Síntesis, caracterización y actividad catalítica de MoS2/MCM-48 en la hidrodesulfuración de dibenzotiofeno
Síntesis, caracterización y actividad catalítica de MoS2/MCM-48 en la hidrodesulfuración de dibenzotiofeno
Avances en Química, vol. 11, núm. 1, pp. 35-45, 2016
Universidad de los Andes
Recepción: 18/09/2015
Aprobación: 04/02/2016
Financiamiento
Fuente: CDCHTA-ULA
Nº de contrato: C-1962-15-08-ED
Resumen: Se sintetizaron catalizadores de MoS2/MCM-48 mediante tres rutas a 150, 200 y 250 °C con la finalidad de establecer la relación entre estructura y propiedades de los materiales. La caracterización se realizó a través de DRX, adsorción de nitrógeno, MET, MEB y EDX. Los resultados mostraron que la incorporación de las fases de molibdeno influye en las características de textura, pero no provoca la pérdida de la periodicidad ni de la estructura porosa. Se observó formación de pequeños cristales de MoS2 en el orden de los nanómetros. El test catalítico arrojo una conversión máxima a 250 °C de 50 % para el catalizador más efectivo.
Palabras clave: MCM-48, Molibdeno, MoS2.
Abstract: MoS2/MCM-48 catalysts were synthesized through different temperatures, 150, 200 and 250 °C in order to establish the relationship between structure and properties of materials. The characterization was performed using XRD, nitrogen absorption, HRTEM, SEM and EDX. The results showed that the addition of molybdenum phases affects the characteristics of texture, but does not cause loss of the frequency or of the porous structure. Formation of small crystals of MoS2 on the order of nanometers was observed. The catalytic test throws maximum conversion at 250 °C of 50 % for the most effective catalyst.
Keywords: MCM-48, Molybdenum, MoS2.
Introducción
A escala global el desarrollo de catalizadores de hidrodesulfuración viene de la mano con el perfeccionamiento de procesos químicos orientados al aprovechamiento de corrientes energéticas capaces de minimizar el daño al medio ambiente1,2. En este sentido, la industria del petróleo está sujeta al cumplimiento de regulaciones gubernamentales que requieren la producción y el uso de combustibles más cuidadosos con el medio ambiente, es decir, con bajo contenido de azufre. Asimismo, el nivel de estos compuestos en los combustibles como la gasolina y el gasóleo debe ser reducido a 10 ppm3. Por esta razón, el desarrollo de catalizadores con gran actividad y selectividad para el proceso de hidrodesulfuración (HDS) es uno de los problemas más apremiantes que enfrenta la industria del petróleo.
En tal proceso, la fracción de hidrocarburos es mezclada con hidrógeno y se hace circular por un catalizador activo bajo condiciones adecuadas de presión y temperatura, logrando con ello romper los enlaces de carbono-azufre presentes en el material a tratar y saturar con hidrógeno las valencias libres resultantes o los dobles enlaces olefínicos formados en tal paso de re-arreglo. De esta manera se obtiene el combustible limpio de impurezas o de bajo azufre y sulfuro de hidrogeno (H2S).
Previamente en la literatura se han reportado investigaciones que evalúan el efecto de diferentes métodos usados comúnmente para la preparación de catalizadores MoO3/Al2O3 sobre los estados existentes de las especies Mo y activos para la hidrodesulfuración. En ellas se destaca que los catalizadores preparados por métodos de impregnación húmeda incipiente exhiben mayor actividad para la HDS4.5.
Por otro lado, se ha demostrado que altas áreas específicas de las sílices mesoporosas favorecen la dispersión de las especies activas, lo que resulta en una alta reactividad para la desulfuración de dibenzotiofeno con catalizadores preparados por deposición de especies Co-Mo o Ni-Mo6. Asimismo, al revisar en la bibliografía acerca de la actividad catalítica de metales de transición soportados sobre MCM-48 para la reacción modelo de hidrodesulfuración de dibenzotiofeno, se han observado rendimientos altos para estos catalizadores con formación de bifenilo (BF) como producto principal, típico de la vía hidrodesulfuración directa (DDS) y ciclohexilbenceno (CHB) en una proporción menor de la hidrogenación antes de la vía de desulfuración7. En el mecanismo de reacción de HDS, los átomos de azufre retenidos en la superficie del sólido pueden ser removidos únicamente por la introducción de un compuesto que contenga azufre, indicado que el intercambio ocurre entre los átomos de azufre y los compuestos que contienen azufre6,8.
