ORIGINAL ARTICLE
Determination of Crop Coefficients for Estimating Evapotranspiration in a Paddy Field in Cuba
Determination of Crop Coefficients for Estimating Evapotranspiration in a Paddy Field in Cuba
Revista Ciencias Técnicas Agropecuarias, vol. 29, no. 3, pp. 05-20, 2020
Universidad Agraria de La Habana
Received: 13 November 2019
Accepted: 14 June 2020
ABSTRACT: Using crop evapotranspiration (ETc) data obtained in lysimeters in rice fields of the western region of Cuba and the reference evapotranspiration (ETo) calculated by the Penman-Monteith (FAO PM), Hargreaves (Hag) formulas, the evaporation of the Class A evaporimeter tank modified by the coefficient of the tank (Eo Kp) and evaporation of the tank (Eo), the Kc of Amistad and J-105 rice varieties were determined with cycles of 130 days, sown in the months of March and April during years 1987 to 1989.The average ETc for both varieties and years was 820 mm (6.8 mm day-1) for an average cycle of 133 days, while the ETo was 624 (4.19 mm day-1) , 420 (3.86 mm dia-1), 600 (4.73 mm dia-1) and 814 (5.49 mm dia-1) calculated using the formulas FAO PM, Hag, EoKp and Eo, respectively, with R2 coefficients significant for comparisons with each other of all ETo calculation methods. The ten-year Kc increase from the beginning to obtain a maximum of 1.5 and 1.4 for varieties J-105 and Amistad from 80 to 110 days of growth and then descend to 1.3 and 1.2 for both varieties at the end of the cycle. Given the little difference between varieties, a Kc is proposed for the crop according to its phases of 0.8, 1.2, 1.4 and 1.3 for the initial, vegetative, reproduction and final phases, respectively. The validation of these coefficients for other regions of the country is suggested.
Keywords: Efficient Management, Water, Lysimeter, Tank Coefficient.
INTRODUCTION
Crop evapotranspiration (Etc) is the main component in the water balance of rice crop’s field (Haofang et al., 2017). In a revision of different works, carried out in Cuba about rice evapotranspiration, Herrera et al. (2019), obtained an average of 853 mm per harvest and also signaled that this component vary between 53 to 56 % of the rice’s water balance. These results show the importance of a careful estimation of this parameter for an adequate water management and the increase of water productivity in rice’s crop.
For the estimation ETc, the crop coefficient (Kc) is generally used, this coefficient results from the relationship between ETc and reference evapotranspiration (ETo), both terms defined by Allen et al. (2006). The equation ETc = ETo x Kc, is widely used for its simplicity, practical value and acceptable safety. ETc is determined in field experiments with the use of appropriate lysimeters for the flood conditions in which rice is grown (Dastane, 1978; García, 1994 and Sivapalan, 2015).
ETo can be determined from climatic parameters using the FAO Penman-Monteith or Hargreaves’s equations, as recommended by Allen et al. (2006). Also, Eto may be obtained through the evaporation values determined in the class A evaporimeter tank, either using the tank coefficient to match the ETo as recommended by Allen et al. (2006) or directly as it has been used for other crops in Cuba (Rey et al., 1982).
According to Allen et al. (2006), the value of Kc varies depending on crops particular characteristics and, only in a small proportion, depending on the climate. Numerous studies have been developed for the estimation of Kc in rice crop in several regions of the world. Tyagi et al. (2000), in the conditions of the semi-arid tropics of India (Karmal) found Kc values of 1.15, 1.23, 1.14 and 1.02 for the initial, development, reproductive and maturation stages, respectively. For these same stages, in Thailand, Shah et al. (1986), obtained values of 0.96, 1.2, 1.17 and 1.1. Haofang et al. (2017), in California, found values of 1.1, 1, 0.8 and 0.97, while in Zaragoza, Spain, for sprinkled irrigated rice, Moratiel & Martínez (2013), indicate values of 0.92, 1, 6 and 1.03 for stages I, II and IV; and in Sardinia, Italy, for those same stages and also using sprinkler irrigation Spanu et al. (2009) found coefficients of 0.9, 1.07 and 0.97. The FAO 56 Bulletin Allen et al. (2006) recommended a Kcinitial, Kcmedium and Kcfinal of 1.05, 1.20 and 0.90-0.60 for these three stages, respectively.
