Articulos Originales
Fractal Model for Morphological Representation of Capsicum annuum L. in 3D
Modelo fractal para la representación morfológica de la planta Capsicum annuum L. en 3D
Fractal Model for Morphological Representation of Capsicum annuum L. in 3D
Revista Ciencias Técnicas Agropecuarias, vol. 26, núm. 2, 2017
Universidad Agraria de La Habana Fructuoso Rodríguez Pérez
Recepción: 30 Abril 2016
Aprobación: 13 Marzo 2017
Abstract: This research is a support for 3D simulation agricultural robotics. Its aim is to design a three-dimensional model for Capsicum annuum L. (CAL) using fractal geometry theory, to be applied in agricultural robot simulators. Morphological characteristics of the plant were analyzed and fractal analysis was performed by the Box-Counting method (performing a linear Least-Squares Fitting) It was demonstrated the presence of a linear relationship that allowed classifying the plant as a fractal CAL. Based on that information, the model describing the growth of the plant was designed by an L-system and it was built from the algorithm model that describes, in natural language, the CAL L-system. Lparser tool was used, allowing interpreting the structure of the L-system plant model, simulating its growth in different stages and as a final result it is viewed through a Web 3D viewer.
Keywords: Plant, Three-dimensional Model, Geometry, Agricultural Robots.
Resumen: La presente investigación, surge como apoyo a la simulación 3D en robótica agrícola. Teniendo como objetivo diseñar un modelo tridimensional para la planta Capsicum annuum L. (CAL) mediante la teoría de la geometría fractal, para su uso en simuladores de robots agrícolas. Se analizaron características morfológicas de la planta y se realizó un análisis fractal de la misma mediante el método Conteo de Cajas (efectuando un ajuste lineal por mínimos cuadrados). Se demostró la presencia de una relación lineal que permitió clasificar la planta de CAL como un fractal. Sobre esta información se diseñó el modelo que describe el crecimiento de la planta mediante un Sistemas-L y se construyó a partir del modelo el algoritmo que describe en lenguaje natural el Sistema-L CAL. Se utilizó la herramienta Lparser, permitiendo interpretar la estructura del modelo de Sistema-L de la planta, simular el crecimiento de la misma en diferentes etapas y como resultado final se visualiza mediante un visor 3D Web.
Palabras clave: planta, modelo tridimensional, geometría, robots agrícolas.
INTRODUCTION
Introduction of advanced statistical models and tools into worldwide researches has increased nowadays. The use and proper interpretation of these techniques allow making optimal decisions, efficiency and achieving greater efforts in different areas and, especially, in agricultural sector, where those applications favor the development of productive systems (Chavez et al., 2013). The structural modeling of plants has been specifically developed through three different currents, focusing the present research in one of them: languages oriented to the three-dimensional modeling of plants, such as L-Systems (Fernandez, 2005).
Another way to model complex structures of nature, such as plants is the theory of fractals. Fractal geometry allows us to describe aspects such as: the bush of a shrub, the rough surface of a rock, or the profile of a mountain. Fractals is the set of forms normally generated by repetitive mathematical processes and are characterized by: 1) having the same appearance at any scale of observation, 2) having infinite length, 3) not being differentiable, and 4) having fractional or fractal dimension. Currently, although the four characteristics mentioned are maintained, their meaning is: geometric shapes that can be separated into parts, each of which is a reduced version of the whole (Gonzalez & Guerrero, 2001). Fractal geometry describes through algorithms, allows fractional dimensions and is suitable for describing natural forms. This geometry provides a description and a form of mathematical modeling for the complicated structures of nature (Ortiz & Hinojosa, 1998).
For all of the above, in the research is stated as a problem: How to model the plant Capsicum annuum L. using fractal geometry? By being able to model the plant at different stages of its growth in a natural way, its general structure can be estimated (number of leaves, branches and how the above elements are distributed spatially), that virtual plant can be visualized in 3D and incorporated into different simulation environments to study the behavior of robots (especially robotic arms), in order to know the appropriate kinematic and dynamical parameters in the operation. For this reason the objective of this research was to design a model that allowed the three-dimensional representation of Capsicum annuum L as a plant, starting from the hypothesis that, through fractal geometry theory, growth of Capsicum annuum L., plant can be modeled in its different stages to be used in simulators of agricultural robots. The present study ends in the 3D modeling stage of the plant, leaving future aspects related to agricultural robotics for future work.
METHODS
Botanical Characteristics of Capsicum annuum L.
The growth of the plant is the result of the evolution of specific cellular tissues. A bud can, at one time, die, and it will produce nothing in any period of time, or it may give birth to a flower (and then the bud dies). The axis of the leaves is the result of the activity of the bud located at its tip, which is called the apical bud; it is made of a series of internodes; an internode is a part of the stem made of a woody material, in whose tip one or more leaves can be found. Between two internodes there is a knot that carries leaves and buds, each node has at least one leaf and on each leaf axils there is an axillary bud (De Reffye & Houllier, 1997). A central notion for the model is the growth sequence of internodes and knots produced by the apical bud of the anterior node. Another important notion is related to the order of an axis (see Figure 1). The first order of the plant axis is the sequence of growth units in a way that, each of these growth units sprouts from the apical bud (De Reffye & Houllier, 1997).