El objetivo del presente trabajo se basa en estudiar la incorporación de MoS2 en las paredes de los nanoporos, mediante tres rutas de síntesis para evaluar sus propiedades catalíticas en la reacción de hidrodesulfuración de dibenzotiofeno con la finalidad determinar el método es más eficaz para la incorporación la fase activa dentro de este tipo de sólido, que es potencialmente más ventajoso para la HDS, ya que su sistema de poro tridimensional permite alta difusión efectiva de los reactivos y productos a través de los poros.
Parte experimental
Síntesis del soporte MCM-48.
La síntesis hidrotérmica del sólido mesoporoso MCM-48 se llevó a cabo usando como agente director de estructura, al bromuro de cetiltrimetil-amonio (CTMABr) (Merck, 98%), como fuente de silicio Aerosil 200 (Degussa, 99%) e hidróxido de sodio (JT Baker, 98%)9,10. La composición molar del gel de síntesis fue SiO2:0,38 Na:0,175 CTMABr:120 H2O. El CTMABr fue dispersado en agua desionizada bajo agitación y luego la mezcla se calentó a 40 ºC por 5 min, a continuación se adicionó el hidróxido de sodio y la sílice. El gel de síntesis fue transferido a un autoclave de acero inoxidable y se agitó por 2 h, luego se detuvo la agitación y se calentó a 150 ºC por 4 h. El sólido obtenido al final de la síntesis fue filtrado y lavado con una mezcla 1:1 de agua desionizada y etanol. Posteriormente el material se secó en una estufa a 120 ºC por 24 h. El material se calentó a 1 ºC/min desde temperatura ambiente hasta 520 ºC, la calcinación se llevó a cabo por 10 h, bajo un flujo de oxígeno de 60 mL/min.
Impregnación del soporte MCM-48 con molibdeno.
La incorporación de molibdeno al MCM-48 se realizó siguiendo tres rutas de reacción todas ellas se llevaron a 150, 200 y 250 ºC con heptano JT Baker Chemical Co 99,8 % 50 mL por gramo de MCM-48, los compuestos obtenidos fueron destilados y secados durante 24 h a 120 ºC. La primera ruta fue por descomposición del hexacarbonilo de molibdeno (Alfa Products Ventron 99 %); se tomó 0,85 g de MCM-48 y se adicionó 0,41 g de Mo(CO)6 para incorporar 15 % (p/p) de Mo, se pesó 0,15 g de azufre elemental (Merck 99 %) para la formación de MoS2 a continuación estos componentes fueron transferidos a un autoclave, donde se adicionó el solvente orgánico llevándolos a una presión de 100 psi de H2 (AGA U.A.P). Los sólidos obtenidos fueron codificados como AMoS2- 150; A-MoS2-200; A-MoS2-250.
La segunda ruta fue por medio de una impregnación incipiente con solución de heptamolibdato de amonio, se pesó 0,85 g de MCM-48 y 0,05 g de heptamolibdato de amonio para incorporar 15 % (p/p) de molibdeno, luego se colocó cada uno de estos componentes en el autoclave, seguidamente se adicionó el solvente y se llevó a una presión de 100 psi de N2 (AGA). Los sólidos se dejaron bajo agitación por un tiempo de impregnación de 4 h. Finalmente se almacenaron en un desecador bajo vació y se codificaron como B-MoS2- 150; B-MoS2-200; B-MoS2-250. La última ruta fue la impregnación incipiente de MoS2, para ello se pesó 0,85 g de MCM-48 y 0,25 g sulfuro de molibdeno para incorporar 15% (p/p) de Mo; seguidamente, cada uno de estos componentes fueron colocados en el autoclave, donde se agregó el solvente orgánico y llevándolos a una presión de 100 psi de N2 (AGA U.A.P). Los catalizadores obtenidos se denominaron CMoS2- 150; C-MoS2-200; C-MoS2-250.
Caracterización
Los sólidos sintetizados fueron caracterizados por DRX en polvo (bajos ángulos), en un equipo Siemens modelo D5005, el generador fue operado a 40 kV y 30 mA con una radiación Cu Kα (λ= 1,5405 Å), con rendija receptora fija en 0,2 mm y la de divergencia variable fue ajustada a 1 mm. Se barrió un rango de 2θ comprendido entre 1,50° a 100°, con un paso de barrido de 0,02º y un tiempo de paso de 0,8 s. Para la caracterización por DRX a ángulos superiores se uso un difractómetro de polvo, que empleó una cámara Guinier Enraf Monius FR-552, alineada sobre una fuente de rayos X marca Philips PW 1130/90/96. Las condiciones de operación fueron: radiación de Cu Kα de longitud de onda 1,5406 Å, a una velocidad de 0,02º a partir de un rango de barrido de 2θ comprendido entre 5 y 70º. Los análisis de área superficial, volumen de poro y diámetro de poro fueron realizados en un equipo Micromeritics modelo ASAP 2010. El análisis morfológico (MEB) y el análisis de Dispersión de Energía de Rayos X fue realizado en un Microscopio Electrónico de Barrido marca HITACHI S2500, con una interfase NORAN para la captura de las imágenes, acoplado a un KEVEX Delta- 3. La observación de las muestras por MET se realizó en un microscopio electrónico de transmisión Philips, modelo CM- 10.