The Irrigation Water Management Research Group (2018), offered Kc results for three different rice´s varieties (one of high yield HYV, Mali 105 and Basmati) and 7 formulas for determining the ETc / Eto ratio. They found important differences in rice Kc coefficients according to the formula employed in the Eto determination. The highest average Kc values were obtained using the Blaney and Criddle formula (1.54), the class A Evaporimeter method (1.5) and the radiation method (1.51).
As it can be seen from the previous review, the highest value of the Kc is obtained in the intermediate stage, that generally, coincides with the reproductive phase (Tyagi et al., 2000). For rice plants developed in the spring season in Cuba, this stage occurs between 8 and 11 tens after planting, and for rice growing during the cold season it occurs between 11 and 12 tens after planting, in both cases, when the plants have accumulated around 1147 degrees days (° C) of warmth with slight variations between different cultivars (Maqueira, 2014).
In Cuba, Hernández & Infante (1976a; 1976b) working with IR8 variety in Havana Province, during two planting seasons, found a Kc of 1.04 in the vegetative phase and 1,5 in the reproductive phase for a crop planted in July; while for the planting carried out in March, the values of Kc were of 1.06 and 1.42, respectively, for the two phases mentioned above. Polon & Pardo (1982) in Los Palacios Municipality, Pinar del Río Province, Cuba, with the local variety Caribe 1 and similar procedure that Hernández & Infante (1976a), found a global Kc of 1.16, while Dueñas et al. (1981), cited by Camejo et al. (2017), found Kc, of 1.65 and 0.95. In all this works above mentioned, the ETc was obtained relating the Etc determined in lysimeters and the Class A tank Evaporation.
As it can be seen above, in the scarce research carried out in Cuba about the rice crop, Kc has been obtained by relating the ETc obtained in field lysimeters to the evaporation determined in the Class A evaporimeter tank, while on the other hand, the values refer either to values of monthly Kc (Dueñas et al., 1981, cited by Camejo et al., 2017), average coefficients for the whole cycle (Polon & Pardo, 1982) or for only two phases (Hernández & Infante, 1976a; 1976b).
The CropWat 8.0 Program FAO (2008), has been widely used to calculate the water irrigation demand for rice in several regions of the world (Bouraima et al., 2015; Surendran et al., 2015; 2015; Chowdhury et al., 2016 and Ding et al., 2017). This program uses the Penman-Monteith equation to calculate the ETc, so the coefficients used must have been obtained in relation to this equation and also by phases of the crop.
In order to determine Kc, it is required, in addition to the calculation of the ETo, to have data obtained experimentally from the ETc of the crop. For the case of rice in Cuba, Conte (1991), carried out a three- year experiment at field level where rice’s water balance was studied. In these studies, Conte (1991) used field lysimeters to determine the rice’s ETc, but in his work, the rate Etc/Eto was not reported.
Considering the above referred and using the rice water consumption data (ETc) obtained by Conte (1991) in the Palacios region, Pinar del Río, Cuba, this work has the objective of obtaining the rice crop coefficients for different phases of development as relating the Etc with the ETo calculated using the Penman-Monteith equation, the Class A Evaporimeter (modified or not by Kp pan) and the Hargreaves formula.
MATERIALS AND METHODS
In order to obtain the values of the water balance elements of the rice, Conte (1991) carried out a field experiment, during three years, in areas of the Agricultural Enterprise "Los Palacios", located in the municipality of the same name in the Province of Pinar del Río, Cuba. The soils of the study area, according to Conte (1991) are Ferrallitic Gley type (Gleysols according to the FAO/UNESCO classification and following Mesa & Naranjo (2018)).
