ORIGINAL ARTICLE
Behavior of Common Bean Plants (Phaseolus vulgaris L.) Subjected to Two Irrigation Systems
Comportamiento de plantas de frijol común (Phaseolus vulgaris L.) sometidas a dos regímenes de riego
Behavior of Common Bean Plants (Phaseolus vulgaris L.) Subjected to Two Irrigation Systems
Revista Ciencias Técnicas Agropecuarias, vol. 32, no. 4, e06, 2023
Universidad Agraria de La Habana
Received: 23 March 2023
Accepted: 01 September 2023
ABSTRACT: In order of studying the behavior of common bean plants (Phaseolus vulgaris L.) subjected to two irrigation regimes, this trial was carried out during the months from January to April 2021 at the National Institute of Agricultural Sciences (INCA). For this, seeds of the Triunfo 70 black bean variety were used, planted in six concrete gutters 2.60 m long by 0.60 m wide (1.56 m2), which contained Ferralitic Red Leached soil. Two irrigation treatments were established that consisted of applying 100% (R100) of the ETc (Standard Evapotranspiration of the crop) and another that irrigated 50% (R50) of the ETc. Soil moisture was monitored and evaluations of some growth variables were carried out, as well as the content of total chlorophylls (SPAD). At the end of the experiment, the yield, its components and variables of the size of the grains were evaluated. The results indicated that the reproductive phase was the most sensitive to water deficiency and the reduction percentages were higher in the leaf surface, compared to other growth variables, which influenced the dry mass production. The number of pods and number of grains per plant had a direct effect on yield behavior, compared to the mass of 100 grains and the number of grains per pod. Yield was reduced under stress conditions, but grain size variables remained similar under both conditions.
Keywords: Seed, Water Stress, Growth, Yield.
RESUMEN: Con el objetivo de estudiar el comportamiento de plantas de frijol común (Phaseolus vulgaris L.) sometidas a dos regímenes de riego se realizó el presente ensayo durante los meses de enero a abril de 2021 en el Instituto Nacional de Ciencias Agrícolas (INCA). Para ello se utilizaron semillas de la variedad de frijol negro Triunfo 70 sembradas en seis canaletas de hormigón de 2,60 m de largo por 0,60 m de ancho (1,56 m2), que contenían suelo Ferralítico Rojo Lixiviado. Se establecieron dos tratamientos de riego que consistieron en aplicar el 100% (R100) de la ETc (Evapotranspiración estándar del cultivo) y otro que donde se regó 50% (R50) de la ETc. Se monitoreó la humedad del suelo y se realizaron evaluaciones de algunas variables del crecimiento, así como el contenido de clorofilas totales (SPAD). Al final del experimento se evaluó el rendimiento, sus componentes y variables del tamaño de los granos. Los resultados indicaron que la fase reproductiva resultó la más sensible a la deficiencia hídrica y los porcentajes de reducción fueron más elevados en la superficie foliar, en comparación con otras variables del crecimiento, lo cual influyó en la producción de masa seca. La cantidad de vainas y número de granos por planta tuvieron un efecto directo en el comportamiento del rendimiento, en comparación con la masa de 100 granos y el número de granos por vaina. El rendimiento se redujo en condiciones de estrés, pero las variables del tamaño del grano se mantuvieron similares en ambas condiciones.
Palabras clave: Semilla, estrés hídrico, crecimiento, rendimiento.
INTRODUCTION
The common bean (Phaseolus vulgaris L.) is one of the most important edible legumes, as it constitutes an essential nutritional supplement in the diet. This species provides a significant source of protein, vitamins and minerals to the human diet (Polania et al., 2016; Calero-Hurtado et al., 2018).
The world production of this crop reaches 30.4 million tons and among the largest producing countries are India, Myanmar; Brazil, the United States, China, Tanzania, Mexico and Uganda (FAOSTAT, 2018). In Cuba, 73 thousand hectares of beans were harvested in 2020 with a total production of 65 tons and an average agricultural yield of 0.89 t.ha-1 (ONEI-Cuba, 2021), which do not meet the demands due to the rise in the level of consumers and climate change (Hernández et al., 2015; Domínguez Suárez et al., 2019).
The common bean in Cuba is consumed in the form of dry grains and is dedicated exclusively to human consumption. It is considered a strategic food and constitutes, together with rice, the basic diet of Cubans, in which beans contribute around a fifth of the total protein consumed (Morales-Guevara et al., 2017).
