Demodulación de Patrón de Franjas Cerradas por Corrimiento de Fase
Demodulation of a Closed Fringe Pattern by Phase Shifting
Demodulación de Patrón de Franjas Cerradas por Corrimiento de Fase
Conciencia Tecnológica, núm. 53, 2017
Instituto Tecnológico de Aguascalientes
Recepción: 22 Septiembre 2016
Aprobación: 21 Diciembre 2016
Resumen: La presente investigación expone los fundamentos de la metrología óptica la cual ocupa una de las áreas más importantes de la óptica. Se hace una breve descripción de la interferometría que a su vez forma parte de la metrología óptica. Se demuestra la manera en que se obtiene un interferograma. Asimismo se explica la manera en que se aplica una de las técnicas más sencillas en la demodulación de la fase, ya que la meta de cualquier técnica en interferometria es encontrar el término “fase” el cual se refiere a la cantidad física a ser medida ya sea esfuerzo, desplazamiento, distancia, presión, temperatura, velocidad, forma, dimensiones, etc; ya que no es posible lograrlo por los métodos convencionales. La fase obtenida en el presente artículo corresponde a la imagen (interferograma) de un patrón de franjas cerradas de una lente, la cual utiliza la técnica llamada corrimiento de fase que consiste en adquirir varios interferogramas, que a su vez conducen a un resultado conocido como fase envuelta por lo que es necesario aplicar algún método de desenvolvimiento de fase para obtener la solución.
Palabras clave: óptica, interferometría, corrimientos, demodulación, fase envuelta y fase desenvuelta.
Abstract: This research presents the fundamentals of optical metrology which occupies one of the most important areas of optics. We made a brief description of the interferometry which in turn is a part of optical metrology and how an interferogram is obtained is showed. One of the simplest techniques is applied in the demodulation stage also explained; since the goal of any interferometric technique is to find the term "phase" which refers to the physical quantity to be measured either stress, displacement, distance, pressure, temperature, speed, shape, dimensions, etc; since it is not possible to achieve by conventional methods. The phase obtained in this article correspond a closed fringe pattern (interferogram) of a lent who uses shifting phase technique the result is a wrapped phase mode so unspecified unwrapped phase method must be used for solution.
Keywords: optics, interferometry, shift, demodulation, wrapped phase and unwrapped phase.
Introducción
A nivel mundial, el crecimiento de la óptica ha tenido como consecuencia novedosas aplicaciones en las actividades cotidianas del ser humano, las cuales se dividen en cuatro grandes áreas dentro de toda investigación: instrumentación óptica, comunicaciones ópticas, metrología óptica y fotónica [1]. Dentro de la metrología óptica se encuentra la interferometría cuya tarea principal es encontrar el término “fase”. Existen decenas de técnicas aplicadas en la demodulación u obtención de la fase [2]. Por ejemplo, Mitsu Takeda a partir de un procesamiento computacional encuentra las diferencias entre elevaciones y valles de la fase en estudio [3]. Manuel Servín introduce una modulación espacial con una portadora cónica y de ahí estima la fase [4]. Rodríguez-Vera aplica novedosa estrategia de amarre de fase [5], análogamente al ciclo de amarre de fase de un circuito electrónico (PLL). Estudios recientes en la demodulación de patrones de franjas han empleado diversos algoritmos de optimización tales como algoritmos genéticos, enjambre de partículas, redes neuronales, búsqueda armónica, etc [6]; cuya meta principal es minimizar una función costo obteniendo excelentes resultados. En el presente artículo se indican las condiciones necesarias para tener una interferencia, se demuestran los fundamentos matemáticos y por último se muestran los resultados obtenidos en la demodulación de un interferograma con franjas cerradas aplicando la simple técnica por corrimiento de fase. Si matemáticamente relacionamos los corrimientos se encuentra la fase en modo envuelto (corrimiento de fase) por lo que es necesario aplicar algún método de “desenvolvimiento” de fase el cual no se describe en éste artículo ya que la finalidad de la investigación es la demodulación de un interferograma.
Fundamentos teóricos
Las condiciones para lograr una interferencia de luz, son conocidas como las leyes de Fresnel-Arago y son las siguientes:
Las ondas que producen interferencia tienen que ser coherentes. Esto sucede solo cuando tienen su origen en la misma fuente y se consigue de manera mucho más sencilla utilizando un láser.
Los haz de luz deben estar linealmente polarizados. Es decir, deben vibrar en un mismo plano.
Los haz deben ser monocromáticos, lo que significa tienen que ser de una misma frecuencia, esto se consigue colocando un filtro de interferencia o usando un láser.
El equipo que genera el patrón de franjas se conoce como interferómetro, un buen ejemplo es el interferómetro Twyman-Green el cual se ilustra en la siguiente figura 1.

