ABSTRACT: The proper application of agricultural machinery requires, among other aspects, the necessary inputs to perform planned maintenance (PM) in a timely manner. The objective of the research was focused on developing a procedure for the integrated planning of the workload and the PM inputs for the soil preparation tractors. The research was carried out at “Panchito Gómez Toro” Sugar Agroindustrial Company, in an area of 1833.4 ha, in 48 blocks dedicated to sugar cane. LabraS software was used for tillage planning and functionalities were added to plan the maintenance and associated supplies (oils, greases and coolant and brake fluids). The conditions were characterized by prevailing problems of effective depth, poor drainage and stoniness (between 19 and 22%), as well as by the predominance of the medium soil texture (93%) and the conditions of the soil surface in areas of cane demolition (74%). Satisfactory results were achieved through LabraS software in the integrated data collection of the workload and the PM inputs for the available tractors, and according to their ownership (MTZ-80, T-150K, Belarus 1523 and Komatsu), in addition the information was specified by month and total in the year. This result made possible to carry out adequately the quarterly and annual balance of lubricants requested by AZUMAT Logistic Company, in addition to varying the demand based on the existing statistics, or the changes arising thank to the computerization of the process.
Keywords: Computerization of Processes, Demand for Inputs, Agricultural Planning.
RESUMEN: La aplicación adecuada de la maquinaria agrícola requiere, entre otros aspectos, de los insumos necesarios para realizar los mantenimientos planificados (MP) de forma oportuna. El objetivo de la investigación se centró en desarrollar un procedimiento para la planificación integrada de la carga de trabajo y los insumos para los MP de las fuentes energéticas de preparación de suelo. La investigación se realizó en la Empresa Agroindustrial Azucarera Panchito Gómez Toro en un área de 1833,4 ha y concentrado en 48 bloques dedicados a caña de azúcar. Se utilizó el software LabraS para la planificación de la labranza y se le agregaron funcionalidades para planificar los mantenimientos y los insumos asociados (aceites, grasas, líquidos refrigerantes y de freno). Las condiciones se caracterizaron por predominar problemas de profundidad efectiva, mal drenaje y pedregosidad (entre 19 y 22%), así como por prevalecer la textura media del suelo (93%) y las condiciones del terreno en áreas de caña de demolición (74%). Se lograron resultados satisfactorios mediante el software LabraS en la obtención integrada de la carga de trabajo y los insumos para los MP de las fuentes energéticas disponibles en función de su pertenencia (MTZ-80, T-150K, Belarus 1523 y Komatsu), además especificados por mes de trabajo y total en el año. Este resultado posibilitó realizar adecuadamente el balance trimestral y anual de lubricantes solicitados por la Empresa de Logística AZUMAT, además de variar la demanda en función de la estadística existente, o de los cambios surgidos por estar informatizado el proceso.
Palabras clave: informatización de procesos, demanda de insumos, planeación agrícola.
ORIGINAL ARTICLE
Integrated Planning of Workload and Supplies for Planned Maintenance on Soil Preparation Tractors
Planificación integrada de carga de trabajo-insumos mantenimientos planificados en tractores de preparación de suelo
Received: 21 February 2023
Accepted: 24 June 2023
The planning of technical maintenance and repairs of tractors in Cuba, according to Fernández-Sánchez et al. (2016), was carried out using the information contained in the technological charts of agricultural crops, for having the different activities and the volume of fuel to be consumed by the machines in the year. The same author stated that one of the disadvantages was related to the high laboriousness and time required by the large volume of information to be processed, which also requires knowledge and practical skills for its use. However, such a limitation could currently be counteracted by the advances made in computing and communications technology, with which such methods could be resumed based on the degree of precision that is available.