The bean crop, like other crops of economic importance, is affected during its growth and development by adverse environmental factors such as precipitation, temperature, humidity, wind, light and poor distribution in a large proportion of the cultivated area (Karimzadeh-Soureshjani et al., 2020). Because the species is cultivated mainly in rainfed conditions, whose sowings are established from the end of May to the beginning of July, pests and diseases affect it. In addition, edaphic factors that vary between locations such as topography and type of soil depth, form a complex production environment for the cultivation of this legume during the year (Maqueira-López et al., 2021).
It is stated that 60% of world bean production is obtained under conditions of water deficit, so this factor is the one that contributes the most to the reduction of yield after diseases (Prieto-Cornejo et al., 2019). Drought is one of the most important stresses, it inhibits plant growth and crop yield, therefore affecting the sustainability of agriculture (Romero-Félix et al., 2021). A better understanding of the physiological traits associated with growth, the water relations of plants and the efficiency of water use in conditions of water deficit can contribute to selecting criteria to improve the response of common bean to drought (Ramírez-Cabral et al., 2021).
Taking into account the aforementioned, the present work was carried out with the objective of studying the behavior of common bean plants (Phaseolus vulgaris L.) subjected to two irrigation regimes.
MATERIALS AND METHODS
The work was carried out during the months from January to April 2021 in semi-controlled conditions at the National Institute of Agricultural Sciences (INCA). For this, seeds of the Triunfo 70 black bean variety were used.
Six concrete gutters 2.60 m long by 0.60 m wide (1.56 m2) were planted containing Leached Red Ferralitic soil (Hernández et al., 2015).
Two irrigation treatments were used, one in which the plants were supplied with water corresponding to 100% of the ETc (Standard Crop Evapotranspiration) and another in which only 50% of the ETc was supplied. The treatments tested were:
R100, irrigated at 100% of the ETc.
R50, irrigated at 50% of the ETc.
The evapotranspiration of the reference crop (ETo) was calculated by the CropWat 8.0 Program using a 30-year data series (1990-2020) from Tapaste Weather Station belonging to the national network of the Institute of Meteorology, located approximately 300 m from the experimental area.
Crop evapotranspiration under standard conditions (ETc) was calculated using the following equation:
where:
ETc- crop evapotranspiration [mm·d-1]Kc- crop coefficient [dimensionless]ETo- evapotranspiration of the reference crop [mm·d-1].The Kc crop coefficients used were the following:
Kc. initial= 0.15, Kc. mean= 1.10 and Kc. end= 0.65
During the period between January 20 and 25, irrigation was 3 mm per day in both treatments to guarantee homogeneous germination and initial growth. From that moment on, irrigation was applied according to each treatment.
Soil moisture (%) was determined at 28, 42 and 61 days after sowing (DDS), using a TDR probe (Time Domain Reflectrometry) Field Scout TDR 100 System, Spectrum Technologies, Inc. In each treatment, 4 measurements were made at a depth of 20 cm. Effective rain was considered when it was greater than 3 mm.
Growth Determination
At 28, 42 and 61 DAS the length and diameter of the stems, the leaf surface and the dry mass of the aerial part were determined.
The length of the stems was determined with a graduated rule measured from the base of the stem to the base of the last emerged leaf, the diameter of the stem was determined precisely at its base with the help of a digitized caliper.
The leaf surface was measured using an AMP-300 leaf area integrator and the dry masses were obtained by drying in a forced draft oven at 80 ºC until constant weight.
Relative Water Content
The relative water content (CRA) was determined at 28, 42 and 61 DAS, according to the Turner (1983) Methodology in 4 plants per treatment at 9 am.
The following equation will be used to calculate the value:
where:
Mf: is the fresh mass at the time of samplingMs: is the dry mass of the leaves after drying in an oven at 80 0C until constant massMt: is the turgid mass of the leaves after saturation in distilled water for 24 hours at 40C In The Dark.Total Chlorophyll Content in SPAD Units
Ten leaves per treatment were taken and measured at 28, 42 and 61 DAS using a MINOLTA Portable Chlorophyll Meter. SPAD 502 Plus.
