Investigación
Comparativo de los Métodos de Mínimos Cuadrados y Eliminación de Gauss-Jordan para la Resolución de Sistema de Ecuaciones en el tema de Regresión Lineal
Comparative of the Methods of Minimum Square and Elimination of Gauss-Jordan for the Resolution of System of Equations in the Theme of Regression Linear
Comparativo de los Métodos de Mínimos Cuadrados y Eliminación de Gauss-Jordan para la Resolución de Sistema de Ecuaciones en el tema de Regresión Lineal
Conciencia Tecnológica, núm. 52, pp. 42-50, 2016
Instituto Tecnológico de Aguascalientes
Recepción: 30 Marzo 2016
Aprobación: 20 Junio 2016
Resumen:
En el Instituto Tecnológico de Aguascalientes se cursan en la actualidad las carreras de Ingeniería Industrial e Ingeniería en Gestión Empresarial; en la retícula de cada una de estas carreras se encuentra ubicada la materia de Estadística Inferencial II, en dicha materia se presenta el tema de regresión lineal el cual se desarrolla por medio del método de mínimos cuadrados. Se propone realizar una investigación sobre las metodologías de Mínimos Cuadrados y el Método de Gauss-Jordan para la resolución de regresión lineal con el objetivo de ver cual método es más sencillo en su desarrollo, además de que el alumno pueda tener una mejor comprensión del tema y una resolución del problema, obteniendo los parámetros sin errores. La metodología a seguir es: Analizar los dos métodos con el mismo problema de aplicación y observar que cada uno de ellos llega al mismo resultado, primero se mostrará el desarrollo de los dos métodos para la solución de dos sistemas y después concluir con un caso práctico de regresión lineal por los dos métodos con esta aplicación se puede hacer un análisis del comportamiento de dichos métodos. Los resultados que se obtienen tomando en consideración la elaboración y resultados de los dos métodos es que dichos métodos llegan al mismo valor para cada variable de los coeficientes de las ecuaciones. Pero al emplear el método de mínimos cuadrados se presenta la desventaja de usar ocho cifras después del punto para lograr un resultado más exacto, además se tiene que llevar a cabo muy minuciosamente todas las operaciones del álgebra lineal elemental, o en su defecto usar una paquetería para poder evitar errores. Cabe mencionar que en el método de la eliminación gaussiana se tiene la ventaja de denotar operaciones más fáciles, pues solo se requiere de sumar, multiplicar y dividir los elementos de la matriz, teniendo mayor exactitud el resolver sistemas de ecuaciones, se puede hacer de forma manual evitando el uso de paquetería. Atendiendo los resultados obtenidos se concluye que tanto el método de Gauss-Jordan como el método de Mínimos Cuadrados tienen un nivel de precisión y exactitud adecuados en cuanto a solución de sistemas de cualquier orden, la diferencia radica en la labor que implica usar un método u otro haciendo notorio que el método de Gauss-Jordan es menos laborioso que el método de mínimos cuadrados.
Palabras clave: algebra lineal, mínimos cuadrados, Gauss-Jordan, regresión múltiple, sistema de ecuaciones.
Abstract:
At the technological Institute of Aguascalientes races of Industrial Engineering and engineering management; is currently enrolled in the grid for each one of these races matter of inferential statistics II, is located in such a matter arises the issue of regression which develops by means of the method of least squares. Intends to carry out an investigation into the methods of least squares and the Gauss-Jordan method for resolution of linear regression in order to see which method is more simple in their development, that the student may have a better understanding of the issue and a resolution of the problem, obtaining the parameters without errors. The methodology to be followed is: analyzing the two methods with the same problem of application and observe that each of them will reach the same result, the development of methods for the solution of two systems and then conclude with a case study of linear regression methods with this application will first be shown can be an analysis of the behavior of these methods. Them results that is obtained taking in consideration