The annual average rainfall of the region is 1358 mm (Weather Station ¨Paso Real de San Diego¨, 22 ° 33 '47 "N, 83 ° 18' 26" W and 45 m above sea level), 73% of the total precipitation fall during the months of May to October (rainy season) and the remaining 27% in the months of November to April (dry season). In this last period, lower temperatures and higher insolation values also occur, accompanied by a marked deficit in the Evaporation (Eo) / rainfall ratio, which defines a strong need for irrigation. This period is also when the highest potential yields in irrigated rice are obtained for the region (Maqueira, 2014). Table 1 shows the monthly average values for the period 1971-2000 of the main climatic variables of the region.

To obtain the elements of the water balance of rice, Conte (1991) worked in 4 fields of ¨Cubanacan¨ Rice Irrigation System in the aforementioned region. The characteristics of the irrigation in each field, year of study, variety, cycle duration, planting and harvest dates, as well as the yield obtained according to Conte (1991) were as follows:
The types of rice irrigation systems called semi engineers and engineers have been characterized by Ruiz et al. (2016) as follows:
Semi-engineer system: The irrigation channels are uniform, rectilinear and with control over the land to be irrigated. Their flow capacity corresponds to the demand, the levees are straight and permanent, they are build up according to the contour lines and are temporary and the leveling inside the terraces is poor or not leveled. The irrigation is carried out by passing the water from one terrace to the other.
Engineer systems The irrigation channels are uniform, rectilinear and with control over the land to be irrigated; their flow capacity corresponds to the demand, the dikes are straight and permanent, the terraces are adequately leveled with zero slope or with slopes, irrigation is done to each terrace individually.
To carry out the water balance in the rice terrace, Conte (1991) used two methods: the method of water inputs and outputs and the method of micro lysimeters (known in Cuban literature as Zaitzev evapontranspirometers, according to García (2015). The results obtained by this last method were those chosen for the realization of this work and will be described below according to Conte (1991).
In the rice terraces four metal containers were installed, two of them with bottom and two without bottom. Bottomless vessels were buried by pushing they into the soil (carefully knocking on a wood placed over the cylinder), being careful not to alter the natural state of the soil.
Closed containers were placed in a previously opened hole, taking care, when filling the containers, that the extracted soil should be replaced according to the order of extraction. In two of the tanks (one with bottom and the other without it) rice was planted and in the other two (also one with bottom and one not) rice was not planted. The water in the tanks was kept at the same level as the water on the terrace.
Figure 1 shows a scheme of the tanks’ placement in the field. In tank I, with bottom and without plants, the losses of water were due to the evaporation (Eo) of the water in the terrace; in tank II, also without plants, but without bottom, the losses were due to the combined effect of Eo and the filtration of water in the soil (Fv).

Tank III, with plants and bottom, allowed determining the evapotranspiration of the crop (ETc), while tank IV, without bottom and with plants, allowed measuring the combined effect of ETc and Fv. The measurement of the water level variation inside the tanks was carried out with a micrometric screw and the density of plants inside the containers was similar to that obtained in the terrace. A detailed description of this method has been provided by García (1994).
The reference evapotranspiration was determined for the planting dates indicated in Table 1, using the meteorological data provided by the Paso Real San Diego Weather Station according to the FAO Penman-Monteith´s equation (FAO PM) and Hargreaves and according to the procedure described by Allen et al. (2006).
The values of Ra used in the Hargreaves equation were calculated using an Excel spreadsheet following the procedure described by Allen et al. (2006).
The Eo values were obtained from the aforementioned weather station, and were converted to ETo, using the coefficients (Kp) obtained by Bernal (1996) when comparing the ETo obtained in lysimeters in the western region of Cuba. The monthly values of these coefficients are shown in Table 2. The Eo values were also used directly to obtain a coefficient (Kc) that directly related the Eo of the Class A evaporimeter tank with the ETc.

