Artículos regulares
A new Miocene Formation from The Peotillos-Tolentino Graben fill, Western Sierra Madre Oriental at San Luis Potosí, Mexico: Part 1, Geology
Una nueva formación miocénica en el relleno del graben de Peotillos-Tolentino, oeste de la Sierra Madre Oriental de San Luis Potosí, México. Parte 1: Geología
A new Miocene Formation from The Peotillos-Tolentino Graben fill, Western Sierra Madre Oriental at San Luis Potosí, Mexico: Part 1, Geology
Boletín de la Sociedad Geológica Mexicana, vol. 68, no. 2, pp. 247-282, 2016
Sociedad Geológica Mexicana, A.C.
Received: 09 May 2013
Revised document received: 30 March 2014
Accepted: 08 April 2014
Funding
Funding source: DGAPA, UNAM
Contract number: IN107210
Funding statement: Institutions: The Authors duly thank Dirección General de Asuntos del Personal Académico de la Universidad Nacional Autónoma de México [DGAPA, UNAM], for supporting this research through grant PAPIIT IN107210; they also thank their home institutions, Instituto de Geología, UNAM and Instituto de Geología, UASLP for all the facilities conceded to develop this project. Persons: We are very grateful to Dr. José Rafael Barboza Gudiño and an anonymous reviewer for their careful and considerate review, which greatly improved the manuscript. The authors gladly acknowledge the students Jasmin Jhanely Carera Ortega and Anna Maat Rocha Juárez for their assistance in several aspects of the project. We also thank Mr. Cándido Ortíz Moreno, a native from Paso del águila, for his kind and efficient field assistance.
Resumen:
In spite of ~130 years of geologic research in Mexico, much remains pending e.g. only 1/3 of this country's territory is mapped in detail [i.e., scale 1:50000], the formal stratigraphic differentiation of the continental sedimentary Cenozoic is barely started, discriminating the depositional systems that make up basic units is even less pursued. Towards filling this gap, the detailed Cenozoic lithostratigraphy of a graben fill in central-east Mexico is reviewed, a new Miocene formation is proposed, and its importance in understanding the regional geologic evolution is discussed. The study area lies in San Luis Potosí State, within the Sierra Madre Oriental Morphotectonic Province [SMO], between 22°11'-22°19' N Lat. and 100°30'-100°39' W Long., and 1295 - 2025 masl. The ~1200 m thick Tertiary sedimentary sequence is preserved in the N-S trending Peotillos-Tolentino Graben, which is bound by horsts of folded and faulted Cretaceous carbonate units; it includes a Paleogene volcanic succession formed by an andesitic-basaltic lavic stack intertongued/overlain by a rhyolitic ash flow-tuff sheet, which non-conformably underlies the new unit, a Late Miocene, ~1100 m thick, fluvio-lacustrine, largely calcilithitic, 15° - 20° NE dipping, peneplained sequence, in turn unconformably overlain by a Quaternary, ~40 m thick, calcilithitic-volcarenitic blanket; locally overlain by mafic lavic/pyroclastic rocks. The new formation was deposited in a subsiding basin, under humid to subhumid conditions allowing erosion of large clastics volumes, and the development of an axial fluvial network, capable of transporting/depositing such volumes. Nevertheless, floodplain calcisols and calcretes indicate periods of dry conditions. The ~1100 m thick, largely fluvial stratal pile thus formed, records cyclic superimposing of such network's systems during Late Miocene time; this in turn, denotes stability of the tectono-sedimentary-climatic conditions. Subsequently, faulting, erosion and finally peneplanation took place. In the Quaternary, clastic sedimentation was reestablished. The holistic approach used to study the Peotillos-Tolentino Graben and its sedimentary fill, could be applied to the other post-orogenic basins of the Sierra Madre Oriental that bear Cenozoic clastic sequences, probably resulting from similar processes, to identify and characterize such processes, thus contributing to a better understanding of the Cenozoic geologic makeup and evolution of this province.
Palabras clave: México, Mioceno, litoestratigrafía continental, sistemas deposicionales, evolución tectono-sedimentaria, paleosuelos.
Abstract:
A pesar de ~130 años de investigación geológica en México, hay aún muchos pendientes e.g. sólo 1/3 del territorio está cartografiado a detalle [i.e. escala 1:50000], la diferenciación estratigráfica del Cenozoico continental sedimentario apenas ha empezado, la discriminación de los sistemas deposicionales que constituyen a las unidades fundamentales, es aún menor. Contribuyendo a llenar este vacío, se revisa la litoestratigrafía cenozoica detallada del relleno de un graben en México centro-oriental, se propone una nueva formación miocénica, y se discute su significado en la evolución geológica regional. El área de estudio se ubica en San Luis Potosí, dentro de la Provincia Morfotectónica Sierra Madre Oriental [SMO], entre 22°11'-22°19' Latitud Norte, 100°30'-100°39' Longitud Oeste, y una Altitud de 1295 - 2025 msnm. La secuencia terciaria [espesor ~1200 m] está preservada en el Graben Peotillos-Tolentino, orientado NNW, delimitado por pilares de unidades cretácicas carbonáticas plegadas y afalladas; incluye una sucesión volcánica paleogénica formada por un cuerpo lávico andesítico-basáltico interdigitado/sobreyacido por un manto de toba riolítica soldada, que a su vez subyace de manera discordante a la nueva unidad, la cual es una gruesa secuencia [~1100 m de espesor] fluviolacustre, principalmente calcilitítica, peneplaneada, e inclinada 15° - 20° al NE; ésta subyace discordantemente un manto cuaternario [~40 m de espesor] calcilutítico-volcarenítico, localmente cubierto por mafititas lávicas y/o piroclásticas La formación nueva se depositó en una cuenca subsidente, bajo condiciones húmedas a subhúmedas que permitieron erosionar grandes volúmenes clásticos, y desarrollar una red fluvial axial, capaz de transportarlos/depositarlos. Empero los calcisoles y calcretas de las planicies de inundación indican períodos de sequía. Se formó así un cuerpo estratiforme [espesor ~1100 m] que registró la sobreposición cíclica de sistemas deposicionales ocurrida durante el Mioceno Tardío; esto denota estabilidad de las condiciones tectono-sedimentario-climáticas. Posteriormente, acaeció fallamiento, erosión y finalmente peneplaneación; en el Cuaternario, se restableció la sedimentación clástica. El enfoque holístico usado en el estudio del Graben Peotillos-Tolentino y de su relleno sedimentario, podría aplicarse a las otras depresiones post-orogénicas de la Sierra Madre Oriental, portadoras de secuencias clásticas cenozoicas, probablemente resultantes de procesos similares, para identificar y caracterizar dichos procesos, contribuyendo así a entender mejor la constitución y evolución cenozoica de esta provincia morfotectónica.
Keywords: Mexico, Miocene, continental lithostratigraphy, depositional systems, tectono-sedimentary evolution, paleosols.
1. Introduction
After nearly thirteen decades of professional geologic research in Mexico, important tasks have been barely touched, such as the formal stratigraphic differentiation of the country's continental sedimentary Cenozoic, notwithstanding its enormous economic importance, as seat of Mexico's major metropolis, thus sustaining much of the humane-generated environmental impact, and as the bearer of most aquifers and of many valuable mineral deposits; on the other hand its scientific/academic significance, as register of this country's complex evolution during the Cenozoic Era, when its current major geomorphic/geotectonic features were developed, and thus needs no underlining. However, the reduced number of formal, material-based stratigraphic units, [i.e., unequivocal referents of the particular geologic-evolutionary s.l. events that make up the geologic history whether local, regional or "country-wide"], severely hampers the proper understanding of such events, rendering it vague/ambiguous at best, or wrong and misleading at worst. Therefore, as a contribution to fill this gap, we describe and discuss in detail the geology of the Peotillos-Tolentino Graben fill, San Luis Potosí, propose a new continental formation, and discuss its bearing on better understanding regional geologic evolution.
2. Material and Methods
The material used include: (a) Air-photos: INEGI, Fly date 25/Mar/1995, Scale 1:20000, Zone F14A75; Line 601, Airphotos: 0013, 0014, 0015, 0016, 0017; Line 602, Airphotos: 0001, 0002, 0003, 0004, 0005; Line 603, Airphotos: 0013, 0014, 0015, 0016, 0017; Line 604, Airphotos: 0001, 0002, 0003, 0004, 0005. (b) Satellite image: Google Earth, 6.2. (c) Equipment: Stereoscope Gordon Enterprises, Model Condor T22, num. 11248, Tokyo, Japan. Petrographic Microscope Olympus Optical, Model BX60F5 with Digital Camera Olympus, Model DP12-2. GPS Garmin, Model GPSMAP 62sc. Digital Camera Canon, Model EOS Digital Rebel XTi. Photomicroscope Zeiss.
The geologic work was done following standard procedures: The relevant bibliographic and cartographic information for the Peotillos-Tolentino Graben and surrounding area was extensively searched for, compiled and analyzed, in order to know and evaluate the available geologic s.l.information, to detect unsolved problems and to plan field work. All cartographic information was critically compiled at a 1:50000 scale, thus forming the basic geologic map, which then was compared with the photogeologic map [generated from a series of airphotos scale 1:20000, using a stereoscope], and with satellite images. This procedure allowed us to evaluate geologic contacts, major structures, and to make appropriate changes; the resulting map was used as the base to plot field observations.
Field work was conducted in three four-week seasons during 2010, 2011 and 2012 respectively, it consisted in traverses to check contacts, collect lithic samples, make and record structural measurements, photograph geologic features, and to measure stratigraphic sections. The latter was done with a Brunton compass and a 50 m steel tape. Positioning in the field was accomplished using a GPS. Geographic features and names are plotted on Figure 1. Cartographic plotting was done directly on the airphotos or on these topographic sheets [INEGI (2005a-b)], as we saw fit. Petrographic descriptions are based on field data, ~200 hand samples and 62 thin sections.

Color terminology is that of The Rock-Color Chart Committee (1995), the sedimentary petrographic nomenclature is largely that of Folk (1974) and Boggs (2009), stratal thickness terminology is from Ingram (1954), the pyroclastic terminology is from Schmid (1981), and Fisher and Schmincke (1984) The lithostratigraphic descriptions and nomenclature follows NACSN (2005); formation names in quotation marks indicate that a given unit purportedly identified outside its type area on the basis of lithic resemblance, might be a different unit, thus calling for reservation about assuming it to have identity of lithostratigraphic characters. Special studies include 40Ar/39Ar dating, executed by Sherlock Geoscience, Milton Keynes, U.K. [Details are reported in the Appendix].
3. Results and Discussion I: Research area, Geologic summary
3.1. Geographic Setting
The San Nicolás Tolentino Area lies in central San Luis Potosí State, between 22°11' - 22°19' N Lat., and 100°30' - 100°39' W Long, at 1295 - 2025 masl [Figure 1]; it has a surface extension of ~230 km2 [~87 sq mi] of rugged territory, which forms part of the Sierra Madre Oriental Morphotectonic Province (de Cserna, 1960; Guzmán and de Cserna, 1962; Ferrusquía-Villafranca, 1993). Moderately high, roundish hills NNW aligned, separated by narrow and deep gorges set parallel or normal to them occur in the east and south; the area's northwest is less rugged, forming a plain-like geomorph. The Río San Nicolás and its tributaries, Arroyos Armadillo, El Campanero and Hondo-Negro are the main fluvial currents. The climate is Cw [i.e., temperate (22° - 26°C) and semiarid (400 - 600 mm per year (García, 1990)]. The chief towns are San Nicolás Tolentino and Armadillo de los Infante [both Municipal Seats]; others of lesser rank include Pozo del Carmen, Arroyo Hondo, Paso del águila, Barranca de San Joaquín, Morenos, and Llano de los Saldaña. State highways [ultimately departing from Federal Highway 57, Matehuala-San Luis Potosí segment], and a few paved roads connect the towns, whereas graded roads serve the villages. Agriculture [corn, wheat], cattling, small scale mining and local commerce are the main economic activities.