Performance Evaluation
For the evaluation of yield and its components, 10 plants were harvested at random in each container (30 plants per treatment) to which the number of pods per plant, the number of grains per pod, number of grains per plant, and the number of pods per plant were determined. The fresh mass of 100 grains and the size of the grains (length, width and thickness) using a Vernier caliper were also determined. In addition, the yield expressed in g per plant was evaluated.
Data analysis was performed using the Statgraphics Plus 5 Statistical Package and means were compared using Tukey's Multiple Range Test. The results were plotted using the SIGMA PLOT 11.0 program.
RESULTS AND DISCUSSION
Figure 1 represents the soil moisture content at different times of the crop cycle, which remained without much variation. The percentage of soil moisture in the treatment with the highest R100 water supply ranged between 32-33% and in the one with the lowest R50, water supply between 21-23%, with differences of approximately 10% between the evaluated treatments.

The behavior of the soil moisture at the time of sampling during the crop cycle, guaranteed that the plants in the R50 treatment were subjected to stress conditions due to water deficiency in the soil. In accordance with the field capacity of the soil that formed the substrate in which the plants developed, it represented approximately 50% of the field capacity in the lowest treatment.
It should be noted that the availability of water in the soil depends on the supply that is made to it, either by irrigation or by rain, in addition to the capacity of the soil to retain it (Pachés, 2019), in the presence of organic matter in the soil as is the case of this work. It allows a greater moisture retention capacity; hence, applying 50% of evapotranspiration does not mean that soil moisture can be reduced in the same proportion.
As it can be seen in Figure 2, at 28 and 61 days after planting, statistically significant differences were observed both in the length of the stems and in their diameter. The treatment with the highest water supply R100 achieved the best results compared to the one with the lowest water supply R50.

In both variables at 42 days after planting, there were no significant differences between the two treatments, perhaps because these variables in that phase are little altered by the effect of stress. On the other hand, it has been pointed out that not all crop phases are susceptible to the same extent, regardless of the variable analyzed.
The decrease in the elongation of the organs of the plant canopy in a soil in the process of drought may have its origin in a reduction in the water absorption capacity and the decrease in the rate of production of cells (Romero-Félix et al., 2021). These authors add that the soil water deficit initiates negative effects on the processes of transpiration and photosynthesis, water relations, development of the leaf area, flowering, differentiation and establishment of the reproductive organs, when the soil reaches a critical point in the water content.
When analyzing Figure 3, it was observed that the leaf surface of the plants benefited from the treatment with the highest water supply R100 at 42 and 61 days after sowing, however, at 28 days after sowing the behavior between treatments was similar. It is relevant that the differences between the two treatments increased as the exposure time to the stress condition increased, compared to the well-supplied treatment. Authors such as Romero-Félix et al.(2021) verified that the greatest reductions occurred in the stages of flowering, seed formation and physiological maturity, but not in initial stages, although this also depends on the genotype used in terms of tolerance to conditions of low water availability in the soil.

The leaf surface is essential as an indicator of physiological processes such as photosynthesis and transpiration. The variation of the leaf surface is one of the earliest macroscopic responses in plants suffering from water deficit, different behaviors had already been verified in the case of stem height and diameter (Passioura, 2002).
This variable is directly related to the photosynthetic capacity (Toebe et al., 2010), contributing with photoassimilates that are used in the different physiological processes of the plants .
Water deficit is one of the factors that alters plant growth faster and more intensely. In fact, it has been shown that the use of different irrigation regimes with different levels of water supply to the soil caused a decrease in the height of the plant, stem diameter and leaf surface, to the extent that the plants were receiving a lower amount of water (Jerez-Mompies & Martín-Martín, 2012; Abdelraouf et al., 2013).
Plant responses to water stress present complex mechanisms that include molecular changes and extend to the entire metabolism, which also influences their morphology and phenology, by shortening the crop cycle (Culqui et al., 2021). This same author states that these mechanisms in some cases allow adaptation and survival to longer periods of water deficit and occur at the level of the entire plant or in specific tissues, in order to reduce the production of reactive oxygen species (ROS). Among these mechanisms are defense against oxidative damage, through the enzymatic and non-enzymatic antioxidant system, stomatal closure (with repercussions on gas exchange and plant water status) and osmotic adjustment, among others.