In all cases, Kc were obtained by relating the tens value of the ETc reflected in Table 2, with the tens ETo values determined by the FAO Penman-Monteith and Hargreaves method or directly with the evaporation obtained in the Class A Tank, using equations 1 and 2:
Table 3 shows the coefficients proposed by Bernal (1996).
Crop´s Phenological Phases
As it can be seen in Table 2, Conte (1991) offers the Etc´s tens values without indicating the crop´s phenological phase. Maqueira (2014), related the crop phase with the day degrees of accumulated heat (GDCA ° C) by the plant to arrive at the different phases and found that these values are similar regardless of the sowing season although they differ between varieties. For the determination of the GDCA, this author used equation (3) according to Rodríguez and Flores (2006, cited by Maqueira (2014):
As the daily temperature data were not available, the tens average of maximum and minimum temperatures were taken as the daily value for the calculation of GDCA.
Maqueira (2014) describes the development of the rice plant through three phases and 10 stages, while the CropWat 8.0 program for Windows FAO (2008), uses four stages defined as initial, development, medium and end of season with Kc for the initial, middle and final stages. In order to make both criteria compatible, the Maqueira (2014) criterion was adjusted to the three phases described by him as shown in Table 4, taking the J-104 variety as a reference.
Adjustment of Coefficients
All the coefficients obtained in each decades were averaged (n = 4) and the standard deviation calculated, then this deviation was added or subtracted from the mean and, with these values, a polynomial equation of the type Y = aX + bX2 + c was obtained, and with it, the ten days coefficients were recalculated. To obtain the coefficients according to demand, the subroutine "Crop" of the CropWat 8.0 program for Windows FAO (2008), the procedure described by Allen et al. (2006) was followed.
For the elaboration of the coefficient curve according to the phenological phases, it was assumed as a daily ETc, the average value for the ten days as reported by Conte (1991) and divided by the ETo according to the same criteria. These daily Kc values thus obtained, were averaged for the duration of the phase according to the accumulated GDCA.
RESULTS AND DISCUSSION
Reference Evapotranspiration
Despite the importance of rice as a crop in Cuba, where about 208,000 hectares are sown annually (17% of the area planted with temporary crops according to ONEI (2017) and more than 90% under irrigation), little attention has been paid to the study of water consumption (ETc) for this crop. Herrera et al. (2019) compared the ETc values in several places in the world with the results of a few works carried out in Cuba. They concluded that those obtained by Conte (1991) (in an average of three years of studies and different cycles and varieties (Table 2), an ETc of 820 mm -average daily values of 6.8 mm- for an average cycle of 133 days) agree with the values obtained for regions of similar climate and, therefore, they provide an adequate reference for the estimation of the water demand of the crop.
The monthly average daily reference evapotranspiration calculated with different formulas and the Eo of the class A evaporimeter tank for the three years that the study lasted, are shown in Figure 2.

As it can be seen in Figure 2, all curves follow a similar pattern, with the highest values in April and June, in coincidence with Rey et al. (1982), who, while studying the behavior of several equations for the determination of ETo in Cuba found similar behavior in all of them. On the other hand, Solano et al. (2003), studying the regional distribution of the ETo through the FAO P-M method, also found a similar pattern for all regions of the country.
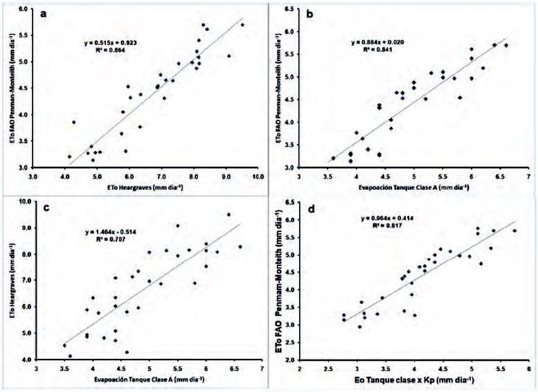
Figure 3 shows the relationship between the different methods of determining ETo. As it can be seen in it, there is a positive linear relationship, that except in the relationship between the evaporation of the class tank and the Hargreaves formula (Figure 3a), allows explaining more than 80% of the variability between the formulas with the highest value of R2 (0.86) for the relationship between the ETo determined by the FAO PM equation and Hargreaves.
