Eliminación de plomo proveniente de fuentes acuosas utilizando nanotubos de carbono
Eliminación de plomo proveniente de fuentes acuosas utilizando nanotubos de carbono
Avances en Química, vol. 11, núm. 2, pp. 87-98, 2016
Universidad de los Andes
Recepción: 11/03/2016
Revisado: 01/07/2016
Aprobación: 31/08/2016
Financiamiento
Fuente: FONACIT
Nº de contrato: PEII- 2011001271
Beneficiario: Yahsé Rojas-Challa
Resumen: Los iones plomo pueden ser removidos del agua usando adsorbentes. Entre los diversos adsorbentes desarrollados, los nanotubos de carbono (NTsC) muestran un impacto único en la eliminación y adsorción rápida de impurezas nocivas en fuentes acuosas. Los NTsC funcionalizados mejoran la eficiencia y el potencial de adsorción de los iones Pb2+ en comparación con otros materiales. En este artículo de revisión, se estudió la eliminación de los iones Pb2+ de soluciones acuosas usando NTsC donde se enfatizan los posibles mecanismos de adsorción de iones Pb2+, los factores que la afectan, la modificación de los NTsC para mejorar su capacidad de adsorción, la cinética de adsorción y los estudios termodinámicos involucrados.
Palabras clave: adsorción, nanotubos de carbono, iones plomo.
Abstract: Lead elimination from aqueous sources using carbon nanotubes. Lead ions can be removed from water using adsorbents. Among the various developed adsorbents, carbon nanotubes (CNTs) show a unique impact on rapid adsorption and removal of harmful impurities in aqueous sources. Functionalized CNTs improve efficiency and Pb2+ adsorption potential, compared to other materials. In this review article, the removal of Pb2+ ions from aqueous solutions using carbon nanotubes was studied. Possible mechanisms of adsorption of Pb2+ ions, factors affecting adsorption, modified CNTs to improve its adsorption capacity, kinetics and thermodynamics of adsorption, are emphasized.
Keywords: Adsorption, Carbon nanotubes, Lead ions.
Introducción
La remoción de metales pesados en fuentes acuosas, como las provenientes de aguas residuales, es de vital importancia en términos de salud pública y de protección del ambiente debido a que los metales se acumulan en los tejidos vivos de toda la cadena alimenticia. Los métodos actuales de análisis de metales disponen de técnicas como la extracción en fase sólida, co-precipitación, extracción líquido-líquido, filtración con membrana, flotación y extracción en el punto de turbidez1,2. Las técnicas de extracción en fase sólida es una de las más empleadas debido a ciertas ventajas como: el enriquecimiento, el alto grado de recuperación, la sencillez y rapidez, el bajo consumo de disolventes orgánicos y la capacidad para combinarse con diferentes técnicas instrumentales como las configuraciones de flujo continuo combinados con detectores atómicos o electroquímicos. En los estudios de extracción en fase sólida, el uso de un adsorbente adecuado es un factor fundamental para obtener una alta eficiencia y enriquecimiento o preconcentración2. En este sentido, se han estudiado varios adsorbentes para la adsorción de los iones metálicos, tales como carbón activado3, cenizas volátiles4, lodo activado5, zeolita6, cáscara de arroz7, alúmina8, gel de sílice9, resinas10, entre otros. En la actualidad, la aplicación de materiales nanoestructurados ha tenido una notable atención para ser empleados como materiales adsorbentes, en particular los nanotubos de carbono (NTsC)11.
Los NTsC son una de las formas alotrópicas del carbono, junto con el grafito, el carbón amorfo, el diamante, el diamante hexagonal, los fullerenos, entre otros12. La estructura de un NTsC en su forma más perfecta, consta de redes hexagonales de átomos de carbono con hibridación sp2 que se enrollan para generar un cilindro hueco13. A su vez, los extremos de esta estructura cilíndrica pueden quedar recubiertos por media molécula de fullereno14, como se muestra en la figura 1. Estos materiales presentan elevada área específica y excelentes propiedades eléctricas, térmicas y mecánicas. Los NTsC pueden contener una o más capas de láminas de grafenos, denominándose como nanotubos de carbono de pared simple (NTsCPS) y de paredes múltiples (NTsCPM), respectivamente15 (figura 2).


La superficie hidrófoba de los NTsC exhibe fuertes propiedades de sorción hacia diversos compuestos, por lo tanto pueden ser utilizados para la separación y pre-concentración de iones metálicos en muestras acuosas11. En la última década se ha incrementado considerablemente el uso de NTsC para la adsorción de diversos iones de metales tóxicos como Pb2+, Zn2+, Ni2+, Ag+, Cu2+, Co2+, Mn2+, Cd2+ y Hg2+16,17. En esta revisión se presenta la potencialidad de los diferentes tipos de NTsC como adsorbente de iones metálicos enfocándonos en la adsorción de los iones plomo (Pb2+) así como en la evaluación de los parámetros que influyen en la adsorción como: tiempo de contacto, pH, concentración inicial, temperatura, entre otros. La modificación superficial de los nanotubos y la evaluación termodinámica y cinética del mecanismo de adsorción también es discutida en este trabajo.
Propiedades de adsorción de los NTsC
La adsorción es un proceso donde las sustancias (adsorbato) pueden retenerse en la superficie de un material sólido (adsorbente) debido a la acción de algunas fuerzas que permiten fisisorberse o quimisorberse18. Las características estructurales de los NTsC les permiten interactuar con moléculas orgánicas a través de puentes de hidrógeno, apilamiento π-π, fuerzas electrostáticas, fuerzas de van der Waals e interacciones hidrófobas. Estas interacciones, así como los huecos y las capas en la estructura nanométrica, los convierte en buenos candidatos para su uso como adsorbente19.
La capacidad de adsorción de estos materiales se debe a la presencia de sitios de adsorción de alta energía llamados sitios activos, a la presencia también de grupos funcionales en su superficie, regiones intersticiales y canales entre los paquetes del material20. Presentan una estructura intermedia entre el grafito y los fullerenos21 lo que implica una similitud entre las propiedades de las superficies de ambos20. En el caso de los NTsCPS, estos pueden adherirse entre sí debido a la fuerte interacción de van der Waals y formar paquetes, que representan los sitios de adsorción22.
Existen cuatro sitios posibles para la adsorción de sustancias en los NTsC: (i) los sitios internos, es decir, el hueco interior de los nanotubos individuales que es accesible, sólo, si los extremos están desbloqueados; (ii) los canales intersticiales entre los nanotubos individuales en el material empaquetado; (iii) las ranuras presentes en la periferia de un paquete de nanotubos y la superficie de los nanotubos más externos, donde se encuentren dos tubos paralelos adyacentes y (iv) la superficie curvada de los nanotubos individuales presentes en la parte externa de los paquetes de nanotubos23.
