Determinación de Estrategias de Producción y Reemplazo a través de un Modelo de Simulación
Determination of Production and Replacement Strategies through a Simulation Model
Determinación de Estrategias de Producción y Reemplazo a través de un Modelo de Simulación
Conciencia Tecnológica, núm. 53, 2017
Instituto Tecnológico de Aguascalientes
Recepción: 21 Marzo 2017
Aprobación: 08 Mayo 2017
Resumen: Este artículo estudia conjuntamente el problema de control de la producción, mantenimiento y reemplazo de un sistema de producción sujeto a un proceso de deterioro. El sistema de producción consiste de una unidad productiva que fabrica un tipo de pieza. Debido a la presencia del proceso de deterioro, la tasa de fallas del sistema y la tasa de defectos aumentan progresivamente. De manera particular, cuando la unidad productiva falla, se realiza un mantenimiento mínimo que deja al sistema en el mismo nivel de deterioro antes de la falla, por lo que la tasa de defectos y la tasa de fallas permanecen sin cambios con esta actividad. Mientras que con un reemplazo, se restaura completamente los efectos del deterioro del sistema. El objetivo del modelo propuesto es minimizar el costo total incurrido. Una metodología basada en análisis estadístico y optimización de un modelo de simulación de eventos discretos, es propuesta para determinar los parámetros de control óptimos del sistema. A fin de observar la eficiencia de la política de control, se presenta un análisis de sensibilidad donde se ilustra el efecto de la variación de diversos parámetros del sistema en la política de control.
Palabras clave: sistemas de manufactura, producción, reemplazo, calidad, simulación.
Abstract: This paper studies the joint production control, maintenance and replacement problem of a production system subject to a deterioration process. The production system consists of a production unit that produces a single piece type. Due to the presence of the deterioration process, the failure rate of the system and the rate of defectives increase progressively. In this paper, a control strategy is proposed to simultaneously determine the production and replacement rates that mitigate the deterioration effects of the system. In particular, when the production unit fails, a minimal maintenance is conducted leaving the system in the same level of deterioration before the failure, where the rate of defectives and the failure rate remain unchanged with this activity. Meanwhile, with a replacement, the effects of deterioration on the system are restored completely. The objective of the proposed model is to minimize the total incurred cost. A methodology based in statistical analysis and optimization of a discrete event simulation model is proposed to determine the control parameters of the system. In order to observe the efficiency of the proposed control policy, a sensitivity analysis is presented to illustrate the effect of the variation of several system parameters on the control policy.
Keywords: manufacturing system, production, replacement, quality, simulation.
Introducción
La globalización y la actual competencia en los mercados representan mayores retos al sector productivo. A fin de mantenerse competitivos, las empresas buscan mejores estrategias para aumentar su desempeño. Desafortunadamente en la práctica, la producción está afectada por muchos tipos de incertidumbre, tal como la falla de equipos, tiempos de procesamiento, fluctuaciones en las demandas de los clientes, producción defectuosa, deterioro de los sistemas, etc. A través de los años se ha desarrollado considerable investigación en las áreas de producción y mantenimiento, donde a fin de garantizar una producción estable, es necesario implementar estrategias de mantenimiento que mitiguen el efecto del deterioro del sistema, aumenten la confiabilidad de sus componentes, mejoren la calidad de la producción, etc. Por lo tanto, estrategias de producción, mantenimiento y calidad están altamente relacionadas, y constituyen el objeto de estudio de la presente investigación.
El fenómeno de deterioro es muy común en los sistemas de producción, generalmente debido a que estos sistemas están compuestos por un gran número de componentes y equipo que son sujetos a experimentar desgaste y una degradación progresiva en su desempeño [1]. Aunado a esto, el uso extensivo de los sistemas a lo largo del tiempo, aceleran su desgaste y su deterioro, por lo tanto se incrementa la aparición de una serie de problemas no deseables en producción tales como fallas más frecuentes, producción de baja calidad, demoras, etc. El efecto del proceso de deterioro puede observarse en una infinidad de indicadores, sin embargo en el presente trabajo nos enfocamos en el efecto en la fiabilidad del sistema y en la calidad de la producción. De manera particular el modelo propuesto se enfoca en el efecto en la tasa de fallas y en la tasa de piezas defectuosas. La presente investigación se centra en estos dos indicadores puesto que el objetivo del trabajo es analizar la relación existente entre tres los factores clave: producción-calidad y mantenimiento. Debido a que esta interacción es de suma importancia para lograr que un sistema productivo opere de una manera eficaz y rentable. El efecto del deterioro hace que el sistema experimente más fallas y más defectos y esto en el corto plazo puede limitar la capacidad de producción de dicho sistema. Como consecuencia los costos adicionales originados por el deterioro estimulan a las empresas a diseñar estrategias más efectivas de producción y mantenimiento, tal como se observan en la industria automotriz, aeronáutica, farmacéutica, semiconductores, etc., [2]. Una buena estrategia de gestión del sistema puede reducir tiempos, reducir costos y hacer más flexible a la empresa. Otro punto adicional es que también puede proveer una ventaja competitiva a las compañías para responder más eficientemente a la serie de eventualidades presentes en el proceso de producción.