Although Hargreaves' method is not widely used in Cuba, some authors have compared the values obtained through this equation and that of FAO P-M; thus, Figueroa et al. (2009) pointed out that for mountainous areas (Pizarras Heights) in the province of Pinar del Río, it is possible to calculate the ETo using the Hargreaves Method that requires less climatic information than that of FAO P-M.

Also in Pinar del Río Province, for Los Palacios Municipality, when comparing both equations, Castillo (2019) found a linear relationship between both equations with R2 coefficients of 0.83 for the months from January to June and 0, 92 for the months from July to December. According with Castillo (2019), the less similarity between the responses of the two equations for the months from April to October, is due to the greater influence in this period of the solar radiation. Also in dry weather conditions, in the eastern region of Cuba, Santana & Peña (2010) found a good relationship between the two ETo determination formulas.
Figure 4 shows the 10 days variation of the crop coefficients for each of the planting and variety periods included in this study and determined from the relationship between the ETc (Table 2) and the ETo values determined by the FAO P.M. formula.
A low Kc coefficient´s value can be observed in Figure 4, during the two first tens of growth, and from this period it can be observed a linear increased with the increase in age until they arrive to the maximum Kc values around the sixth tens. From this moment and until the 10th week, a Kc value is maintained almost constant to start decreasing until the harvested time. This trend showed by the rice Kc in Figure 4 is analogous with the results found in other parts of the world by Tyagi et al. (2000), Zawawi et al. (2010) and Chowdhury et al. (2016), among others.

For the region under study, Maqueira (2014), working with different rice varieties, signaled three development phases in the rice crop: vegetative phase, reproductive phase and maturity phase of about 60, 40 and 30 days, respectively and an average duration for a total cycle of 110 days. It coincides with the Kc values shown in Figure 4, where rice reaches its maximum Kc value from 60 to 100 days.
Table 5, shows the average Kc for every ten-day period of crop growth for the two varieties and planting dates. Values in Table 5 were calculated according to the rate Etc/ETo FAO P-M. The low Kc values during the first and second ten days of growth are in correspondence with the period from the planting to the start of the vegetative growth (initial phase) where the mayor percentage of ETc is due to the Eo from the saturated soil and the initial water layer over the field.

From the third ten-day period to the seventh ten-day period, the vegetative period (development) occurred, from the seventh ten-day period to the tenth ten-day period, the middle period occurred, and from this time to the thirteenth ten-day period, the final period occurred, according to the terminology used in the Cropwat 8.0 Program (FAO, 2008).
Figure 5 shows the rice crop´s coefficients adjusted as required for the calculation of water demand in the Cropwat 8.0 program (FAO, 2008).

In Table 6, the coefficients obtained in this work are compared with those obtained by other research in different regions of rice cultivation and with those proposed by FAO in its Irrigation and Drainage Bulletin No. 56 (Allen et al., 2006).
As it can be seen in Table 6, the total water consumption values in a completed rice cycle fluctuate between 836 and 511 mm, however, this large difference in consumption, motivated by climatic and varietal differences among the different works and perhaps also by the methodologies used in the determination of ETc values, have little influence on the distribution of the coefficients through the different stages of the cycle and also on their values. All the works outlined in Table 6 coincide in the highest coefficients on the third phase of the crop, which coincides with the reproductive phase. The lowest coefficients correspond to the results of Spanu et al. (2009) and of Moratiel & Martínez (2013), which were obtained when the rice was cultivated using sprinkler irrigation. This irrigation method undoubtedly decreases the Eo component in the crop ETc and therefore the value of the ETc/Eto ratio.