En los NTsC prístinos ambos extremos están generalmente cerrados, el primer paso de adsorción se produce, por tanto, en las ranuras entre los tubos adyacentes en el perímetro de los paquetes de nanotubos y los canales intersticiales accesibles. El segundo paso puede ser asignado a la adsorción en las paredes externas convexas24. Para paquetes de NTsC abiertos purificados, la adsorción procede, en primer lugar, por las paredes interiores de los nanotubos y forman cadenas unidimensionales en las ranuras de la superficie externa de los paquetes, seguido por el llenado de los sitios axiales restantes dentro de los nanotubos y finaliza con una monocapa cuasihexagonal en las superficies externas de los paquetes25. En varios estudios la adsorción alcanza el equilibrio mucho más rápido en los sitios externos (surcos y superficie) que en los internos (canales intersticiales e interior del tubo) bajo las mismas condiciones de presión y temperatura26.
Cuando los NTsC se encuentran sumergidos en soluciones acuosas que contienen especies iónicas metálicas, estas pueden adsorberse, bajo ciertas condiciones, de forma selectiva y específica. Por tanto, es necesario conocer la morfología y superficie activa de los NTsC como los iones presentes en solución para establecer las interacciones posibles que pudieran ocurrir entre ellos y poder así establecer un mecanismos adecuado de adsorción.
Toxicidad de los iones Pb2+
Los iones Pb2+ son ubicuos en el ambiente y son peligrosos en altos niveles de concentración en diferentes matrices. Es, en general, un veneno metabólico e inhibidor de enzimas que puede acumularse en los huesos, el cerebro, el riñón y los músculos27,28. El plomo inorgánico inhalado puede ser absorbido en los pulmones hasta un 50 %. Los adultos toman de 10 a 15 % del plomo de los alimentos, mientras que los niños pueden absorber hasta el 50 % a través del tracto gastrointestinal29. La tabla 1 muestra los niveles de plomo permisibles de acuerdo a diferentes normas y regulaciones internacionales.

Adsorción de los iones Pb2+empleando NTsC
Para que ocurra adsorción de los iones Pb2+ sobre los NTsC se deben evaluar parámetros como el punto isoeléctrico, la fuerza iónica, el pH de la solución, la masa de los NTsC, el tiempo de contacto, la concentración inicial de los iones metálicos y la temperatura. La adsorción también está fuertemente influenciada por la presencia de otros iones metálicos que ocupan los sitios limitados de la superficie, disminuyendo la eficiencia de la remoción, por lo tanto, evaluar la presencia de iones interferentes (foráneos) es de suma importancia. En esta revisión nos enfocaremos a describir los siguientes factores:
Efecto del pH:
El pH es uno de los parámetros más importantes que afectan el proceso de adsorción de iones en superficies sólidas ya que un cambio del pH en la solución influye en las propiedades fisicoquímicas de la mayoría de los adsorbentes conocidos y en la hidrólisis y complejación de los iones metálicos39. La literatura muestra que la remoción de iones Pb2+ se incrementa cuando el pH varía entre 2 y 6, debido a los grupos funcionales hidroxilo, carbonilo y carboxilo en la superficie de los NTsC28. A pH < 6, existe una competencia entre los iones Pb2+ y los iones H3O+ por los sitios activos, en tal sentido mientras más ácido sea el medio, existe menos posibilidad de que ocurra la adsorción y/o remoción del ion metálico4. Sin embargo, a medida que el pH aumenta esta competencia disminuye debido a que los sitios activos se cargan negativa-mente, lo que mejora la adsorción de los iones Pb2+ mediante fuerzas de atracción electrostática40. A pH > 6 la adsorción disminuye por la precipitación de Pb(OH)241. Este comporta-miento está estrechamente relacionado con el punto de carga cero o PZC (Point Zero Charges, por sus siglas en inglés) de los NTsCPM. Pérez- Aguilar et al.42 encontraron que PZC de los NTsCPM prístinos era 6,6 mientras que en los NTsCPM-COOH era 3,1. Cuando el pHsol. < PZC se espera que la superficie de los NTsCPM tengan carga positiva, y la sorción de los iones Pb2+ en tal superficie es extremadamente difícil debido a las fuerzas de repulsión electrostáticas. Por el contrario, cuando el pHsol. > PZC, existe una carga negativa neta en la superficie, lo que promueve la adsorción de los iones Pb2+ debido a las fuerzas electrostáticas de atracción entre los iones Pb2+ y la superficie41.
Efecto de la fuerza iónica:
En la literatura se ha encontrado que esta propiedad, generalmente, afecta de manera negativa la sorción de iones metálicos sobre los NTsC17. En este sentido, Ren et al.43 reportaron que la sorción de los iones Pb2+ disminuye al aumentar la fuerza iónica a concentraciones bajas de NaClO4 (< 0,006 mol L-1). Este fenómeno podría deberse a la competencia entre los cationes de los electrolitos y el metal por los sitios activos (efecto interferente) de los NTsC40,44. El aumento de la fuerza iónica de los electrolitos hace que PZC de los NTsC sea menos negativo, es decir, el potencial en el plano de adsorción es cada vez más positivo, por lo tanto, disminuye la adsorción del ion metálico40.
Efecto del tiempo de contacto:
El porcentaje de adsorción de los iones Pb2+ aumenta con el tiempo de forma rápida y luego se ralentiza hasta llegar a un plató indicando que se ha alcanzado el equilibrio, donde el gran número de sitios activos presentes al inicio en los NTsC han sido ocupados hasta llegar a la saturación del mismo45,46.
Efecto de la concentración inicial del metal:
En los NTsC el porcentaje de adsorción de los iones Pb2+ disminuye con el aumento de su concentración en la solución acuosa debido a la saturación de los sitios de adsorción en los NTsC46,47,48. A bajas concentraciones, la relación de moles iniciales de iones Pb2+ con respecto a los sitios de adsorción disponibles es baja, por lo que la adsorción es eficiente. Sin embargo, con el aumento de la concentración, la relación de sitios de adsorción disponibles a los moles de iones Pb2+ presentes en la solución disminuye, haciendo menos eficiente la remoción49.
Efecto de la cantidad de NTsC:
Se ha reportado que un incremento en la cantidad de los NTsC aumenta el porcentaje de adsorción de los iones metálicos47. Esto se debe al gran número de sitios de adsorción vacantes y al área específica de los NTsC. A medida que son ocupados los sitios activos por los iones Pb2+ el proceso de adsorción disminuye46.
Efecto de iones foráneos:
La adsorción competitiva es importante en el tratamiento de agua potable o residual debido a la presencia de una variedad de iones metálicos y cationes orgánicos para ser adsorbidos en solución. En este sentido, Li et al.50 estudiaron la sorción individual y competitiva de los iones Pb2+, Cu2+ y Cd2+ en NTsC oxidados con HNO3. Las capacidades de sorción para los tres iones metálicos evaluados de manera individual fue Pb2+> Cu2+> Cd2+ y la sorción competitiva de iones metálicos también siguió el mismo orden, por lo que en esta experiencia no existió competencia entre ellos a las concentraciones estudiadas.