3.2. Geologic Setting
3.2.1. Initial Remarks
The Sierra Madre Oriental Morphotectonic Province segment at San Luis Potosí has been the subject of numerous and diverse geologic studies [cf. among others Zárate-Muñoz (1977), Labarthe-Hernández and Tristán-González (1978), Zapata-Zapata and Pérez-Venzor (1979), Labarthe-Hernández et al. (1982), Tristán-González (1986), Torres-Hernández and Tristán-González (2000), López-Doncel et al. (2007, 2008), and Torres-Hernández et al. (2009, 2010)]. Nonetheless, important problems remain to be solved, such as the tectono-sedimentary evolution of the intermontane depositional basins lying there, the detailed stratigraphy of their sedimentary fill [including discrimination in units, working out their space/time stratigraphic relationships, age, associated magmatism and faulting]. The San Nicolás Tolentino Area bears one such basin, thus its study could contribute to solve some of these problems.
The geologic summary presented below [Figures 2 - 3] draws from López-Doncel et al. (2007, 2008, for the northern half) and Torres-Hernández et al. (2009, 2010, for the southern half), supplemented/modified by our own, three-year study. One major difference is the nomenclature: Ours is binomial, following the provisions of pertinent codes [ACSN (1961, 1970), NACSN (1983, 2005)], whereas theirs is acronymic [involving geochronologic and lithic abbreviations], and informal of necessity.


3.2.2. Lithostratigraphy
Sedimentary and volcanic units of Cretaceous to Recent ages crop out in the San Nicolas Tolentino area; they will be briefly described in ascending order:
El Abra Formation. Albian-Santonian, it is the unit Caliza (Kass Cz) of López-Doncel et al. (2007, 2008) and Torres-Hernández et al. (2009). This is the oldest unit, its nomenclatorial history is long and complex [cf. Garfias, 1915; Adkins, 1930; Muir, 1934; Heim, 1940; Bonet, 1952; Carrillo-Bravo, 1971; Garza-Blanc, 1978; Alencáster et al., 1999; Pichardo, 2006; López-Doncel et al., 2007, 2008)], nonetheless, some problems remain including that of its very definition [López-Doncel et al. (2007, p. 14)]. For our purpose, it suffices to say that El Abra Formation in the area [Figure 4A], is a ~1000 m thick, light gray, partly dolomitized micritic sequence that bears chert nodules and lenses, set in medium to thick strata; it also includes highly fossiliferous reefal limestone bodies with abundant rudists. It is chronocorrelative with the Tamaulipas Superior and Cuesta del Cura Formations [of eastern and north-central Mexico respectively]. This unit records shallow marine carbonate deposition without terrigenous influx. El Abra paraconformably underlies the Soyatal Formation.
![Characteristic field appearance of the Cretaceous formations. A. El Abra Formation [Albian-Santonian]: The locality lies 0.5 km due N of Morenos. Medium to thickly bedded micritic limestone, partly dolomitized [whitish zones on the lower left], bearing chert nodules [darker zones on the upper right], the strata are nearly vertical. North lies to the left of picture. B. Soyatal Formation [Turonian-Early Campanian]: The site lies ~1.5 km SW of Rancho Barranca de San Isidro. Thinly to medium bedded marly limestone becoming fissile calcilutite upward. North lies to the left of picture. C-D. Cárdenas Formation [Cenomanian-Maastrichtian]: The localities respectively lie 1 and 1.5 km north of Morenos, they are road cuts on the Tolentino-Morenos Road. C. Typical thin- and mediumly-bedded appearance of this unit, as well as its characteristic shaley weathering. North lies to the right of picture. D. Close view of a shale-weathering stratal plane. North lies to the left of picture.](../1405-3322-bsgm-68-02-00247-gf4.png)
Soyatal Formation. Turonian-Early Campanian, it corresponds to the unit Caliza-Lutita (Ktss Cz-Lu) of Torres-Hernández et al. (2009, 2010); This unit's nomenclatural history is straight forward [cf. Zárate-Muñoz, 1977; Labarthe-Hernández and Tristán-González, 1978); Torres-Hernández, 1994)], it is a ~220 m thick, clayey micritic sequence gradually becoming lutitic upward, set in thin to medium beds [Figure 4B]. The thickness varies across the unit, wedging down to 30 m in the west; it chronocorrelates with the Indidura Formation [of north-central Mexico]. The Soyatal Fm. conformably (transitionally) underlies the Cárdenas Formation.
Finally, the lack of Soyatal Fm. outcrops in the area's northeast, could be explained as follows. Regionally, this unit wedges/pinches out against the paleoelement Valles San Luis Potosí Platform [largely formed by El Abra Fm.] western slope, and frequently the Cárdenas Fm. lies directly over El Abra Fm. rather than overlying El Soyatal [cf. Torres-Hernández (1994), Torres-Hernández and Tristán-González (2000), López-Doncel et al. (2007)], as it might have occurred there.
Cárdenas Formation. Cenomanian-Maastrichtian, it corresponds to the unit Lutita-Arenisca (Kcm Lu-Ar) of López-Doncel et al. (2007, 2008) and Torres-Hernández et al. (2009, 2010). The nomenclatorial history of this formation, although long, is less involved than that of El Abra [cf. Imlay, 1944a-b; Murray, 1961; Myers, 1968)]. This is a ~200 m thick, thin to mediumly bedded alternate sequence of reddish, medium-grained, calcite-cemented quartzitic sandstone, and equally bedded, silty to clayey- shaley limestone [Figures 4C-D], more so upward; locally it may be highly fossiliferous. Commonly, the Cárdenas Fm. overlies El Soyatal Fm., however, in some places it directly overlies El Abra Fm., as mentioned above. On the other hand, the Cárdenas Fm. is unconformably overlain [both angularly and erosionally] by the Cenozoic Erathem, which largely occupies the lowlands [narrow valleys and plains], although occasionally, some volcanic bodies form prominent table mountains [mesas]. Finally, Cárdenas is chronocorrelative with the Méndez and Caracol Formations [of eastern and north-central Mexico respectively].
Cenozoic, Tertiary. San Isidro unit Late Eocene-Early Oligocene, it corresponds to the unit Basalto-Andesita (To B-A) of López-Doncel et al. (2007, 2008) and the unit Andesita-Basalto (To A-B) of Torres-Hernández et al. (2009, 2010); Figures 5A-B]. The first authors described their To B-A unit from lavic flows in the area of the Peotillos F14-A75 Geologic Quadrangle, outside the present study area; the closest flows lie 15 km north of San Nicolás Tolentino [on the Road La Concordia-Rancho Nuevo de la Cruz], where they underlie the "Santa María Ignimbrite." [López-Doncel et al. (2007, p. 19)]. On the other hand, Torres-Hernández et al. (2009, p. 24) described their To A-B unit from lava flows in the area of the Santa Catarina F14-A85 Quadrangle, the best exposed flows are located just north of Barranca San Isidro [placed ~3 km south of San Nicolás Tolentino]; there, they overlie the Cretaceous El Abra Formation and underlie the "Santa María Ignimbrite;" other, much larger lavic flow bodies, are situated near Rancho Ojo de Agua de San Juan [sited ~27.5 km southeast of San Nicolás Tolentino, outside the present study area].
![Characteristic field and petrographic appearance of Paleogene units. A. San Isidro unit [Late Eocene-Early Oligocene]: The locality lies close to the namesake gully [Barranca de San Isidro], ~4 km SW of San Nicolás Tolentino. Deeply weathered andesitic-basaltic lava flows illustrating the common appearance of this unit. North lies to the left of picture. B. Photomicrograph of the San Isidro unit [10X, plane light]: The rock is a microporphyritic pyroxene andesite; notice the pyroxene microphenocrystals set in a groundmass of plagioclase and biotite mircrolites. Bar = 1 mm. C. "Santa María Ignimbrite" [Early Oligocene]: The locality lies about 3 km north of Paso del águila, on the exposed bedrock of Arroyo El Portillo. The photograph shows the typical megascopic appearance of this unit. North lies to the right of picture. D. Closer view of an ignimbrite block showing some deformed pumice fragments [fiamme]. East lies to the right of picture. E. Photomicrograph of "Santa María Ignimbrite" [4X, plane light]: The rock is a vitric-crystal, welded, rhyolitic ash-flow tuff; notice the collapsed pumicite fragments [pz], the large quartz crystals [Qz], and two andesitic xenoliths [Lit].](../1405-3322-bsgm-68-02-00247-gf5.png)
The description of unit To B-A in López-Doncel et al. (2007) is very similar to that of unit To A-B given in Torres- Hernández et al. (2009); in both cases the stratigraphic relationships and geologic age [Oligocene] are the same. These facts lead us to regard them as the same informal lithostratigraphic unit, herewith designated San Isidro [after the namesake barranca (ravine)]. In the study area, there are other stacks of lava flows adjacent to the "Santa María Ignimbrite," quite resembling those of the San Isidro unit, both in composition and stratigraphic relationships; on these grounds, they are included in it. The status of San Isidro unit is left informal, because we did not carry out the additional field and lab work needed to formally propose it as a new formation [a task beyond the scope of this paper].
In the area, the San Isidro unit is a ~80 m thick volcanic succession formed by a stack of andesitic and basaltic lava flows intruded at different stratigraphic levels by a few dykes of similar composition. The andesites are of basaltic type, aphanitic texture, and contain < 5 % plagioclase phenocrystals set in a pilotaxitic groundmass; the basalts are also aphanitic; the dykes are slightly more porphyritic. Chemically, these lava flows include trachybasalt, trachyandesite and andesite [Torres-Hernández et al. (2009, p. 24)]. The San Isidro unit non-conformably overlies the Cretaceous formations and underlies [and might intertongue] the Early Oligocene "Santa María Ignimbrite;" on this basis, its geologic age is bracketed in the post-Late Cretaceous-pre Early Oligocene interval. The lack of radio-isotopic ages for San Isidro does not allow to further constrain its age; thus, based on the above, this unit probably is no older than Late Eocene and no younger than Early Oligocene.
"Santa María Ignimbrite". Early Oligocene, it corresponds to the unit Ignimbrita (To Ig) of López-Doncel et al. (2007, 2008) and Torres-Hernández et al. (2009, 2010). This unit's nomenclatorial history is also straight foreward [cf. Labarthe-Hernández and Tristán-González, (1980), Labarthe-Hernández et al. (1982), Torres-Hernández y Tristán-González (2000), Barboza-Gudiño et al. (2002, 2003)]. It is a 20 - 70 m thick volcanic succession [Figures 5C-E] consisting of a strongly welded [dense, lacks pore space, bears flattened, collapsed pumice fragments, i.e., fiamme, and tends to develop vertical jointing], crystal vitric [< 40 % crystals; abundant phenocrystals largely of quartz and sanidine], rhyolitic ash-flow tuff, emplaced as a sheet-like geomorph commonly capping sierras. The unit's lower part is a thin vitrophyre with numerous alkali feldespar and quartz phenocrysts set in a purplish glassy matrix; there are also fluidal-textured rhyolitic dykes at different stratigraphic levels. All these feature call for a high temperature, pyroclastic flow emplacement.
The "Santa María Ignimbrite" unconformably [erosional contact] underlies the San Nicolás Formation (new, this paper), of Late Miocene age, as seen in Arroyo El Portillo, ~ 2 km east of Paso del águila. The assignment to the Early Oligocene stems from the ~32 Ma K-Ar age obtained from samples of the Santa María Ignimbrite at its Type Locality and Section, which lies on the hills just north of Santa María del Río [placed ~160 km east-southeast of San Nicolás Tolentino], as reported by López-Doncel et al. (2007, p. 20, quoting unpublished data from A. Aguillón-Robles). The acceptance of such age poses the question of identifying a lithostratigraphic unit outside its type area. In this case, the Santa María Ignimbrite Type Locality lies ~126 km ESE of the San Nicolás Tolentino Area, and there is no physical continuity of the ignimbrite sheet in both areas, hence identifying it [the Santa María Ignimbrite] in the latter area is objectively a supposition not a fact, and the same applies for the age. To settle this matter lies beyond the scope of this paper, so in order to let the reader know this problem, we have quotation-marked the name ["Santa María Ignimbrite"], which indicates that the ignimbrite sheet in San Nicolás might be the same stratigraphic unit that the one originally described at Santa María del Río.
San Nicolás Formation. Late Miocene, new lithostratigraphic taxon; it corresponds to the unit Lacustre (Tom-la) of Torres-Hernández et al. (2009, 2010)]. The formal proposal of this unit is presented in the next section.