El interferómetro de Twyman-Green funciona haciendo interferir dos frentes de onda: el del “brazo” uno o la iluminación de la superficie bajo prueba, y el del “brazo” dos o referencia; ambos frentes de onda son recombinados por el divisor de rayo de luz, mostrando entonces la interferencia de ambos rayos de luz en el punto focal (Lente de enfoque), que para éste caso dicha interferencia es llevada a un foto detector (cámara digital), los datos son almacenados y reproducidos como un interferograma en la pantalla de una computadora.
Generación de imagen del patrón de interferencia
Un registro digital de una imagen de un objeto sobre el cual se tiene proyectado un patrón de franjas, se puede describir matemáticamente por medio de la expresión:

en donde el primer término
representa una intensidad de fondo en la
imagen, el segundo término
se puede
entender como un factor que determina la visibilidad de las franjas observadas,
es la fase del campo óptico que queremos reconstruir
[7]. La topografía de un objeto resulta ser directamente proporcional al
término de la fase que aparece en la ecuación (1).
Interferometría de corrimiento de fase
En los interferómetros de cambio de fase la frente de onda de referencia se mueve a lo largo de la dirección de propagación con respecto al frente de onda sobre prueba, de esta manera, cambian las posiciones de las franjas de interferencia [8].
La técnica conocida como interferometría de corrimiento de fase (PSI, por sus siglas en inglés) está basada en la idea de plantear un conjunto de ecuaciones, el cual permite determinar la diferencia de fase (4).
Materiales y métodos
Para entender mejor el proceso de cambio de fase, a continuación se muestra un ejemplo de un algoritmo simple conceptualmente y analíticamente.
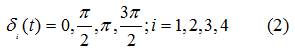
Base teórica del método de 4 pasos
El método de los cuatro
pasos como su nombre lo indica, requiere de cuatro interferogramas
que son totalmente independientes del objeto bajo prueba;,
los interferogramas deberán ser grabados ó digitalizados. Un cambio de fase óptico de “
” se introduce dentro del haz de referencia entre cada interferograma grabado secuencialmente. Debido a que las
medidas son números enteros, la dependencia de los ejes
de la
imagen tienen que cambiar, por índices i,ii entre pixel y pixel. La
función δ(t) toma cuatro valores discretos:

Sustituyendo cada uno de estos cuatro valores en la ecuación (1) del patrón de intensidad del interferograma resultante:

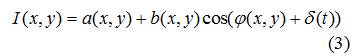
en donde la función δ(t) es directamente proporcional a la diferencia en la frecuencia y al tiempo, esta diferencia en frecuencia aumenta el cambio de fase lineal entre los haz de referencia y prueba, por lo tanto, resultan cuatro ecuaciones que describen los cuatro patrones de intensidad de los interferogramas medidos, esto es:

Aplicando la
identidad trigonométrica
, las ecuaciones anteriores quedan:

Resolviendo estas
cuatro ecuaciones para encontrar,
en cada punto del interferograma se tiene:

Por lo que
corresponde a la
solución ó demodulación del interferograma
matemáticamente [9].
Resultados y discusión
Para implementar el arreglo óptico se utilizó el interferómetro reconfigurable de PASCO SCIENTIFICS con emisor láser He-Ne OS-8514 (fig. 2) y para obtener las imágenes del lente de prueba a analizar, se utilizó una cámara EOS REBEL T6S de la marca Cannon la cual adquiere y lleva el patrón de franjas hacia la computadora personal, de tal forma que las imágenes capturadas fueran obtenidas con la mayor nitidez para que fuesen fáciles de procesar por el algoritmo de corrimiento de fase.