Capacidad de adsorción máxima de los iones Pb2+ empleando NTsC
Se define la capacidad máxima de retención y/o adsorción a la cantidad máxima de analito que puede retener una cantidad específica de adsorbente, (mg analito/g adsorbente). Los NTsC prístinos, oxidados y funcionalizados se han empleado para separar y/o preconcentrar los iones Pb2+ en diferentes matrices acuosas, tomando en cuenta los parámetros químicos mencionandos anteriormente y si involucran uso de columnas, deben tomarse en cuenta los parámetros de flujo, los cuales influyen considerablemente en la capacidad de adsorción máxima del metal, como podemos ver en la tabla 2.

Mecanismos de adsorción de los iones Pb2+en los NTsC
Los mecanismos de adsorción de los iones Pb2+en NTsC son muy complicados y se atribuyen a las fuerzas de atracción electrostática, fisisorción y quimisorción ya sea por intercambio iónico o por formación de complejos entre los iones de metales pesados y los grupos funcionales presentes en la superficie de los NTsC20. Por ejemplo, la adsorción de los iones Pb2+ en NTsCPM prístinos, NTsCPM-COOH, NTsCPM-OH y NTsCPM-CORNH2 puede ser descrita por las ecuaciones 1,2,3,4,5,6,7,8,923,52,58,59. En este caso las reacciones 1-7 ocurren por intercambio iónico, la reacción 8 por formación de puentes de hidrógeno y la reacción 9 por interacciones electrostáticas.

Los resultados de adsorción de los iones Pb2+ en NTsCPM acidificados han mostrado que la interacción química entre los iones Pb2+ y el oxígeno de los grupos funcionales en la superficie juegan un papel importante en la adsorción de este catión para formar complejos60. Esta interacción química representó el 75,3 % de la capacidad total de la adsorción del catión, mientras que la contribución de la adsorción física, que depende de las características superficiales, los extremos abiertos y los defectos, sólo representó el 24,7 % de toda la capacidad de adsorción. Además, la atracción electrostática es otro mecanismo de adsorción probable, pero no el principal para los NTsC58.
Activación de los NTsC para mejorar su capacidad de adsorción
Normalmente, los iones metálicos presentes en forma hidratada o de complejos asociados con aniones simples son pobremente adsorbidos en NTsC prístinos61. La retención de especies iónicas metálicas en la superficie de los NTsC requiere la formación de complejos, ya sea con un ligando en solución o modificando su superficie. La elección de un agente quelante para la modificación superficial (aumento de su capacidad de adsorción) se fundamenta en su rápida reacción con metales, solubilidad en agua y estabilidad en un amplio rango de pH62. Entre los métodos de funcionalización o de modificación de NTsC se encuentran:
Oxidación de NTsC:
La activación de los NTsC en condicio-nes oxidantes se realiza generalmente con: HNO3, KMnO4, H2O2, NaClO, H2SO4, KOH y NaOH63. Después de este proceso, las impurezas metálicas y el carbono amorfo se retiran y las características de la superficie son alteradas debido a la introducción de nuevos grupos funcionales, generalmente, alcoholes, cetonas y ácidos carboxílicos64. Se encontró que los NTsC con defectos superficiales pueden aceptar grupos funcionales de forma más eficaz que si no los tuviera65. Evaluando los PZC de estos NTsC, se puede observar que su superficie se vuelve más negativa para el caso en que los grupos funcionales sean carboxílicos o hidroxíli-cos, lo que mejora la capacidad de retención de cationes en solución.
Amidación y esterificación de NTsC-oxidados:
Los grupos carboxilos introducidos por oxidación representan sitios útiles para otras modificaciones, ya que permiten el acoplamiento covalente de moléculas a través de la creación de enlaces amida y éster14. Los NTsC modificados con algunos com-puestos orgánicos pueden ser más selectivos para la adsorción de iones metálicos que los NTsC no tratados y oxidados. Algunos ejemplos de la creación de enlaces amida son: etilendiamina (EDA)66, tris(2-aminoetil)amina (TAA)67y 2-aminobenzotiazol (ABTZ)54. Otra modificación química de los NTsCPM basada en la creación de enlaces amida es injertar aminoácidos como: L-cisteína68, L-tirosina69 y L-alanina70. En el caso de la esterificación la reacción es susceptible a nucleófilos como los grupos alcoholes: octadecil alcohol71, trietanolamina (TEA)72, poli(acetato de vinilo-coalcohol vinílico)73 y alcoholes de bencilo de tipo dendrón hidrófilos y lipófilos74.
La síntesis de nuevos adsorbentes, generalmente se realiza en dos etapas, como se muestra en la figura 3. En el primer paso, por ejemplo, los NTsCPM-COCl se obtienen a través de la reacción de los NTsCPM-COOH con cloruro de tionilo (SOCl2) y, posteriormente en un segundo paso, el producto final se sintetiza mediante la reacción con la amina o el éster. Los nanotubos de carboxamida también se han preparado utilizando diciclohexilcarbodiimida (DCC) como agente deshidratante y permitiendo que el acoplamiento directo de aminas y funciones carboxílicos, bajo condiciones neutras leve75.

Activación por plasma:
La etapa de funcionalización de los NTsC a través de la introducción oxidativa de los grupos carboxilos (NTsC → NTsC-COOH), seguido por la forma-ción de enlaces amida (NTsC-COOH → NTsC-NH-) permite numerosas modificaciones químicas estables. Sin embargo, serias desventajas se presentan con el método de oxidación ácida tales como: fragmentación de los NTsC y la generación de defectos en la red grafítica que destruyen la inherente-mente gran área específica. Una posible solución a esto es la técnica de funcionalización inducida por plasma que es un método eficaz de injertar grupos funcionales sobre las superficies de adsorbentes sin necesidad de utilizar grandes cantidades de productos químicos y alterar su propiedad per se. En la técnica de plasma con N2, las especies de nitrógeno activas (N*) reaccionan con los NTsC para formar especies activas - C* o -C-N* en su superficie. De esta manera, los grupos funcionales hidroxilos y carboxilos pueden ser injertados en la red de los NTsC. Aunque la técnica de plasma con N2 tiene grandes ventajas, la inserción de grupos funcionales en los NTsC utilizando esta técnica y su uso en la preconcentración de metales todavía está limitada62.
Adición de radicales:
Los NTsC se pueden funcionalizar con éxito mediante la adición de radicales con sales de aril-diazonio76. La formación de radicales arilo es provocada por la transferencia de electrones entre los NTsC y las sales de aril-diazonio, en una reacción autocatalizada. Se ha encontrado que las sales de diazonio solubles en agua reaccionan selectivamente con NTsC metálicos77. Cui et al.78 funcionalizaron NTsCPM con grupos de ácido fenil-iminodiacético (PIDA). Este material se preparó a través de un proceso de dos pasos. En la primera etapa, los NTsCPM funcionalizados con fenil amino se sintetizaron a través de la reacción con bencenodiamina en presencia de nitrito de sodio y ácido clorhídrico. Después de la adición del radical, se obtuvo NTsCPM-PIDA debido a la reacción con cloroacetato de sodio en presencia de alcoholato de sodio. El nuevo adsorbente se utilizó para la determinación de los iones Fe3+, Cu2+ y Pb2+ en muestras de agua de río y de grifo donde determinaron (bajo condiciones experimentales optimizadas), las capacidades máximas de adsorción (qm) para los iones, los cuales fueron: 64,5; 30,5 y 17,0 mg g-1, respectivamente con un factor de enriquecimiento de 100.
