Adjustment of the plastic parameters of the Extended Drucker Prager model for the simulation of the mechanical response of a clayey soil (Vertisol)
Ajuste de los parámetros plásticos del modelo de Drucker Prager Extendido para la simulación de la respuesta mecánica de un suelo de textura arcillosa (Vertisol)
Adjustment of the plastic parameters of the Extended Drucker Prager model for the simulation of the mechanical response of a clayey soil (Vertisol)
Revista Ciencias Técnicas Agropecuarias, vol. 25, núm. 3, 2016
Universidad Agraria de La Habana Fructuoso Rodríguez Pérez
Recepción: 27 Noviembre 2015
Aprobación: 03 Junio 2016
Abstract: This research work was carried out with the aim of adjusting the constitutive parameters of the Extended Drucker-Prager (EDP) model which defines the phase of plastic deformation of soil in the simulation of the mechanical response of clayey soil (Vertisol). The stress-strain curve is divided into two parts and two equations describing its path were obtained. Initial data were consistent with the experimentally determined data. Starting from these results, the approximate values of both the internal friction angle of the fault plane of the Extended Drucker-Prager model, as well as the angle of dilatancy were searched out. Finally the optimum values of these angles were estimated, reducing errors in the predictions of the EDP model below 4.35% and turning this model adequate for simulating the mechanical response of the soil object of investigation.
Keywords: constitutive model, plastic deformation, adjustment of curves.
Resumen: El presente trabajo se realizó con el objetivo de ajustar los parámetros constitutivos del modelo de Drucker-Prager Extendido (DPE) que definen la fase de deformación plástica del suelo en la simulación de la respuesta mecánica de un suelo de textura arcillosa (Vertisol). La curva esfuer- zo-deformación se dividió en dos partes y se buscaron dos ecuaciones que describen su trayectoria. Los datos iniciales se correspondieron con los datos determinados experimentalmente. A partir de estos se buscarán los valores aproximados tanto del ángulo de fricción interna del plano de falla del modelo de Drucker-Prager Extendido, así como, el ángulo de dilatancia. Finalmente se estimaron los valores óptimos de estos ángulos, disminuyendo los errores en las predicciones del modelo DPE por debajo del 4,35% haciéndolo adecuado para la simulación de la respuesta mecánica del suelo investigado.
Palabras clave: modelo constitutivo, deformación plástica, ajuste de curvas.
INTRODUCTION
The constitutive model of Extended Drucker-Prager has been widely used in research related to computer simulation of the mechanical response of agricultural soils, the tire-soil interaction and soil-turning plow (Xiang & Jin, 2004; Jafari et al., 2006; Davoudi et al., 2008; Herrera et al., 2008, 2013; Yu et al., 2008; Xia, 2011; González et al., 2012, 2013; Armin et al., 2014; Ibrahmi et al., 2014; Moslem & Hossein, 2014). Its use is primarily because it takes into account the flow rules, considering that the soil can flow associated or non-associated to the yield surface, In addition, this model allows predicting changes of tensions resulting from deformation by soil softening or hardening, it appears implemented in most commercial software used in the simulation by the finite element meth- od, requiring only six parameters as input data, which may be determined by conventional assays in mechanic of soils laboratories.
However, Egil & Risnes (2001); Xiang & Jin (2004); Helwany (2007), Yin et al. (2009), SIMULIA (2008a) report that this model presents a limitation or restriction on values of friction angle under 22 degree, if the convexity is assured. This limitation makes it inconsistent for friction angle val- ues greater than 22 degree, when setting the parameters of Drucker-Prager to Mohr-Coulomb ,which will be reflected in the accuracy of predictions. On the other hand, Colmenares & Zoback (2002), Al-Ajmi & Zimmerman (2006), Herrera et al. (2008), Alejano & Bobet (2012), concluded, by comparing the experimental data with predictions, that the model of Drucker-Prager tends to overestimate the diverters efforts. Other researchers like Otarawanna et al. (2004 ), Grujicic et al. (2009) report that the assumption of the associated flow rule leads to excessive dilation 1.