Quaternary. The post-San Nicolás rock units of the area lie in the lowlands, show a horizontal structural attitude, and unconformably overlie the preceding sequence. According to López-Doncel et al. (2007, 2008) and Torres-Hernández et al. (2009, 2010), there are nine units in the area, six clastic [Conglomerado oligomíctico-grava (TplQpt Cgo-gv), Conglomerado polimíctico-grava (TplQpt Cgp-gv), Grava-limo (TplQpt gv-lm), Conglomerado polimíctico-grava (QptCgp-gv), Arena-limo (Qptho ar-lm), and Aluvión (Qho Al)], and three volcanic [Piroclástico (Qpt Pc), Basalto (Qpt B), and Brecha volcánica basáltica(Qpt BvB)].
An analysis of these papers and field work in the area show that: (a) All such units are informal. (b) Their acronymic names may lead to confusion. (c) Their characterization does not allow unambiguous field recognition. Here, in order to present the basic information on the Quaternary of the area, we will briefly describe below all the units, modifying original descriptions as needed, and furnishing suitable binomial names for them.
Puerta del Refugio unit. It corresponds to the unit Conglomerado oligomíctico-grava (TplQpt Cgo-gv unit) of López-Doncel et al. (2007, 2008) and Torres-Hernández et al. (2009, 2010). This unit crops out in the central and northeastern parts of the area, it is a 5 to ~40 m thick fluvial sequence of oligomictic composition [clasts of limestone and marl dominate; calci-cementation is weak to moderate], set in textural facies ranging from siltstone to conglomerate [Figure 6A], which is frequent throughout the section. At various levels veneers [> 0.5 m thick] of rhyolitic, friable ash-fall tuff are present. This unit's lower contact [unconformable with the Cretaceous El Abra Formation] is restricted to a small outcrop, however, it is assumed that Puerta del Refugio also unconformably overlies the Tertiary formations. Laterally, it grades into El Jagüey, Camposanto and Los Saldaña units [see below]; it underlies the volcanic Las Joyas unit and the Holocene La Concordia unit [see below], however the contact with the latter is largely covered. López-Doncel et al. (2007, 2008) and Torres-Hernández et al. (2009, 2010) assign it to the Plio-Quaternary, but offer no supporting evidences; so we dismiss it, and assign Puerta del Refugio to the Pleistocene, on the basis of its horizontal attitude and crowning stratigraphic position.
![Characteristic field appearance of Quaternary units I. A. Puerta del Refugio unit [Pleistocene]: The locality lies ~1 km south of the homonymous village. Well indurated, clast-supported, cobbly pebble, calcilithitic conglomerate set in thick strata; micritic pebbles and cobbles from El Abra Formation dominate. North lies to the left of picture. B. Camposanto unit [Pleistocene]: The site is placed ~1.6 km SSE of Paso del águila on the Río San Nicolás. The dark zone across the top depicts this unit, it consists of well indurated, clast-supported, pebble-cobble, ignimbrite-bearing calcilithitic conglomerate set in medium to thick strata [polymictic conglomerate facies], uncoformably overlaying the San Nicolás Formation, which makes up the cliff's better part [contact pointed by arrow]. East lies to the right of picture. C. Los Saldaña unit [Pleistocene]: The locality lies ~0.4 km west of Rancho El Caracol. Moderately indurated, matrix-supported, pebble, calcilithitic conglomerate set in medium to thick strata overlying friable, poorly sorted, calcilithitic sandstone and siltstone set in medium to thick beds. East lies to the right of picture. D. El Jagüey unit [Late Pleistocene]: The site is located ~1 km SSE of Arroyo Hondo. Moderately indurated, clast-supported, cobbly-pebble, andesite and ignimbrite-bearing calcilithitic conglomerate [polymictic conglomerate facies] set in thick strata, covered by granule conglomerate, coarse sandstone and matrix-supported, pebble calcilithitc conglomerate set in thick strata; notice on the photograph's lower part, a fallen block of the lower conglomerate. East lies to is to the right of picture.](../1405-3322-bsgm-68-02-00247-gf6.png)
Camposanto unit. It corresponds to the unit Conglomerado polimíctico-grava (TplQpt Gp-gv) of López-Doncel et al. (2007, 2008) and Torres-Hernández et al. (2009, 2010). It crops out as a narrow strip on both sides of the San Nicolás river channel between the towns of San Nicolás Tolentino-Morenos towns, as well as further south, where it widens, as it does south of San Nicolás Tolentino. This unit is a fluvial sequence 5 to ~40 m thick, of polymictic composition [including clasts of limestone, marl and ignimbrite], set in textural facies ranging from siltstone to conglomerate [Figure 6B], thus including siltstone and sandstone cross-stratified thin to medium beds, gravel to cobble, calci-cemented conglomerate beds, and even debris flow deposits. The sedimentary architecture is not worked out though. The Camposanto unit unconformably overlies the San Nicolás Formation and the "Santa María Ignimbrite;" laterally it grades into El Jagüey, Puerta del Refugio, and Los Saldaña units; finally, it non-conformably underlies the volcanic Las Joyas unit. This unit bears no fossils, thus its Quaternary age-assignment rests on its stratigraphic position and horizontal structural attitude. It should be noted that all Tertiary and older units in San Luis Potosí are tilted [Labarthe-Hernández et al. (1982), Barboza-Gudiño et al. (2002, 2003)]. Both López-Doncel et al. (2007, 2008) and Torres-Hernández et al. (2009, 2010) regard this unit as Plio-Pleistocene, but fail to provide the supporting evidence; we dismiss such assignment and consider it instead as Pleistocene.
Los Saldaña unit. It corresponds to the unit Grava-limo (TplQ gv-li) of Torres-Hernández et al. (2009, 2010). It crops out in the southeastern part. It is a 4 to ~20 m thick fluvial sequence of largely calcitic composition [clasts of limestone, marl and calci-arenite/lutite dominate]; fine clastics are abundant, so that the conglomerates are matrix-supported [Figure 6C]; strata are usually thin to medium. This unit unconformably overlies the Cretaceous formations and the "Santa María Ignimbrite;" laterally it grades into El Jagüey, Puerta del Refugio and Los Saldaña units. Los Saldaña non-conformably underlies the volcanic units Las Joyas and Los Palau, as well as the Holocene unit La Concordia; the contact is partly covered by modern soil though. Torres-Hernández et al. (2009, 2010) assign Los Saldaña to the Plio-Pleistocene, but do not provide any evidence, thus we dismiss it as unsupported, and regard this unit as Quaternary, on the basis of its horizontal structural altitude, and crowning stratigraphic position.
El Jagüey unit. It corresponds to the unit Conglomerado polimíctico-grava (Qpt Cgp-gv) of López-Doncel et al. (2007, 2008) and Torres-Hernández et al. (2009, 2010). This unit crops out in the northeastern part, it is a fluvial sequence 15 to ~50 m thick, of polymictic composition [including clasts of limestone, marl, andesite, and ignimbrite, weakly bound by calcite cement], set in textural facies ranging from siltstone to conglomerate [Figure 6D], forming different kinds of deposits, all consisting of horizontally lying strata; however, the sedimentary architecture is not known yet. In a locality close to the village Paso del águila, a skull fragment and left tusk referred to Mammuthus sp. were found. El Jagüey lower contact [with El Abra and San Nicolás Formations] is an erosional and angular unconformity, which with the former is well exposed in the west, near Armadillo de los Infante. El Jagüey unit laterally grades into Puerta del Refugio and Camposanto units, and non-conformably underlies the volcanic units Las Joyas and Pozo del Carmen, as well as the Holocene unit La Concordia. El Jagüey is assigned to the Pleistocene on these bases: Presence of Mammuthus sp. an index of the Late Pleistocene [Bell et al. (2004)], horizontal structural attitude, and crowning stratigraphic position.
Las Joyas unit. It corresponds to the unit Basalto (Qpt B) of López-Doncel et al. (2007, 2008); and to the Miembro Basalto, Las Joyas Formation of Labarthe-Hernández et al. (1982). This unit crops out in the northwestern part of the area, it consists of a ~15 m thick stack of porphyritic basaltic lava flows and breccias [Figure 7A] bearing large sodic plagioclase and pyroxene [somewhat smaller] phenocrystals. This unit non-conformably overlies the sedimentary units Puerta del Refugio, El Jagüey and Camposanto; laterally it seems to intertongue the volcanic Pozo del Carmen unit, and is overlain by the Holocene unit La Concordia, however the contact is largely covered by soil. Finally, Las Joyas is assigned to the early Late Pleistocene, on the basis of the K-Ar 0.6 Ma date reported by A. Aguillón-Robles [unpublished], cited by López-Doncel et al. (2007, op. cit., p. 22).
![Characteristic field appearance of Quaternary units II. A. Las Joyas unit [Late Pleistocene]: The locality lies ~0.35 km SE of Pozo del Carmen. A 4 m thick basaltic lava flow non-conformably overlies flat laying, siltstone and sandstone strata [fine-grained facies] of the Puerta del Refugio unit. North lies to the left of picture. B-C. Pozo del Carmen unit [Late Pleistocene]: The site is placed on the namesake village's eastern limit. B. Thinly bedded, basaltic ash-flow tuff. East lies to the right of picture. C. Crater formed by the ballistic impact of a chert-limestone clast expelled during the volcanic eruption that emplaced this unit; such clast still remains in the crater. East lies to the right of picture. D. Los Palau unit [Late Pleistocene]: The locality lies on the eastern part of the namesake lake. View of the lake's rim inner side showing medium to thick, upward dipping strata of basaltic breccias generated by the explosive eruption that formed the lake. North lies to the left of picture. E. Laguna Los Palau, southwestern San Nicolás Tolentino Area, developed on the cauldron of the hydrovolcanic eruption that generated the namesake unit. [Source: Satellite Image Google Earth 6.2]. East lies to the right of picture. F. La Concordia unit [Holocene]: The site lies ~1 km NE of Pozo del Carmen. Friable, clayey siltstone set in medium strata, intercalated by calcrete nodules, and covered by a well indurated, erosion-resistent calcareous zone [Calcisol?]. East lies to the right of picture.](../1405-3322-bsgm-68-02-00247-gf7.png)
Pozo del Carmen unit. It corresponds to the unit Piroclástico (Qpt Pc) of López-Doncel et al. (2007, 2008). This is a small, ~15 m thick pyroclastic sheet that crops in the northwestern part, and south of the namesake village; it consists of basaltic, welded ash-flow tuff and brecchia set in thin to medium beds [Figures 7B]; the upper surface shows numerous ballistic impacts of limestone clasts of underlying units expelled during the explosive eruption that emplaced this unit. According the arrival angle, the impacting clasts formed circular to elongate depressions [Figure 7C]. This unit non-conformably overlies El Jagüey unit; as mentioned above, laterally it seems to intertongue Las Joyas. Such stratigraphic relationships indicate a Pleistocene [?Late] age for the Pozo del Carmen unit.
Los Palau unit. It corresponds to the unit Brecha volcánica basáltica (Qpt BvB) of Torres-Hernández et al. (2009, 2010). This unit crops out in the southwestern part of the area, where it forms a ~30 m thick, ring-like stack of unconsolidated basaltic breccia set in thick strata [Figure 7D]. At the stack's base, a thick basaltic welded ash-flow [surge-emplaced] tuff is present. The ring-like stack surrounds Laguna Los Palau [hence the name], an intermittent shallow lagoon [Figure 7E]. Los Palau seems to overlie and partly intertongue the Pleistocene unit Los Saldaña; laterally it appears to partly intertongue the volcanic unit Las Joyas, however the contact is largely covered by soil and vegetation; finally, Los Palau unit locally intertongues the Holocene La Concordia unit's lower part, becoming fully covered upward by it. These stratigraphic relationships, allows us to date this unit as of Late Pleistocene-Early Holocene age.