It should be noted that this variable makes it possible to determine the nutritional status, predict growth, carbon absorption, transpiration rate, litter contribution to the soil, efficient use of water and the conversion of photoassimilates (Ramírez-Cabral et al., 2021).Therefore, to achieve maximum biological productivity, the plant must reach a high magnitude of leaf area early in development and that this remains active during most of the plant's life. The reduction in it brings with it a lower capture of solar radiation, which causes a decrease in photosynthesis and production of dry mass, which affects the performance of the plants.
The development of the leaf area is very important for the productivity of the plant, because by reducing the availability of moisture in the soil from the beginning of flowering and the formation of pods, vegetative growth, seed yield and efficiency in the use of water decrease (Vallejos-Barra et al., 2019).
Figure 4 represents the behavior of the dry mass of the stem and leaves; where the best results were achieved in the most supplied treatment of R100 water at all times evaluated, except in the dry mass of the stem at 42 days after planting, where no significant differences were observed between treatments.
The results showed that the plants that were subjected to 100% of the maximum moisture retention capacity presented a greater accumulation of dry mass in their organs than those that received less water supply, which corresponds to results reported in the bean crop (Pang et al., 2017).
The highest values of the dry mass in leaves (B) correspond to the highest values of leaf surface in each of the moments evaluated and in the case of the stem, at 42 days after sowing, no significant differences were presented, which corresponds with the values detected in the height and diameter of the stem at that same moment.
The total biomass of the plant is recognized as a measure of the balance established between the processes of photosynthesis and respiration; and the leaf surface per plant or per unit area occupied by them is recognized as the capacity of the plant to synthesize that biomass (Morales-Guevara et al., 2017). The dry mass is the most appropriate criterion to measure the growth and the magnitude of the capacity of the plant assimilation system (Maqueira-López et al., 2021).
Figure 5 shows the relative water content. In the R50 treatment, at 42 days after sowing, there were significant differences with respect to the evaluation carried out at 62 days, while in the well-supplied R100 treatment there were no differences between the diverse moments, so the plants of this treatment were always well supplied with water.
The highest results were obtained in the best supplied treatment, while the lowest values were found in the treatments with 50% humidity, where between the first and second sampling, there were no significant differences. Lara-Acosta et al. (2019) have reported that a lower CRA is related to a low photosynthetic rate, mainly because of a limitation due to stomatal closure, which is reflected in low values of stomatal conductance and transpiration. All that creates modifications in plant behavior.

The presence of a lower value of the relative water content in the less supplied plants, in addition to this condition, may be associated with the fact that, in these plants, an increase in stomatal density can be produced. That is a way to meet the demand for CO2 in order to produce photosynthates, at the cost of a greater loss of water, hence the values of the analyzed variable decrease under this condition, as they have indicated (DeLaat et al., 2014; Torabian et al., 2018).
On the other hand, it has been pointed out that stomatal functioning is the mechanism through which plants regulate water loss and carbon gain, and these organs respond quickly to environmental changes (Nemeskéri et al., 2018).
Figure 6 shows the total chlorophyll content expressed as SPAD units determined at different times of the crop cycle. It can be seen that it was higher in the R100 treatment at 28 and 61 days after sowing, not being the case at 42 days where the R50 treatment presented the highest chlorophyll content. However, the highest percentages of reduction of the total chlorophyll content, was manifested in the last evaluation, which coincides with the production stage.
This behavior of the R50 treatment is related to the one reached in the variables height of the plants and diameter of the stem at that same moment, not so with the foliar surface reached, because according to the results, the highest values of chlorophyll did not favor at that time a greater increase in leaf surface.

Chlorophylls are fundamental molecules for carrying out photosynthesis. The lower values in the chlorophyll content in the leaves are commonly due to the destruction of chlorophyll pigments due to the increase in chlorophyllase activity and the suppression of biosynthesis enzymes such as porphobilinogen deaminase (Alvarez et al., 2018). A decrease in the total chlorophyll content under water stress indicates a low capacity of the light reaction centers in order to avoid damage by reactive oxygen species, since the production of these is mainly driven by excess absorption of energy in the photosynthetic apparatus.
On the other hand, a decrease in the chlorophyll content, probably due to a lower availability of nutrients for its synthesis, is related to limitations in the diffusion of CO2, from the stomata to the intercellular spaces and with the restriction of photophosphorylation (Nematollahi et al., 2017).
The evaluation of determinant morphological and physiological characters in the expression of growth and development of the plant, in contrasting environments of soil moisture, can help to identify the key factors for improvement under stress conditions, as well as being able to define moments of the cycle of the cultivation, in which, conditions of lack of water are not advisable.