In Cuba it has been used by Herrera et al. (2008) in the simulation of the mechanical response of a clay soil (Oxisol) 2, and in modeling the compaction caused by the traffic of agricultural vehicle tires over these same soils. Both authors found the model Drucker-Prager Extended suitable to simulate these phenomena, although errors in predictions ranged from 9,66 to 22,97% (Herrera et al., 2008) and 9,6 to 19,15% 2, depending on the level of soil moisture and density. These authors report that the model has some inaccuracies unable to represent the soil brittle failure and stress changes. In an analysis using the Drucker-Prager model in a sandy soil the angle of dilatancy has great influence in predicting diverters efforts once the soil begins to plastically flow. This effect is closely related to the density and angle of internal friction, as these properties relate to dilatancy. Given the foregoing the present work was aimed adjusting constitutive model parameters Drucker-Prager Extended defining the phase of plastic deformation of soil in simulating the mechanical response of clayey soil.
METHODS
Drucker-PragerExtended Model
In this investigation the soil was considered as an elastoplastic material. So the yield criterion used was the Linear Drucker-Prager one, and it is written as:
(1)Where:
F = the yield function, t = diverting stresses given by Equation (3), p = the diverting stress given in Equation (2), B = the angle of internal friction of Drucker-Prager, and d = the cohesion of the material.
(2)Where:
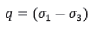
(3)
(4)
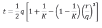
(5)Where:
K, is the coefficient relating diverting efforts obtained in triaxial extension with those obtained in triaxial compression (0.788 ≤ . ≤ .); when k= 1, t= q, which means that the yield surface is the circle of Von Mises represented in the plane of deviatory stress (Figure 1); σ1, σ2 and σ3 are compressivestresses in the triaxial test, and r is the third invariant of thedeviatory efforts.
The potential of plastic flow in the Linear Extended Drucker-Prager Model is expressed as shown in equation 6.
(6)

Where:
Gf- is the potential of plastic flow, y dilatancy angle in the plane p - t .
In the case of granular materials such as soil, not associated flow rule ψ<b is applied; the soil does not flow in the normal direction to the yield surface (Figure 2).
Associated flow rule is applied to establish thaty=b, where the soil flows to normal direction of the yield surface. When the angle of dilatancy takes value ψ=0, inelastic deformation is incompressible. However; if it takes a value greater than zero ψ=0 the soil expands.

Properties and parameters required by DruckerPrager’s Extended constitutive model
The mechanical properties and constitutive parameters were taken from the realized investigations by de la Rosa et al. (2011), de la Rosa & Herrera (2013).
Virtual model implementation
The process of the implementation of the model in computational tool ABAQUS CAE 6.8-1 appears described in research by de la Rosa et al. (2013). The simulation comprised nine humidity and soil density defined during experimentation, guaranteeing checking the validity of the model of Drucker Prager Extended to predict the mechanical response of soil at different levels of moisture and density. In total 54 simulations were performed to evaluate the different configurations that can take the model, considering the soil as a dilatant materials (ψ=b) or not dilatant (ψ=0), taking the coefficient that relates the deflecting efforts the following values K= 0,80; k= calculated; k= 1.
Method used for the adjustment of parameters
The method of approximation of nonlinear functions or curve fitting Levenberg-Marquardt was used to adapt the constitutive Extended Drucker-Prager Model. This one is a widely used method for estimating variables in different study fields such as in estimating soil moisture rainforest (Truong-Loï et al., 2015). Levenberg (1944), Marquardt (1963), Moré (1978), report that this adjustment method is actually a combination of two methods of minimization: the method of gradient descent and the Gauss-Newton method.
The Drucker-Prager (B) failure plane angle dominates the trajectory of the diverting efforts once the soil begins to deform plastically (Figure 3), from the yield stress up to it reaches the breakage stress. The dilatancy angle (Ψ) defines the path of the deviatory efforts when the soil reaches its breaking stress.