the development and results of the two methods is that such methods arrive to the same value for each variable of them coefficients of them equations. But when using the method of least squares is the disadvantage of using eight digits after point to achieve a more accurate result, also has to carry out very thoroughly all the operations of the linear algebra elementary, or alternatively use a parcel to avoid errors. It is worth mentioning that in the method of removing Gaussian is has the advantage of denote operations easier, because only requires adding, multiplying, and dividing the elements of the array, taking greater accuracy solve systems of equations, can be done manually by avoiding the use of parcel. Attending the results it is concluded that both the Gauss-Jordan method and the method of least squares have a level of precision and accuracy appropriate for solution of systems of any order, the difference lies in the work that involves using a method or another so notorious that the Gauss-Jordan method is less laborious than the method of least squares
Keywords: algebra linear, minimum squares, Gauss-Jordan, multiple regression, system of equations.
Introducción
En el Instituto Tecnológico de Aguascalientes se ofertan las carreras de Ingeniería Industrial e Ingeniería en Gestión Empresarial. En la retícula de estas ingenierías se encuentra la materia de Estadística Inferencial II, en la cual se contempla el desarrollo de problemas de regresión múltiple.
Para desarrollar estos problemas se emplea regularmente el procedimiento del método de mínimos cuadrados, que es la solución de sistemas de ecuaciones de diferente orden, por lo regular los sistemas de ecuaciones que se presentan son mínimo de tres ecuaciones con tres incógnitas. Este tipo de sistemas puede ser resuelto con el apoyo del Álgebra Lineal.
Pues el método de Mínimos Cuadrados se sustenta en la multiplicación de matrices, así como la obtención de su transpuesta y la obtención de su matriz inversa por el método de la matriz aumentada, esto suele ser complicado para el estudiante si no tiene el dominio del Álgebra Lineal, ocasionando errores en los resultados de dichos problemas.
Por otro lado se cuenta con la resolución de sistemas de ecuaciones de cualquier orden, utilizando el método de Gauss- Jordan, este método es más sencillo y más fácil de desarrollar pues solo se apoya en multiplicar filas y columnas para obtener una matriz identidad, utilizando solo operaciones básicas como la suma, la división y la resta, obteniendo directamente al resultado de las variables.
Además que este método se aplica en otras materias, lo cual ayuda a su mejor comprensión por parte del alumno, y así lograr el objetivo de identificar cuál método es más sencillo en su desarrollo, generando que el alumno pueda tener una mejor comprensión del tema y una resolución del problema, obteniendo los parámetros sin errores.
Fundamentos Teóricos
La regresión múltiple se apoya en analizar la respuesta Y en más de una variable independiente X, con la finalidad de mejorar la precisión de la estimación.La principal ventaja de la regresión múltiple es que permite utilizar una mayor parte de la información que depende para estimar la variable dependiente.
Además, en la regresión múltiple, se pueden atender a cada una de las variables independientes en forma individual, para probar si contribuye significativamente a la respuesta de la variable dependiente.
Este método consiste en determinar una recta de predicción donde se ajusten los datos con la más mínima distancia que sea posible a una recta, entre más cercas estén los datos, mayor dependencia existirá en la variable dependiente.
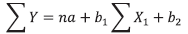
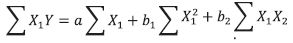
Para poder realizar una regresión múltiple se debe de llegar a una ecuación de la recta ajustada a los datos históricos que se presenten en el problema de tal forma que la ecuación de la recta queda determinada por:
= a + b1 X1 + b2 X2,, esto es para el caso de dos variables dependientes y para poder conocer los parámetros a, b1 y b2 se necesita resolver el siguiente sistema de ecuaciones [1]:
(1)
(2)