La Concordia unit. It corresponds to the unit Arena-limo (Qptho ar-lm) of López-Doncel et al. (2007, 2008) and Torres-Hernández et al. (2009, 2010). This unit crops out in the western part of the area, forming small, isolated, flat-lying, sheet-like bodies 15 to ~50 m thick, that extensively occupy the plain north of the area. It consists of unconsolidated, clayey-silt thin to medium bedded strata, mixed/intercalated by caliche and other soils as well [Figure 7F]. The caliche zones suggest intervals of dry climate, in an otherwise moderately humid environment. Gravel strata [largely formed by limestone clasts] also occur at several stratigraphic levels, but in general the unit is dominantly fine-clastic. La Concordia crowns the Cenozoic sequence, overlying the Cretaceous, Tertiary and Pleistocene units, which lead us to assign it to the Holocene.
Unnamed unit. It corresponds to the unit Aluvión (Qho al) of López-Doncel et al. (2007, 2008) and Torres-Hernández et al. (2009, 2010)]. This unit consists of the unconsolidated alluvial deposits that lie in the present-day ravines and arroyos, its thickness is > 10 m. The gravel fraction is more conspicuous, it compositionally includes clasts of limestone, marl, andesite, basalt, and ignimbrite, whose proportions vary across the fluvial network. The general slope angle of the Río San Nicolás and major tributaries is ~2° southward, however the gravel deposits tend to occupy the lowest portions of the channel, forming "low" bars. The age of this unit is Late Holocene, on the basis of its stratigraphic position [above all previous units], geomorphic occurrence [as a high-lying body], and its lack of consolidation.
3.2.3. Structural Geology
Detailed analysis of the available cartographic information for the study area, namely the air photographs scale 1:20000 listed in Material and Methods, López-Doncel et al. (2007, 2008) and Torres-Hernández et al. (2009, 2010) publications, two 20 m contour-lined topographic maps [INEGI (2005a-b)], a satellite image [Google Earth, 6.2], and our field work, led us to recognize and briefly characterized the following structures [cf. Figures 2 and 8-9-10-11]:

![Schematic structural section of the San Nicolás Tolentino Area, central-western San Luis Potosí, México. Notice that the San Nicolás Formation is preserved in the Peotillos-Tolentino Graben [PTG]. Surface geology west of A, slightly modified from Barboza-Gudiño et al. (2003), and east of B, from López-Doncel et al. (2008). Vertical scale [set at actual altitude] equal to the horizontal. Line of section is plotted on Figure 2.](../1405-3322-bsgm-68-02-00247-gf9.png)
![San Joaquín Normal Fault. A. The site lies ~2.25 km SE of Barranca de San Joaquín village, on Arroyo Arrastradero. The photograph depicts a nearly vertical fault plane developed on the "Santa María Ignimbrite." North lies to the right of picture. B. The locality lies in the Barranca de San Joaquín village. The photograph shows the fault plane [pointed out by the man] developed on a San Isidro unit-footwall block. North lies to the left of picture.](../1405-3322-bsgm-68-02-00247-gf10.png)
![Morenos Thrust Fault. The site is placed about 1.75 km SE of Morenos town, at the junction of Arroyo Las Pilas and Rio San Nicolás. A. General aspect of the thrust fault [oblique line]. North lies to the right of picture. The Cárdenas Formation [below, left] is thrust-faulted by El Abra Formation [above]; the square on the thrust fault plane [pointed out by an arrow] is depicted in B. B. Cataclastic zone developed on El Abra Formation above such plane, as evidenced by straight- and triple junction-contacts among blocks [e.g. those marked by circles and arrows]. North lies to the left of picture.](../1405-3322-bsgm-68-02-00247-gf11.png)
Folds. The Cretaceous units show dips varying widely from 10° to 60° [20° to 35° are more common] to various directions [northeast, east, southwest, and southeast are frequent]; however, structural patterns are hard to detect [Figure 8]. López-Doncel et al. (2007, 2008) and Torres-Hernández et al. (2009, 2010), described these fold structures in the area: Anticlines Las Carretas and El Pinto, and Synclines Loma and Ojo de Agua, all trending NW-SE. Our fieldwork show that: (a) Anticlines Las Carretas and El Pinto appear to be the same structure, whereby the northern half is ~1 km left-laterally displaced by an ENE trending strike-slip fault, dubbed here La Presita [after the namesake arroyo where it was observed]. (b) The Syncline Ojo de Agua barely lies in the southeastern part of the area [and it is not readily discernible in the area].
Fractures and Faults. The fluvial network of the area displays two principal sets of directions [NE - SW and NW - SE], and numerous straight arroyos/barrancas [or segments thereof], which strongly suggest structural control of its development, through fractures/faults [see Figure 2]. Torres-Hernández et al. (2009, 2010) described five faults in the area [Figure 8]: La Loma, La Cruz, and San Joaquín [Figure 10], which are normal as well as the thrust faults Morenos in the southeast [Figure 11] and Rancho Nuevo in the southwest. Our fieldwork allowed us to detect additional features [Figure 8]:
(a) Additional normal faults: Los Vazquez, Los Lirios, Guaxalan, San Nicolás [in the east], San Miguel-Lienzo Charro, and Armadillo [in the south and west], the latter three bound the Peotillos-Tolentino Graben, as disclosed by the abrupt lithologic and/or structural discontinuity of the involved unit across such structures, whose exposed vertical throw is at least ~50 - 60 m.
(b) Growth faults. Evidenced by the frequent dip changes within short distances [about 0.4 - 2.0 km], displayed by the San Nicolás Fm. These faults develop synsedimentarily, have continuous displacement, and their planes dip toward the basin [cf. Schlische and Anders, 1996)]; typical growth faults are regional, but here this phenomenon occurred at a much smaller [local] scale, responding to graben sinking [as parts of the San Nicolás Fm. yielded to mounting stress].
(c) The 62° - 65° NE dip of the San Joaquín Fault plane.
(d) The 37° SW dip Morenos Thrust Fault plane, which includes a ~20 m thick cataclastic zone [Figure 11B].
The Peotillos-Tolentino Graben, antecedents. The presence of graben basins in the Sierra Madre Oriental Morphotectonic Province, as well as their genesis [through stress-relaxation, extension, parallel faulting and down-throwing of certain blocks, among other processes], are long known facts [cf. Böse and Cavins (1927), Garfias and Chapin (1949), de Cserna (1956, 1960), Labarthe-Hernández et al. (1982)].
Along this line of thought, López-Doncel et al. (2007) proposed the Peotillos-San Nicolás Tolentino Graben, a 26 km long, northwest-trending structural depression where the clastic sediments eroded from adjacent horsts were deposited. In the area such graben narrows to 1 km wide, and follows the San Nicolas river valley. The eastern and western bounding faults are buried by the Late Cenozoic clastics, but could be reasonably inferred [from the abrupt end of the Cretaceous units making up the horsts]. However, this criterion only holds for the eastern fault, because the purported western fault lies very far -at least 7- from the nearest Cretaceous uplifted blocks [cf. Figure 2]. Finally, this postulated graben ends at the Parallel 22°15' N Lat., which is the southern boundary of the Peotillos Quadrangle area mapped by these authors [López-Doncel et al. (op. cit.)]. These facts led us the disregard this hypothesis.
On the other hand, Torres-Hernández et al. (2009, p. 35 and Fig. 9) and Torres-Hernández et al., 2010), who mapped the adjacent southern quadrangle, just ignored the postulated Peotillos-San Nicolás Tolentino Graben, furnishing no reasons. Instead, they proposed the Morenos Half Graben, a ~10 km long, 2 km wide, NW-trending structure that lies, in the north-central part of Santa Catarina Quadrangle area. The half graben is bounded to the west by the San Joaquín Fault, and to the east by the Morenos Thrust Fault. The Morenos Half graben extends uninterruptedly north in the San Nicolás valley, and in the south, it continues into the Ojo de Agua Syncline [an inferred and ill-defined structure buried by Late Cenozoic clastics (Torres-Hernández et al. (2009, p. 33; Torres-Hernández et al. (2010)]; both structures would occupy the southeastern corner of the area [Figure 8], extending ~3 km further southeast into the adjacent Santa Catarina Quadrangle area.
The evidence to accept the Morenos Half graben hypothesis is scanty and not compelling; these facts are not congruent with it: (a) Structural highs [formed by Cretaceous and Paleogene units] bounded by faults (normal and thrust)] occupy the best part of this very narrow [~2.5 km wide] structure. (b) Such highs stand well above the Río San Nicolás valley, itself part of the half graben. (c) The half graben's southward continuation with the ill-defined Ojo de Agua Syncline. Such facts led us to disregard this hypothesis.
The Peotillos-Tolentino Graben Hypothesis. The failure of the previous hypotheses to explain the Mesozoic and Cenozoic stratigraphic and structural makeup of the San Nicolás Tolentino Area, as discussed above, and the presence of a large, squarish plain [~11.2 km long and at least ~8.5 km wide] located west of San Nicolás Tolentino [cf. Figure 2], which cannot be explained by such hypothesis either, conducted us to propose another hypothesis, the Peotillos-Tolentino Grabenthat could solve the problems just mentioned.
In the area, the Peotillos-Tolentino Graben [Figures 8-9] is a ~15 km long and ~8.5 km wide, NW-trending structural depression where the sedimentary fill [consisting of Quaternary, flat-laying fluvial deposits that unconformably overlie the Late Miocene San Nicolás Fm.] was laid down and preserved. Geomorphically, it includes the squarish plain referred to above. This graben is bound in the east by a horst constituted by the Cretaceous carbonate units and the Early Tertiary volcanic succession; the southern bounding horst has a similar makeup. To the west, the horst largely lies outside the area [in the Villa Hidalgo Quadrangle Sheet area], and is formed by the Cretaceous carbonate sequence. To the north, this graben extends without interruption into the Peotillos Quadrangle Sheet area [cf. López-Doncel et al. 2007, 2008; Torres-Hernández et al., 2009, 2010; Barboza-Gudiño et al., 2002, 2003]. The bounding faults are [Figure 8]: San Nicolás [to the east], San Miguel-Lienzo Charro [to the south] and Armadillos [to the west].
On the other hand, the Quaternary basalt mounds that lie southeast and southwest of Pozo del Carmen [Figures 2, 8], interrupt the squarish plain, and are set normal to the graben trend. They probably were issued through [arcuate] fractures/faults developed after graben-genesis, perhaps during the activity that produced the extensive Late Cenozoic basaltic magmatism in San Luis Potosí [Labarthe-Hernández et al., 1982; Barboza-Gudiño et al., 2002, 2003].
Finally, the Peotillos-Tolentino Graben hypothesis is further supported by these facts: (a) Its structural congruence with the large fractures/faults-pattern described above. (b) The northward diminishing of the Quaternary units' thickness, and of the conglomerate's average clast-size. (c) The clast composition of such units readily reflects its provenance, so that those lying spatially close to the Cretaceous carbonate sequence are dominantly [or purely] calcilithitic; whereas those lying close to the Oligocene volcanics are chiefly [or exclusively] volcarenitic. The conglomerate clasts of the San Nicolás Formation, up to certain extent, display a similar makeup and distribution. So, it is apparent that at least, the Quaternary deposits record Late Cenozoic accumulation of clasts largely shed by actively uplifting block-mountains.
Age of Deformation. The structures developed on the Cretaceous formations were generated during the Laramide Orogeny, by latest Cretaceous-Middle Eocene time, as it is long known [cf. Böse and Cavins (1927), Garfias and Chapin (1949), López-Ramos (1982), Ferrusquía-Villafranca (1993), Morán-Zenteno (1994)]; then the compressional phase ceased, and subsequent relaxation/extension caused block faulting/fracturing, genesis of intermontane, elongate grabens, and magma emplacement via volcanism/intrusion, as it is clearly evidenced in the Central Plateau Morphotectonic Province, particularly in Guanajuato [cf. Fries et al. (1955), Labarthe-Hernández et al. (1982)].
This general model applies well for the area, and only needs minor tailoring, in order to explain these facts: (1) Small scale [a few hundreds of meters] Cretaceous cover-shortening seemingly related to thrusting [Torres-Hernández et al. (2009)] and/or strike-slip faulting [this report]. (2) Late Cenozoic structural rejuvenation and emplacement of alkali-rich mafic magmas via quiescent or explosive volcanism. (3) The presence of silicic synsedimentary tuff sheets at various stratigraphic levels of the graben fill [i.e., San Nicolás Formation, which is moderately deformed and of Late Miocene age]. (4) The presence of Mammuthus [a Pleistocene index-taxon, Bell et al. (2004)] remains in the flat-lying El Jagüey unit, which is largely coeval to the volcanic units described elsewhere, indicates that although the structural deformation and tectonic subsidence ceased by Late Miocene time [the latter certainly did not affect the Quaternary units], magmatism was still occurring in the area by Late Pleistocene time.