The effort-deformation curve was divided into two parts, and equations describing its trajectory were sought. For the particular case of this study the method was programmed in Matchad software, version 14.0.
Initial data from of these two parameters correspond to the experimentally determined data. From this on, the approximate values of both the internal friction angle of the failure plane for the Extended Drucker-Prager Model, and the angle of dilatancy, will be calculated.
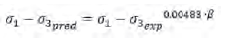
The value of the coefficient affecting the angle of friction of Drucker-Prager (B) depends on the type of failure that describes this curve, as it is shown in the equations 7 and 8.
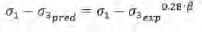
For the plastic failure, where a well-defined break point was seen, and the soil was plastically deformed by hardening, the equation would be:
(7)For the plastic failure, where a well-defined break point was not seen, and the soil was plastically deformed by softening, the equation would be:
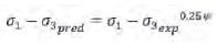
(8)Likewise, the value of dilatancy angle (ψ) was determined satisfying the accuracy in predictions (equations 9 and 10).
For the plastic failure, where a well-defined break point was observed, and soil was plastically deformed by softening, the equation would be:
(9)For plastic failure, where no well-defined break point was observed, and the soil was plastically deformed by tightening, the equation would be:
(10)An example of the approximate distribution of the exponential functions, depending on the internal friction angle of Drucker-Prager and on dilatancy (equation 7, 8, 9, and 10), is shown in Figure 4; it is shown that a suitable approximation of the predicted values in respect to the experimental ones, is reached for both the plastic failure (where a well-defined break point deformed by softening was observed), and the plastic failure deformed by hardening (where a well-defined break point was not observed).

RESULTS AND DISCUSSION
Adjust of the plastic parameters of DruckerPrager’sExtended model
In the case of internal friction angle of Drucker-Prager a nonlinear relationship was found that allows correlating the values of the angle of internal friction of the soil (ψ)with the estimated angle (B ) from the function approximation, so the relationship implemented in ABAQUS to relate the frictional parameters of Drucker-Prager criterion with the ones of Mohr-Coulomb. The adjusted model graph is shown in Figure 5a. In the case of dilatancy angle a polynomial relationship was obtained, allowing correlating the levels of dilatancy angle (ψ ) with the friction angle of Mohr-Coulomb (φ). The graph of the model can be seen in Figure 5b. Both models are considered moderately good, because the values of the determination coefficient ranged from 84,60 to 90,00% 2.

After determining the optimal values of the parameters related to the stage of plastic deformation of the Extended Drucker-Prager Model, the next step was the checking of the adjustments made to the constitutive parameters of the Extended Drucker-Pager Model.
In the case where the moisture content was near the plastic limit, and the soil exhibited a plastic failure with hardening (Figure 6a) it could be seen that the Extended Drucker-Prager Model is able to predict accuracy of deviatory efforts in both the elastic and plastic phases, once the adequacy of its parameters is done. A decreased mean absolute error (MAE) from 12,68 to 1,86% was achieved (Table 1).



When the moisture content exceeded the limit of adhesion, and the soil showed a plastic softening failure (Figure 6b), it was observed that the model is able to predict the mechanical response of the soil for the entire range of deformation. Similarly, when the soil exhibited a plastic hardening failure, a decreased of the mean absolute error (MAE) from 15,42 to 2,98% was achieved (Table 1).
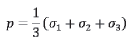
The lower value of the error was reached when the content of moisture was 27% and the density 1.05 g cm-3 (dry and loose soil). Here the soil exhibited a hardening plastic failure. On the other hand; the statistical analysis showed no statistically significant differences between experimental distributions and those predicted through simulation (Table 1); since the Pvalue for the cases under study was Pvalue ≥ 0,05.