Pruebas catalíticas
Las pruebas catalíticas de hidrodesulfuración se llevaron a cabo en reactores de pirex, de lecho fijo, en corriente continua con flujo descendente, a una temperatura de reacción de 350 ºC con una masa de catalizador de 0,2 g. La mezcla de 1 % dibenzotiofeno DBT (Aldrich, 98 %) = 24,562 ppm en ndecano (sigma > 99 %), la cual tuvo como patrón interno 1 % (p/p) de tolueno (sigma > 99 %), se inyectó mediante una bomba de desplazamiento que permitió variar la velocidad de inyección. El flujo de la mezcla fue de 3 mL/h. Las muestras fueron sometidas a pretratamiento a 450 ºC en flujo de N2 (AGA UAP) de 30 mL/min durante 1 h. Como gas portador en la reacción se empleó H2 (AGA UAP) con una velocidad de flujo de 20 mL/min. Los productos fueron recolectados en viales mediante el uso de un condensador que se mantuvo a 0 ºC, a la salida del cual se colocó una trampa de NaOH al 30%, para capturar el H2S formado. El análisis de los productos de reacción se realizó en un cromatógrafo de gases Agilent 6890 dotado de un detector de ionización en llama y una columna capilar PONA a 190 °C con H2 como gas portador.
Resultados y discusión
DRX a ángulos bajos
En el difractograma experimental a ángulos bajos del MCM- 48 (figura 1) se observa un pico de difracción de mayor intensidad a 2,64° y otros dos picos menos intensos a 3° y 5°, atribuidos a la difracción (211), (220) y (332) de los planos cristalinos, respectivamente, característicos de estructuras mesoporosas de grupo espacial cúbico Ia3d que corresponde con el patrón de difracción reportado11. Asimismo, se destaca que el pico más fuerte (211) posee poco ancho de pico, característico de estructuras altamente ordenadas y de parámetros de celda unidad grandes (79,77 Ǻ, tabla 1).

En los difractogramas de la figura 1 se observa disminución de las intensidad de pico de la región ubicada entre 2θ = 2,5° a 3,0° en función a la muestra de partida de MCM-48, revelando que el procedimiento empleado para la incorporación de las fase activas influye en la estructura. Esto concuerda con un leve desplazamiento a un ángulo más amplio (2θ = 2,710° máximo) del pico de reflexión del plano cristalino (211) de los catalizadores estudiados observado luego de la incorporación de MoS2 en comparación con el ángulo (2θ = 2,64°) del soporte MCM-48 (tabla 1) indicando además un decrecimiento del parámetro de red a medida queva aumentando la temperatura. Por lo tanto, la reducción de los parámetros correspondientes a la celda unidad a0=d(h2+k2+l2)1/2 significó una reducción en la estructura mesoporosa MCM-48 durante la preparación.

(a) dhkl = λ/2 senθ (b) Calculado con a0=d(h2+k2+l2)1/2
amplio (2θ = 2,710° máximo) del pico de reflexión del plano cristalino (211) de los catalizadores estudiados observado luego de la incorporación de MoS2 en comparación con el ángulo (2θ = 2,64°) del soporte MCM-48 (tabla 1) indicando además un decrecimiento del parámetro de red a medida queva aumentando la temperatura. Por lo tanto, la reducción de los parámetros correspondientes a la celda unidad a0=d(h2+k2+l2)1/2 significó una reducción en la estructura mesoporosa MCM-48 durante la preparación.
A pesar de que los patrones de difracción son muy similares se pudo cuantificar un ligero efecto en la temperatura con tendencia a la disminución del parámetro de celda. Al analizar todos los catalizadores vemos que el método de las series A-MoS2 presenta menor variación del parámetro de celda a medida que incrementa la temperatura respecto a las series B-MoS2 y C-MoS2 (tabla 1). Se ha señalado que la disminución de las intensidades de pico corresponde a la aparición de defectos en el sistema de poro, atribuido a una estructura menos ordenada. Sumado a ello, la fase hexagonal pudo verse afectada trayendo como consecuencia una posible pérdida de ordenamiento del soporte, aunque dicho sistema se conserva en gran medida. Los cambios en el parámetro de celda y distancias interplanares de este tipo de sólidos han sido soportados por Corma11 y Hussain y colaboradores12. Al comparar los métodos empleados para la incorporación de las distintas fuentes de molibdeno respecto al sólido mesoporoso de partida, vemos que la impregnación con hexacarbonilo de molibdeno (A-MoS2) afecta en menor proporción las características de distancia interplanar (d) y parámetro de celda del MCM-48 (tabla 1) respecto al resto de los métodos, debido presumiblemente a la capacidad del Mo(CO)6 de liberar molibdeno para formar fases como sulfuro de molibdeno sobre la superficie del soporte13, minimizando impurezas y subproductos de reacción generados durante la preparación evitando que participen en el bloqueo de los sitios activos en la estructura del catalizador. La perdida de intensidad del pico 211 se calculó por medio de la relación entre el solidó base y los sólidos modificados (ecuación 1)
(1)IRP211 = Intensidad remanente de pico 211.