4. Results and Discussion II, San Nicolás, a new Miocene Formation
4.1. Nomenclatorial History
Torres-Hernández et al. (2009, p. 22-23) proposed the Lacustre unit (Tom-la) for a clastic sequence of dark yellow to yellowish gray clay, silt and sand beds as well as laterally discontinuous gravel strata occurring at different stratigraphic levels; it is tilted 25° and extensively crops out in central-northwestern Santa Catarina Area, San Luis Potosí, along an intermontane basin in central-western Sierra Madre Oriental Morphotectonic Province. The unit is best exposed in the vicinity of San Nicolás Tolentino Municipal Seat, reaching further northwest into the adjacent Peotillos area [described by López-Doncel et al. (2007, 2008)], where it was not recognized. It is said that this unit unconformably overlies the Oligocene Lacustre (Tom-la) unit in the central portion of the Santa Catarina Sheet Area, and that through an angular unconformity, it underlies Mio-Pliocene conglomerate deposits [the Conglomerado polimíctico-arenisca (Tmpl Cgp-ar) unit (see Torres-Hernández et al. op. cit., p. 23)]; its age is assigned to the Oligocene-Early Miocene interval. Genetically it is interpreted as recording sedimentation in a large lake set in a mountainous country.
The analysis of Torres-Hernández et al. (2009, 2010) text and map, allows us to establish the following facts: (1) The unit's proposal does not meet the requirements of the North American Stratigraphic Code [NACSN (2005), Arts. 2 - 3, 5 - 8, 9 partim, 12 - 14, 15 partim], thus it is an informal unit. (2) The lower contact with the (Tom-la) unit is not plotted on the map, although is portrayed in the stratigraphic column; thus it cannot be verified. (3) The upper contact is not plotted either, in fact, the (Tom-la) and (Tmpl Cgp-ar) units do not share contacts. (4) The evidence for the Oligocene-Late Miocene age assignment, based on the stated stratigraphic relationships, is insufficient. (5) The evidence for the environmental/genetic interpretation is very scarce, and certainly not compelling. Under these circumstances, it is evident the need to formally propose a new unit to include and adequately characterize this sequence.
4.2. Definition
The San Nicolás Formation is proposed to designate the tabular body that crops out in the namesake river valley, which lies in an intermountain basin on central-western Sierra Madre Oriental, making up its Tertiary sedimentary fill, whose characterization would contribute to better understand the post-orogenic history of such morphotectonic province. This unit consists of very pale orange 10YR 8/2, thin to medium bedded, friable to moderately indurated, immature orthoclase-bearing, chertiferous calcilithitic, frequently cross-bedded sandstone, interbedded by similarly-colored, friable to little indurated, laminar to thinly stratified, usually parallel-bedded clay and clayey siltstone, and by grayish orange pink 5YR 7/2, well indurated, pebbly cobble, subround to round clast-supported, volcanite-bearing calcilithitic, conglomerate set in thick to very thick strata, which sometimes show gross cross-bedding. Very light gray N8, friable, thin to medium thick, vitric, rhyolitic ash-fall tuff sheets individually interbed the sequence at different stratigraphic levels. Stratal sets of different clast-size usually vertically superimpose one another, but occasionally they also intertongue. All these features evidence that the sequence was laid down in a fluvial environment. Locally in the upper part, there is a > 6 m thick sequence of moderate orange pink 10R 7/4, friable to little indurated, laminated to thinly, parallel-bedded, clay and clayey silt intercalated by light gray N7, thinly bedded, well indurated limestone largely consisting of glass shards set in a microcrystalline calcite groundmass. These features disclose that this sequence was deposited in a shallow lake alternatively calcite-rich/calcite poor.
The unit's estimated thickness is at least 1100 m; it dominantly dips 15° to N35°E. San Nicolás unconformably overlies the "Santa María Ignimbrite" and so underlies the Quaternary units Puerta del Refugio, Camposanto, El Jagüey and Pozo del Carmen [see above]; its age falls in the Late Miocene. The name is taken from the Río San Nicolás, the chief current of the San Nicolás Tolentino Municipality, where it extensively crops out. The outcrops exposed on the cliffs developed on the Río San Nicolas banks in the Paso del águila-San Nicolás Tolentino segment, constitute the Type Locality. The Stratotype/Type Section lies on the northern slope of Arroyo Los Lirios [at ~1.25 km north-northeast of Paso del águila], the only site where the unit's lower contact is exposed. The unit's outcrop on the cliff of Río San Nicolás' eastern bank, which lies in the straight river-segment, located ~1.2 km south-southeast of Paso del águila, is designated as the Reference Section, there the unit's basic sedimentological and stratigraphic features could be observed.
4.3. Location, Extent and Geomorphic expression
The San Nicolás Formation partly occupies the squarish plain laying between Pozo del Carmen and San Nicolás Tolentino, as well as the narrow valley of the namesake river, largely from the latter village down to Morenos [Figure 2], thus forming an ~15 km long strip, being exposed on the banks, where steep, actively receding cliffs have developed; the recession has already reached the adjacent portions of large tributaries [see Figure 2]. In turn, this fact suggests that such plain is underlain by this formation [see Figures 1-2 and 8].
4.4. Thickness, Lithology and Genetic/Environmental Interpretation
The following facts hamper precisely measuring the actual unit's thickness: (a) It is largely covered by the Quaternary units. (b) It crops out on the ~30 m high cliffs of Río San Nicolás banks. (c) Its stratigraphic continuity is frequently interrupted by faults [which concomitantly causes dip changes between adjacent blocks]. (d) It is monotonous throughout, lacking distinct stratigraphic markers. Hence, such measurement would require greater resources and time than those available for the project.
However, some progress could be done if we make these assumptions: (1) Cliffs adjacent to the river are nearly continuous and hence constitute a long San Nicolás Fm. outcrop. (2) A uniform 15° to N40° E dip. (3) The presence of a representative straight channel segment devoided of major faults [thus providing a continuous stratigraphic section], amenable to direct measuring. The ~4.5 km long channel segment [disregarding sinuosities] between Paso del águila and the bridge placed ~1 km south of San Nicolás Tolentino meets the assumptions; Work done there yields an estimated thickness of ~1100 m.
The San Nicolás Formation is a clastic sequence [Figures 12-13-14-15-16-17] consisting of very pale orange 10YR 8/2, thin to medium bedded, friable to moderately indurated, fine- to coarse grained, immature orthoclase-bearing, chertiferous calcilithitic sandstone [Figures 12F, 13 and 14A-D], interbedded by similarly-colored, friable, clayey siltstone [largely composed of straight-extinction quartz grains] set in thin to medium beds [Figure 12A-E], and by variegate to grayish orange pink 5YR 7/2, well indurated, pebbly cobble, subround to well round clast-supported, volcanite-bearing, calcilithitic conglomerate set in thick to very thick strata [Figure 15C]. The sandstone strata usually exhibit low angle tabular cross-bedding, whereas the clay and siltstone strata show either parallel bedding or laminar to thinly tabular, low angle cross-bedding. On the other hand, the conglomerate strata show no internal bedding or display moderate-scale cross bedding, however given that most clasts are subround to round, no clast-imbrication was discerned. The regional tectonic setting shows that the Peotillos-Tolentino Graben extends to the north, it follows that the dominant fluvial direction was probably from south to north. The composition, texture and sedimentary structures observed in this sequence evidence that it was laid down in a fluvial depositional environment. Further support for this interpretation comes from the sedimentary architecture disclosed by the commonly observed vertical succession of finer-grained and coarser-grained stratal sets and their occasional intertonguing.
![San Nicolás Formation: Chief lithologic and petrographic features I. A. Siltstone/Claystone variety: The site is located ~1.2 km NW of San Nicolás Tolentino, on the eastern cliff carved by the Río San Nicolás. The siltstone is more indurated, and forms poorly developed ledges; the claystone is thickly bedded. East lies to the right of picture. B-C. Photomicrographs of the claystone variety [10X, plane light (B), and crossed nicols (C)]: Scarce feldspar crystals set in an abundant groundmass of microcrystalline calcite and clay. D-E. Photomicrographs of the siltstone variety [4X, plane light (D), and crossed nicols (E)]: Immature, quartz-, ignimbrite-bearing, alkali feldspathic silty claystone. The grains are size-bimodal ("large" and small), mainly consisting of quartz (clear), feldspar (corroded), and lithic fragments set in a groundmass of microcrystalline calcite and clay. F. Sandstone variety: The locality lies ~1.5 km SSE of Paso del águila, on the Río San Nicolás. Alternation of well indurated, medium- to coarse-grained, calcilithitic sandstone set in medium to thick strata, and well indurated, granule to gravel conglomerate set in thin to medium strata; the lower and middle sandstone and conglomerate strata show low angle tabular cross-bedding; upper strata are cut by a channel sandstone/conglomerate body [upper left]. North lies to the left of picture.](../1405-3322-bsgm-68-02-00247-gf12.png)
![San Nicolás Formation: Chief lithologic and petrographic features II. A-B. Photomicrographs of the fine-grained sandstone variety [4X, plane light (A) and crossed nicols (B)]: Immature, fine-grained, chert and orthoclase-bearing calcilithitic sandstone. The groundmass consists of microcrystalline calcite and clay; notice a large limestone fragment. C-D. Photomicrographs of the fine-grained sandstone variety [4X, plane light (C) and crossed nicols (D)]: Immature, fine-grained, chert and orthoclase-bearing calcilithitic sandstone. Description as above, notice a large chert fragment. E-F. Photomicrographs of the coarse-grained sandstone variety [4X, plane light (E), and crossed nicols (F)]: Immature, coarse-grained, ignimbrite-, orthoclase-bearing, chertiferous calcilithitic sandstone. Notice large limestone grains with characteristic parting due to twining.](../1405-3322-bsgm-68-02-00247-gf13.png)
![San Nicolás Formation: Chief lithologic and petrographic features III. A-B. Photomicrographs of the coarse-grained sandstone variety [4X, plane light (A) and crossed nicols (B)]: Immature, coarse-grained, ignimbrite-, orthoclase-bearing, chertiferous calcilithitic sandstone. Description as in Fig. 10A-B. Notice that some spathic limestone fragments show partial replacement by chert. C-D. Photomicrographs of the very coarse-grained sandstone variety [4X, plane light (C), and crossed nicols (D)]: Immature, very coarse-grained, ignimbrite-bearing, chertiferous sandstone. Notice large fragments of ignimbrite [upper left] and dolomite fragments; spathic calcite fills the interstitial space. E-F. Photomicrographs of calcretes, incipient development [4X, plane light (E), and crossed nicols (F)]: Veinlets of sparry calcite crystals start to locally replace the groundmass of microcrystalline calcite and clay.](../1405-3322-bsgm-68-02-00247-gf14.png)
![San Nicolás Formation: Chief lithologic and petrographic features IV. A-B. Photomicrographs of calcretes, advanced development [4X, plane (A), and crossed nicols (B)]: The spar crystals are large and make up much of the rock volume. C. Conglomerate variety: The locality Las Pozas [= small ponds] lies ~0.5 km SW of Paso del águila. Well indurated, clast-supported, cobbly pebble calciclithitic conglomerate set in medium to thick strata dipping 15° NE. East lies to the right of picture. D-E. Lacustrine limestone variety: The site lies ~2 and 2.2 km NW of Paso del águila ["area of canyons"]. D. The brecciated limestone bed on the cliff's top overlies a mediumly thick bed of very friable claystone [lamination is vaguely discernible], underlain by poorly indurated, thinly bedded clayey siltstone [colored white by the limestone wash], which overlies a thin sheet of friable, rhyolitic ash-fall tuff [light gray zone on the lower part, marked by arrows]. North lies to the left of picture. E. Well indurated lacustrine limestone set in thin to medium strata interbedded by friable to moderately indurated silty claystone set in medium to thick strata; the upper limestone beds are strongly weathered to a sheet of breccia-like material. North lies to the left of picture. F. Photomicrograph of the lacustrine limestone variety [10X, plane light]: Volcanic glass shards [mainly of the splinter type] set in a groundmass of microcrystalline calcite.](../1405-3322-bsgm-68-02-00247-gf15.png)
![San Nicolás Formation: Chief lithologic and petrographic features V. A. Photomicrograph of the lacustrine limestone variety [10X, plane light]: Volcanic glass shards [largely of blocky type] set in a groundmass of microcrystalline calcite. B. Photomicrograph of the lacustrine limestone variety [X10, plane light]: Volcanic glass shards [Y- and splinter types dominate] set in a groundmass of microcrystalline calcite. C. Photomicrograph of the lacustrine limestone variety [10X plane light]: Volcanic glass shards [mainly blocky- and splinter-types] set in a groundmass of microcrystalline calcite. D-F. Tuff sheets: The sites lie ~2.2 and 2.4 km NW of Paso del águila ["area of canyons"], and correspond to two different canyons. D. A small lacustrine sequence consisting of poorly indurated, laminated to very thinly bedded clayey siltstone [upper part] overlying a thin sheet of friable, vaguely laminated rhyolitic ash-fall tuff [marked by arrows], and friable, clay- and silty claystone [lower part]. North lies to the left of picture. E. Same lacustrine sequence: The tuff sheet [white zone marked by an arrow] is more clearly discernible here. North lies to the left of picture. F. Close up of the tuff sheet. North lies to the left of picture.](../1405-3322-bsgm-68-02-00247-gf16.png)
![San Nicolás Formation: Chief lithologic and petrographic features VI, and stratigraphic relationships. A-B. Photomicrographs of the tuff [10X, plane light]: A. Volcanic unwelded glass shards [splinter- and blocky types dominate]. B. Volcanic unwelded glass shards [largely splinter- and blocky-types], at center a small gas bubble with its wall intact. C. San Nicolás Formation Lower contact: The site lies on Arroyo El Portillo, located 1.25 km NNE of Paso del águila. The "Santa María Ignimbrite" unconformably underlies San Nicolás [basal conglomerate]; contact marked by a punctuate line and an arrow. East lies to the right of picture. D. San Nicolás Formation Upper contact: The locality is placed ~1.5 km SSE of Paso del Aguila, on the cliff carved by Río San Nicolás. The nearly flat lying Camposanto unit [conglomerate facies] unconformably overlies the San Nicolás Formation, which dips 15° NE; contact marked by a punctuate line and an arrow. East lies to the right of picture.](../1405-3322-bsgm-68-02-00247-gf17.png)
Locally [site placed ~1 km NW of Paso del águila], a four to six meters thick, fine-clastic lacustrine sequence overlies/intertongues the fluvial sequence's upper part; it consists of moderate orange pink 10R 7/4, friable, laminar to thinly bedded clay and clayey silt, intercalated by light gray N7, thin to medium bedded lacustrine limestone chiefly consisting of volcanic glass shards (~30 - 40 % of rock volume) set in microcrystalline calcite groundmass [Figures 15D-F and 16A-C]. Both have parallel bedding. The composition and sedimentary structures observed in this sequence, evidence that it was laid down in a shallow lake/pond, where clastic and carbonate deposition were taking place.