CONCLUSIONS
The constitutive parameters of the Extended Drucker-Prager Model that define friction and dilatancy of soil in the phase of plastic deformation were adapted, and there was achieved a reduction of errors below 4,35% was achieved.
The adaptations made to the constitutive parameters of the Extended of Drucker-Prager Model by means of the function approximation method of Levenberg-Marquardt, made possible to accurately predict the mechanical response of Vertisol, regardless of their state of moisture, densification, and the type of failure the soil shows.
REFERENCES
AL-AJMI, A.M.; ZIMMERMAN, R.W.: “Stability analysis of vertical boreholes using the Mogi–Coulomb failure criterion”, International Journal of Rock Me- chanics and Mining Sciences, 43(8): 1200-1211, diciembre de 2006, ISSN: 1365-1609, DOI: 10.1016/j.ijrmms.2006.04.001.
ALEJANO, L.R.; BOBET, A.: “Drucker–Prager Criterion”, [en línea], En: Ulusay, R. (ed.), The ISRM Suggested Methods for Rock Characterization, Testing and Monitoring: 2007-2014, Ed. Springer International Publishing, pp. 247-252, DOI: 10.1007/978-3-319-07713-0_22, 2012, ISBN: 978-3-319-07712-3, Disponible en: http://link.springer.com/chapter/10.1007/978-3-319-07713-0_22, [Consulta: 23 de mayo de 2016].
ARMIN, A.; FOTOUHI, R.; SZYSZKOWSKI, W.: “On the FE modeling of soil–blade interaction in tillage operations”, Finite Elements in Analysis and Design, 92: 1-11, diciembre de 2014, ISSN: 0168-874X, DOI: 10.1016/j.finel.2014.07.004.
COLMENARES, L.B.; ZOBACK, M.D.: “A statistical evaluation of intact rock failure criteria constrained by polyaxial test data for five different rocks”, Inter- national Journal of Rock Mechanics and Mining Sciences, 39(6): 695-729, septiembre de 2002, ISSN: 1365-1609, DOI: 10.1016/S1365-1609(02)00048-5.
DAVOUDI, S.; ALIMARDANI, R.; KEYHANI, A.; ATARNEJAD, R.: “A two dimensional finite element analysis of a plane tillage tool in soil using a non-linear elas- to-plastic model”, American-Eurasian Journal of Agricultural & Environmental Sciences, 3(3): 498–505, 2008, ISSN: 1818-6769, 1990-4053.
DE LA ROSA, A.A.A.; HERRERA, S.M.; GONZÁLEZ, C.O.: “Propiedades macroestructurales de un Vertisuelo requeridas para la simulación computacional de la inter- acción suelo-apero de labranza mediante el Método de Elementos Finitos (MEF)”, Revista Ciencias Técnicas Agropecuarias, ISSN: 2071-0054, 20(2): 56-59, 2011.
DE LA ROSA, A.A.A.; HERRERA, S.M.; GONZÁLEZ, C.O.; BENÍTEZ, L.L.V.; CALZADA, P.I.; GARCÍA, P.L.: “Evaluación de la validez del modelo constitutivo Drucker Prager Extendido para la simulación de la respuesta mecánica de un Vertisol de la región central de Cuba”, Revista Ciencias Técnicas Agropecuarias, ISSN: 2071-0054, 22(1): 27-35, marzo de 2013,
DE LA ROSA, A.A.; HERRERA, S.C.: “Influencia del estado de humedad y densificación en las propiedades macroestructurales de un Vertisol en tres niveles de pro- fundidad”, Revista de la Facultad de Agronomía, ISSN: 0378-7818, 30(1): 33-52, 2013.
EGIL, F.R.; RISNES, R.: “Application of Three Dimensional Failure Criteria on High-Porosity Chalk”, [en línea], En: Proceedings of the 6th Nordic Symposium on Petrophysics, Ed. Nordic Energy Research Programme-Norwegian U. of Science and Technology, Trondheim, Norway, pp. 15–16, 2001, Disponible en: http://www. ipt.ntnu.no/nordic/Papers/6th_ Nordic_ Flatebo.pdf, [Consulta: 23 de mayo de 2016].