Compuestos metálicos con NTsC:
Los NTsC combinan sus propiedades con las de sus componentes huéspedes, por ejemplo los óxidos de metales o un polímero. Los compuestos de NTsC/óxido metálico tienen una característica muy atractiva para la preconcentración, debido a su alta capacidad de adsorción, gran área específica y baja presión en la columna de extracción en fase sólida79. Dichos materiales fusionados ya han sido investigados como nuevos adsorbentes para diversos iones metálicos. Peng et al.80 y Din et al.81 utilizaron CeO2/NTsC para preconcentrar los iones As5+ y Cr4+, respectivamente. Yang et al.82 preconcentraron los iones Pb2+ y Cd2+ en MnO2/NTsC. Amais et al.79 emplearon nano-compuestos de alumina soportados en NTsCPM, como sorbentes para la preconcentración de iones Ni2+ en un sistema de inyección en flujo. En todos estos casos, los óxidos metálicos recubren la superficie de los NTsC a través de la precipitación del compuesto del metal en la suspensión de los NTsC. Después de esto, los óxidos metálicos forman estructuras heterogéneas en la superficie de los NTsC. Tales adsorbentes pueden ser muy estable durante un máximo de 100 ciclos, o incluso 200 ciclos cuando se están empleando mini columnas analíticas para preconcentrar79,83.
Los materiales compuestos de NTsC magnéticos parecen ser de particular interés. El adsorbente magnético se añade a la solución y la suspensión obtenida se agita. El adsorbente con iones metálicos adsorbidos se recupera de la suspensión utilizando un campo magnético externo84. Entre los materiales magnéticos se encuentran: los óxidos de hierro como por ejemplo, magnetita (Fe3O4) y maghemita (γ-Fe2O3). Las partículas de óxido de hierro pueden formarse fuera o dentro de los NTsC, en función del método de preparación62. Los materiales compuestos de NTsC magnéticos se han aplicado con éxito en la preconcentración de los iones Cu2+ y Pb2+85, Ni2+ y Sr2+86. Los materiales compuestos de NTsC magnéticos pueden ser químicamente funcionalizados para mejorar la adsorción y selectividad62.
Cinética de adsorción de los iones Pb2+en los NTsC
La dependencia del tiempo de adsorción sobre una superficie sólida se denomina cinética de adsorción. En la práctica, los estudios se realizan por lotes, en reactores, donde se puede evaluar la cinética de la reacción en función de las concentraciones iniciales de los iones Pb2+, variando la cantidad de NTsC, velocidades de agitación, pH de la solución y temperatura87. Generalmente, la adsorción de iones metálicos aumenta con el tiempo hasta que se consigue el equilibrio entre la cantidad de adsorbato adsorbido sobre el adsorbente y la cantidad de adsorbato que permanecen en solución88.
En la literatura se han descrito diferentes modelos cinéticos para ajustar la data experimental del proceso de adsorción, que incluyen el modelo de velocidad de pseudo-primer y pseudo-segundo orden, el modelo cinético de adsorción de Weber-Morris89, la relación Adam-Bohart-Thomas90, el modelo de reacción reversible de primer orden91, el modelo de transferencia de masa externa92, la ecuación de primer orden de Bhattacharya-Venkobachar93, el modelo de Elovich94 y la ecuación de Ritchie95. Los modelos cinéticos de pseudo-primer96 y pseudo-segundo orden97 son los modelos que mejor se ajustan a los datos experimentales en sistemas iónicos metálicos, de manera que, permiten estudiar la cinética de adsorción y la cuantificación del grado de captación de los metales98 por parte del adsorbente. Los modelos cinéticos utilizados con frecuencia se enumeran en la tabla 3.

Termodinámica de la adsorción de los iones Pb2+en losNTsC
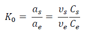
En el estudio de la termodinámica de adsorción, la determinación del valor de las magnitudes termodinámicas tales como la energía de activación, parámetros de activación, cambio de energía libre de Gibb, entalpía, entropía y el calor de adsorción son obligatorios. Estos parámetros son básicos para la caracterización y optimización de un proceso de adsorción99. Los mismos se pueden calcular a partir de la variación de la constante de equilibrio termodinámico, K0, con la temperatura100. Para las reacciones de adsorción, K0 se define como:

donde αs es la actividad de los iones Pb2+ adsorbido, αe la actividad de los iones Pb2+ en el equilibrio, Cs la cantidad de los iones Pb2+ adsorbido por masa de NTsC (mg g-1) y Ce es la concentración de los iones Pb2+ en el equilibrio (mg L-1),
es el coeficiente de actividad de los iones Pb2+ adsorbido y
es el coeficiente de actividad de los iones Pb2+ en solución. A medida que la concentración de los iones Pb2+ en la solución disminuye y se acerca a cero, K0 puede obtenerse trazando el ln (Cs/Ce) versus Cs y extrapolando Cs a cero. La línea recta obtenida se ajusta a los puntos sobre la base de un análisis de mínimos cuadrados. La intersección con el eje vertical da los valores de K053,100.
La variación de la energía libre estándar de adsorción (ΔG0) se puede calcular en función de:

Donde R es la constante universal de los gases y T es la temperatura en grados Kelvin.
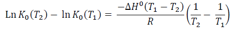
La variación de entalpía estándar promedio (ΔH0) se obtiene de la ecuación de Van't Hoff:

donde T2 y T1 son dos temperaturas diferentes. La variación de entropía estándar (ΔS°) se puede obtener por:

La tabla 4 presenta los parámetros termodinámicos de la adsorción de los iones Pb2+en NTsC prístinos y modificados. En este sentido, Kara et al.101 sugirieron que un ΔH° de adsorción < 40 kJ mol-1 sugiere la presencia de adsorción física. Aunque no hay criterios determinados que estén relacionados con los valores de ΔH° que definan los tipos de adsorción, cuando estos se encuentran entre 20,9 y 418,4 kJ mol-1, se asumen que son comparables a los asociados con el proceso de quimisorción. Vukovic et al.52 determinaron que en NTsCPM oxidados y funcionalizados con EDA y DETA, el valor de ΔH° es positivo lo que indica que la adsorción de los iones Pb2+ es endotérmica, esto también se evidenció con el aumento de la capacidad de adsorción de los iones con la temperatura. Este incremento en la capacidad de adsorción del adsorbente, se puede atribuir a la ampliación de los poros y/o la activación de la superficie del adsorbente.