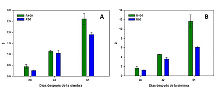
The number of pods per plant (Figure 7A) showed significant differences between treatments, which were not manifested in the variable grains per pod (Figure 7B). According to these results, the number of grains per pod seems to be a specific variable for each variety, since the imposed soil moisture stress condition did not change it.

In a study carried out in Mexico by Cardona-Ayala et al.(2014), two varieties of bean used under stress conditions showed a marked affectation in the number of pods per plant, in both varieties, because of the imposed treatment. However, no differences were detected in the number of grains per pod, for which the authors considered this variable as a varietal characteristic. That coincides with the results reported by Reyes-Matamoros et al. (2014), although in their case they used a different genotype than the one used in this work.
The analysis of the yield and some of its components shown in Figure 8, allowed detecting significant differences between treatments, for the number of grains per plant (Figure 8A).The highest value in the plants that received 100% of the evapotranspiration compared to the ones irrigated at 50%, which corresponds with the results for the number of pods per plant.
On the other hand, in the mass of 100 grains (Figure 8B) no significant differences were detected between treatments, but there were significant differences in the yield per plant, expressed in this case as grams per plant (Figure 8C). It was higher in the treatment than was not subjected to water stress, an aspect that is basically due to the damage caused by water stress in the reproductive structures (Cardona-Ayala et al., 2014) that gave rise to the number of pods, as had already been analyzed.

The water deficit decreases the quality of the production and significantly affects the yield; given by the decrease in the number of grains and the number of pods, when it occurs during the stages of growth, flowering and formation of grains (Polania et al., 2016). In this sense, Pérez-Iriarte et al. (2021), when evaluated five common bean cultivars under two humidity conditions, found that the number of pods per plant was reduced by 24-53% in all cultivars under stress conditions. In the same way, the number of grains per plant decreased, as well as the fresh mass of 100 grains, an aspect that does not coincide with that found in the present work.
Yield is the result of the behavior of the different growth variables, in their interaction with environmental factors and the genetic expression of each cultivar, so any alteration in them, causes changes in their behavior.
The analysis of the morphometric variables in the grains (Figure 9) allowed knowing some of their characteristics, such as length, width and thickness. In none of the evaluated variables, significant differences were detected between the well-supplied water treatment and the one subjected to stress, so it can be argued that they had no direct effect on performance behavior.

Although no significant differences were found between treatments in any of the morphometric variables evaluated, it should be noted that these variables have a close relationship between them and in particular with grain mass (Namugwanya et al., 2018), which could be of interest to evaluate in future work.
From an ecophysiological perspective, the adaptive responses that give plants the ability to tolerate drought (survive under severe stress conditions), will possibly have a negative effect in terms of yield (Mex-Álvarez et al., 2021).
CONCLUSIONS
Based on the results, the following conclusions have been reached:
Based on the analysis of the different variables evaluated, it was verified that the reproductive phase is the most sensitive to water deficiency, due to the reductions that it causes both in growth variables and in performance.
The reduction percentages are higher in the leaf surface, compared to the other growth variables evaluated, which significantly influences the production of dry mass.
Within the yield components, the number of pods per plant and the number of grains per plant have a direct effect on yield behavior, compared to the mass of 100 grains and the number of grains per pod that did not vary by the imposed stress condition.
The yield is reduced under stress conditions, but the morphometric variables of the grain remained similar in both conditions, which makes it possible to define that they do not influence the behavior achieved by the yield.
REFERENCES
ABDELRAOUF, R.; EL-HABBASHA, S.; HOZAYN, M.; HOBALLAH, E.: “Water stress mitigation on growth, yield and quality traits of wheat (Triticum aestivum L.) using biofertilizer inoculation.”, Journal of Applied Sciences Research, 9(3): 2135-2145, 2013, Publisher: American-Eurasian Network for Scientific Information, ISSN: 1819-544X, Disponible en:https://www.swissconsortium.ch.