GONZÁLEZ, C.O.; HERRERA, S.M.; IGLESIAS, C.C.E.; DIEGO, N.F.; URRIOLAGOITIA, S.G.; HERNÁNDEZ, G.L.H.: “Modelo en elementos finitos de la interacción neumático-suelo”, Revista Mexicana de Ciencias Agrícolas, (4): 664-671, 2012, ISSN: 2007-9230.
GONZÁLEZ, C.O.; IGLESIAS, C.C.E.; RECAREY, M.C.A.; URRIOLAGOITIA, S.G.; HERNÁNDEZ, G.L.H.; URRIOLAGOITIA, C.G.; HERRERA, S.M.: “Three dimensional finite element model of soil compaction caused by agricultural tire traffic”, Computers and Electronics in Agriculture, 99: 146-152, noviembre de 2013, ISSN: 0168-1699, DOI: 10.1016/j.compag.2013.08.026..
GRUJICIC, M.; HE, T.; PANDURANGAN, B.; BELL, W.C.; CHEESEMAN, B.A.; ROY, W.N.; SKAGGS, R.R.: “Development, parameterization, and validation of a visco-plastic material model for sand with different levels of water saturation”, Proceedings of the Institution of Mechanical Engineers, Part L: Journal of Materials Design and Applications, 223(2): 63-81, 1 de abril de 2009, ISSN: 1464-4207, 2041-3076, DOI: 10.1243/14644207JMDA237.
HELWANY, S.: Applied Soil Mechanics with ABAQUS Applications, Ed. John Wiley & Sons, 402 p., 16 de marzo de 2007, ISBN: 978-0-471-79107-2.
HERRERA, S.M.; GONZÁLEZ, C.O.; NAVA, F.D.; RUIZ, V.J.; LÓPEZ, B.E.; IGLESIAS, C.C.E.: “Simulation of the soil mechanical behavior in the soil tillage tool interface”, Revista Facultad de Ingeniería Universidad de Antioquia, (69): 77-88, diciembre de 2013, ISSN: 0120-6230.
HERRERA, S.M.; IGLESIAS, C.C.E.; GONZÁLEZ, C.O.; LÓPEZ, B.E.; SÁNCHEZ, I.Á.: “Simulación mediante el Método de Elementos Finitos de la respuesta mecánica de un Oxisol”, Revista Ciencias Técnicas Agropecuarias, 17(2): 55–61, 2008, ISSN: 1010-2760, 2071-0054.
IBRAHMI, A.; BENTAHER, H.; MAALEJ, A.: “Soil-blade orientation effect on tillage forces determined by 3D finite element models”, Spanish Journal of Agricultural Research, 12(4): 941-951, 10 de octubre de 2014, ISSN: 2171-9292, DOI: 10.5424/sjar/2014124-5766.
JAFARI, R.; TAVAKOLI, T.; MINAEE, S.; RAOUFAT, M.H.: “Large deformation modeling in soil-tillage tool interaction using advanced 3D nonlinear finite element approach”, [en línea], En: Madureira, A.M. (ed.), 6th WSEAS International Conference on Simulation, Modelling and Optimization, Ed. World Scientific and Engineering Academy and Society, Lisbon, Portugal, p. 6, OCLC: 255720013, 2006, ISBN: 960-8457-53-X, Disponible en: http://www.wseas.us/e-library/confer- ences/2006lisbon/smo/index.htm, [Consulta: 1 de junio de 2016].
LEVENBERG, K.: “A method for the solution of certain non-linear problems in least squares”, Quarterly of Applied Mathematics, 2(2): 164-168, 1944, ISSN: 0033-569X.