To simulate the growth of the plant, the input parameters of Table 1 are considered:


Determination of the fractal dimension of the plant
To perform an analysis of fractal characteristics of the plant fractal dimension was determined: dimensionless numerical measure that determines the degree of irregularity of a fractal (Velasco et al., 2015). In order to calculate the fractal dimension of the Capsicum annuum L. plant, the Box-Counting method was applied.The procedure followed was to simulate a uniformly spaced mesh on the image of the plant and to quantify how many squares are required to cover the whole, The sizes of the grids for each iteration allowed recording the minimum amount of grids that covered the image. The fractal dimension of the object is calculated by seeing how this number changes as the mesh becomes thinner and thinner. This was possible with the use of computer vision techniques. (Figure 3)

Bouda et al. (2016), suggest that in this way, assuming that Nr is the number of squares in the required scale to cover the object, then its fractal dimension is defined according to Mimkowski-Bouligand´s formula as follows:

Thus, the number of squares contained in Capsicum annuum L. plant (Nr) and the scale factor (r) are recorded, as the latter becomes smaller and smaller. The logarithm of these two values is calculated and applying a Linear Regression analysis adjusted by a Least-Squares estimator, it can be observed that it keeps a linear relation, as it is shown in Figure 4. The presence of a linear relationship implies that the analyzed object is a fractal where the slope of the line will be the fractal dimension sought (Gaulin, 1994). As it is observed in the equation of the line shown in Figure 4, the fractal dimension of Capsicum annuum L. plant is 1.61726, and although this value will not be used in the model proposal, it is important to mention that it is an indicator of complexity of the plant shape. This indicator grows as the shape is more irregular.
From this analysis and once it has been demonstrated that the plant of Capsicum annuum L. is a fractal, it is possible to design a model based on L-Systems with feature fractal which describes the growth of the plant.

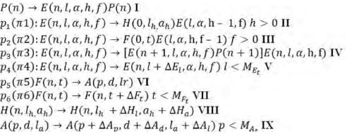
Lindenmayer and Lparser systems An L-System is a language, a formal grammar of parallel derivation, a set of rules and symbols mainly used to model the process of plant growth, but also it can model the morphology of a variety of organisms. L-Systems can be used to generate self-similar fractals (Prusinkiewicz, 1999). The model outlined below describes the growth of Capsicum annuum L. plant by an L-System. Before the L-System is proposed, the meaning of the symbols and parameters used in the model are defined as follows: P: apical meristem, H: leaf, E: internode, F: flower, F: fruit, []: beginning and end of a branch, n: level, h: number of leaves, f: number of flowers, l h : length of a leaf ah : width of a leaf, l: length of an internode, t: size of a flower, d: diameter of a fruit, l a : long of a fruit, p: weight of a fruit, a: angle of the branches with respect to the stem, ∆El : length an internode increases in a period of time, ∆Hl : length a leaf increases in a period of time, ∆Ha a leaf width increasing in a period of time, ∆Al : length a fruit increases in a period of time, ∆Ad : diameter a fruit increases in a period of time, ∆Ap : weight a fruit increases in a period of time, ∆Ft : size that increases a flower in a period of time, MAt: maximum size of a fruit, MFt: maximum size of a flower, MEt: maximum size of an internode.
L-systems: Capsicum annuum L. Plant Symbols: P, E, H, F, A, [,]
Settings:
• Internode: n, l, a, h, f
• Leaf: n, lh , ah
• Fruit: p, d, la
• Flower: n, t
• Apical bud: n Axiom: P Rules of production:

RESULTS AND DISCUSSION
Description of the model that generates the growth of Capsicum annuum L. plant
First, the alphabet formed by the following symbols P, E, H, F, A, [,] is defined. Let the rules of growth be the following set of rules of production:

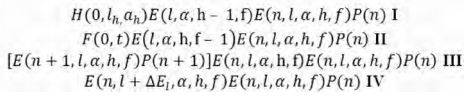
Initial conditions, given by a previously specified symbol chain (in this case the chain formed by a single symbol), are assumed for the simulation time t = 0.