ÁLVAREZ, S.; RODRÍGUEZ, P.; BROETTO, F.; SÁNCHEZ-BLANCO, M.J.: “Long term responses and adaptive strategies of Pistacia lentiscus under moderate and severe deficit irrigation and salinity: Osmotic and elastic adjustment, growth, ion uptake and photosynthetic activity”, Agricultural Water Management, 202: 253-262, 2018, Publisher: Elsevier, ISSN: 0378-3774, Disponible en:https://www.swissconsortium.ch
CALERO-HURTADO, A.; QUINTERO-RODRÍGUEZ, E.; OLIVERA-VICIEDO, D.; PÉREZ-DÍAZ, Y.; CASTRO-LIZAZO, I.; JIMÉNEZ, J.; LÓPEZ-DÁVILA, E.: “Respuesta de dos cultivares de frijol común a la aplicación foliar de microorganismos eficientes”, Cultivos Tropicales, 39(3): 5-10, 2018, Publisher: Ediciones INCA, ISSN: 0258-5936, Disponible en:https://scielo.sld.cu.
CARDONA-AYALA, C.; JARMA-OROZCO, A.; ARAMÉNDIZ-TATIS, H.; PEÑA-AGRESOTT, M.; VERGARA-CÓRDOBA, C.: “Respuestas fisiológicas y bioquímicas del fríjol caupí (Vigna unguiculata L. Walp.) bajo déficit hídrico”, Revista Colombiana de Ciencias Hortícolas, 8(2): 250-261, 2014, Publisher: Sociedad Colombiana de Ciencias Hotícolas, Universidad Pedagógica, ISSN: 2011-2173.
CULQUI, Y.L.; NERI, J.; VALQUI, N.C.V.; MORI, J.B.; HUAMAN, E.H.; OLIVA, M.: “Efecto del estrés hídrico sobre el comportamiento morfo-fisiológico de cinco genotipos de frijol común (Phaseolus vulgaris L.)”, Revista Científica Pakamuros, 9(2): 73-86, 2021, ISSN: 2522-3240, DOI: https://doi.org/10.37787/pakamuros-unj.v9i2.183.
DELAAT, D.M.; COLOMBO, C.A.; CHIORATO, A.F.; CARBONELL, S.A.: “Induction of ferritin synthesis by water deficit and iron excess in common bean (Phaseolus vulgaris L.)”, Molecular Biology Reports, 41(3): 1427-1435, 2014, Publisher: Springer, ISSN: 0301-4851, DOI: https://doi.org/10.47163/agrociencia.v55i6.2554.
DOMÍNGUEZ SUÁREZ, A.; DARIAS RODRÍGUEZ, R.; MARTÍNEZ DÁVALOS, Y.; ALFONSO NEGRÍN, E.: “Tolerancia de variedades de frijol común (Phaseolus vulgaris) a condiciones de sequía en campo”, Centro Agrícola, 46(3): 22-29, 2019, Publisher: Editorial Feijóo, ISSN: 0253-5785, Disponible en:https://scielo.sld.cu.
FAOSTAT, F.: La Producción mundial de frijol (Phaseolus vulgaris L.), [en línea], Inst. FAOSTAT, Roma Italia, 2018, Disponible en:http://www.fao.org/faostat/es/#data/QC.
HERNÁNDEZ, J.; PÉREZ, J.; BOSCH, I.; CASTRO, S.: Clasificación de los suelos de Cuba, Ed. Ediciones INCA, San José de las Lajas, Mayabeque, Cuba, 93 p., 2015, ISBN: 978-959-7023-77-7.
JEREZ-MOMPIES, E.; MARTÍN-MARTÍN, R.: “Comportamiento del crecimiento y el rendimiento de la variedad de papa (Solanum tuberosum L.) Spunta”, Cultivos tropicales, 33(4): 53-58, 2012, Publisher: Ediciones INCA, ISSN: 0258-5936, Disponible en:https://scielo.sld.cu
KARIMZADEH-SOURESHJANI, H.; NEZAMI, A.; KAFI, M.; TADAYON, M.: “The effect of deficit irrigation on dry matter partitioning, mobilization and radiation use efficiency of common bean (Phaseolus Vulgaris L.)”, Communications in Soil Science and Plant Analysis, 51(3): 307-326, 2020, Publisher: Taylor&Francis, 2020, ISSN: 0010-3624, DOI: https://doi.org/10.1080/00103624.2019.1705323.