The average values obtained in this work correspond to planting periods where the crop was developed in the rainy season (the warmest of the year in Cuba). For this same area and in also in rainy season, but with the variety Caribe I, Polon & Pardo (1982), obtained a global Kc of 1.16 when they compared for two years the ETc (average of 1 173 mm for the hole rice´s cycle) with the evaporation of the class A tank (average 980 mm); while Hernández & Infante (1976a; 1976b) also relating the Eo of the class A tank obtained coefficients of 1.5 and 1.3 for the planting dates of March-August and July December, respectively.

Table 7 shows the Kc values calculated using different ETo calculation methods and the Eo values determined in the unmodified class A tank. Little variation can be observed between the Kc calculated using the FAO PM equation and the evaporation in the unmodified class A tank, while using the Hargreaves equation, a greater value of Kc is obtained, which is related to the lower ETo values obtained by using this equation (see Figure 2). In this sense, Allen et al. (2006) points out that the Hargreaves equation has a tendency to underestimate the values of ETo under strong wind conditions (u2> 3 m s-1), which, as it can be seen in Table 1, is the prevailing condition in the area.

CONCLUSIONS
As it was pointed out, evapotranspiration is the main component of the water balance in rice´s fields, a reason why ETc determination is an important parameter for water management and its efficient use in this crop.
In the crop ETc estimation, the crop Kc, defined like the rate between ETc/ETo, is widely used due to its simplicity and safety. Numerous studies on evapotranspiration and rice´s crop coefficients have been carried out in almost all areas were rice is cultivated in the world, however, despite the importance of this crop in Cuba, very few studies has been carried out in this regard.
The Kc determined in this work, taking into account the all rice cycle and using FAO P-M equation, can be used in ETc calculation using the Crop Wat program, when sufficient meteorological data are accessible or also using other alternative equations like Hargreaves or measurements directly obtained from the class A evaporimeter Tank.
The changing climate conditions since the ETc data used in this work were obtained, the use of new rice varieties and different irrigation managements, indicate the need to continuing this studies considering new varieties, different plantation seasons and different regions of Cuba.
However, until new values are obtained taking into account new scenarios, the proposed Kc coefficients can fill the existing gap on this topic in the country.
REFERENCES
ALLEN, G.R.; PEREIRA, S.L.; RAES, D.; SMITH, M.: Evapotranspiración del cultivo: guías para la determinación de los requerimientos de agua de los cultivos, Ed. Estudio FAO Riego y Drenaje56, vol. 298, Roma, Italia, 2006, ISBN: 92-5-304219-2.
BERNAL, P.: “Measured and Calculated Evapotranspiration in South Havana, Cuba”, En: American Society of Agricultural Engineers International Conference International Conference in Evapotranspiration and Irrigation Scheduling. ASAE/Irrigation Assoc./ICID, San Antonio, Texas, November 3-6, 1996, pp. 924-927, 1996.
BOURAIMA, A.-K.; ZHANG, W.; WEI, C.: “Irrigation water requirements of rice using Cropwat model in Northern Benin.”, International Journal of Agricultural and Biological Engineering, 8(2): 58-64, 2015, ISSN: 1934-6352.
CAMEJO, L.E.; DUARTE, L.; RIVERÓN, A.R.: “El riego del arroz (Oryza sativa) con limitación de agua en suelos oscuros plásticos del municipio Chambas”, Universidad & Ciencia, 6(Especial): 61-78, 2017, ISSN: 2227-2690.
CASTILLO, M.D.: Evaluación de la evapotranspiración de referencia regional a corto y mediano plazo, considerando escenarios de cambio climático. Caso de estudio: municipio Los Palacios., Universidad Tecnológica de la Habana - CUJAE, Facultad de Ingeniería Civil, Centro de Investigaciones Hidráulicas (CIH), Eng. Thesis, Marianao, La Habana, Cuba, 2019.
CHOWDHURY, S.; AL-ZAHRANI, M.; ABBAS, A.: “Implications of climate change on crop water requirements in arid region: an example of Al-Jouf, Saudi Arabia”, Journal of King Saud University-Engineering Sciences, 28(1): 21-31, 2016, ISSN: 1018-3639.