Applying the rules of growth, it is obtained that, for the simulation time t = 1, the resulting chain is:

That is the result of replacing, in accordance with the first production rule, the symbol P with EP. Applying the growth rules again, the following resulting chains are obtained for t = 2:

The four new chains are the result of replacing in the first, the symbol E by HE and its corresponding parameters according to the second rule and, P by EP and its parameters as specified in the first rule; in the second chain, the result of replacing E by FE and its parameters, according to the third rule y, P by EP and its parameters, as specified in the first rule; in the third chain, the result of replacing E by [EP] E and P by EP with the corresponding parameters in each substitution; in the fourth and last chain the result of replacing E by E as specified by the fourth rule and P by EP as proposed by the first rule, in both substitutions with the corresponding parameters. It can be observed that, unlike the second iteration in which only 1 resultant chain was obtained, for t = 3, 4 chains were obtained, this is because in a plant an internode can produce in a given moment a leaf or a flower or create a new branch forming a new internode or simply the internode produces nothing, but is maintained and increases its length; in this case the model assigns a probability of occurrence for each of the possible productions that can be obtained, based on how this process occurs in the actual growth of the pepper plant, from this probability of occurrence, the rule to be applied is ramdomly selected.
In short, by applying the rules of production, defined as plant growth rules to a chain of preexisting symbols, a new chain is obtained, repeating the substitution of symbols iteratively, which coincides with the central concept of Lsystems: Rewriting, a technique for defining complex objects by successively replacing parts of a simple initial object (the axiom) by a set of rewriting or production rules (Deussen y Lintermann, 2006). By replacing the symbols of the chain obtained in the previous iteration, in the following ones, according to the rules of growth, the structure of the system increases its complexity, which makes it impossible to describe the process without the help of a tool that interprets the model for its graphic visualization.
It is important to emphasize that the rules of new parts production are the same ones as those used to create the previous parts, in this way a structure is achieved in which each part of it looks like the total, what is known as “Autosimilarity”and facilitates the description of fractal-like forms (Mandelbrot, 1997). The geometric notion of self-similarity became a paradigm for structure in the natural world. Nowhere this principle is more evident than in the world of Botany (Lindenmayer & Prusinkiewicz, 1996).
Another important consideration is that the rules of production are applied simultaneously to all the symbols of the input chain, be it the axiom or the resulting chains of each derivation, which is a property that reflects the biological origin of Systems- L, since living organisms grow simultaneously in “all” their parts and not sequentially. The following images show the result of interpreting the process described above for a simulation time n = 10, which was possible by using Lparser tool, which according to (LahozBeltra, 2010) is oriented to the simulation of L-Systems and the program Cortona3DViewer 6.0, used to visualize the resulting file of System-L parser Capsicum annuum L., thus allowing to show plant simulation in different stages of its growth (Figure 5).