IP211S = Intensidad del pico 211 del sólido impregnado.
IP211MCM = Intensidad del pico 211 de MCM-48.
Esta intensidad remanente se gráficó en función de la temperatura de impregnación de cada serie estudiada (figura 2).

La intensidad del pico 211 decrece al aumentar la temperatura de impregnación debido a:
1) La aparición de defectos en el sistema de poros, como consecuencia del tratamiento, a que fue sometido el soporte mesoporoso, para la incorporación de la fase metálica.
2) El factor de dilución de los catalizadores en estudio, el cual fue de 15%, respecto al los reactivos puros (MoS2, Mo(CO)6 y (NH4)6Mo7O24).
DRX a ángulos convencionales
Los patrones de difracción de rayos X a ángulos convéncionales de los catalizadores de las series A-MoS2 y B-MoS2 (no mostrado) presentaron un pico ancho atribuido al SiO2 amorfo en el rango de 2θ= 20-30° según la ficha cristalográfica JCPDS 82-1557. La ausencia de fases cristalinas indica que el sulfuro de molibdeno se encuentra altamente disperso formando cristales cuyas dimensiones son inferiores a ~3 nm, límite de detección de la técnica de caracterización empleada.
Por otro lado, la serie de catalizadores C-MoS2 presentó una importante disminución de la fase cristalina del sulfuro de molibdeno alrededor del 85 % respecto al sólido de partida, atribuido al factor de dilución. La fase cristalina refleja una buena dispersión del mismo en el material mesoporoso, aunado a ello solo presentan algunas de las líneas o picos más característicos que coinciden cuando se comparan con el reportado en la base de datos cristalo-gráfica ICCD (ficha N° 00-009-0312) del X'Pert High Score® (2004) (figura 3)14.

Utilizando la ecuación de Scherrer12 (ecuación 2), que relaciona el diámetro de partícula (d) con el ancho del pico a media altura (β) y empleando K = 0,9; se calculó el diámetro de partícula de sulfuro de molibdeno (dMoS2), para 2θ ~ 14,4º (tabla 2).
(2)β = β0 − βi, como β0 >> βi entonces β = β0
β0: ancho a media altura (obtenido en el difractograma).
βi: contribución del equipo en el ancho de pico.
β : ancho de pico a media altura en radianes.

Al estudiar el efecto de la temperatura de trabajo se observó que para el catalizador C-MoS2-250 el tamaño de partícula promedio aumento respecto a los catalizadores C-MoS2-150 y C-MoS2-200. Cabe destacar que la temperatura de reacción es una variable importante que influye en los procesos de hidrodesulfuración, debido a que su aumento favorece la reacción; sin embargo, ésta no puede ser excesiva, se debe trabajar con la mínima temperatura en la cual se alcance las especificaciones de los productos; las altas temperaturas producen una desactivación catalítica acelerada, además influyen en la limitación termodinámica para la HDS, en los alquil-DBT por el mecanismo de hidrogenación15.
Fisisorción de N2 a 77 K
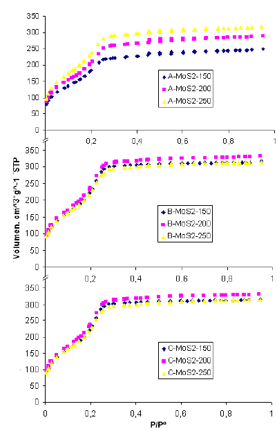
Las muestras exhiben isotermas de adsorción reversibles de tipo IV, de acuerdo a la clasificación de Brunauer, Deming, Deming and Teller (BDDT)16. Además estas resultaron ser inclinadas a presiones relativas (P/Po) entre 0,2-0,3; atribuídas a la condensación capilar del nitrógeno dentro de los mesoporos uniformes. No se observa la formación de histéresis, debido a que el material presenta poros cilíndricos abiertos por ambos lados. Los valores texturales (área específica, volumen de poro y diámetro de poro) de los catalizadores sintetizados se muestran en las tablas 4, en ella se observa que los valores de área superficial disminuyen conforme incrementa la temperatura de impregnación como consecuencia de la incorporación de las fases activas a lo largo de la superficie de los catalizadores, y el factor de dilución que producen un cambio en la textura del material mesoporoso. Adicionalmente este comportamiento puede atribuirse a la posible oclusión parcial o completa del metal en los poros, ya que se nota una menor condensación capilar en las isotermas (figura 4), así como al colapso parcial de la estructura porosa. A pesar de ello las isotermas de adsorcióndesorción de todos los catalizadores soportados no varían notablemente, lo que sugiere que la estructura del soporte aún permanece intacta después de la adición del Mo-S, indicando la estabilidad de la estructura mesoporosa de los sólidos.