(3)El problema consiste en decidir cuál de los planos posibles que se pueden trazar será el de mejor ajuste. Para esto se aplicará el método de mínimos cuadrados y así el plano que minimice la suma de los cuadrados de los errores. La solución de las ecuaciones 1, 2 y 3 para a, b1 y b2 proporcionarán los coeficientes del plano de regresión [1].
1. Método de Mínimos Cuadrados.
El método de mínimos cuadrados puede usarse para calcular un polinomio que mejor se ajusten a datos de forma tabular, el método de mínimos cuadrados se utiliza para encontrar la solución de sistemas de ecuaciones lineales [2].
Un sistema [A]{X}={B} de “n” ecuaciones con “n” variables, donde “A” es invertible, tiene solución única, sí {X}=[A-1]{B}. Sin embargo, si[A]{X}={B} es un sistema de “n” ecuaciones con “m” variables, el sistema en general no tiene solución. Por lo que se dice que se encuentra sobredeterminado. “A” no es una matriz cuadrada para dicho sistema y A-1 no existe. Se introduce una nueva matriz llamada la pseudoinversa de “A”, que se denota como pinv(A), la cual lleva a la solución por mínimos cuadrados {X}= [pinv(A)] {B} para un sistema sobredeterminado. Ésta no es una verdadera solución, pero es en cierto sentido la que más se aproxima a una verdadera solución del sistema [2].
Definición de la pseudoinversa:
Sea A una matriz. La matriz (AtA)-1At recibe el nombre de la pseudoinversa de “A” y se representa por pinv(A). Donde At es la transpuesta de la matriz A. No toda matriz tiene una inversa. De la misma manera, no toda matriz tiene una pseudoinversa. La matriz A tiene una pseudoinversa si (AtA)-1 existe. Ahora aplicando el concepto de pseudoinversa para entender mejor los sistemas de ecuaciones lineales. Sea [A]{X}={B} un sistema de “n” ecuaciones lineales con “m” variables y n > m, donde A tiene “m”. Multiplique cada miembro de la ecuación matricial por At para obtener [2].
(4)Se puede mostrar que la matriz At A es invertible para dicho sistema. Multiplique cada miembro de esta ecuación por (AtA)-1 para obtener:
(5)Este valor de X recibe el nombre de solución por mínimos cuadrados del sistema de ecuaciones.
(6){X} = [pinv(A)] {B} solución por mínimos cuadrados.
Sea [A] {X} = {B} un sistema de “n” ecuaciones lineales con “m” variables y n > m, donde A tiene rango “m”. Este sistema tiene una solución por mínimos cuadrados. Si elsistema tiene una solución única, entonces la solución por mínimos cuadrados es la solución única. Si el sistema es sobredeterminado, entonces la solución por mínimos cuadrados es la más próxima a la solución verdadera. El sistema no puede tener muchas soluciones [2].
2. Método de Gauss-Jordan
El matemático alemán Carl Friedrich Gauss es reconocido, con Newton y Arquímedes, como uno de los tres matemáticos más importantes de la historia. Gauss usó una forma de lo que ahora se conoce como Eliminación Gaussiana en sus investigaciones. Aunque este método fue nombrado en honor a Gauss, los chinos usaban un método casi idéntico 2000 años antes que él [2].
Este método debe su nombre a Carl Friedrich Gauss y a Wilhelm Jordan. Se trata de una serie de algoritmos del álgebra lineal para determinar los resultados de un sistema de ecuaciones lineales y así hallar matrices e inversas. El sistema de Gauss se utiliza para resolver un sistema de ecuaciones y obtener las soluciones por medio de la reducción del sistema dado a otro que sea equivalente en el cual cada una de las ecuaciones tendrá una incógnita menos que la anterior. La matriz que resulta de este proceso lleva el nombre que se conoce como forma escalonada [2].
Este método permite resolver hasta 20 ecuaciones simultáneas. Lo que lo diferencia del método Gaussiano es que cuando es eliminada una incógnita, se eliminará de todas las ecuaciones restantes, o sea, las que anteceden a la ecuación principal así como de las que la siguen a continuación. De esta manera el paso de eliminación forma una matriz identidad en vez de una matriz triangular. No es necesario entonces utilizar la sustitución hacia atrás para conseguir la solución [4].
Este procedimiento se demuestra en el siguiente ejemplo:
Utilice la eliminación de Gauss-Jordan para resolver el sistema que propone Larson.