Estudios de desorción de los iones Pb2+en los NTsC
Un adsorbente no sólo debe ser capaz de adsorber los contaminantes presentes en las aguas residuales, sino que también debe exhibir reversibilidad para que pueda utilizarse varias veces y ahorrar costos, especialmente, cuando los altos costos limitan su uso50. Para la regeneración eficaz de adsorbentes y recuperación de metales se utilizan ácidos (HCl, H2SO4, HNO3, HCOOH y CH3COOH), bases (NaOH, NaHCO3, Na2CO3, KOH y K2CO3), sales (NaCl, KCl, (NH4)2SO4, CaCl2·H2O, NH4NO3, KNO3 y C6H5Na3O7·2H2O), agua desionizada, agentes y soluciones tampón (bicarbonato, fosfato y tris quelantes)102. La desorción de iones metálicos de la superficie de los nanotubos de carbono depende del pH de la solución de regeneración17. Li et al.16 reportaron que la desorción de Pb2+ aumentó con la disminución del pH de la solución de regeneración y alcanzaron un 100 % de desorción de Pb2+ desde NTsC purificados usando soluciones de HCl o HNO3 a un pH de 2,0. Vuković et al.52 alcanzaron porcentajes de desorción de 96,7 %; 97,4 % y 98,5 % para Pb2+ desde NTsCPM funcionalizados con etilendiamina, trietanolamina y prístinos, respectivamente, a pH 1,5. Además, sus estudios revelaron que los NTsCPM regenerados se pueden reutilizar más de cinco veces con una pérdida mínima de la capacidad de adsorción. Los experimentos de desorción se llevaron a cabo durante 3 horas para garantizar el completo equilibrio de desorción. Los NTsCPM mostraron un bajo porcentaje de desorción a pH 5, debido a la fuerte unión de los iones Pb2+ en la superficie103. Los resultados anteriores demuestran que los NTsC son adsorbentes regenerables para la eliminación de iones metálicos divalentes en el tratamiento de aguas residuales.
El Pb2+ desorbido se puede reutilizar, debido a que es un elemento natural la calidad del mismo es idéntica a la del metal primario obtenido en minas. Actualmente, alrededor del 80 % del plomo es usado en baterías ácidas, un 6 % es usado en forma de láminas por la industria de la construcción, otro porcentaje se emplea en blindajes para radiación, revestimiento de cables y varias aplicaciones especializadas, tales como amortiguadores de terremotos, esto significa que alrededor del 90 % de todo el plomo es usado en productos fácilmente reciclables, y casi todo ese material es reciclado104.
Conclusiones
En esta revisión mostramos las aplicaciones más recientes de los NTsC en la sorción de los iones Pb2+ de matrices acuosas. Se pudo evidenciar que los NTsC al ser embebidos con soluciones ácidas para ser oxidados o al ser funcionalizados con agentes quelantes, mejoran la capacidad de sorción de los iones metálicos. Esto es debido a la creación de grupos superficiales en los NTsC que provocan un aumento de la carga negativa o la formación de complejos superficiales. Por tanto es obvio, que los factores dominantes en el incremento de la capacidad de adsorción en este tipo de materiales sean el pH de la solución y el valor del PZC. Igualmente, se mostró que el mecanismo de adsorción que predomina es la interacción química espontánea y endotérmica. Además, los NTsC son adsorbentes regenerables y podrían utilizarse en hasta cinco ciclos de adsorción/desorción sin perder eficiencia. Todo esto indica, que los NTsC son prometedores materiales para ser usados en la preconcentración y/o separación de iones de metales pesados en soluciones acuosas.
Agradecimientos
Yahsé Rojas-Challa quiere agradecer el apoyo financiero por parte del FONACIT (Venezuela) por la concesión del proyecto PEII- 2011001271 “Síntesis de nanotubos de carbono (NTsC) para la purificación de aguas residuales”, que enmarca este Artículo de Revisión.
Referencias
1. O Moradi. The Removal of Ions by Functionalized Carbon Nanotube: Equilibrium, Isotherms and Thermodynamic Studies. Chem. Biochem. Eng. Q., 25(2), 229–240 (2011).
2. A Duran, M Tuzen, M Soylak. Preconcentration of some trace elements via using multiwalled carbon nanotubes as solid phase extraction adsorbent. J. Hazard. Mater., 169(1–3), 466- 471 (2009).
3. M Ghaedi, A Shokrollahi, A Kianfar, A Pourfarokhi, N Khanjari, A Mirsadeghi, M Soylak. Preconcentration and separation of trace amount of heavy metal ions on bis(2- hydroxy acetophenone)ethylendiimine loaded on activated carbon. J. Hazard. Mater., 162(2–3), 1408-1414 (2009).
4. C-H Weng, C Huang. Adsorption characteristics of Zn(II) from dilute aqueous solution by fly ash. Colloids Surf., A, 247(1–3), 137-143 (2004).
5. Y Nie, Z Qiang, H Zhang, C Adams. Determination of endocrine-disrupting chemicals in the liquid and solid phases of activated sludge by solid phase extraction and gas chromatography–mass spectrometry. J. Chromatogr. A, 1216(42), 7071-7080 (2009).
6. Y Al-Degs, A El-Sheikh, M Al-Ghouti, B Hemmateenejad, G Walker. Solid-phase extraction and simultaneous determina tion of trace amounts of sulphonated and azo sulphonated dyes using microemulsion-modified-zeolite and multivariate calibration. Talanta, 75(4), 904-915 (2008).
7. C Teixeira-Tarley, S Costa-Ferreira, M Zezzi-Arruda. Use of modified rice husks as a natural solid adsorbent of trace metals: characterisation and development of an on-line preconcentration system for cadmium and lead determination by FAAS. Microchem. J., 77(2), 163-175 (2004).
8. M Ghaedi, H Tavallali, A Shokrollahi, M Zahedi, M Montazerozohori, M Soylak. Flame atomic absorption spectrometric determination of zinc, nickel, iron and lead in different matrixes after solid phase extraction on sodium dodecyl sulfate (SDS)-coated alumina as their bis (2- hydroxyacetophenone)-1, 3-propanediimine chelates. J. Hazard. Mater., 166(2–3), 1441-1448 (2009).
9. X Chai, X Chang, Z Hu, Q He, Z Tu, Z Li. Solid phase extraction of trace Hg(II) on silica gel modified with 2-(2- oxoethyl)hydrazine carbothioamide and determination by ICPAES. Talanta, 82(5), 1791-1796 (2010).
10. M Ghaedi, B Karami, S Ehsani, F Marahel, M Soylak. Preconcentration–separation of Co2+, Ni2+, Cu2+ and Cd2+ in real samples by solid phase extraction of a calix[4] resorcinarene modified Amberlite XAD-16 resin. J. Hazard. Mater., 172(2–3), 802-808 (2009).
11. H Tavallali, D Abdardideh, M Aalaei, S Zahmatkesh. New Application of Chemically Modified Multiwalled Carbon Nanotubes with Thiosemicarbazide as a Sorbent for Separation and Preconcentration of Trace Amounts of Co(II), Cd(II), Cu(II), and Zn(II) in Environmental and Biological Samples Prior to Determination by Flame Atomic Absorption Spectrometry. J. Chin. Chem. Soc., 59(1), 114-121 (2012).
12. E Falcao, F Wudl. Carbon allotropes: beyond graphite and diamond. J. Chem. Technol. Biotechnol., 82(6), 524-531 (2007).