Al comparar los métodos de síntesis se observan valores muy similares en el área específica de los sólidos estudiados, característicos de catalizadores de sulfuro de molibdeno sintetizados de manera in situ y ex situ bajo condiciones hidrotérmicas10,17. En estos procesos el vapor de agua ejerce una presión que se opone a la salida de los gases producidos durante la descomposición de los precursores catalíticos, provocando la dispersión de la fase activa sobre la estructura porosa con una gran área superficial expuesta, por lo que se esperaría un gran incremento en la actividad catalítica como consecuencia de un mayor número de sitios activos expuestos por el área superficial específica.
Combinando los valores de parámetro de celda (a0) y diámetro de poro (D) obtenidos por DRX y adsorción de N2 respectivamente, se calculo el valor del espesor de la pared (t), a través de la ecuación a0 = 2(D+t). El valor del espesor de la pared (tabla 3) para el sólido MCM-48 puro fue 1,03 nm, el mismo aumenta para todas las series de los sólidos impregnados, indicando que los cambios observados en los valores de diámetro de poro se deben a la inclusión de moléculas de la fase metálica en el interior de los canales de la MCM-48 de partida, ocasionando una disminución del diámetro de poro y aumento en el espesor de la pared. Por consiguiente, el espesor de la película puede ser calculado usando la formula ∆ w = wi-w0 donde w0 = 1,03 nm y wi = espesor de la pared de cada uno de los catalizadores (nm). Esta variación se puede atribuir a la dispersión y al tamaño de las partículas metálicas durante la incorporación de las fases activas, es decir, al no ser homogéneas las partículas de menor tamaño tienden a estar dispersas, y las de tamaño superior al calentarse tienden a aglomerarse, formando cristales de diferentes tamaños a lo largo del material, esto es favorable para mejorar la estabalidad térmica del catalizador.

Microscopía electrónica de barrido (MEB)
La figura 5 muestra el sólido mesoporoso de partida (MCM- 48, 0 % fases activas) con una morfología predominantemente esférica y tamaños por debajo de los 2,5 μm, adicionalmente se presenta partículas hexagonales o de forma irregular18. Al comparar las micrografías de los catalizadores (figura 6), con la del material mesoporoso de partida, se puede ver que la morfología es muy similar y no varía notable-mente al aumentar la temperatura de impregnación, representando otro indicio de que la fase metálica efectivamente se encuentra dispersa en el interior del soporte. Los distintos tamaños de partículas obtenidos para estos sólidos y la relación entre ellos se muestran en la tabla 4.

Tamaño promedio de partícula de los catalizadores: AMoS2- 150; A-MoS2-200; A-MoS2-250; B-MoS2-150; B-MoS2-200; B-MoS2-250; C-MoS2-150; C-MoS2-200 y C-MoS2-250.
El tamaño promedio de partícula, para la serie A-MoS2 está en el estrecho rango de 0,62 a 0,64 µm, con una desviación estándar entre 0,11 y 0,18 µm. En cuanto al tamaño promedio de partícula, para la serie B-MoS2, se ubica en el rango de 0,60 a 0,64 µm, con una desviación estándar entre 0,11 y 0,15 µm. Por último, la serie C-MoS2 mostró un tamaño alrededor de 0,82 y 1,00 µm, con una desviación entre 0,11 y 0,21.

El tamaño promedio de partícula, para la serie A-MoS2 está en el estrecho rango de 0,62 a 0,64 µm, con una desviación estándar entre 0,11 y 0,18 µm. En cuanto al tamaño promedio de partícula, para la serie B-MoS2, se ubica en el rango de 0,60 a 0,64 µm, con una desviación estándar entre 0,11 y 0,15 µm. Por último, la serie C-MoS2 mostró un tamaño alrededor de 0,82 y 1,00 µm, con una desviación entre 0,11 y 0,21.