Additionally, very light gray N8, thin to mediumly thick [0.2 - 0.4 m thick] strata of white, friable, vitric, silicic/rhyolithic ash-fall tuff are interbedded in the sequence at several stratigraphic levels [Figure 16D-F and 17A-B], which evidences synsedimentary explosive volcanic activity contemporaneous with this unit's deposition. It should be noted that the glass shards of both the lacustrine limestone and the ash-fall tuff show the same characteristics and range of morphic types [sensuHeiken and Wohletz (1992)], whereby the Y-shaped, blocky and splinter types are more common.
The above description discloses that the sequence includes the full sedimentary textural [from clay- to block-size clasts forming very thin to thick strata, with or without cross stratification], and facies spectra [lithofacies Gm, SI-FI, Gp, Sr, Si, FI, Gms (sensuMiall, 2006)], which in turn form intricate depositional facies associations [from channel to flood plain], thus developing a complex fluvial architecture [both laterally and vertically] that discloses sedimentary cyclicity.
Chief petrographic features of siltstones and sandstones [Figures 12-13, and 14A-D]. The clast-composition spectrum include: "Clays", quartz, largely of straight extinction type; plagioclase and alkali feldspars, which are less abundant than the former; glass shards that may be abundant in some strata; micas and other minerals are rare. Limestone grains are a major component of sandstones. Andesite, rhyolite and ignimbrite lithoclasts are rare, but may be locally common. Grains are usually anisodiametric, angular to subangular. Matrix is abundant for the most part. Calcite cement is frequent, abundant in well indurated rocks. Textural maturity is low/poor. Compositionally, the sandstone s.l. is calcilithitic. It should be noted that in some places, the fine-grained varieties [largely claystone and siltstone] may show calcrete developments [Figures 14E-F and 15A-B], and even have been altered to paleosols; this subject is further addressed in Part 2, this issue.
Chief petrographic features of conglomerates s.l. [Figure 15C]. The clast-composition spectrum includes limestone [chiefly micritic, marly, and reefal], chert, and "vulcanite" [mainly andesite, rhyolite, rhyolitic ignimbrite, and basalt]. Clasts are isodiametric to moderately elongated, rounded to subrounded, but may occasionally be angular to subangular. Matrix [usually sandy to silty] is scarce in clast-supported conglomerates, and abundant in the matrix-supported ones; the first variety is more common. Calcite cement is abundant in the clast-supported variety, which tends to be well indurated. Compositionally, the conglomerates vary from "monomictic"/oligomictic to "dimictic"/polymictic. In the first type, the conglomerate may be calcilithitic [limestone clasts are the most abundant component] or volcarenitic [andesitic, basaltic, and/or ignimbritic clasts dominate]. In the second type, the clasts belong to two or more rock classes. In turn, the composition discloses the source-area [Cretaceous carbonates, Tertiary volcanics, or mixed]; this fact is very significant to understand this unit's clasts provenance, and ultimately its origin.
4.5. Stratigraphic relationships
The San Nicolás Formation overlies the "Santa María Ignimbrite" through an angular [at least 15°-20°] unconformity, as seen in Arroyo El Portillo, by the stratotype site of the former unit [Figure 17C]; elsewhere, it unconformably overlies the Cretaceous formations, and/or the "Santa María Ignimbrite" as well. The stratigraphic contact with the overlying Quaternary units is also unconformable, both erosional and angular [Figure 17D]. In several places, various types of modern soils and paleosols [i.e., soils whose chemical and physical characteristics have no relationship with the present-day climate or vegetation, they may be covered or exposed] have been detected along this contact. Modern soils units include two types: (a) Shallow, stony soils having only the weakest development of horizons, v.g. Phaeozems and Cambisols. (b) Soils having no profile development other than an A horizon; thus showing little or no alteration from their parent material, v.g. Leptosols, Regosols. Paleosol units include Fluvisols, Calcisols, and Phaeozems; they indicate long periods of non-sedimentation. This subject is further addressed in Part 2, this issue.
4.6. Structure
The San Nicolás Formation shows a dominant 15° to N 35°E dip [Figures 2 and 18], however the dip may vary from quasi-horizontal to 40°, and the dip-strike varies between N28°-45°E [hence true strata-strike is N32°-45°W]; local faults may modify the "regional" dip. It should be noted that most observed faults lie NE [i.e., normal to the Rio San Nicolás cliffs, where the San Nicolás Formation is best exposed], and likely evidence structural accommodation of the unit as the basin subsided pari pasu with sedimentation. Less likely, they may indicate a post-Laramidic (Miocene) extensional episode, however none has been described in the region [cf. Labarthe-Hernández et al. (1982), SGM (1992)].

4.7. Fossil Content
We collected from fine-grained strata [floodplain facies] in several sites near Paso del águila the small but significant namesake local fauna [Ferrusquía-Villafranca et al. (2014)]; it includes [Table 1] chelonian and mammalian remains [artiodactyls and perissodactyls]. The most important taxon is a new species of the grazing horse, Pliohippus potosinus. The fauna is suggestive of a savanna set near a forest. A small palynoflora was retrieved too from this unit, its composition discloses savanna/forest vegetation types; this in turn indicates that much moister conditions prevailed during San Nicolás Fm. deposition time than at present. This subject is fully addressed in Part 2, this issue.
![Paso del águila local fauna, Clarendonian [early Late Miocene] San Nicolás Formation, San Luis Potosí, México.](../1405-3322-bsgm-68-02-00247-gt1.png)
4.8. Age and Correlation
4.8.1. Age
The equine Pliohippus potosinus, based on a rostral fragment bearing incisors, canines, premolars and molars, shows a suite of characters that indicate a morphological/evolutionary stage comparable to that of the Late Clarendonian-Early Hemphillian Pliohippus species from western and southern United States [cf. Kelly (1995, 1998), Ferrusquía-Villafranca et al. (2014)]. This biochronologic time span [ca. 10-8 Ma] corresponds to the Late Miocene. On this basis, both the Paso del águila fauna and its bearing unit, the San Nicolás Formation, are assigned to the Late Miocene.
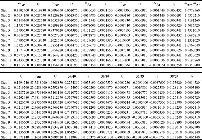
39Ar-40Ar datings of tuff sheets seemingly associated to the fossil-bearing strata lend further support to this assignment. The reservation stems from the lack of physical continuity between the fossiliferous strata and the dated tuff sheets. Anyway, samples from the lower tuff sheet [a white, ~0.2 m thick, friable, vitric, silicic ash-fall tuff], placed it stratigraphically below the fossiliferous beds, yielded discordant ages [Table 2 and Appendix A] as follows: Glass, 10.99 ± 0.22 Ma. Feldspar, 22 ± 10 Ma. Biotite, 15.22 ± 0.19 Ma. Samples from the upper sheet placed it above the fossiliferous strata, and also yielded discordant ages: Glass, 7.41 ± 0.31 Ma. Biotite, 12.33 ± 0.83 Ma. Notice that the lower tuff sheet consistently yielded older ages than the upper one, a fact that lends credence to the results [in spite of their discordance]. In both instances, glass ages were closer to the biochronologic dating, and would bracket the true age within the Late Miocene.

The discrepancies however, disclose age-determination problems [e.g. feldspar mixing, biotite Ar-enrichment from magma chamber, age statistical validation, and limited sampling], which add to the stratigraphic uncertainty about the relative position of the tuff sheets respect to the fossiliferous strata. All this lead us to regard the San Nicolás Fm Late Miocene age assignment as likely, not as definitive. Clearly, additional work is needed to solve the problem.
4.8.2. Correlation
As mentioned earlier, there are very few continental sedimentary Tertiary formal lithostratigraphic units known from Mexico, and certainly none from the Sierra Madre Oriental Morphotectonic Province, where the San Nicolás Fm. lies. Pliohippine horses have been described from Hemphillian [Late Miocene] strata in Guanajuato, Central Plateau Morphotectonic Province and Jalisco, Trans-Mexican Volcanic Belt Morphotectonic Province, but no formations were proposed [cf. Carranza-Castañeda (2006)]. The so called "Baucarit Formation" from the Miocene of Sonora, Basin and Range Province, might partly chrono-correlate with San Nicolas, but its formal status is far from settled [cf. Miranda-Gasca and DeJong (1992), De la O-Villanueva (1993)].
4.9. San Nicolás Formation Stratotype
The necessity to formally establish this new lithostratigraphic unit was adequately argued in the nomenclatorial history, therefore now, the corresponding Stratotype, and at least one Principal Reference Section, must be designated and described. Ideally such sections should include a representative part of the thickness [usually as much as possible], where the major lithic, stratal, structural and stratigraphic features of the unit are adequately displayed, including lower and upper contacts. [NACSN (2005, Art. 8)]. However, the following facts force us to include in our selected stratigraphic sections, only a fraction of the whole formation thickness:
(1) San Nicolás Fm. is extensively covered by Quaternary deposits, soil and thorn and thicket vegetation; therefore it is exposed only in places where the fluvial network has incised beyond this depth, i.e., mainly along the Río San Nicolás [from Paso del águila to Morenos, and small, adjacent tributaries' segments], where it is exposed on the cliffs [common height ~30 m].