La matriz aumentada de este sistema es:

Ahora, aplique soluciones elementales en los renglones hasta obtener ceros arriba y debajo de cada uno de los 1 principales, como se muestra a continuación.

La matriz está ahora en la forma escalonada reducida por renglones. Volviendo a un sistema de ecuaciones se tiene
Solución del sistema
Materiales y Métodos
Para este estudio se analizarán los Métodos de Mínimos Cuadrados y Gauss-Jordan para la resolución de sistema de ecuaciones que se generan mediante una variable dependiente de varias respuestas.
El primer método que se presenta es una solución de un sistema de dos ecuaciones con dos incógnitas resuelto por el Método de Mínimos Cuadrados.
Sabiendo de antemano que una regresión lineal genera sistemas de ecuaciones de tres o más incógnitas para poder determinar los coeficientes que proporcionan la mejor precisión en una línea recta o plano que mejor se ajustan a los datos que se determinan.
Primero se mostrará el desarrollo de los dos métodos para la solución de dos sistemas, esto con la finalidad de que los dos métodos originan el mismo resultado, para después concluir con un caso práctico de regresión lineal por los dos métodos.
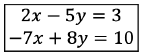
Para el primer punto se analizará el sistema de ecuaciones siguiente, mediante el sistema de mínimos cuadrados, cabe mencionar que se trata de un sistema de dos incógnitas y dos ecuaciones, así como también un sistema de tres incógnitas con tres ecuaciones.
Resolver el siguiente sistema:
Solución:
Matriz extendida del sistema:

Matriz de coeficientes:

Vector de términos independientes:

Vector de incógnitas:

Transpuesta de la matriz de coeficientes:

Cálculos de At * A

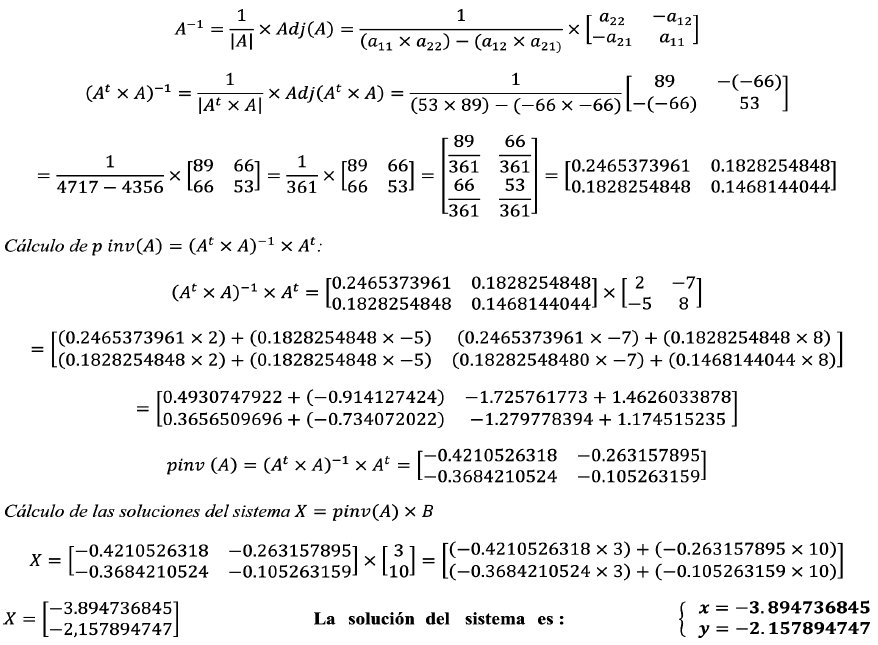
Cálculo de (At * A)-1 (como es una matriz de 2 X 2 la inversa se calculará con el método de la adjunta).

Considerando el sistema de tres variables con tres ecuaciones que propone Burden. [5]

Determine las soluciones del sistema anterior, usando el método de los mínimos cuadrados. Use 8 cifras significativas de precisión.
Solución:


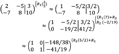
Como siguiente punto se resolverán los mismos sistemas pero ahora con el método de Gauss-Jordan, quedando la solución de la siguiente manera, para el caso del sistema de dos por dos.
[6]Solución por el Método Gauss-Jordan:

Ahora se resuelve el mismo sistema de tres por tres con Gauss-Jordan quedando la solución como sigue:


Considerando el problema que describe Levin sobre el caso práctico de regresión múltiple los datos son los siguientes:
Los siguientes datos son los registros de auditoría del Internal Revenue Service (ISR) durante los últimos 10 meses: En este problema X1, representa el número de horas de trabajo en auditoría de campo y X1, el número de horas de computadora, la variable dependiente Y, serán los impuestos no pagados reales que se han descubierto[1].