Dispersión de energías de rayos X (EDX)
En la tabla 5 podemos notar que las series de catalizadores A-MoS2, B-MoS2 y C-MoS2, exhiben proporciones molares de molibdeno en el rango de 0,02 a 0,08 %; azufre entre 0,06 y 0,17 %, así como también presencia de oxígeno y silicio correspondientes al soporte. Los valores de Si y O obtenidos para estos sólidos se encuentran en rangos similares, lo que era de esperarse puesto que en su síntesis estos compuestos fueron agregados en proporciones equivalentes. En cuanto a la relación molar S/Mo, los resultados de los catalizadores impregnados a 250 °C, independiente del método de síntesis empleado muestran que la fase MoS2 se encuentra presente, ya que la misma ofrece valores cercanos al valor teórico (S/Mo=2). Del mismo modo, para el resto de los sólidos la relación S/Mo se ubica alrededor de 3, indicando que parte del molibdeno agregado puede estar bajo otras fases sobre la superficie, o como sólidos amorfos19.
Todas las relaciones experimentales calculadas por esta técnica se realizaron usando 25 áreas de estudio, las cuales denotan valores bastante cercanos a los valores de las relaciones teóricas, tomando en cuenta el error asociado a la manipulación y la instrumentación; desde la síntesis, la pesada, evaporación y calcinación de las muestras, hasta del equipo utilizado (microscopio EDX). El oxígeno del aire fisisorbido en las muestras contribuye en las pequeñas diferencias de los valores obtenidos, debido a que las muestras tienden a ser higroscópicas. Aunque no se realizó, este efecto puedo ser evitado efectuando una pasivación de la superficie del catalizador con una mezcla de 1 % de O2 diluido en Ar o He. Por otro lado, no se detectó ningún tipo de contaminación en los sólidos de partida o en los modificados.

Microscopía electrónica de transmisión (MET)
Al analizar las imágenes MET de alta resolución (figura 7) para evaluar la morfología del soporte, vemos que los catalizadores presentan un arreglo bien ordenado, como se esperaba para estructuras MCM-48 impregnadas. Además se observa regularidad en el sólido mesoporoso. Este arreglo indica la periodicidad de los poros, que concuerda con los análisis mediante DRX. Las manchas oscuras que se observan a lo largo de las muestras sugieren la presencia de nanopartículas de fases metálicas, en el interior de los canales del soporte, con la excepción de algunos aglomera-dos que se ubican alrededor de 7 nm (figura 7f y 7i). Además se puede apreciar una mayor heterogeneidad en el tamaño de las fases activas presentes, debido al tipo de soporte empleado. En estas micrografías se muestran morfologías que representan estrías en forma de valles ubicadas en cúmulos laminares típicas del sulfuro de molibdeno20. En línea general, la distribución de los tamaños se encuentran entre 1 y 7 nm para todas las series como se muestra en la tabla 5.

Estudio del efecto del tiempo de reacción sobre la conversión catalítica
Los resultados de la conversión de DBT en función del tiempo de reacción observados en las figura 8 mostró que los catalizadores A-MoS2, B-MoS2 y C-MoS2 preparados a 250 ºC presentan una mayor actividad en comparación con los catalizadores a 150 y 200 ºC. Este comportamiento está relacionado al grado de sulfuración del catalizador (S/Mo) determinados en el análisis elemental mediante energía dispersiva de rayos X, donde se observa que los sólidos AMoS2- 250, B-MoS2-250 y C-MoS2-250 presentan relaciones atribuidas a la fase MoS2 (S/Mo = 2). Para los catalizadores A-MoS2, B-MoS2 y C-MoS2-250 sintetizados a 150 y 200 °C la actividad se ve afectada como resultado de relaciones S/Mo entre 3 y 4 observadas por EDX, lo que implica la formación de otras fases cristalinas distintas a la esperada MoS2 ó a sólidos amorfos.
Al comparar ambas series vemos que los sólidos sintetizados por descomposición de hexacarbonilo de molibdeno (serie AMoS2) exhiben conversiones mayores respecto a los catalizadores de las series B-MoS2 y C-MoS2 preparados por impregnación con solución de (NH4)6Mo7O24 y MoS2, respectivamente a la misma temperatura, esto se atribuye a que no todo el molibdeno contenido en estas series de catalizado-res fue anclado al soporte, en consecuencia se presume la presencia de formaciones de partículas de molibdeno (aglomerados; figura 7f y 7i) y baja actividad catalítica, como fue demostrado al calcular el espesor de pared por los datos de DRX a ángulo convencional para las series B-MoS2 y CMoS2, aunado a ello el precursor de molibdeno en la serie A (incorporación por descomposición de hexacarbonilo de molibdeno) evita la formación de impurezas y sub-productos de reacción generados durante la preparación tal como se discutió en la técnica de DRX a ángulos bajos.