CONTE, F.: Determinación de los elementos del balance hídrico de los suelos arroceros de ¨Cubanacan¨ Pinar del Río, Instituto Superior de Ciencias Agropecuarias de la Habana ¨Fructuoso Rodriguez¨. Facultad de Agronomía, PhD. Thesis, La Habana, Cuba, 1991.
DASTANE, N.: Effective rainfall in irrigated agriculture, [en línea], ser. Irrigation and drainage paper 25, Inst. FAO, Rome, Italy, 1978, Disponible en:Disponible en:http://www.fao.org/docrep/X5560E/X5560E00.htm, [Consulta:22 de marzo de 2013].
DING, Y.; WANG, W.; SONG, R.; SHAO, Q.; JIAO, X.; XING, W.: “Modeling spatial and temporal variability of the impact of climate change on rice irrigation water requeriments in the middle and lower reaches of the Yangtze River, China.”, Agricultural Water Management, 193: 89-101, 2017, ISSN: 0378-3774, e-iISSN: 1873-2283, DOI: http://dx.doi.org/10 1016/j.agwat.2017.08008.
FAO: CropWat 8.0 for windows 2000-2008, Inst. Food Agricultural Organization (FAO), Rome, Italy, 2008.
FIGUEROA, S.C.; GONZÁLEZ, N.A.; LOPETEGUI, C.M.; CARO, I.: “Método para la evaluación del balance hídrico en formaciones forestales de las Alturas de Pizarra en Pinar del Río”, ECOVIDA, 1(2): 190-199, 2009, ISSN: 2076-281X.
GARCÍA, O.R.: Irrigación y desecación en los sistemas arroceros, Ed. Academia, La Habana, Cuba, 1994, ISBN: 959-02-0086-9.
GARCÍA, P.R.: “Evaluación de un sistema de control automático de profundidad variable de laboreo, empleando mapas de prescripción”, 2015.
HAOFANG, Y.; CHUAN, Z.; OUE, H.; GUANGJIE, P.; DARKO, R.O.: “Determination of crop and soil evaporation coefficients for estimating evapotranspiration in a paddy field”, International Journal of Agricultural and Biological Engineering, 10(4): 130-139, 2017, ISSN: 1934-6352.
HERNÁNDEZ, G.; INFANTE, J.: “El uso consuntivo, la filtración y la evaporación en el cultivo del arroz. I”, Agrotecnia de Cuba, 8(1): 43-56, 1976a.
HERNÁNDEZ, G.; INFANTE, J.: “El uso consuntivo, la filtración y la evaporación en el cultivo del arroz. II Siembra de marzo”, Agrotecnia de Cuba, 8(1): 57-68, 1976b.
HERRERA, P.J.; HERVIS, G.G.; GONZÁLEZ, R.F.; DUARTE, D.C.: “Estudio sobre el balance hídrico del arroz en Cuba”, Revista Ingeniería Agrícola, 9(3), 2019, ISSN: 2227-8761.
IRRIGATION WATER MANAGEMENT RESEARCH GROUP: Irrigation Water Management Division, Office of Hydrology and Water Management. Crops coefficient of 40 varieties., [en línea], 2018, Disponible en:http://water.rid.go.th/hwm/cropwater/CWRdata/Kc/kc_en.pdf, [Consulta:18 de diciembre de 2018].
KUMAR, S.; KARALIYA, S.K.; CHAUDHARY, S.: “Precision farming technologies towards enhancing productivity and sustainability of rice-wheat cropping system”, Int. J. Curr. Microbiol. App. Sci, 6(3): 142-151, 2017.
MAQUEIRA, L.L.A.: Relación de los procesos fisiológicos del desarrollo y de variables meteorológicas, con la formación del rendimiento en el cultivo del arroz (Oryza sativa L.) en Los Palacios, Pinar del Río, Universidad Agraria de La Habana (UNAH), PhD. Thesis, San José de las Lajas, Mayabeque, Cuba, 2014.