13. S Banerjee, T Hemraj-Benny, S Wong. Covalent surface chemistry of single-walled carbon nanotubes. Adv. Mater., 17(1), 17-29 (2005).
14. K Balasubramanian, M Burghard. Chemically Functionalized Carbon Nanotubes. Small, 1(2), 180-192 (2005).
15. N Arora, N Sharma. Arc discharge synthesis of carbon nanotubes: Comprehensive review. Diamond Relat. Mater., 50(1), 135-150 (2014).
16. Y-H Li, Z Di, J Ding, D Wu, Z Luan, Y Zhu. Adsorption thermodynamic, kinetic and desorption studies of Pb2+ on carbon nanotubes. Water Res., 39(4), 605-609 (2005).
17. G Rao, C Lu, F Su. Sorption of divalent metal ions from aqueous solution by carbon nanotubes: A review. Sep. Purif. Technol., 58(1), 224-231 (2007).
18. R Das, S Abd Hamid, M Ali, A Ismail, M Annuar, S Ramakrishna. Multifunctional carbon nanotubes in water treatment: The present, past and future. Desalination, 354(1), 160-179 (2014).
19. K Pyrzynska. Carbon Nanotubes as a New Solid-Phase Extraction Material for Removal and Enrichment of Organic Pollutants in Water. Sep. Purif. Rev., 37(4), 372-389 (2008).
20. S Bulyarskii, A Basaev. Thermodynamics and kinetics of adsorption of atoms and molecules by carbon nanotubes. J. Exp. Theor. Phys., 108(4), 688-698 (2009).
21. F Tomilin, P Avramov, A Kuzubov, S Ovchinnikov, G Pashkov. Correlation of the chemical properties of carbon nanotubes with their atomic and electronic structures. Phys. Solid State, 46(6), 1179-1182 (2004).
22. P Kondratyuk, Y Wang, J Johnson, J Yates. Observation of a One-Dimensional Adsorption Site on Carbon Nanotubes: Adsorption of Alkanes of Different Molecular Lengths. J. Phys. Chem., 109(44), 20999-21005 (2005).
23. X Ren, C Chen, M Nagatsu, X Wang. Carbon nanotubes as adsorbents in environmental pollution management: A review. Chem. Eng. J., 170(2–3), 395-410 (2011).
24. M Babaa, N Dupont-Pavlovsky, E McRae, K Masenelli- Varlot. Physical adsorption of carbon tetrachloride on asproduced and on mechanically opened single walled carbon nanotubes. Carbon, 42(8–9), 1549-1554 (2004).
25. S Rols, M Johnson, P Zeppenfeld, M Bienfait, O Vilches, J Schneble. Argon adsorption in open-ended single-wall carbon nanotubes. Phys. Rev. B, 71(15), 155411 (2005).
26. J Burde, M Calbi. Physisorption Kinetics in Carbon Nanotube Bundles. J. Phys. Chem. C., 111(13), 5057-5063 (2007),
27. A Denizli, E Büyüktuncel, A Tuncel, S Bektas, Ö Genç. Batch Removal of Lead Ions from Aquatic Solutions by Polyethyleneglycol-Methacrylate Gel Beads Carrying Cibacron Blue F3GA. Environ. Technol., 21(6), 609-614 (2000).
28. Y-H Li, S Wang, J Wei, X Zhang, C Xu, Z Luan, D Wu, B Wei. Lead adsorption on carbon nanotubes. Chem. Phys. Lett., 357(3–4), 263-266 (2002).
29. IPCS. Inorganic lead. In Environmental Health Criteria 165. Geneva: International Programme on Chemical Safety. World Health Organization (1995). 30. CDC: Centers for Disease Control Prevention. Update: blood lead levels--United States, 1991-1994. Morbidity and mortality weekly report 46, number 0149-2195, Atlanta (1997).
31. OSHA: Occupational Safety and Health Standards. Toxic and Hazardous Substances. Medical surveillance guidelines. Federal Register 1910.1025 App C, Washington D.C. (1995).
32. ACGIH: American Conference of Governmental Industrial Hygienists. Proc. Threshold Limit Values (TLV) for Chemical Substances and Biological Exposure Indices (BEIs), Cincinnati, OH., 1-224 (2005)
33. CDC: Centers for Disease Control and Prevention. National Institute for Occupational Safety and Health (NIOSH). Education and Infomation Division. Occupational Noise Exposure. Cincinnati, Ohio (1998).
34. EPA: Environmental Protection Agency. National Ambient Air Quality Standards for Lead. EPA-HQ-OAR-2006-0735. Code of Federal Regulations. Title 40: Parts 50, 51, 53, and 58, Washington D.C. (2008).
35. EPA: Environmental Protection Agency. Lead-based paint poisoning prevention in certain residential. Code of Federal Regulations, Title 40: Part 1303, Washington D.C. (2001).
36. EPA: Environmental Protection Agency. Lead and Copper Rule: A Quick Reference Guide for Schools and Child Care Facilities that Are Regulated Under the Safe Drinking Water. EPA 816-F-05-030, Washington D.C. (2005).
37. FDA: Food and Drug Administration. Substances prohibited from use in human food. Substances prohibited from indirect addition to human food through food-contact surfaces. Code of Federal Regulations. Title 21: Part 189.240, Maryland (1995).
38. CPSC: Consumer Product Safety Commission. Ban of Lead- Containing Paint and Certain Consumer Products Bearing Lead-Containing Paint. Code of Federal Regulations, Title 16: Part 1303, Maryland (2008).
39. C-H Wu. Studies of the equilibrium and thermodynamics of the adsorption of Cu2+ onto as-produced and modified carbon nanotubes. J. Colloid Interface Sci., 311(2), 338-346 (2007).
40. E Unuabonah, K Adebowale, B Olu-Owolabi, L Yang, L Kong. Adsorption of Pb (II) and Cd (II) from aqueous solutions onto sodium tetraborate-modified Kaolinite clay: Equilibrium and thermodynamic studies. Hydrometallurgy, 93(1–2), 1-9 (2008).
41. D Xu, X Tan, C Chen, X Wang. Removal of Pb(II) from aqueous solution by oxidized multiwalled carbon nanotubes. J. Hazard. Mater., 154(1–3), 407-416 (2008).
42. N Pérez-Aguilar, E Muñoz-Sandoval, P Diaz-Flores, J Rangel- Mendez. Adsorption of cadmium and lead onto oxidized nitrogen-doped multiwall carbon nanotubes in aqueous solution: equilibrium and kinetics. J Nanopart Res, 12(2), 467-480 (2010).
43. X Ren, D Shao, G Zhao, G Sheng, J Hu, S Yang, X Wang. Plasma Induced Multiwalled Carbon Nanotube Grafted with 2- Vinylpyridine for Preconcentration of Pb(II) from Aqueous Solutions. Plasma Process. Polym., 8(7), 589-598 (2011).
44. M-q Jiang, X-y Jin, X-Q Lu, Z-l Chen. Adsorption of Pb(II), Cd(II), Ni(II) and Cu(II) onto natural kaolinite clay. Desalination, 252(1–3), 33-39 (2010).