Micrografías electrónicas de transmisión de los sólidos: (a) A-MoS2-200; (b) A-MoS2-250; (c) B-MoS2-150; (d) B-MoS2-200; (e) B-MoS2-250; (f) B-MoS2-250; (g) C-MoS2-150; (h) C-MoS2-200 y (i) C-MoS2-250.
La tendencia de la conversión para las series es a mantenerse constante o crecer ligeramente con el tiempo de reacción, esto se debe a que hubo una mínima desactivación de los catalizadores. En la figura 6 fue notorio el incremento de la cantidad de azufre eliminado con el aumento de la temperatura de reacción hasta llegar un máximo de conversión a 250 °C, siendo este valor el óptimo dentro del estudio, lo que coincide con lo citado en la literatura21.
Esta estabilidad ubicada alrededor del 100% se puede atribuir a las características del soporte MCM-48 que permite trabajar en condiciones intermedias de temperatura y al tamaño promedio de poro. De la misma forma, podemos ver una tendencia general a mantenerse más estable para los sólidos preparados por el método A (Mo(CO) 6 y S elemental).

Estudio de la estabilidad catalítica:
En las figuras 9 se muestra la estabilidad catalítica de los sólidos modificados de las series A-MoS2; B-MoS2 y C-MoS2 a tiempos de reacción de 90 minutos calculados según la ecuación 3:
(3)tmáx =300 min y tmin =10 min representan el tiempo máximo y mínimo de reacción, respectivamente.


Estudio de la selectividad:
La reacción llevada a cabo con los catalizadores estudiados dio origen al compuesto bifenilo como único producto de reacción, indicando que solo ocurre la hidrodesulfuración directa (DDS) de DBT. Las reacciones de hidrogenación no ocurrieron, debido a que el sistema de reacción sigue la ruta de adsorción del dibenzotiofeno por el átomo de S, seguida por la pérdida de éste vía hidrogenólisis de los enlaces σ, alcanzándose 100 % de selectividad a BF, debido a que ya éste no es hidrogenado a ciclohexilbenceno. Así mismo no hubo presencia de hidrogenados de dibenzotiofeno previa a la HDS, lo que era de esperarse ya que se trabajo a condiciones de baja presión relativa de hidrógeno (~1 atm).
Conclusiones
En este estudio, se presentaron tres métodos de tratamiento de síntesis y se caracterizó por DRX y MET para examinar la dispersión de la fase activa sobre el sólido mesoporoso. No se detectaron picos de difracción a ángulos convenció-nales en las series de catalizadores A-MoS2 y B-MoS2, lo que indica que las especies de Mo se hallan bien dispersas en la superficie de la sílice mesoporosa. Únicamente, la serie de catalizadores C-MoS2 presento picos de DRX convencionales, evidenciándose la formación de cristales de MoS2 en el orden de los nanómetros. Esta incorporación de la fase activa en la estructura del soporte no provocó pérdida de la periodicidad o pérdida de la estructura de poro, no obstante por medio de las técnicas de DRX ángulo bajo y adsorción de nitrógeno a 77 K se detectó una caída del valor del parámetro celda unidad ao como consecuencia de la reducción del tamaño de poro y aumento del espesor de la pared por efecto de la deposición de las moléculas de MoS2 en el interior del sistema de canales. Pese a ello, se demostró que los materiales preparados a partir de sílice del tipo MCM-48 pueden ser usados como soporte efectivo para catalizadores de hidrodesulfuración.
En referencia a la hidrodesulfuración de dibenzotiofeno sobre los catalizadores estudiados vemos que el catalizador que presento mayor conversión fue el A-MoS2-250 (conversión de 50%), indicando que el procedimiento más efectivo para la incorporación de molibdeno fue la descomposición del hexacarbonilo de molibdeno. La temperatura de sulfuración donde se alcanzó mayor conversión para todos los catalizadores preparados fue a 250 ºC, dicha temperatura corresponde al valor óptimo. Asimismo, la actividad catalítica depende de la fuente de molibdeno y de la temperatura de preparación de los sólidos, ya que los parámetros estructurales, valores texturales e interacción con el soporte son consecuencia directas de las condiciones empleadas en las tres rutas de impregnación. El estudio de la estabilidad térmica sugiere en línea general que la estabilidad de los mismos se mantiene a lo largo del tiempo de reacción. Para los tres métodos de síntesis estudiados se obtuvo, bifenilo (BF) como único producto de reacción.
Agradecimientos
Agradecemos al CDCHTA-ULA por el financiamiento a través del proyecto C-1962-15-08-ED para el desarrollo de este trabajo.