According to Salas (2020), companies need to have a maintenance plan to achieve efficiency in the operation of their equipment and achieve optimal values in operational effectiveness. In that sense, the creation in 2009 of the Base Business Units of Technical Services (UEBIST), in the Ministry of Agriculture, made it possible to recover the planning and control activities of technical services with a priority approach (Suárez , 2011).
The periodicity of maintenance and repairs, as well as the demand for associated inputs in conditions where the equipment has a long operating time and does not have an active hour meter, is determined in liters of fuel consumed. However, this form requires efficient technological means for its dispatch and greater control over its use to ensure adequate precision in terms of consumption actually executed (Fernández-Sánchez et al., 2016). Other methods identified by Daquinta (2008) are related to chronological hours of work, in conventional standard hectares, kilometers traveled and in motor-hours.
A method for planning technical services to tractors and the demand for lubricants was proposed Fernández-Sánchez et al. (2016). This consisted of initially identifying the planned monthly and annual workload, expressed in liters of fuel, by tractor make through the support of a platform, the AnaExplo program. Later, with mathematical expressions and the use of probabilistic methods, supported in Microsoft Excel Spreadsheets, the quantity and types of maintenance and repairs by tractors make and the corresponding demand for lubricants is determined with a monthly and annual frequency. This process, as it is worked separately, is laborious for the user and with less precision due to the method that determines the workload, since the technological charts are predefined and are not conformed according to the specific working conditions of each entity.
In AZCUBA Sugar Business Group, the determination of the demand for inputs takes into account the experience of previous years in terms of the technical coefficient of the equipment, the history of causes of breakages and the money available. With this information, the order or capture of the demand for inputs by activity globally, services and equipment is requested, in order to have a coefficient of technical availability of machinery greater than 85%. However, in the planning, factors such as working conditions, the type of activity, the level of work and the provenance are not integrated, which can bring inadequate results with the respective negative repercussion on the technical state, the useful life of the machinery and in the economic indicators for the associated company or entity.
The need to improve soil tillage in the AZCUBA Sugar Business Group led to the creation, for sugar cane, of a Service for Technical Assistance in Soil Tillage (Betancourt et al., 2018). This service has a computer tool for planning, the software (SW) LabraS, whose validation has shown satisfactory results in the recommendation of technological charts, mainly in the processes of soil preparation, planting and post-harvest cultivation (Pérez, 2018; Betancourt et al., 2019a; Betancourt et al., 2019b).
Planning tillage with the automated system LabraS, allows obtaining, with adequate precision, the workload by applying the ISMACE criteria in the algorithms (integration into the recommendations the knowledge of soil, machinery, crop with the work environment) and the demand for inputs for planned maintenance (PM), previously defining functionalities for that purpose. Therefore, it is possible to carry out planning on the same platform with greater precision and less complexity for the user. Due to the above, the objective of the research is to develop a procedure for the integrated planning of the workload and the inputs for the MP of the soil preparation tractors.
The research was carried out at “Panchito Gómez Toro” Sugar Agroindustrial Company (EAA) in Villa Clara Province, belonging to AZCUBA Sugar Business Group. The soil preparation campaign was planned for 1833.4 ha, concentrated in 48 blocks dedicated to sugarcane. The predominant soils in the EAA are Sialitic Humic (53%), Sialitic Brown (20%) and Vertisols (15%), according to the 2015 genetic classification proposed by Hernández et al. (2015).
Four tractor marks were identified for soil preparation (Table 1). In all cases the amount of inventory corresponded to the active equipment. Those of own belonging are from the production units (UPC), those means of the EAA belong to the company and those of hiring correspond to an enterprise different from EAA, but since they are in the work environment, their service can be hired.