MORÉ, J.J.: “The Levenberg-Marquardt algorithm: Implementation and theory”, [en línea], En: Watson, G.A. (ed.), Numerical Analysis, ser. Lecture Notes in Mathemat- ics, no. ser. 630, Ed. Springer Berlin Heidelberg, pp. 105-116, DOI: 10.1007/BFb0067700, 1978, ISBN: 978-3-540-08538-6, Disponible en: http://link.springer.com/ chapter/10.1007/BFb0067700, [Consulta: 23 de mayo de 2016].
MOSLEM, N.; HOSSEIN, G.: “Numerical simulation of tire/soil interaction using a verified 3D finite element model”, Journal of Central South University, 21(2): 817-821, 21 de febrero de 2014, ISSN: 2095-2899, 2227-5223, DOI: 10.1007/s11771-014-2005-5.
OTARAWANNA, S.; MANONUKUL, A.; CARMAI, J.: “Modelling of metal powder compaction using the modified Drucker-Prager cap model”, [en línea], En: Pro- ceedings of the 18 Mechanical Engineering Network of Thailand Conference, Ed. Department of Mechanical Engineer Prince of Songkla University, Thailand, pp. 315–321, 2004, Disponible en: http://tsme.org/ME_NETT/ME_NETT18/fullpaper/amm/AMM52.pdf, [Consulta: 23 de mayo de 2016].
PTC: Mathcad, [en línea], (Versión 14.0), [Windows], Ed. Parametric Technology Corporation (PTC), United State of America, 2007, Disponible en: http://support.ptc. com/support/mathcad_downloads.htm.
SIMULIA: Abaqus Analysis User’s Manual. Version 6.8, [en línea], Ed. Dassault Systèmes Simulia Corp., vol. III, Providence, RI, USA, 647 p., 2008a, Disponible en: http://www.pdfdrive.net/abaqus-analysis-users-manual-vol3-e6117226.html, [Consulta: 7 de julio de 2016].
SIMULIA: Abaqus Theory Manual. Version 6.8, [en línea], Ed. Dassault Systèmes Simulia Corp., Providence, RI, USA, 1176 p., 2008b, Disponible en: http://130.149.89.49:2080/v6.8/books/hhp/default.htm?startat=pt02ch03.html, [Consulta: 7 de julio de 2016].
TRUONG-LOÏ, M.L.; SAATCHI, S.; JARUWATANADILOK, S.: “Soil Moisture Estimation Under Tropical Forests Using UHF Radar Polarimetry”, IEEE Transactions on Geoscience and Remote Sensing, 53(4): 1718-1727, abril de 2015, ISSN: 0196-2892, DOI: 10.1109/TGRS.2014.2346656.
XIA, K.: “Finite element modeling of tire/terrain interaction: Application to predicting soil compaction and tire mobility”, Journal of Terramechanics, ISSN:0022-4898, DOI: http://dx.doi.org/10.1016/j.jterra.2010.05.001, 48(2): 113-123, 2011.
XIANG-R. Z.; JIN-C. W.: “Introduction to partly soil models in ABAQUS Software and their application to the geotechnical engineering”, Rock and Soil Mechanics, DOI: 25(2): 145-148, 2004.
YIN, L.; S. KAU y L. JIE: “Aplication of Mohr-Coulomb equivalent area yield criterion to slope stability analusis”, Journal of Geodesy and Geodynamics, ISSN:1671- 5942, 29(1): 135-139, 2009.
YU, L.; J. LIU; X. J. KONG y Y. HU: “Three-dimensional RITSS large displacement finite element method for penetration of foundations into soil”, Computers and Geotechnics, ISSN:0266-352X, DOI: http://dx.doi.org/10.1016/j.compgeo.2007.08.007, 35(3): 372-382, 2008.
MARQUARDT, D.W.: “An Algorithm for Least-Squares Estimation of Nonlinear Parameters”, Journal of the Society for Industrial and Applied Mathematics, 11(2): 431- 441, junio de 1963, ISSN: 0368-4245, 2168-3484, DOI: 10.1137/0111030.
Notes