(2) Its stratigraphic continuity is frequently interrupted by faults [which concomitantly causes dip changes between adjacent blocks], so that only blocks > 400 m long were continuous.
(3) San Nicolás Fm. is monotonous throughout, lacking distinct stratigraphic markers.
(4) Its lower contact [with the "Santa Maria Ignimbrite"] does not crop out along the Río San Nicolás [where the unit is best exposed and displays its greatest thickness].
Under these circumstances, we selected as Stratotype, a section where this formation's lower contact is exposed, notwithstanding the fact that it is relatively small; and as Principal Reference Section, one where the unit's basic sedimentary/stratigraphic attributes could readily be observed.
The position and approximate trace of the stratotype section is shown on Figure 18, it strikes nearly east-west [~N78°E] for some 400 m. The section lies on the northern slope of the small Arroyo El Portillo, the starting point is located ~1.25 km N12°E of Paso del águila, at 1615 masl Alt., 22°17'15.4" N Lat. and 100°34'24.3" W Long; the line of section gradually climbs up to the local hill-summit [sited at 1645 masl Alt., 22°17'15.9" N Lat. and 100°34'23.9" W. Long.], which lies close to the trail that connects that village with the Vara Dulce Dam. The San Nicolás Formation strata strike N40°W and dips 15° to N30°E. The lithology is somewhat monotonous. The section was measured with Brunton compass, a modified Jacob's staff, and a 5 meter long steel tape [measurements were direct], and it is illustrated in Figures 19-20.

![San Nicolás Formation Stratotype's selected illustrations. A-D. The site lies on the Arroyo El Portillo, located 1.25 km NNE of Paso del águila: A. Lower units [largely formed by a rhythmic alternation of conglomerate and sandstone/siltstone strata] unconformably laying over the "Santa María Ignimbrite." East lies to the right of picture. B. Lower middle units [chiefly consisting of calcilithitic siltstone and conglomerate strata, the latter are less numerous]; one of the authors stands just above one such conglomerate bed. North lies to the right of picture. C. Middle upper units [mainly formed by calcilithitic silty claystone and clayey siltstone strata], note on the base a medium thick stratum of friable, rhyolitic ash-fall tuff. North lies to the right of picture. D. Upper units [chiefly consisting of calcilithitic clayey siltstone and sandstone strata] unconformably overlain by the Quaternary Camposanto unit [conglomerate facies]. North lies to the right of picture.](../1405-3322-bsgm-68-02-00247-gf20.png)
4.10. San Nicolás Formation: Principal Reference Section
The position and approximate trace of the Principal Reference Section is shown on Figure 18, it strikes N15°E for some 450 m. The section lies on the western cliff of a nearly straight, segment of the Río San Nicolás. The "starting point" is the mouth of a small western tributary that reaches a river-bend located ~1.5 km SSE of Paso del águila, at 1479 masl, 22° 15' 44.2" N Lat., and 100° 34' 08.8" W Long. However, the exposure is poor or the strata lie nearly horizontally, so the section actually starts where the first northeast-dipping strata crop out [a site which lies ~200 m north of the "starting point"]; from here the line of section follows upstream the river course until reaching the first upstream bend, on whose middle part, a normal fault interrupts the stratigraphic section; it is located at 1495 masl, 22° 15' 50.2" N Lat. and 100° 34' 07.9" W Long. The San Nicolás Formation strata strike N40°W and dips 15° to NE. The lithology is somewhat monotonous. The section was measured with Brunton compass and a 50 meter long steel tape [the length intervals so obtained were trigonometrically converted to true unit thicknesses], and it is illustrated in Figures 21-23.

![San Nicolás Formation Principal Reference Section's selected illustrations I. A-D. The sites lie by Río San Nicolás ~600 m SE of Paso del águila [see Figure 18]. A. Lower units [chiefly consisting of an alternation of well indurated, calcilihitic sandstone, friable clayey siltstone, and conglomerate strata], local dip is 25° NE. North lies to the right of picture. B. Lower units [next interval above], the conglomerate strata are more abundant. North lies to the right of picture. C. Lower units [next interval above], sandstone/siltstone and conglomerate strata are nearly equally abundant. North lies to the right of picture. D. Middle units [partly covered interval], thick sandstone and conglomerate strata are discernible. North lies to the right of picture.](../1405-3322-bsgm-68-02-00247-gf22.png)
![San Nicolás Formation Principal Reference Section's selected illustrations II. A-D. The sites lie by Río San Nicolás ~850 km SE of Paso del águila [see Figure 18]. A. Middle units [partly covered interval], alternation of well indurated, pebble-cobble calcilithitic conglomerate set in medium strata, and moderately indurated, low angle tabular cross-bedded calcilithic sandstone set in thick strata [about 4-6 times thicker than the conglomerate beds]. North lies to the up of picture. B. Closer view of A. East lies to the right of picture. C. Upper units [partly covered interval], well indurated, cobble, calcilithitic clast-supported conglomerate set in thick strata, sparsely interbedded by well indurated, calcilithitic sandstone. East lies to the right of picture. D. Upper units. Closer view of intertonguing between low angle tabular cross-bedded sandstone and pebble to cobble conglomerate; in few places this relationship is so well exposed. East lies to the right of picture. E. Stratal set outside the Principal Reference Section. Alternation of well indurated, calcilithitic sandstone set in thick, ledge-like strata, and friable to moderately indurated clayey siltstone; here dip [~10° to SW] is opposite to the one observed till now, which evidences faulting. North lies to the left of picture.](../1405-3322-bsgm-68-02-00247-gf23.png)
5. Regional significance of the Peotillos-Tolentino Graben and of its sedimentary fill
The Peotillos-Tolentino Graben/Basin is just one of the several intermontane grabens/basins of the Sierra Madre Oriental Morphotectonic Province [= SMO; cf. SGM (1991, 1992, 1993, 2008, 2011), particularly the state maps]; they developed after the Laramide Orogeny compressive phase [which caused contraction, folding, high to low angle reverse faulting (and even transcurrent faulting under appropriate conditions)] ceased to operate, and an extensional regime ensued, producing block-faulting, graben-genesis, deposition of continental molasses on the basins thus formed, as well as magmatic emplacement.
On the other hand, the geomorphology, structure and makeup of this province varies enormously throughout [cf.SGM (1991, 1992, 1993, 2008, 2011)], which evidences not-uniformity of the generating stress field, and of the affected sedimentary cover, thus calling for important local/subregional differences in extent/volume of the graben fill, timing and duration of deposition, structural deformation, volcanic involvement, sedimentary supply, depositional and systems actually developed in each particular graben/basin. Therefore, each graben/basin must be individually studied to unravel its makeup and history.
The holistic approach used to study the Peotillos-Tolentino Graben fill that allowed us to delineate and understand its tectono-sedimentary evolution, could be applied to study other intermontane grabens/basins of SMO, whereby generating across the province data on the age/development of graben-genesis, extent of subsidence/accommodating space [fill volume is a function of it] in particular grabens, prevailing climate regime at the time of sedimentary fill deposition, and timing of such processes. The parsimonious integration of these data would greatly improve our knowledge on the Cenozoic geologic evolution of the Sierra Madre Oriental. As a parenthetic note, it should be observed that some SMO intermontane basins, structurally correspond to synclines or synclinoria, however, their filling by continental molasses is grossly similar to that of grabens, hence they in principle, are amenable to study using this approach.
6. Summary and conclusions
1.The geologic review of the San Nicolás Tolentino Area, Central San Luis Potosí, southwestern Sierra Madre Oriental, shows that it bears the Peotillo-Tolentino Graben, a NNW-elongate structure bound by horsts consisting of folded and faulted Cretaceous carbonate and Paleogene volcanic units, where by Late Miocene time a continental clastic fluvio-lacustrine sequence was deposited, which is the San Nicolás Formation [new].2.San Nicolás Formation largely records fluvial deposition in an actively subsiding basin, under humid to subhumid conditions that foster vigorous erosion of large volumes of clastic sediments from the horsts, as well as the development of a competent axial fluvial network draining northward, capable of transporting/depositing such large sedimentary volumes. Tectono-sedimentary-climatic conditions remained stable long enough to allow the deposition of a ~1100 m thick stratal pile, which records the recurrent/cycling superimposing of sheet-like sedimentary bodies, as well as coeval intermittent silicic explosive volcanism outside, but near the basin. Deposition ceased by post-Late Miocene time, and was reassumed till the Quaternary.3.The holistic approach used to study the Peotillos-Tolentino Graben, one of the many post-orogenic, intermontane grabens of the Sierra Madre Oriental Morphotectonic Province [whose geomorphology, structure and makeup varies enormously throughout], may fruitfully be employed to generate data on the age of graben genesis, extent of subsidence/accommodating space, prevailing climate at the time of fill deposition, and timing of such processes across this province, which upon integration will produce an improved and reliable understanding of the Cenozoic makeup and evolution of the Sierra Madre Oriental.
References
American Commission on Stratigraphic Nomenclature (ACSN), 1961, Code of Stratigraphic Nomenclature: Tulsa, OK, Bulletin of the American Association of Petroleum Geologists, 45, 645-665.
American Commission on Stratigraphic Nomenclature (ACSN), 1970, Code of Stratigraphic Nomenclature: Tulsa, OK, American Association of Petroleum Geologists, 45 p.
Adkins, W.S., 1930, New rudistids from the Texas and Mexican Cretaceous: University of Texas Bulletin, 3001, 77-100.
Alencáster, G., Torres-Hernández, J.R., Tristán-González, M., Barboza-Gudiño, R., López-Doncel, R., Pons, J.M., Omaña, L., 1999, El Abra Formation in the western part of the Valles-San Luis Platform (México): Erlangen-Nürnberg, Fifth International Congress on Rudists, Erlanger Geologische, Sonderband 3, 7-8.
Barboza-Gudiño, R., López-Doncel, R., Mata-Segura, J.L., 2002, Carta Geológico-Minera Villa Hidalgo F14-A74, escala 1:50000: México, Estado de San Luis Potosí, Secretaría de Economía, Consejo de Recursos Minerales y Universidad Autónoma de San Luis Potosí-Instituto de Geología, texto explicativo de la carta 42 p.
Barboza-Gudiño, R., Torres-Hernández, J.R., Maldonado-Lee, J.M., Rosales-Franco, E., 2003, Carta Geológico-Minera Villa Hidalgo F14-A74, escala 1:50000, Estado de San Luis Potosí: Secretaría de Economía, Servicio Geológico Mexicano y Universidad Autónoma de San Luis Potosí-Instituto de Geología, 1 mapa.
Bell, C.J., Lundelius Jr., E.L., Barnosky, A.D., Graham, R.W., Lindsay, E.H., Ruez Jr., D.R., Semken Jr., H.A., Webb, S.D., Zakrzewski, R.J., 2004, The Blancan, Irvingtonian, and Rancholabrean mammal ages, Woodburne, M.O. (ed.), Late Cretaceous and Cenozoic Mammals of North America: New York, Columbia University Press, 232-314.
Boggs, S. Jr., 2009, Petrology of sedimentary rocks: Cambridge, U.S.A., Cambrige University Press, 600 p.
Bonet, F., 1952, La facies Urgoniana del Cretácico Medio en la región de Tampico: Boletín de la Asociación Mexicana de Geólogos Petroleros, 4, 153-262.
Böse, E., Cavins, O.A., 1927, The Cretaceous and Tertiary of Southern Texas and Northern Mexico and Cretaceous ammonites from Texas and Northern Mexico: Austin, TX, Bureau of Economic Geology, University of Texas Bulletin, 2748, 357 p.
Carranza-Castañeda, O., 2006, Late Tertiary fossil localities in Central Mexico between 19°-23° N, Carranza-Castañeda, O., Lindsay, E.H. (eds.), Advances in Late Tertiary Vertebrate Paleontology in Mexico and the Great American Biotic Interchange: Mexico, D.F., Universidad Nacional Autónoma de México, Instituto de Geología and Centro de Geociencias, 45-60.
Carrillo-Bravo, J., 1971, La Plataforma Valles-San Luis Potosí: Boletín de la Asociación Mexicana de Geólogos Petroleros, 23, 1-102.