El formato en el que las imágenes son enviadas desde el dispositivo de adquisición (cámara) a la computadora es el de JPG de 8 bits de color y el tamaño seleccionado en la cámara es de 100x100 pixeles.
Para el procesamiento de las imágenes o interferogramas se utilizó el software Matlab cuya manera de realizar los cálculos se basa en el manejo de matrices de datos. Para ello se requiere que el formato de las imágenes digitales se encontrara en BMP y transferirla en escala de grises de 8 bits, ya que el uso de escala de grises en las imágenes asegura que la imagen contenga en cada uno de sus registros sólo el valor de intensidad que le corresponde. Puesto que Matlab utiliza una sola matriz para almacenar sus datos en la figura 3 se muestran los 4 interferogramas de 4 diferentes corrimientos. Dentro del editor de imágenes (Paint) en caso de necesitar recortar la imagen, se hace uso de la herramienta de corte contenida en el paquete. Después de esto cada imagen es exportada en formato BMP lineal de escala de grises de 8 bits.

Una vez realizados
físicamente los 4 corrimientos que corresponden a los 4 patrones de franjas
cerradas mostrados en la figura 3 e indicados matemáticamente por las
ecuaciones (5), se procede a relacionarlos matemáticamente en Matlab a partir de (6) para así obtener la fase envuelta
cuyo resultado se
muestra en la figura 4.

Cabe aclarar que la
obtenida se encuentra
en forma “envuelta” también conocida como wrapped phase. Es necesario aplicar un algoritmo
de desenvolvimiento de fase (unwrapped phase) para
visualizar la superficie de estudio en 3D [10]. En el presente artículo no se
especifica ni tampoco se desarrolla el método de desenvolvimiento aplicado a la
fase envuelta de la figura 4, es por lo que solo se muestra en la figura 5 la
fase desenvuelta.

Conclusiones
La metrología óptica es una rama importante de la óptica. La cantidad física a ser medida o conocida del interferograma en estudio está definida por el término fase. Dentro de la interferometría óptica, la técnica corrimiento de fase es una de las más sencillas por lo que en este artículo se aplicó y explicó de una manera simple y atractiva; además este método es válido para el análisis de diferentes materiales a nivel micrométrico. Asimismo provee información cualitativa y cuantitativa de fácil comprensión e ilustración, además de ser no invasivo ni destructivo. Con éste reporte de investigación queda explicado una de las técnicas más simples para analizar y comparar diferentes materiales con aplicaciones al muestreo, ya sea para control de calidad, ingeniería inversa, etc., porque además de reproducir fielmente contornos de los objetos analizados, se pueden proveer valores numéricos (micrométricos ó nanométricos) de las alturas y profundidades.
Referencias
[1] Hariharan, P. (1996). Basic of Interferometry. Academic Press: New York.
[2] Goodman, J.W. (1996). Introduction of Fourier Optics. Mc. Graw-Hill: Singapore
[3] Mitsuo Takeda, Hideki Ina, and Seiji Kobayashi, (1982). “Fourier-transform method of fringe-pattern analysis for computer-based topography and interferometry”, Journal of the Optical Society of America, Vol. 72, Issue 1, pp. 156-160.
[4] Servin, M., Marroquin, J.L. Cuevas, F. (2001). “Fringe-follower regularized phase tracker for demodulation of closed-fringe interferograms”, Journal of the Optical Society of America, 18(3):689-695
[5] Rodriguez-Vera, R Servin M., (1993). “Two dimensional phase locked loop demodulation of interferograms”. J. Mod. Opt. 40(11), 2087-2094
[6] Sulaiman M., Salhi A., Selamoglu B.I., and Kirikchi O.B., (2014). “A Plant Propagation Algorithm for Constrained Engineering Optimization Problems”, Mathematical Problems in Engineering (1), Article ID 627416, 10 pages
[7] Malacara, D., Servin, M., Malacara, Z., (2005). Interferogram Analysis for Optical Testing, 2nd ed., Taylor & Francis, Boca Raton.
[8] Gåsvik K.J. (2002). Optical Metrology, 3rd ed., John Wiley & Sons, LTD, Sussex.
[9] Malacara, D., Servin, M., Malacara, Z., (2005). Interferogram Analysis for Optical Testing, 2nd ed., Taylor & Francis: Boca Raton.
[10] Ghiglia D., Pritt M., (1998). Two-Dimensional Phase Unwrapping Theory, Algorithms and Applications, John Wiley & Sons: USA (1998).