En base en lo expuesto, el objetivo principal de la presente investigación es desarrollar un modelo más realista y práctico, el cual considere simultáneamente la política óptima de producción y de reemplazo para un sistema de manufactura sujeto a un proceso de deterioro. En este modelo nos enfocamos en la interacción existente entre el incremento en la tasa de fallas, la calidad de las piezas producidas y el deterioro del sistema en un contexto dinámico y estocástico. En nuestro modelo la decisión de reemplazar el sistema, a fin de mitigar los efectos del deterioro, es llevada a cabo con base en el nivel de inventario existente y el nivel de deterioro del sistema, lo que permite evitar acciones innecesarias y disminuir el costo de mantenimiento. La determinación de los parámetros óptimos de control del sistema es realizada mediante la optimización de un modelo de simulación. También en el artículo se realiza un extenso análisis de sensibilidad para validar el modelo e ilustrar la efectividad de la política de control propuesta.
El resto del artículo se organiza de la siguiente manera. En la sección II se presenta los fundamentos teóricos del artículo. La formulación del modelo a analizar se presenta en la Sección III. La estrategia de control propuesta se describe en la Sección IV. La metodología a utilizar en la investigación se detalla en la Sección V. En la Sección VI se presenta el modelo de simulación desarrollado y su validación. La Sección VII detalla un ejemplo numérico y los correspondientes resultados. El análisis de sensibilidad es descrito en la Sección VIII. Las conclusiones de la investigación se presentan en la Sección IX.
Fundamentos teóricos
La integración del control de la producción y el mantenimiento ha atraído bastante la atención de investigadores en años recientes. En este sentido en el trabajo de Gebennini y Gershwin [3] se estudian dos líneas de Markov con un solo búfer, incluyendo la producción de defectos, con el objetivo de determinar la probabilidad de producir partes conformes y la probabilidad de obtener defectos. En el trabajo de Bouslah, Gharbi, Pellerin y Hajji [4], se considera el problema de la planificación de la producción de sistemas de fabricación por lotes poco fiables. El objetivo de este modelo es determinar el tamaño óptimo del lote y la política de control óptima que minimice el costo total de inventario, retraso y transporte, en un horizonte de tiempo infinito. Bouslah, Gharbi & Pellerin [5] desarrollaron un estudio que consiste en determinar el stock de seguridad del producto terminado para evitar faltantes durante la realización de mantenimiento, en su modelo se determina la cantidad de producción, el nivel óptimo de stock de seguridad y el diseño del plan de muestreo que minimiza el costo total. En el estudio de Assaf, Colledani & Matta [6] se presenta una metodología general para analizar la variabilidad de la producción de máquinas individuales no-fiables y sistemas de producción en pequeña escala modelados bajo una estructura general de Markov. En este trabajo los autores investigaron el impacto de diferentes parámetros del sistema sobre el rendimiento. En la investigación de Dahane, Rezg & Chelbi [7] se aborda el problema de la dependencia entre la producción y las tasas de fallas en un sistema de fabricación de productos múltiples, además se proporciona una respuesta sobre cómo producir y qué producir sobre un horizonte finito de períodos de igual longitud. A pesar de la relevancia de los artículos mencionados, estos se han enfocado principalmente en el área del control de la producción, mientras que los temas de la calidad de la producción y mantenimiento no han sido tratados a profundidad.
Dentro del área de mantenimiento, existe un número considerable de estudios que abordan diversas estrategias para mitigar el efecto de fallas aleatorias de equipo y la perdida de producción. Un ejemplo de estas investigaciones es el trabajo de Assid, Gharbi & Hajji [8], donde se desarrolló una política de control que combina la producción, la instalación y las actividades de mantenimiento preventivo considerando un enfoque de resolución utilizando modelos de simulación. En este modelo los autores optimizaron los parámetros de la política de control que minimizan el costo total. En el estudio de Hajej, Rezg & Gharbi [9] se analiza el problema de optimización de la producción/mantenimiento considerando una demanda aleatoria y una sola máquina en un horizonte finito. En este artículo se utilizó un cálculo secuencial del plan de producción óptimo con una política óptima de mantenimiento preventivo basada en una reparación mínima. En el trabajo de Boulet, Gharbi & Kenné [10] se estudia un modelo de mantenimiento correctivo y preventivo con el fin de minimizar el costo y maximizar la disponibilidad del sistema. Su enfoque propuesto combina un modelo de simulación y un método estadístico para determinar los mejores parámetros del sistema. En la investigación de Dehayem-Nodem, Kenne & Gharbi [11] se integra el mantenimiento preventivo en la política de reparación/sustitución de un sistema propenso a fallas, con una intensidad de falla creciente y tiempos de reparación