The aggregates available in the EAA respond to the needs of works conceived in the SW LabraS for soil preparation (Table 2).

The procedure developed to determine, in an integrated way, the workload-inputs for the MP of the tractors in the LabraS platform was carried out in the following stages:
The planning of the technological charts was carried out by minimum management unit, the sugarcane block. The procedures applied, the planning indicators and the description of the computer platform were reported by Betancourt et al. (2019 a). The methodology applied to request the data from the growers, coincides with the description done by Pérez (2018).
In this investigation, the determination of inputs was focused on the needs to replacement for planned maintenance. The inputs related to oils, greases, brake fluid and coolants were considered for the analysis.
The types of lubricants to be recommended by equipment, the moments of replacement and the capacities of each system by tractor mark followed the provisions of the lubrication guides defined by AZCUBA Sugar Business Group (AZCUBA, 2016)†.
The demand for inputs (Dl) in liters or kg was determined with the expression (1):
where: MhP- Moto hours planned, equals to one hour of engine work (Moto-hours), Pc- Change periods (Moto-hours) and Ca- System capacity (L, kg).
The soil surface conditions were characterized by the predominance of demolition areas (74%). Those of fallow or with cane with very low agricultural yield not harvested in 26%. The area coming from the rotation with other crops were found null.
The evaluation of the limiting factors for the tillage mechanization (FML) in the soil preparation of 1833.4 ha (Figure 1), showed a predominance of the problems of effective depth (37.6%) and poor drainage (22% ), followed by stoniness (19%). Other factors were found but to a lesser extent, less than 2%, such as salinity, rockiness and compaction. The areas without limitation constituted approximately 22%. In that sense, technological management from a comprehensive sustainability perspective focuses on solving the limitations for the development of the crop, linked to tillage and on the correct selection of equipment to avoid breakage, coinciding with what was stated by Crespo et al. (2013), Oliva et al. (2014) and Betancourt et al. (2018).

The technological chart recommended by the LabraS software (Figure 2), shows, for the minimum management unit (the sugarcane block), the technological alternative, the selected variant, the labors sequence, the start and finish date, the aggregates and the exploitation parameter, performance and fuel consumption, depending on the area to be processed. This report is the basis for carrying out the machinery exploitation analysis and consequently, to determine the demand of inputs for the MP of soil preparation tractor.
To ensure an adequate planting bed under management conditions, 12 tasks were recommended in soil preparation (Figure 3a). The recommended machinery coincides with the available equipment and according to the category, the UPC´s own (MTZ-80), the EAA (BELARUS 1523) and those of hiring service (Komatsu D80 and T-150K), in all cases with their respective implements. The works with greater representativeness, with more than 1000 ha, are determined by the De-Crown, the Medium Harrow, the Land leveling and the Light Harrow.
On the other hand, the complex conditions in 26% of the area of the soil surface prevented the use of scarification [(Break (Arrows) and Crossing (Arrows)] in the maximum expression. Of a potential of 79%, it was only recommended for breaking and crossing in 717 ha and 970 ha, respectively, which represented an average of 46% of the area. That limitation had a negative impact on the use of technological, energy and environmental benefits reported by the application of that equipment (Gutiérrez et al., 2013; Crespo et al., 2013, Oliva et al., 2014, Tesouro et al., 2019).

A total fuel demand of 193 197.8 liters was determined to face the working conditions (Figure 3b), which included the tasks defined in the technological charts. They can be framed in three fundamental groups: conditioning (herbicide application) with 2 690.0 L; the primary and part of the secondary tillage (breaking, medium harrowing and crossing) with 144 578.8 L and the leveling (light harrowing and land leveling) that demanded 45 928.8 L.

The planning of tasks in the technological charts for soil preparation at the EAA “Panchito Gómez Toro”, using the ISMACE criteria, were carried out satisfactorily for the research conditions. Similar results with the use of the LabraS platform in other conditions and technological processes were reported by Pérez (2018), Betancourt et al. (2019a) and Betancourt et al. (2019b).
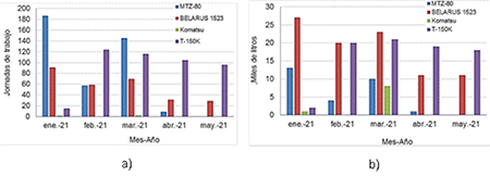
From the technological chart, the workload and fuel demand were determined differentiated by tractor mark, also including the time required in the campaign (Figures 4 a, b). In this sense, the MTZ-80 is the one with the highest demand in January and March 2021, and to a lesser extent in February and April, in all cases in the labor Break (Discs) with ADI-3, with the aim of complementing the planned work in soil preparation through the incorporation of UPC equipment. Work demand from January to May is followed by the T-150K with 464 workdays at the leveling operation, the Belarus 1523 with 280 workdays directed to primary and secondary tillage and finally the Komatsu D80 with only three days, one in January and two in March, with the heavy harrow.
Regarding fuel request, the demand is led by the BELARUS 1523 and the T-50K, with 92,000 and 80,000 liters of diesel, respectively. In both tractor mark, the work was framed in January to May period. Despite the MTZ-80 has longer working hours, the engine's fuel consumption per hour is lower than the rest of the tractors, reason that justifies the lower fuel demand (28,000 liters). On the contrary, the high hourly fuel consumption of the Komatsu D80 explains why, despite the reduced work done, the demand is 9000 liters.