LARA-ACOSTA, D.; COSTALES-MENÉNDEZ, D.; NÁPOLES-GARCÍA, M.C.; FALCÓN-RODRÍGUEZ, A.: “Pectimorf® y Azofert-F® en el crecimiento de plantas de frijol (Phaseolus vulgaris L.)”, Cultivos Tropicales, 40(4): 2019, Publisher: Ediciones INCA, ISSN: 0258-5936.
MAQUEIRA-LÓPEZ, L.A.; ROJÁN-HERRERA, O.; SOLANO-FLORES, J.; SANTANA-GES, I.M.; FERNÁNDEZ-MÁRQUEZ, D.: “Productividad del frijol (Phaseolus vulgaris L.). Parte I. Rendimiento en función de variables meteorológicas”, Cultivos Tropicales, 42(3): 2021, Publisher: Ediciones INCA, ISSN: 0258-5936, Disponible en:https://scielo.sld.cu
MEX-ÁLVAREZ, R.M.; GARMA-QUEN, P.N.; YANEZ-NAVA, D.; GUILLEN-MORALES, M.M.; NOVELO-PÉREZ, M.I.: “Caracterización morfométrica de Phaseolus vulgaris en Campeche, México”, Revista CENIC Ciencias Biológicas, 52(1): 32-38, 2021, ISSN: 2221-2450.
MORALES-GUEVARA, D.; DELL AMICO-RODRÍGUEZ, J.; JEREZ-MOMPIE, E.; RODRÍGUEZ-HERNÁNDEZ, P.; ÁLVAREZ-BELLO, I.; DÍAZ-HERNÁNDEZ, Y.; MARTÍN-MARTÍN, R.: “Efecto del Quitomax® en plantas de (Phaseolus vulgaris L.) sometidas a dos regímenes de riego. II. Variables Fisiológicas”, Cultivos Tropicales, 38(4): 92-101, 2017, Publisher: Ediciones INCA, ISSN: 0258-5936, Disponible en:https://scielo.sld.cu.
NAMUGWANYA, M.; TENYWA, J.S.; OTABBONG, E.: “Response of common bean genotypes grown in soil with normal or limited moisture, with special reference to the nutrient phosphorus”, Agronomy, 8(8): 132, 2018, Publisher: MDPI, ISSN: 2073-4395, DOI: https://doi.org/10.3390/agronomy8080132.
NEMATOLLAHI, D.; EISVAND, H.R.; SANAVI, A.; AKBARI, N.; ISMAILI, A.: “The effects of various levels of water deficit stress on forage yield and physiological characteristics of four cultivars of clover (Trifolium spp) under low input condition”, Iranian Journal of Plant Physiology, 7(3): 2125-2134, 2017, Disponible en:https://www.sid.ir/FileServer/JE/1036720170308.
NEMESKÉRI, E.; MOLNÁR, K.; PÉK, Z.; HELYES, L.: “Effect of water supply on the water use-related physiological traits and yield of snap beans in dry seasons”, Irrigation Science, 36: 143-158, 2018, Publisher: Springer, ISSN: 0342-7188, DOI: https://doi.org/10.1007/s00271-018-0571-2.
ONEI-CUBA: Anuario estadístico de Cuba 2020. Edición 2021, [en línea], Inst. Oficina Nacional de Estadística e Información, Infome anual, La Habana, Cuba, 2021, Disponible en:http://www.onei.cu.
PACHÉS, M.: “El agua en el suelo: fuerzas de retención”, Universidad Politécnica de Valencia, 31(3): 1-10, 2019.
PANG, J.; TURNER, N.C.; KHAN, T.; DU, Y.-L.; XIONG, J.-J.; COLMER, T.D.; DEVILLA, R.; STEFANOVA, K.; SIDDIQUE, K.H.: “Response of chickpea (Cicer arietinum L.) to terminal drought: leaf stomatal conductance, pod abscisic acid concentration, and seed set”, Journal of Experimental Botany, 68(8): 1973-1985, Publisher: Oxford University Press, 2017, ISSN: 0022-0957, DOI: https://doi.org/10.1093/jxb/erw153.
PASSIOURA, J.: “Soil conditions and plant growth”, Plant, Cell & Environment, 25(2): 311-318, 2022, Publisher: Wiley Online Library, ISSN: 0140-7791, Disponible en:https://onlinelibrary.wiley.com/doi/pdfdirect/10.1046/j.0016-8025.2001.00802.x.