MESA, A.; NARANJO, M.: Manual de interpretación de los índices físico-químicos y morfológicos de los suelos cubanos, Inst. Dirección General de Suelos y Fertilizantes. Ministerio de la Agricultura, Cuba, La Habana, Cuba, 2018.
MORATIEL, R.; MARTÍNEZ, C.A.: “Evapotranspiration and crop coefficients of rice (Oryza sativa L.) under sprinkler irrigation in a semiarid climate determined by the surface renewal method”, Irrigation science, 31(3): 411-422, 2013, ISSN: 0342-7188.
ONEI: Anuario Estadístico de Cuba 2016, Inst. Oficina Nacional de Estadísticas e Información, La Habana, Cuba, 2017.
POLON, R.; PARDO, A.: “Estudio de evapotranspiracion y filtracion en el cultivo del arroz en un suelo arenoso.”, Cultivos Tropicales, 4(3): 477-484, 1982, ISSN: 0258-5936.
REY, R.; HERRERA, J.; ROQUE, R.; LAMELA, C.: “El pronostico de riego en Cuba.”, Ciencia y Tecnica en la Agricultura. Riego y Drenaje., 5: 31-46, 1982, ISSN: 0138-8487.
RUIZ, S.M.; MUÑOZ, H.Y.; POLÓN, P.R.: “Manejo del agua de riego en el cultivo de arroz (Oryza sativa L.) por trasplante, su efecto en el rendimiento agrícola e industrial”, Cultivos Tropicales, 37(3): 178-186, 2016, ISSN: 0258-5936.
SANTANA, P.L.; PEÑA, P.E.: “Obtención de modelos para la determinación de la evapotranspiración de referencia en condiciones de clima subhúmedo seco en las tunas, cuba”, Idesia (Arica), 28(1): 55-59, 2010, ISSN: 0718-3429.
SHAH, M.; BHATTI, M.; JENSEN, J.: “Crop coefficient over a rice field in the central plain of Thailand”, Field Crops Research, 13: 251-256, 1986, ISSN: 0378-4290.
SIVAPALAN, S.: Water Balance of Flooded Rice in the Tropics, Irrigation and Drainage - Sustainable Strategies and Systems, [en línea], Ed. InTech, Dr. Muhammad Salik Javaid (Ed.) ed., 2015, ISBN: 978-953-51-2123-7, Disponible en: http://www.intechopen.com/books/irrigation-and-drainage-sustainable-strategies-and-systems/water-balance-of-flooded-rice-in the-tropic.
SOLANO, O.O.J.; VÁZQUEZ, R.J.; MENÉNDEZ, J.A.; MENÉNDEZ, C.J.: “Estudio de la evapotranspiración de referencia en Cuba”, Revista Cubana de Meteorología, 10(1): 33-38, 2003.
SPANU, A.; MURTAS, A.; BALLONE, F.: “Water use and crop coefficients in sprinkler irrigated rice.”, Italian Journal of Agronomy, 4(2): 47-58, 2009, ISSN: 1125-4718.
SURENDRAN, U.; SUSHANTH, C.; MAMMEN, G.; JOSEPH, E.: “Modelling the crop water requirement using FAO-CROPWAT and assessment of water resources for sustainable water resource management: A case study in Palakkad district of humid tropical Kerala, India”, Aquatic Procedia, 4: 1211-1219, 2015, ISSN: 2214-241X.
TYAGI, N.; SHARMA, D.; LUTHRA, S.: “Determination of evapotranspiration and crop coefficients of rice and sunflower with lysimeter”, Agricultural water management, 45(1): 41-54, 2000, ISSN: 0378-3774.
ZAWAWI, M.; MUSTAPHA, S.; PUASA, Z.: “Determination of water requirement in a paddy field at Seberang Perak rice cultivation area”, The Institution of Engineers, Malaysia [online], 71(4): 33-41, 2010.
Notes
Author notes
*Author for correspondence: Julián Herrera Puebla, e-mail: direccioninvest1@iagric.cu