Con los datos expuestos se procede a determinar los valores para el ajuste del plano de mínimos cuadrados, quedando como se muestra en la siguiente tabla:

Utilizando la información de la tabla, se generan tres ecuaciones las cuales son las siguientes:

El siguiente paso es resolver este sistema de ecuaciones para encontrar los coeficientes de la recta de predicción de regresión. Aquí se aplica el Método de Mínimos Cuadrados, quedando el proceso como se muestra:



Ahora utilizando el método de Gauss-Jordan se tiene el siguiente proceso


Análisis y Resultados
Efectuando un análisis de estos dos métodos se puede observar que es necesario entender y sobre todo dominar lo que es el álgebra matricial y más el usar el método de Mínimos Cuadrados, además se debe de conocer desde la aplicación de operaciones fundamentales con matrices y saber los conceptos de matrices con características especiales como es la matriz transpuesta y la pseudoinversa. En la eliminación gaussiana solo es fundamental considerar el concepto de la matriz identidad y operaciones básicas con números y ya no con matrices.
Tomando en consideración la elaboración y resultados de los dos métodos, se puede resaltar que ambos llegan al mismo valor para cada variable de los coeficientes de las ecuaciones, sin embargo es importante considerar las ventajas y desventajas de los métodos.
Al utilizar el método de mínimos cuadrados se tienen que usar ocho cifras después del punto decimal para lograr un resultado más exacto, además se tiene que llevar acabo muy minuciosamente todas las operaciones del Álgebra Lineal elemental, o en su defecto usar una paquetería para poder evitar errores, es laborioso y complicado para los alumnos el tener que hacer operaciones con decimales y se dificulta un poco más si se presentan decimales en forma de notación científica, con más procedimiento, así como también involucra más operaciones con matrices.
Si se observa el método de la eliminación gaussiana se denotan operaciones más fáciles dentro de la matriz, pues solo se requiere de sumar, multiplicar y dividir los elementos que son de la matriz, siendo operaciones más básicas pues son usualmente cotidianas en el ambiente del estudiante; se llega al mismo resultado, teniendo mayor exactitud.
El resolver sistemas de ecuaciones con matrices por el método de la eliminación gaussiana se puede hacer de forma manual y se puede evitar el uso de paquetería.
Conclusiones
Atendiendo los resultados obtenidos se concluye que tanto el método de Gauss-Jordan como el método de Mínimos Cuadrados tienen un nivel de precisión y exactitud adecuados en cuanto a solución de sistemas de cualquier orden, la diferencia radica en la tarea que implica usar un método u otro haciendo notorio que el método de Gauss-Jordan es menos laborioso que el método de Mínimos Cuadrados.
Por lo tanto es recomendable utilizar cualquier modelo pues se llega al mismo resultando, aun así considerar el método de la eliminación de Gauss es más sencillo para el alumno en su resolución, así como en su entendimiento del método y sobre todo la interpretación de los resultados que se deben de tener para la toma de decisiones que ofrece al realizar la regresión lineal.
Una de las principales aportaciones de este trabajo es que se establece que ambos métodos son igual de eficientes para solucionar sistemas de ecuaciones lineales de cualquier orden.
Cabe mencionar que otra aportación es dar a conocer a los maestros que imparten la materia de Estadística Inferencial II, las diferencias de estos dos métodos para que apliquen el que tiene menor dificultad para el alumno y este pueda desarrollar un mejor conocimiento tanto del Algebra Lineal como de la Regresión Múltiple.
Aunque en el presente artículo sólo se analizan sistemas lineales cuadrados, debe tenerse en cuenta que tanto Gauss- Jordan como Mínimos Cuadrados pueden aplicarse en la solución de sistemas lineales no cuadrados.
Referencias
[1]I. Levin R., (1988), Estadística Para Administradores. Editorial Prentice-Hall-Hispanoamericana, S. A.
[2] Williams G., (2002), Algebra Lineal con Aplicaciones. Editorial Mc. Graw Hill.
[3] Larson R.,(2014), Fundamentos de Álgebra Lineal. Editorial CENGAGE Learning.
[4] Método de Gauss-Jordán (La Guía de Matemática http://matematica.laguia2000.com/general/metodo-de-gauss-jordan#ixzz3psTcAgYk .
[5] Burden R., Douglas J., (2002), Análisis Numérico. Editorial Thomson Learning.
Notas
Notas de autor