/remetallica/article/view/1683 [Consulta: 28 de marzo de 2015].
DAVIS, J.R.: Handbook of Thermal Spray Technology, Ed. ASM International, pp. 344, ISBN-9780871707956, [en línea] 1 de enero de 2004. Disponible en: http://books.google.com.cu/books/about/Handbook_of _Thermal_Spray_Technology.html?id=S0PryYc9T70C&redir_esc=y [Consulta: 28 de marzo de 2015].
DUDA, W.H.: Manual tecnólogico del cemento, Ed. Reverte, pp. 352, ISBN-9788471460950, [en línea] 1977, Disponible en: http://books. google.com.cu/books?id=pt20-8Ey56YC&pg=PA10&lpg=PA10&dq=Manual+t%C3%A9cnico+del+cemento%2BDuda&source=bl&ot s=WlCgSEbuFB&sig=MZJEfcvS4Ba2VXfQ-smtSEzPTsM&hl=es&sa=X&ei=t8J8VOjpJ7WLsQTSt4DoCA&ved=0CBwQ6AEwAA#v=o nepage&q=Manual%20t%C3%A9cnico%20del%20cemento%2BDuda&f=false [Consulta: 28 de marzo de 2015].
LEE, H.-H.: Finite Element Simulations with ANSYS Workbench 14, 607pp., Ed. SDC Publications, ISBN- 781585037254, USA, 2012.
LÜDERS, M.; WALTER, H.J.; NOLD, P.; LÖBE, R.; MÜLER, M.; GERL, S.: ¨Ecoprep: la preparación rentable de masas cerámicas¨, Boletín de la Sociedad Española de Cerámica y Vidrio, ISSN-0366-3175, 51(2): L–LIII, 2012.
MCCABE, W.; SMITH, J.; HARRIOTT, P.: Unit Operations of Chemical Engineering, 1152pp., Ed. McGraw-Hill Science/Engineering/Math, 7a. ed. ISBN-9780072848236, Boston, [en línea] 27 de octubre de 2004, Disponible en: http://www.amazon.com/Operations-Chemical- Engineering-McGraw-eries/dp/0072848235 [Consulta: 28 de marzo de 2015].
MISES, R. v: ¨Mechanik der festen Körper im plastisch- deformablen Zustand¨, Nachrichten von der Gesellschaft der Wissenschaften zu Göttingen, Mathematisch-Physikalische Klasse, ISSN-null, 1913: 582-592, 1913.
NEIKOV, O.D.; MURASHOVA, I.B.; YEFIMOV, N.A.; NABOYCHENKO, S.: Handbook of Non-Ferrous Metal Powders: Technologies and Applications, 644pp., Ed. Elsevier, ISBN-9780080559407, USA, 24 de febrero de 2009.
NORTON, R.L.: Diseño de máquinas: un enfoque integrado, Ed. Pearson Education, ISBN-978-607-32-0589-4, USA, 2011.
NÚÑEZ, M.R.; MARTÍN, Á.: ¨Nuevas ideas en la industria de la molienda del clínker¨, Cemento Hormigón, ISSN-0008-8919, 957: 28–31, 2013.
OSORIO, A.M.; MARÍN, J.M.; RESTREPO, G.: ¨Diseño y Evaluación Energética de dos Circuitos de Molienda y Clasificación para un Clinker de Cemento a Escala Piloto¨, Información tecnológica, ISSN-0718-0764, 24(2): 99–108, 2013.
PILKEY, W.D.; PILKEY, D.F.: Peterson’s Stress Concentration Factors, 560pp., Ed. John Wiley & Sons, ISBN-9780470048245, USA, 14 de enero de 2008.
RIVERA, I.E.; QUINTERO, F.; RÚA, O.B.: ¨Análisis del desgaste de medios moledores de acero en un molino de bolas de la compañía Argos SA¨, Prospectiva, ISSN-1692-8261, 10(1): 108–112, 2012.
RIVERA, I.; QUINTERO, F.; BUSTAMANTE, O.; LOAIZA, G.: ¨Aplicación de un modelo de balance poblacional a un molino de bolas en la industria del cemento¨, Ingeniería y Ciencia, ISSN-1794-9165, 10(19): 163–177, 2014.
ROMERO BAYLÓN, A.; FLORES CHÁVEZ, S.; PACHECO, W.: ¨Diseño y construcción de microaerogenerador «ar-sf-wp-500» para la molienda de mineral a escala de laboratorio¨, Industrial Data, ISSN-1810-9993, 14(1): 062–068, 2014.
ROSE, H.E.; SULLIVAN, R.M.E.: A treatise on the internal mechanics of ball, tube, and rod mills, [en línea] Ed. Constable, pp. 264, 1958. Disponible en: http://books.google.com.cu/books/about/A_treatise_on_the_internal_mechanics_of.html?id=JM1BAQAAIAAJ&redir_esc=y [Consulta: 28 de marzo de 2015].
ROWLAND, C.A.; KJOS, J.: Ball and Rod Milling, Mineral Processing Plant Design, Ed. AIME, pp. 239-278, ISBN-0-89520-442-8, 1978.
SHIGLEY, J.E.; NISBETT, J.K.; GORDON, R.: Mechanical Engineering Design, pp. 279-286, Ed. Mc-Graw Hill, ISBN-978–0–07–352928–8, USA, 2011.
SOLER, A.I.R.; MUÑOZ, B.C.: ¨Comportamiento estructural y magnético del sistema FECO obtenido mediante aleamiento mecánico¨, Scientia et Technica, ISSN-0122-1701, 1(52): 174–182, 2012.
WILLS, B.A.: Wills’ Mineral Processing Technology: An Introduction to the Practical Aspects of Ore Treatment and Mineral Recovery, 457pp., Ed. Butterworth-Heinemann, ISBN-9780080479477, USA, 18 de abril de 2011.
Notas