45. B Heibati, S Rodriguez-Couto, A Amrane, M Rafatullah, A Hawari, M Al-Ghouti. Uptake of Reactive Black 5 by pumice and walnut activated carbon: Chemistry and adsorption mechanisms. J. Ind. Eng. Chem., 20(5), 2939-2947 (2014).
46. M Dehghani, M Taher, A Bajpai, B Heibati, I Tyagi, M Asif, S Agarwal, V Gupta. Removal of noxious Cr (VI) ions using single-walled carbon nanotubes and multi-walled carbon nanotubes. Chem. Eng. J. , 279(1), 344–352 (2015).
47. C Chen, X Wang. Adsorption of Ni(II) from Aqueous Solution Using Oxidized Multiwall Carbon Nanotubes. Ind. Eng. Chem. Res., 45(26), 9144-9149 (2006).
48. M Saif, N Kumar, M Prasad. Binding of cadmium to Strychnos potatorum seed proteins in aqueous solution: Adsorption kinetics and relevance to water purification. Colloids Surf., B, 94(1), 73-79 (2012).
49. H Boparai, M Joseph, D O’Carroll. Cadmium (Cd2+) removal by nano zerovalent iron: surface analysis, effects of solution chemistry and surface complexation modeling. Environ. Sci. Pollut. Res., 20(9), 6210-6221 (2013).
50. Y-H Li, J Ding, Z Luan, Z Di, Y Zhu, C Xu, D Wu, B Wei. Competitive adsorption of Pb2+, Cu2+ and Cd2+ ions from aqueous solutions by multiwalled carbon nanotubes. Carbon, 41(14), 2787-2792 (2003).
51. N Kabbashi, M Atieh, A Al-Mamun, M Mirghami, M Alam, N Yahya. Kinetic adsorption of application of carbon nanotubes for Pb(II) removal from aqueous solution. J. Environ. Sci., 21(4), 539-544 (2009).
52. G Vuković, A Marinković, S Škapin, M Ristić, R Aleksić, A Perić-Grujić, P Uskoković. Removal of lead from water by amino modified multi-walled carbon nanotubes. Chem. Eng. J., 173(3), 855-865 (2011).
53. S-G Wang, W-X Gong, X-W Liu, Y-W Yao, B-Y Gao, Q-Y Yue. Removal of lead(II) from aqueous solution by adsorption onto manganese oxide-coated carbon nanotubes. Sep. Purif. Technol., 58(1), 17-23 (2007).
54. R Li, X Chang, Z Li, Z Zang, Z Hu, D Li, Z Tu. Multiwalled carbon nanotubes modified with 2-aminobenzothiazole modified for uniquely selective solid-phase extraction and determination of Pb(II) ion in water samples. Microchim. Acta, 172(3-4), 269-276 (2011).
55. E Sahmetlioglu, E Yilmaz, E Aktas, M Soylak. Polypyrrole/multi-walled carbon nanotube composite for the solid phase extraction of lead(II) in water samples. Talanta, 119(1), 447-451 (2014).
56. H Tavallali, H Malekzadeh, M Karimi, M Payehghadr, G Deilamy-Rad, M Tabandeh. Chemically modified multiwalled carbon nanotubes as efficient and selective sorbent for separation and preconcentration of trace amount of Co(II), Cd(II), Pb(II), and Pd(II). Arabian J. Chem., 7(1), 1-9 (2014).
57. Y Wang, L Shi, L Gao, Q Wei, L Cui, L Hu, L Yan, B Du. The removal of lead ions from aqueous solution by using magnetic hydroxypropyl chitosan/oxidized multiwalled carbon nanotubes composites. J. Colloid Interface Sci., 451(1), 7-14 (2015).
58. H Wang, A Zhou, F Peng, H Yu, J Yang. Mechanism study on adsorption of acidified multiwalled carbon nanotubes to Pb(II). J. Colloid Interface Sci., 316(2), 277-283 (2007).
59. R Kumar, M Khan, N Haq. Application of Carbon Nanotubes in Heavy Metals Remediation. Crit. Rev. Env. Sci. Technol., 44(9), 1000-1035 (2013).
60. H J Wang, A L Zhou, F Peng, H Yu, L F Chen. Adsorption characteristic of acidified carbon nanotubes for heavy metal Pb(II) in aqueous solution. 466(1–2), 201-206 (2007).
61. M Insanullah, A Abbas, A M Al-Amer, T Laoui, M J Al- Marri, M S Nasser, M Khraisheh, M A Atieh. Heavy metal removal from aqueous solution by advanced carbon nanotubes: Critical review of adsorption applications. Critical review of adsorption applications. Sep. Purif. Technol., 157(1), 141-161 (2016),
62. R Sitko, B Zawisza, E Malicka. Modification of carbon nanotubes for preconcentration, separation and determination of trace-metal ions. TrAC, Trends Anal. Chem., 37(1), 22-31 (2012).
63. Y-H Li, S Wang, Z Luan, J Ding, C Xu, D Wu. Adsorption of cadmium(II) from aqueous solution by surface oxidized carbon nanotubes. Carbon, 41(5), 1057-1062 (2003).
64. E Raymundo-Piñero, T Cacciaguerra, P Simon, F Béguin. A single step process for the simultaneous purification and opening of multiwalled carbon nanotubes. Chem. Phys. Lett., 412(1–3), 184-189 (2005).
65. Y-H Li, Y Zhu, Y Zhao, D Wu, Z Luan. Different morphologies of carbon nanotubes effect on the lead removal from aqueous solution. Diamond Relat. Mater., 15(1), 90-94 (2006).
66. Z Zang, Z Hu, Z Li, Q He, X Chang. Synthesis, characterization and application of ethylenediamine-modified multiwalled carbon nanotubes for selective solid-phase extraction and preconcentration of metal ions. J. Hazard. Mater., 172(2–3), 958-963 (2009).
67. Y Cui, S Liu, Z-J Hu, X-H Liu, H-W Gao. Solid-phase extraction of lead(II) ions using multiwalled carbon nanotubes grafted with tris(2-aminoethyl)amine. Mikrochim. Acta, 174(1-2), 107-113 (2011).
68. Y Liu, Y Li, X-P Yan. Preparation, Characterization, and Application of L-Cysteine Functionalized Multiwalled Carbon Nanotubes as a Selective Sorbent for Separation and Preconcentration of Heavy Metals. Adv. Funct. Mater., 18(10), 1536-1543 (2008).
69. P Pacheco, P Smichowski, G Polla, L Martinez. Solid phase extraction of Co ions using L-tyrosine immobilized on multiwall carbon nanotubes. Talanta, 79(2), 249-253 (2009).
70. B Parodi, M Savio, L Martinez, R Gil, P Smichowski. Study of carbon nanotubes and functionalized-carbon nanotubes as substrates for flow injection solid phase extraction associated to inductively coupled plasma with ultrasonic nebulization: Application to Cd monitoring in solid environmental samples. Microchem. J., 98(2), 225-230 (2011).
71. M Hamon, H Hui, P Bhowmik, H Itkis, R Haddon. Esterfunctionalized soluble single-walled carbon nanotubes. Appl Phys A, 74(3), 333-338 (2002).