Referencias
1. A Stanislaus, A Maradi, MS Rana. Recent advances in the science and technology of ultra low sulfur diesel (ULSD) production. Catal. Today, 153(1), 1-68. (2010)
2. A Startsev. The Mechanism of HDS Catalysis. Catal. Rev- Sci. Eng., 37(3), 353-423 (1995).
3. DIRECTIVA 2009/30/CE DEL PARLAMENTO EUROPEO Y DEL CONSEJO. DOUEL (140), (2009).
4. H Li, M Li, Y Chu, F Liu & H Nie. Effect of different preparation methods of MoO3/Al2O3 catalysts on the existing states of Mo species and hydrodesulfurization activity. Fuel, 116, 168-174. (2014).
5. F Liu, S Xu, L Cao, Y Chi, T Zhang & D Xue. A comparison of NiMo/Al2O3 catalysts prepared by impregnation and coprecipitation methods for hydrodesulfurization of dibenzothiophene. The Journal of Physical Chemistry C, 111(20), 7396-7402 (2007).
6. A Wang, Y Wang, Y Chen, X Li, P Yao, T Kabe. Hydrodesulfurization of dibenzo-thiophene over Mo-based catalysts supported by siliceous MCM-41. Stud. Surf. Sci. Catal., 142, 795-798 (2002).
7. M Souza, A Pedrosa, J Cecilia, A Gil-Mora & E Rodríguez- Castellón. Hydrodesulfurization of dibenzothiophene over PtMo/MCM-48 catalysts. Catal. Comm., 69, 217-222 (2015).
8. M Quintero, M Pérez, F Imbert, P Rodríguez, M Villarroel, C Lugo & J Brito. Hidrodesulfuración de dibenzotiofeno sobre catalizadores mono y bimetálicos (Mo; MoNi) soportados sobremesoporoso MCM-41. Av. Quim., 10(1), 21-32 (2015).
9. E García, P Rodríguez, A Lobo, P Hoffman, A Uzcátegui, M Villarroel & F Imbert. Isomerización de m-xileno sobre MCM-48 impregnada con ácido tungstenofosfórico. Av.Quim., 5(2), 99-105 (2010).
10. J Rondón. Hidrodesulfuración de dibenzotiofeno en catalizadores de Mo soportados sobre el material nanoporoso MCM- 48. Trabajo Especial de Grado (MSc). Universidad de LosAndes, Facultad de Ciencias. Mérida-Venezuela (2011).
11. A Corma. From microporous to mesoporous molecular sieve materials and their use in catalysis. Chem. Rev., 97(6), 2373 (1997).
12. M Hussain, S Song, J Lee & S Ihm. Characteristics of CoMo Catalysts Supported on Modified MCM-41 and MCM-48 Materials for Thiophene Hydrodesulfurization. Ind. Eng. Chem. Res., 45(2), 536–543 (2006).
13. X Wu, A Mahalingam, Y Wan, M Alterman. Fast microwave promoted palladium-catalyzed synthesis of phthalides from bromobenzyl alcohols utilizing DMF and Mo(CO)6 as carbón monoxide sources. Tetrahedron Lett., 45(24), 4635-4638 (2004).
14. International Centre for Diffraction Data. Ficha N° 00-009- 0312. PDF2-2004.
15. A Barbosa, A Vega, E De Río. Hidrodesulfuración de crudos de petróleo: Base para el mejoramiento de combustibles. Una revisión. Av. Cien. Ing., 5(3), 37-60 (2014).
16. S Brunauer, US Deming, W Deming & E Teller. On a theory of the Van der Waals adsorption of gases. J. Am. Chem. Soc., 62, 1723 (1940).
17. G Alonso, RR Chianelli, S Fuentes. Molybdenum sulfide/ carbide catalysts. US Patent Application Publication US 2005, 0059545. (2005).
18. JM Kim, R Ryoo. Synthesis of MCM-48 single crystals. Chemical Communications, (2), 259-260. (1998).
19. Z Huang, W Bensch, L Kienle, S Fuentes, G Alonso, C Ornelas. SBA-15 as support for Ni–MoS2 HDS catalysts derived from sulfur-containing molybdenum and nickel complexes in the reaction of HDS of DBT: An all sulfide route. Catal. Lett., 127(1-2), 132-142 (2009).
20. L Alvarez, J Espino, C Ornelas, J Rico, M Cortez, G Berhault, G Alonso. Comparative study of MoS2 and Co/MoS2 catalysts prepared by ex situ/in situ activation of ammonium and tetraalkylammonium thiomolybdates. J. Mol. Catal. A: Chem. 210. 105-117 (2004).
21. R Huirache-Acuña, R Nava, C Peza-Ledesma, J Lara-Romero, G Alonso-Núez, B Pawelec, E Rivera-Muñoz. SBA-15 Mesoporous Silica as Catalytic Support for Hydrodesulfurization Catalysts—Review. Materials, 6(9), 4139-4167 (2013).