De Cserna, Z., 1956, Tectónica de la Sierra Madre Oriental de México entre Torreón y Monterrey: México, D.F., Congreso Geológico Internacional, XXa Sesión.
De Cserna, Z., 1960, Orogenesis in time and space in Mexico: Geologische Rundscahu, 50, 595-605.
De la O-Villanueva, M., 1993, Sedimentología y petrografía de la Formación Báucarit (Mioceno) en la cuenca de Tonichi-La Dura, Sonora, México: Linares, N.L., Facultad de Ciencias de la Tierra, Universidad Autónoma de Nuevo León, Tesis de Maestría, 88 p.
Ferrusquía-Villafranca, I., 1993, Geology of Mexico: A Synopsis, Ramammoorthy, T.P., Bye, R.A., Lot, A., Fa, J. (eds.), Biological diversity of Mexico: Origins and distribution: New York, Oxford University Press., Chapter 1, 3-107.
Ferrusquía-Villafranca, I., Ruiz-González, J.E., Martínez-Hernández, E., Torres-Hernández, J.R., Woolrich-Piña, G., 2014, A new miocene local fauna from the Sierra Madre Oriental at San Luis Potosí, central-east Mexico, and its paleontologic significance: Geobios, 47, 199-220.
Fisher, R.V., Schmincke, H.U., 1984. Pyroclastic Rocks, Berlín: Springer-Verlag, 472 p.
Folk, R.L., 1974, Petrology of sedimentary rocks: Austin, Hemphill, 184 p.
Fries, C Jr., Hibbard, C.W., Dunkle, D.H., 1955, Early Cenozoic vertebrates in the Red Conglomerate at Guanajuato Mexico: Smithsonian Miscellaneous Collections, 123, 1-25.
García, E., 1990, Climas, IV.4.10, escala 1:4000000: México, D.F., Universidad Nacional Autónoma de México, Instituto de Geografía, Atlas Nacional de México, II, 1 mapa.
Garfias, V.R., 1915, The oil region of northeastern Mexico: Economic Geology, 10, 195 p.
Garfias, V.R., Chapin, T.C., 1949, Geología de México: México, Jus, 202 p.
Garza-Blanc, S.A., 1978, Cartografía geológica Hoja Santa Catarina: México, Estado de San Luis Potosí, Universidad Autónoma de San Luis Potosí, Instituto de Geología y Metalurgia, Folleto Técnico No. 61, 40 p.
Guzmán, E.J., de Cserna, Z., 1962, Tectonic history of Mexico, Childs, O.E., Beebe, W.B. (eds.), Backbone of the Americas-Tectonic history from Pole to Pole: American Association of Petroleum Geologists Memory, 2, 113-121.
Heiken, G., Wohletz, K., 1992, Volcanic ash: Berkeley, CA., University of California Press, 246 p.
Heim, A., 1940, The front ranges of Sierra Madre Oriental, México, from Ciudad Victoria to Tamazunchale: Eclogae Geologica Helvetica, 33, 313-352.
Imlay, R.W., 1944a, Geology of the western Part of the Sierra de Parras: Geological Society of America Bulletin, 47, 1091-1152.
Imlay, R.W., 1944b, Cretaceous formations of Central America and Mexico: American Association of Petroleum Geologists Bulletin, 28, 1077-1195.
Instituto Nacional de Estadística, Geografía e Informática (INEGI), 2005a, Carta Topográfica Peotillos F14-A75, escala 1:50000: México, Aguascalientes, Aguascalientes, Instituto Nacional de Estadística, Geografía e Informática, 1 mapa.
Instituto Nacional de Estadística, Geografía e Informática (INEGI), 2005b, Carta Topográfica Santa Catarina F14-A85, escala 1:50000: México, Aguascalientes, Aguascalientes, Instituto Nacional de Estadística, Geografía e Informática, 1 mapa.
Ingram, R.L., 1954, Terminology for the thickness of stratification and parting units in sedimentary rocks: Geological Society of America Bulletin, 65, 937-938.
Kelly, T.S., 1995, New Miocene horses from the Caliente Formation, Cuyama Valley Badlands, California: Natural History Museum of Los Angeles County, Contributions in Science, 455, 1-33.
Kelly, T.S., 1998, New Miocene equid crania from California and their implications for the phylogeny of the Equine: Natural History Museum of Los Angeles County, Contributions in Science, 473, 1-43.
Labarthe-Hernández, G., Tristán-González, M., 1978, Cartografía geológica [de la] Hoja San Luis Potosí, Instituto de Geología y Metalurgia, Folleto Técnico No. 59, 40 p.
Labarthe-Hernández, G., Tristán-González, M., 1980, Cartografía geológica [de la] Hoja San Francisco, S.L.P., Instituto de Geología y Metalurgia, Folleto Técnico No. 67, 32 p.
Labarthe-Hernández, G., Tristán-González, M., Aranda-Gómez , 1982, Revisión estratigráfica del Cenozoico de la parte central del Estado de San Luis Potosí: Universidad Autónoma de San Luis Potosí, Instituto de Geología y Metalurgia, Folleto Técnico No. 85, 208 p.
López-Doncel, R., Soto-Araiza, R.G., Dircio-Castro, D., 2007, Carta Geológico-Minera Peotillos F14-A75, escala 1:50000, Estado de San Luis Potosí: Secretaria de Economía, Servicio Geológico Mexicano y Universidad Autónoma de San Luis Potosí-Instituto de Geología, texto explicativo de la carta, 67 p.
López-Doncel, R., Soto-Araiza, R.G., Dircio-Castro, D., 2008, Carta Geológico-Minera Peotillos F14-A75, escala 1:50000, Estado de San Luis Potosí: Secretaria de Economía, Servicio Geológico Mexicano y Universidad Autónoma de San Luis Potosí-Instituto de Geología, 1 mapa.
López-Ramos, E., 1982, Geología de México: México D.F., Edición Privada, Tomo II, 454 p.
Miall, A.D., 2006, 4Printing, The geology of fluvial deposits: Berlin, Springer-Verlag, 582 p.
Miranda-Gasca, M.A., DeJong, K.A., 1992, The Magdalena mid-Tertiary extensional basin, Clark, K.F., Roldán-Quintana, J., Schmidt, R.H. (eds.), Geology and mineral resources of northern Sierra Madre Occidental, Mexico: El Paso, Geological Society, Guidebook for the Field Conference, 377-384.
Morán-Zenteno, D.J., 1994, The Geology of the Mexican Republic: Tulsa, OK, American Association of Petroleum Geologist, Studies in Geology, 39, 160 p.
Muir, J.M., 1934, Limestone reservoir rocks in the Mexican Oil Fields: Tulsa, OK, Problems of Petroleum Geology, American Association of Petroleum Geologist, Special Publications, 377-398.
Murray, G.E., 1961, Geology of the Atlantic and Gulf Coast Provinces of North America: New York, Harper and Brothers, 692 p.
Myers, R., 1968, Biostratigraphy of the Cárdenas Formation (Upper Cretaceous) S.L.P.: Paleontología Mexicana, 24, 1-89.
North American Commission on Stratigraphic Nomenclature (NACSN), 1983, North American Stratigraphic Code: American Association of Petroleum Geologist, Bulletin, 67, 841-875.
North American Commission on Stratigraphic Nomenclature (NACSN), 2005, North American Stratigraphic Code: American Association of Petroleum Geologist, Bulletin, 89, 1547-1591.
Pichardo, B.Y., 2006, Microfacies carbonatadas del Cretácico en el margen occidental de la Plataforma Valles-San Luis Potosí, centro-noreste de México: España, Universidad Autónoma de Barcelona, Departamento de Geología, Unidad de Paleontología, Tesis de Maestría, 79 p.
Schlische, R.W., Anders, M.H., 1996, Stratigraphic effects and tectonic implications of the growth of normal faults and extensional basins, Berata, K. (ed.), Reconstructing the History of the Basin and Range Extension using Sedimentology and Stratigraphy: Geological Society of America, 303, 183-203.
Schmid, R., 1981, Descriptive nomenclature and classification of pyroclastic deposits and fragments: Recommendations of the International Union of Geological Sciences Subcommission on the Systematics of Igneous Rocks: Geology, 9, 41-43.
Servicio Geológico Mexicano (SGM, antes Consejo de Recursos Minerales [CRM]), 1991, Monografía Geológico Minera del Estado de Zacatecas: México, Secretaría de Energía, Minas e Industria Paraestatal; Secretaria de Minas; Consejo de Recursos Minerales, 154 p.
Servicio Geológico Mexicano (SGM, antes Consejo de Recursos Minerales [CRM]), 1992, Monografía Geológico Minera del Estado de San Luis Potosí: México, Secretaría de Energía, Minas e Industria Paraestatal; Secretaria de Minas; Consejo de Recursos Minerales, 218 p.
Servicio Geológico Mexicano (SGM, antes Consejo de Recursos Minerales [CRM]), 1993, Monografía Geológico Minera del Estado de Coahuila: México, Secretaría de Energía, Minas e Industria Paraestatal; Secretaria de Minas; Consejo de Recursos Minerales, 154 p.
Servicio Geológico Mexicano (SGM), 2008, Carta Geológico-Minera Estado de Nuevo León, escala 1:500000: México, Servicio Geológico Mexicano, 1 mapa.
Servicio Geológico Mexicano (SGM), 2011, Panorama Minero del Estado de Tamaulipas (Incluye el mapa geológico estatal, escala 1:250000, designado aquí Infraestructura de Información Geológico-Minera Básica del Servicio Geológico Mexicano): México, Servicio Geológico Mexicano , 52 p.
The Rock-Color Chart Committee, 1995, Rock-Color Chart, with genuine Munsell color chips: Geological Society of America, 16 p.
Torres-Hernández, J.R., 1994, Evolución estructural de la Sierra de Guadalcázar, San Luis Potosí: México, Universidad Nacional Autónoma de México, Facultad de Ciencias, Tesis de Maestría, 77 p.
Torres-Hernández, J.R., Tristán-González, M., 2000, Carta Geológico-Minera Guadalcázar F14-A75, escala 1:50000: México, Estado de San Luis Potosí, Consejo de Recursos Minerales y Universidad Autónoma de San Luis Potosí, Instituto de Geología, 1 mapa (incluye texto explicativo de la carta 22 p.).
Torres-Hernández, J.R., Barboza-Gudiño, R., Rodríguez-Ríos, R., Saucedo-Girón, R., Tristán-Capetillo, C., García-Pérez, K., 2009, Carta Geológico-Minera y Geoquímica Santa Catarina F14-A85, escala 1:50000: México, Secretaria de Economía, Servicio Geológico Mexicano y Universidad Autónoma de San Luis Potosí-Instituto de Geología, texto explicativo de la carta, 83 p.
Torres-Hernández, J.R., Rodríguez-Ríos, R., Barboza-Gudiño, R., Saucedo-Girón, R., Tristán-Capetillo, C., García-Pérez, K., 2010, Carta Geológico-Minera Santa Catarina F14-A85, escala 1:50000: México, Secretaria de Economía, Servicio Geológico Mexicano y Universidad Autónoma de San Luis Potosí-Instituto de Geología, 1 mapa.
Tristán-González, M., 1986, Estratigrafía y tectónica del Graben de Villa de Reyes, en los Estados de San Luis Potosí y Guanajuato, México: México, Universidad Autónoma de San Luis Potosí, Instituto de Geología, Folleto Técnico No. 107, 91 p.
Zapata-Zapata, J.L., Pérez-Venzor, J.A., 1979, Cartografía Geológica (de la) Hoja Peotillos, S.L.P.: Universidad Autónoma de San Luis Potosí, Instituto de Geología y Metalurgia, Folleto Técnico No. 63, 30 p.
Zárate-Muñoz, J.C., 1977, Cartografía Geológica (de la) Hoja Villa Arista, S.L.P.: Universidad Autónoma de San Luis Potosí, Instituto de Geología y Metalurgia, Folleto Técnico No. 52, 47 p.
Appendix. Detailed information on the 39Ar-38Ar dating.
Sample FV11-28. Results received on September 20, 2012.




Sample FV12-56. Results received on January 31, 2013.




Notes
Author notes
*Autor por correspondencia: ismaelfv@unam.mx