72. M Davarpanah, M Maghrebi, E Hosseinipour. Microwaveinduced high surface functionalization of multi-walled carbon nanotubes for long-term dispersion in water. Appl. Phys. A, 115(1), 167-175 (2014).
73. J Riggs, Z Guo, D Carroll, Y-P Sun. Strong luminescence of solubilized carbon nanotubes. J. Am. Chem. Soc., 122(24), 5879-5880 (2000).
74. Y-P Sun, W Huang, Y Lin, K Fu, A Kitaygorodskiy, L Riddle, Y Yu, D Carroll. Soluble Dendron-Functionalized Carbon Nanotubes: Preparation, Characterization, and Properties §. Chem. Mater., 13(9), 2864-2869 (2001).
75. K Jiang, L Schadler, R Siegel, X Zhang, H Zhang, M Terrones. Protein immobilization on carbon nanotubes via a two-step process of diimide-activated amidation. J. Mater. Chem., 14(1), 37-39 (2004).
76. J Bahr, J Tour. Highly Functionalized Carbon Nanotubes Using in Situ Generated Diazonium Compounds. Chem. Mater, 13(11), 3823-3824 (2001).
77. M Strano, C Dyke, M Usrey, P Barone, M Allen, H Shan, C Kittrell, R Hauge, J Tour, R Smalley. Electronic Structure Control of Single-Walled Carbon Nanotube Functionalization. Science, 301(5639), 1519-1522 (2003).
78. Y Cui, Z-J Hu, J-X Yang, H-W Gao. Novel phenyliminodiacetic acid grafted multiwalled carbon nanotubes for solid phase extraction of iron, copper and lead ions from aqueous medium. Microchim. Acta, 176(3-4), 359-366 (2012).
79. R Amais, J Ribeiro, M Segatelli, I Yoshida, P Luccas, C Tarley. Assessment of nanocomposite alumina supported on multi-wall carbon nanotubes as sorbent for on-line nickel preconcentration in water samples. Sep. Purif. Technol., 58(1), 122-128 (2007).
80. X Peng, Z Luan, J Ding, Z Di, Y Li, B Tian. Ceria nanoparticles supported on carbon nanotubes for the removal of arsenate from water. Mater. Lett., 59(4), 399-403 (2005).
81. Z-C Di, J Ding, X-J Peng, Y-H Li, Z-K Luan, J Liang. Chromium adsorption by aligned carbon nanotubes supported ceria nanoparticles. Chemosphere, 62(5), 861-865 (2006).
82. B Yang, Q Gong, L Zhao, H Sun, N Ren, J Qin, J Xu, H Yang. Preconcentration and determination of lead and cadmium in water samples with a MnO2 coated carbon nanotubes by using ETAAS. Desalination, 278(1–3), 65-69 (2011).
83. O Yalcinkaya, O M. Kalfa, A R. Turker. Preconcentration of Trace Copper, Cobalt and Lead from Various Samples by Hybrid Nano Sorbent and Determination by FAAS. Curr. Anal. Chem., 7(3), 225-234 (2011).
84. L Chen, T Wang, J Tong. Application of derivatized magnetic materials to the separation and the preconcentration of pollutants in water samples. Trends Analyt. Chem., 30(7), 1095-1108 (2011).
85. X Peng, Z Luan, Z Di, Z Zhang, C Zhu. Carbon nanotubesiron oxides magnetic composites as adsorbent for removal of Pb(II) and Cu(II) from water. Carbon, 43(4), 880-883 (2005).
86. C Chen, J Hu, D Shao, J Li, X Wang. Adsorption behavior of multiwall carbon nanotube/iron oxide magnetic composites for Ni(II) and Sr(II). J. Hazard. Mater., 164(2–3), 923-928 (2009).
87. D Robati. Pseudo-second-order kinetic equations for modeling adsorption systems for removal of lead ions using multi-walled carbon nanotube. J. Nanostruct. Chem., 3(1), 1-6 (2013).
88. M Sprynskyy, T Ligor, M Lebedynets, B Buszewski. Kinetic and equilibrium studies of phenol adsorption by natural and modified forms of the clinoptilolite. J. Hazard. Mater., 169(1–3), 847-854 (2009).
89. W Weber, J Morris. Kinetics of adsorption on carbon from solution. J. San. Eng. Div., 89(2), 31-60 (1963).
90. P Le Cloirec, C Brasquet, E Subrenat. Adsorption onto fibrous activated carbon: applications to water treatment. Energy Fuels, 11(2), 331-336 (1997).
91. P Rao, S Mise, G Manjunatha. Kinetic studies on adsorption of chromium by coconut shell carbons from synthetic effluents. J. Environ. Sci., 27(8), 2227-2241 (1992).
92. B Rovito, J Kittrell. Film and pore diffusion studies with immobilized glucose oxidase. Biotechnol. Bioeng., 15(1), 143-161 (1973).
93. A Bhattacharya, C Venkobachar. Removal of cadmium (II) by low cost adsorbents. J. Environ. Eng., 110(1), 110-122 (1984).
94. M Low. Kinetics of Chemisorption of Gases on Solids. Chem. Rev., 60(3), 267-312 (1960).
95. A Ritchie. Alternative to the Elovich equation for the kinetics of adsorption of gases on solids. J. Chem. Soc., Faraday Trans., 73(1), 1650-1653 (1977).
96. S Lagergren. About the theory of so-called adsorption of soluble substances. K. Svenska Vetenskapsakad. Handl., 24(4), 1-39 (1898).
97. Y Ho, G McKay. A comparison of chemisorption kinetic models applied to pollutant removal on various sorbents. Process Saf. Environ. Prot., 76(4), 332-340 (1998).
98. G Zhao, X Wu, X Tan, X Wang. Sorption of Heavy Metal Ions from Aqueous Solutions: A Review. Open Colloid Sci. J., 4(1), 19-31 (2010).
99. P Saha, S Chowdhury. 2011. Insight into adsorption thermodynamics. INTECH Open Access Publisher
100. R Niwas, U Gupta, A Khan, K Varshney. The adsorption of phosphamidon on the surface of styrene supported zirconium (IV) tungstophosphate: A thermodynamic study. Colloids Surf., A, 164(2), 115-119 (2000).
101. M Kara, H Yuzer, E Sabah, M Celik. Adsorption of cobalt from aqueous solutions onto sepiolite. Water Res., 37(1), 224- 232 (2003).
102. S Lata, P K Singh, S R Samadder. Regeneration of adsorbents and recovery of heavy metals: A review. Int. J. Environ. Sci. Technol., 12(4), 1461-1478 (2015).
103. N Mujawar Mubarak, J N Sahu, E C Abdullah, N S Jayakumar. Rapid adsorption of toxic Pb(II) ions from aqueous solution using multiwall carbon nanotubes synthesized by microwave chemical vapor deposition technique. J. Environ. Sci., 45(1), 143-155 (2016).
104. International Lead Association. Lead Recycling. Lead Action 21. Environmental and social responsibility for the 21st Century. London (2015).
Notas de autor
yahserojas@gmail.com