System Algorithm-L Capsicum annuum L.
The algorithm consists of a microgrammatic that has symbols and rules of substitution. From simple forms, a complex structure is constructed, which can be interpreted in graphic terms and represented as the structure of the plant. The System-L Capsicum annuum L. algorithm is described in natural language as follows:
Input:
A: Set of rules, with associated constraints and probabilities.
Axiom: Initial symbol chain.
I: Number of iterations.
Output:
C: Generated chain.
1. C = Axiom
2. While k = 0 to I:
3. C ‘= Empty chain.
4. For each S symbol of C:
5. R ‘= Applicable rules of R that have S as left part.
6. Randomly choose an X rule of R ‘taking into account the associated probabilities.
7. C ‘= C’ + Right part of X
8. C = C’
9. End of cycle
10. Returns
C 11. End of program
CONCLUSIONS
• A study was developed of the current state of plant growth and development modeling, focusing attention on one of its main possibilities: the structural modeling of plants and within it, L-Systems and the theory of fractal geometry for Modeling Capsicum annuum L. plant growth.The main methods for analyzing fractal properties were identified.
• A fractal analysis was performed to the Capsicum annuum L. plant using the Box Counting method, evidencing the presence of a linear relationship, which demonstrates fractal characteristics in the plant, being possible then to model it by the fractal geometry theory. On that information the model that describes the growth of the plant from an L-System with fractal characteristics was constructed
• The algorithm was designed in natural language that simulates the growth of the plant from the L-System Capsicum annuum L.
• The proposed model was validated using the Lparser program, which allowed visualizing the simulation of the Capsicum annuum L. plant at different stages of its growth.
REFERENCES
VELASCO, A.; RODRÍGUEZ, J.; ORDÓÑEZ, E.G.; SIGNED, P.R.; CORREA, C.; FORERO, G.; MÉNDEZ, L.; BERNAL, H.; VALERO, L.; HOYOS, N.: “Introducción de la Geometría fractal en neurocirugía y sus posibles aplicaciones.”, 22: 171-175, 2015, ISSN: 0123-4048.
BOUDA, M.; CAPLAN, J.S.; SAIERS, J.E.: “Box-Counting Dimension Revisited: Presenting an Efficient Method of Minimizing Quantization Error and an Assessment of the Self-Similarity of Structural Root Systems”, Frontiers in Plant Science, 7, 2016, ISSN: 1664-462X, DOI: 10.3389/fpls.2016.00149, Disponible en: http://www.ncbi.nlm.nih.gov/pmc/articles/PMC4758026/, [Consulta: 9 de febrero de 2016].
CHÁVEZ, E.D.; SABÍN, R.Y.; TOLEDO, D.V.; JIMÉNEZ Á.Y.: “La Matemática: una herramienta aplicable a la Ingeniería Agrícola”, Revista Ciencias Técnicas Agropecuarias, 22(3): 81-84, 2013, ISSN: 2071-0054.
DE REFFYE, P.; HOULLIER, F.: “Modelling plant growth and architecture: Some recent advances and applications to agronomy and forestry”, Current Science, 73(11): 984-992, 1997, ISSN: 0011-3891.
DEUSSEN, O.; LINTERMANN, B.: Digital Design of Nature: Computer Generated Plants and Organics, Ed. Springer Science & Business Media, 297 p., Google-Books-ID: j6LYkm6FuOIC, 2006, ISBN: 978-3-540-27104-8.
FERNANDEZ, Q.M.P.: “Estado del arte en modelación funcional-estructural de plantas”, Bosque (Valdivia), 26(2): 71–79, 2005, ISSN: 0717-9200.
GAULIN, C. (ed.): Proceedings of the 7th International Congress on Mathematical Education: Québec, 17-23 August 1992, no. solc. QA11.A1 I453 1992, Ed. Presses de l’Université Laval, Sainte-Foy [Québec], 495 p., 1994, ISBN: 978-2-7637-7362-9.
GONZÁLEZ, V.A.; GUERRERO, C.: “Fractales: fundamentos y aplicaciones.Parte I: Concepción geométrica en la ciencia e ingeniería”, 4(10): 53-59, 2001, ISSN: 1405-0676.
LAHOZ-BELTRA, R.: Bioinformática: Simulación, vida artificial e inteligencia artificial, Ed. Ediciones Díaz de Santos, 610 p., Google-Books-ID: U4pwetEPmpQC, 2010, ISBN: 978-84-7978-181-1.
LINDENMAYER, A.; PRUSINKIEWICZ, P.: The Algorithmic Beauty of Plants, Ed. Springer, [en línea], 1996, ISBN: 978-1-4613-8476-2, Disponible en: http://www.springer.com/la/book/9780387946764, [Consulta: 7 de febrero de 2016].
MANDELBROT, B.B.: La geometría fractal de la naturaleza, [en línea], Ed. Tusquets, 662 p., Google-Books-ID: PeCEGAAACAAJ, 1997, ISBN: 978-84-8310-549-8, Disponible en: https://www.amazon.com/Geometria-Fractal-Naturaleza-Spanish/dp/8483105497, [Consulta: 7 de febrero de 2016].
MONTES, O.; BOJÓRQUEZ, H.; TORESANO, F.; DIÁNEZ, F.; CAMACHO, F.: “Evaluación agronómica de la aplicación de cafeína en cultivo de pimiento bajo abrigo en el sureste de España”, Horticultura, (60): 282-287, 2014, ISSN: 0102-0536.
MORENO, E.; RUSSIÁN, T.; RUIZ, C.: “Uso de la poda para extender el ciclo productivo del cultivo de pimentón (Capsicum annuum L.)”, Revista Científica UDO Agrícola, 12(3): 559-562, 2012, ISSN: 1317-9152.
ORTÍZ M.U.; HINOJOSA R.M.: “Geometría de fractales y autoafinidad en ciencia de materiales”, Ingenierías, 1(1): 15-21, 1998, ISSN: 1405-0676.
PRUSINKIEWICZ, P.: “A look at the visual modeling of plants using L-systems”, Agronomie, 19(3/4): 211–224, 1999, ISSN: 978-3-540-69524-0, DOI: 10.1007/BFb0033200.