cada vez mayores. El problema de determinar las políticas de control se formula como un proceso de decisión semi-Markoviano para calcular las políticas óptimas que minimicen el costo promedio. En el estudio de Chouikhi, Dellagi & Rezg [12] se presenta una política de mantenimiento basada en la condición de un sistema de producción bajo restricciones ambientales. El sistema estudiado está sujeto a fallas aleatorias que pueden causar pérdidas de producción. En este trabajo los autores además desarrollaron un modelo matemático para reducir la degradación ambiental donde se considera el costo promedio como la función objetivo. Como puede observarse en los artículos anteriores, existe un número limitado de estudios que estudien estrategias de mantenimiento de sistemas de manufactura con producción imperfecta. Esta es una limitación mayor de estos estudios debido a la relevancia de los aspectos de la calidad de la producción en los mercados actuales.
Algunas ideas han sido propuestas en los años recientes para analizar el impacto de los aspectos de la calidad de la producción en los sistemas de manufactura. En esta dirección se enfoca el trabajo de Hlioui, Gharbi & Hajji [13] quienes trataron la coordinación de las decisiones de producción, reposición e inspección de una línea propensa a fallos, donde se considera un plazo de ejecución aleatorio y lotes de producción imperfectos. En este estudio se observó que no se puede preferir ninguna estrategia en todos los casos, por lo que se presenta una herramienta de decisión para ayudar a seleccionar la mejor estrategia de control de calidad. En el artículo de Hajji, Gharbi & Pellerin [14] se considera el control conjunto de la producción y la toma de decisiones de las especificaciones de la calidad del producto en un sistema de fabricación no-confiable de productos múltiples. Además, se estudia el proceso de toma de decisiones global para orientar las decisiones de producción y calidad para múltiples productos. En el estudio de Hennequin, Arango & Rezg [15] se propone un enfoque de optimización del mantenimiento en un sistema que minimice el costo o maximice su disponibilidad mediante la optimización basada en simulación. En la investigación de Ni, Gu & Jin, [16], se desarrolló un modelo de predicción para identificar las ventanas de oportunidad durante la producción, cuidando el rendimiento, para sistemas de producción de gran tamaño. Es evidente que una de las limitaciones de estos artículos es que se considera que la tasa de defectivos es constante para todo el ciclo de vida del sistema. Esta es una asunción que restringe severamente la aplicación de estos trabajos en un ambiente de producción real, debido a que los sistemas de manufactura están comúnmente sujetos a un proceso de deterioro que puede afectar considerablemente su desempeño. En este sentido, estudios de sistemas de producción sujetos a un proceso de deterioro pueden ser de gran utilidad para nuestra investigación.
Existen diversos estudios en la literatura referentes al impacto de los procesos de deterioro en el desempeño de sistemas de producción. En el contexto de deterioro, en el artículo de Hajej, Turki, & Rezg, [17] se analiza un problema estocástico con una restricción de nivel de servicio para generar un plan de producción, mantenimiento y entrega óptimo en un sistema de fabricación sujeto a deterioro. Donde el objetivo de ese trabajo fue estudiar la influencia del tiempo de entrega en la planificación y mantenimiento. En el estudio de Dehayem-Nodem, Gharbi & Kenne [18] se analizó un sistema de producción sujeto a averías aleatorias, reparaciones, deterioro y actividades de reemplazo. Dicho sistema fabrica un tipo de producto y el objetivo es encontrar las variables de decisión que minimicen el costo total en un horizonte de planificación infinito. En el artículo de Oosterom, Peng & Houtum [19] se desarrolló un modelo de Markov incorporando la heterogeneidad de la población al programar reemplazos para un sistema que se deteriora. En el estudio de Dehayem-Nodem, Kenné y Gharbi [20], se elaboró un método para encontrar una solución óptima de producción y mantenimiento en un sistema sujeto a degradación mediante programación dinámica y un proceso markoviano de decisión, logrando reducir el costo total. Como puede observarse estos artículos estudian aspectos del proceso de deterioro de los sistemas de producción sin considerar el impacto de dicho proceso en otros indicadores de desempeño del sistema productivo, como por ejemplo la calidad de las piezas producidas.
Formulación del modelo
El sistema de producción bajo estudio experimenta una serie de eventos (fallas, reparaciones, etc.). Dicho sistema evoluciona a través del tiempo en tres modos diferentes de acuerdo a un proceso estocástico descrito por
; donde el sistema está operativo cuando
, donde produce ítems con una cierta tasa de defectos
. Cuando el sistema está en el modo de falla,
, se realiza un mantenimiento mínimo. El sistema puede ser reemplazado por una unidad nueva, cuando
. En este modo, los efectos del proceso de deterioro son mitigados completamente y la transición al modo de falla
y la tasa de defectos
regresan a sus valores iniciales.
Se definen a
como la tasa de transición del modo
al modo , con
,
,
representa la tasa de producción, la cual es una variable de decisión del modelo y
es la tasa de demanda. La tasa de producción, en cualquier instante satisface la restricción de capacidad de producción
, donde
es la tasa máxima de producción. La dinámica del nivel inventario está dado por la siguiente ecuación:

donde
simboliza al nivel de inventario. Se define a
la edad del sistema
como una función creciente de la tasa de
producción desde el último estado de operación de la unidad productiva. La edad
acumulada está representada por:

donde
es una
constante positiva y
define el
instante de tiempo del último reemplazo del sistema.
Impacto del proceso de deterioro
En el presente modelo se asumen dos efectos del proceso de deterioro en el sistema. El primero consiste en la asunción de que la fiabilidad del sistema decrece debido al efecto de la degradación. Por ende, esto conlleva a definir que la tasa de fallas sea una función creciente de la edad, tal como se define en la siguiente expresión:

Con

donde
es el valor de la transición
en las condiciones iniciales y
es el límite superior considerado para dicha transición,
es una constante dada y
es un parámetro de ajuste. La idea de utilizar la Ecuación 3, es relacionar la tasa de falla con la edad del sistema. Inicialmente, cuando
, el sistema falla a una tasa de
. Al incrementar la edad, el sistema falla más frecuentemente,
. Subsecuentemente, a una edad avanzada, la tasa de falla alcanza su valor máximo
.
El segundo efecto del proceso de deterioro se observa en la calidad de las piezas producidas. De este modo la tasa de defectos
se define como una función creciente de la edad del sistema, tal como se presenta en la siguiente formula:

Con

Donde
y
es el valor inicial y el limite superior
considerado para la tasa de defectos, respectivamente. Además,
es una constante y
es un parámetro de ajuste. Datos históricos
del sistema, son necesarios para ajustar adecuadamente la Ecuación 3 y 4 a un
sistema de producción en particular.
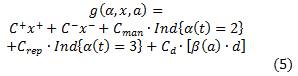
Función de costo
La función de costo instantáneo está dado por la siguiente ecuación:

donde
,
,
y
denotan el costo del inventario y el costo de faltantes,
respectivamente.
representa el costo
del mantenimiento mínimo,
es el costo de reemplazar el sistema por una
unidad nueva y es
el costo de las
piezas imperfectas. La segunda variable de decisión del modelo es la transición
al modo de reemplazo
,
donde se asume que la transición al reemplazo puede realizarse solo si el
sistema está en modo operacional
.
En base en la Ecuación (5), la función del costo total
está definida como:


donde
simboliza la tasa de descuento. El objetivo del modelo
consiste en minimizar la integral de la función de costos (6) y definir
simultáneamente la estrategia de producción y de reemplazo en función del
estado del sistema
.
Estrategia de control propuesta
En esta sección, se presenta la estrategia de control del sistema:
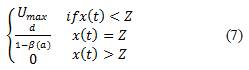
Estrategia de producción: la tasa de producción del sistema está controlada por una estrategia basada en la política de punto de cobertura [21], tal como se presenta en la siguiente ecuación:


donde
define a la capacidad del inventario permitida. La estrategia de producción define tres reglas de control, donde la tasa de producción puede tomar los valores de
,
y
. Más específicamente, estas reglas indican que:
i) Si el nivel de inventario es inferior al punto de cobertura , entonces el sistema debe operar a su tasa maxima
.
ii) Cuando el nivel de inventario es igual al punto de cobertura, la tasa de producción debe ser
.
iii) Si el nivel de inventario excede el punto de cobertura, entonces el sistema no produce ítems, y su tasa de producción es cero.
El objetivo de estas tres reglas es controlar la tasa de producción dependiendo del nivel de inventario.
Estrategia de reemplazo: esta estrategia está definida por la siguiente ecuación:

donde
indica el nivel de edad crítico donde un
reemplazo del sistema es requerido. Esta estrategia consiste en realizar un
reemplazo solo cuando la edad del sistema alcanza el nivel crítico
.
La idea es eliminar los efectos del proceso de deterioro a través del reemplazo
del sistema por una unidad nueva. Una ventaja de la política propuesta es su facilidad de implementación, ya que la estrategia propuesta permite
un mejor control de la producción y reemplazo para un sistema no-fiable, Los
parámetros de control de la política propuesta son: el punto de cobertura del
inventario
y la edad para realizar el reemplazo
.
Materiales y métodos
Con
el fin de estimar el costo total con respecto a los parámetros de control del
sistema
, se propone una metodología que combina técnicas de
simulación con análisis estadístico y optimización. Esta metodología ha sido
utilizada con éxito en diversas investigaciones tales como en BenSalem,
Gharbi y Hajji [22] y requiere los siguientes pasos:
Modelo de simulación
Se
desarrolló un modelo de simulación utilizando el software Arena. En la Figura
1, se presenta el diagrama de flujo del modelo propuesto. Lógica de dicho
modelo comienza al definir los valores de inicio de los parámetros del sistema
.

El sistema funciona de acuerdo con la política de producción descrita en la Ecuación (7) a fin de satisfacer la demanda del cliente. El sistema está sujeto a fallas aleatorias, donde además debido al proceso de deterioro, experimenta un proceso progresivo donde aumenta la tasa de fallas y la tasa de defectos. Las ecuaciones de estado describen la variación del nivel de inventario y la edad del sistema considerando el deterioro del sistema. A cierto nivel de deterioro, la política de reemplazo determina la ejecución de esta actividad cuando las condiciones indicadas en la Ecuación (8) son satisfechas. El sistema continúa su evolución y los valores del nivel de inventario y la edad son actualizados en el modelo. Al final de la simulación, el modelo calcula el costo total.
Validación del modelo de simulación
A fin de validar que el modelo de simulación desarrollado representa adecuadamente las dinámicas del sistema de producción bajo estudio, se presenta la evolución de diversos indicadores de interés de dicho sistema a través del tiempo.

Los datos presentados fueron generados por el simulador cuando la política de control propuesta es aplicada. La Figura 2 presenta los resultados de estos indicadores cuando los parámetros de control son
y
. En la Figura 2, se observa que en el tiempo
, la unidad productiva está en óptimas condiciones y trabaja a su máxima tasa de producción
a fin de que el nivel de inventario alcance el punto de cobertura
. Después de esto en el tiempo
, el sistema experimenta una falla aleatoria, (ver indicador número 1 en la Figura 2), donde la unidad productiva queda momentáneamente fuera de operación (ver indicadores 2 y 3 en la Figura 2). En el tiempo
, el sistema opera a una tasa de
, (ver indicador número 4 en la Figura 2) para compensar por el incremento en la tasa de defectos generados por el proceso de deterioro. El sistema continúa su proceso de deterioro aumentando progresivamente la tasa de fallas y la tasa de defectos, hasta que en el tiempo
, (ver indicador número 5 en la Figura 2), su edad alcanza la edad límite
. En este punto la unidad productiva es reemplazada por una unidad nueva (ver indicador 6 en la Figura 2), y durante el tiempo que toma completar esta actividad no hay producción (ver indicadores 7 y 8 en la Figura 2). Una vez concluido el reemplazo del sistema (ver indicador 9 en la Figura 2), la edad se restablece a condiciones iniciales, mitigando completamente los efectos del proceso de deterioro en la tasa de defectos y la tasa de fallas. En el tiempo
, el sistema inicia un nuevo ciclo, siguiendo un patrón similar de evolución.
Basados en los resultados de la Figura 2, se puede afirmar que el modelo de simulación desarrollado describe adecuadamente la dinámica del sistema de producción bajo estudio.
Resultados y discusión
En
esta sección se presenta la tercera etapa de la metodología propuesta en la sección
anterior. Dada la convexidad de la función de costos, se definen tres niveles
para cada factor de control. El objetivo es determinar el valor óptimo de los
parámetros de la política de control. Puesto que se tienen dos factores de
control
, se utiliza un diseño factorial
, el cual fue replicado cuatro veces, por lo que se necesitan
36 réplicas. La duración de cada réplica fue de 100,000 horas a fin de
garantizar que el sistema opera en condiciones estado-estable. Los diferentes parámetros de operación y costos
necesarios para la instancia numérica se presentan en la Tabla 1.