PÉREZ-IRIARTE, C.; SÁNCHEZ-DELGADO, M.; RAZURI-RAMÍREZ, L.; ENCISO-GUTIÉRREZ, A.: “Dose of irrigation and coefficient of the culture (Kc) in the production of bean (Phaseolus vulgaris L.) in Lima, Perú.”, 2021, Disponible en: .http://servicio.bc.uc.edu.ve.
POLANIA, J.; POSCHENRIEDER, C.; RAO, I.; BEEBE, S.: “Estimation of phenotypic variability in symbiotic nitrogen fixation ability of common bean under drought stress using 15N natural abundance in grain”, European Journal of Agronomy, 79: 66-73, 2016, Publisher: Elsevier, ISSN: 1161-0301, DOI: https://doi.org/10.1016/j.eja.2016.05.014.
PRIETO-CORNEJO, M.R.; MATUS-GARDEA, J.A.; GAVI-REYES, F.; OMAÑA-SILVESTRE, J.M.; BRAMBILA-PAZ, J.J.; SÁNCHEZ-ESCUDERO, J.; MARTÍNEZ-DAMIÁN, M.A.: “Evolución de la superficie cultivada de frijol e impacto económico de la sequía sobre su rendimiento bajo condiciones de temporal en México”, Revista fitotecnia mexicana, 42(2): 173-182, 2019, Publisher: Sociedad Mexicana de Fitogenética AC, 2019, ISSN: 0187-7380.
RAMÍREZ-CABRAL, N.; GUTIÉRREZ-SÁNCHEZ, R.A.; CID-RÍOS, J.A.; CRUZ-BRAVO, R.: “Variedades de frijol pinto, una alternativa para mitigar los efectos del cambio climático en el noroeste de Zacatecas”, Revista Científica Semestral Investigación, Desarrollo e Innovación, 4(2): 91-100, ISSN: 2594-150X.
REYES-MATAMOROS, J.; MARTÍNEZ-MORENO, D.; RUEDA-LUNA, R.; RODRÍGUEZ-RAMÍREZ, T.: “Efecto del estrés hídrico en plantas de frijol (Phaseolus vulgaris L.) en condiciones de invernadero”, Revista Iberoamericana de Ciencias, 1(2): 191-203, 2014, ISSN: 2334-2501, Disponible en:https://www.swissconsortium.ch.
ROMERO-FÉLIX, C.S.; LÓPEZ-CASTAÑEDA, C.; KOHASHI-SHIBATA, J.; MARTÍNEZ-RUEDA, C.G.; MIRANDA-COLÍN, S.; AGUILAR-RINCÓN, V.H.: “Variabilidad en características morfo-fisiológicas del frijol común bajo sequía terminal”, Agrociencia, 55: 471-485, 2021, DOI: https://doi.org/10.47163/agrociencia.v55i6.2554.
TOEBE, M.; BRUM, B.; LOPES, S.J.; CARGNELUTTI FILHO, A.; REIS DA SILVEIRA, T.: “Estimativa da área foliar de Crambe abyssinica por discos foliares e por fotos digitais”, Ciência Rural, 40: 445-448, 2010, Publisher: SciELO Brasil, ISSN: 0103-8478.
TORABIAN, S.; NAVATHE, S.; SHAKIBA, M.; MOHAMMADI NASAB, A.D.; TOORCHI, M.: “Exogenous spermidine affected leaf characteristics and growth of common bean under water deficit conditions”, Communications in Soil Science and Plant Analysis, 49(11): 1289-1301, 2018, Publisher: Taylor&Francis, ISSN: 0010-3624, Disponible en:https://www.swissconsortium.ch.
TURNER, F.J.: Metamorphic petrology: Mineralogical, field, and tectonic aspects, Ed. McGraw-Hili Book Co., segunda edición ed., 1983.
VALLEJOS-BARRA, O.; PONCE-DONOSO, M.; HEINRICH, P.; DOLL, U.: “Área y biomasa foliar total de Nothofagus glauca (Phil.) Krasser en zona Andina, Región del Maule, Chile”, Colombia forestal, 22(2): 5-14, 2019, Publisher: Facultad del Medio Ambiente y Recursos Naturales, Universidad Distrital, ISSN: 0120-0739, DOI: https://doi.org/10.14483/2256201x.14312.
Author notes
*Author for correspondence: Lilisbet Guerrero-Domínguez, e-mail: liligd@inca.edu.cu
Conflict of interest declaration