According to Da Silva (2018), in planning, it is necessary to coherently organize the steps to follow to achieve the established objective. In this sense, the parameters determined previously through the use of the ISMACE criteria, allowed precise planning and provided the necessary elements to achieve the improvement of the system for the demand of lubricants according to the hours of work planned in a differentiated way by its classification (ownership) and tractor mark (Table 3).

The quarterly and total demand for consolidated lubricants facilitates differentiating purchase plans according to the owner of the equipment, as well as requesting inputs based on the lubricants specified by tractor mark (Table 4).

This result includes the lubricants specified and approved by the AZCUBA Sugar Business Group for all tractor systems. In addition, it is shown in such a way that it facilitates the request to the AZUMAT supplier when establishing the demand per quarter. In the year 2021, the demand was concentrated in the first two quarters and absorbed the work carried out by the available tractors, regardless of the mark and the ownership.
Obtaining both recommendations, by quarters and differentiated even by mark of equipment, demonstrates that the system created on the LabraS platform allows the improvement of the demand for lubricants according to the requirements of the grower, which will facilitate the reorganization process that is being carried out in the Cuban sugar agro-industry and the cooperative development program that is also promoted.
It is important to point out that the analysis in the tractor was based only on the demand by change of lubricant, as established by the equipment manufacturer and it was approved by AZCUBA. However, in the time of work, lubricants are also required for filling or covering unforeseen breaks, which will depend on the years of operation of the tractor and the expertise of the operators, among other parameters and that increases the general demand for the different inputs used.
In order to cover the demand for lubricants mentioned above and taking into account the statistics of previous years respect to lubricant consumption, an option was enabled in the LabraS platform to modify the results in the percentage that the user predetermines (Figure 5).

On the other hand, it is significant to highlight that in SW LabraS, the types and amounts of maintenance and repairs by tractor mark are also planned, however, they were not shown because they were not formed part of the objective of the paper.
Also, the investigation only evaluated the demand for the tractor, however, the work was recommended by means of soil preparation aggregates (tractor and implement), therefore, in order to carrying out the planning in production conditions, the indices by implement must be included.
The results obtained show that the use of computer media is a very effective tool in decision making, in reducing operation time and in the ease of solving changes that arise immediately. A similar opinion was stated by Pereira et al. (2015); de las Cuevas et al., (2015); Álvarez et al. (2015) and Betancourt et al. (2019b).
The procedures applied through the integration in the same platform of the determination of the technological charter-workload-demand for inputs for the MP facilitated the improvement of the current system with satisfactory results and solved the present limitations exposed at the beginning of the paper.
The workload and fuel demand of the available tractors in soil preparation were satisfactorily determined from the recommended technological charts with SW LabraS, differentiated for a specific and total period in the year based on the agrotechnical requirements of sugarcane for the evaluated conditions.
The inputs demand for the MP was adequately determined by mark and ownership of the tractors through the application of work procedures integrated in the SW LabraS (Workload-MP inputs) and included the quarterly and annual balance of lubricants requested by AZUMAT.
*Author for correspondence: Yoel Betancourt-Rodríguez, e-mail: yoel.betancourt@nauta.cu; yoelbr15@gmail.com