Cabe destacar que al utilizar los valores de los parámetros presentados en la Tabla 1, el sistema de producción satisface la condición de factibilidad:

donde
representa el
porcentaje de tiempo que el sistema permanece en el modo operacional, el cual
en este caso se calcula de la siguiente manera:

La condición de factibilidad (10), garantiza que la demanda de productos sea satisfecha incluso en los peores escenarios, los cuales son observados cuando la tasa de defectos y la tasa de fallas están en sus máximos valores. El análisis estadístico de los datos de simulación consiste en realizar un análisis de varianza (ANOVA), donde se identifican dos variables independientes, en este caso representados por los parámetros de control
y una variable dependiente denotado por el costo total. El ANOVA es desarrollado en el diseño experimental
, a través del software estadístico STATGRAPHICS, el intervalo de variación para los parámetros de control se presenta en la Tabla 2.

Los factores significativos se presentan en la Figura 3, donde se puede observar una gráfica de Pareto de efectos estandarizados. Basado en los resultados del ANOVA, se observa que los dos factores principales (
y
), sus efectos cuadráticos (
y
) y su interacción (
) deben ser considerados en la optimización dado que son significativos a un nivel de confianza del 95%. Además, el diseño
reportó un coeficiente de correlación del
, lo cual indica un buen ajuste a los datos obtenidos por el modelo de simulación.

Se aplica la técnica de superficie de respuestas para optimizar el costo total incurrido en función de los factores significativos identificados. En este caso el modelo de segundo orden obtenido que minimiza el costo total es:

La proyección de la superficie de respuesta del costo total en un plano
bidimensional se presenta en la Figura
4. El costo total minino es
246.581, y se observa cuando
y
.
Por lo tanto, estos valores son los valores óptimos que deben aplicarse para
controlar de una manera eficiente al sistema de producción.

Análisis de Sensibilidad
El objetivo de esta sección, es demostrar la eficiencia de la metodología adoptada y estudiar el impacto de la variación de diversos tipos de costos en los parámetros de control del sistema. La Tabla 1 presenta los resultados del análisis de sensibilidad, comparado con un caso de base. La variación de cada parámetro se analiza de la siguiente manera:
Variación del costo del inventario y costo de faltantes: Cuando el costo del inventario
decrece (caso 1), el nivel de inventario permitido
aumenta al beneficiarse de contar con un bajo costo de inventario. También se observa que al aumentar
la unidad productiva permanece operativa más tiempo, esto deteriora más la unidad productiva, por lo que la edad critica
para reemplazar al sistema reduce. Cuando el costo del inventario
aumenta (caso 2), está más penalizado el mantener inventario, por lo que el nivel de inventario permitido reduce. Con esta reducción el sistema opera menos tiempo, reduciendo su tasa de deterioro y por consecuencia los reemplazos son menos frecuentes, aumentando la edad crítica
. De los resultados de la Tabla 3, se observa que el costo de faltantes genera un efecto inverso con respecto al costo del inventario (casos 3 y 4).
Variación del costo del mantenimiento mínimo y el costo del reemplazo: De los resultados obtenidos se puede afirmar que cuando el costo del reemplazo del sistema
reduce, (caso 7) es lógico de notar que la edad crítica para reemplazar el sistema
disminuye. Por lo que el sistema debe permanecer operativo más tiempo para compensar el tiempo que no va producir cuando se realice un reemplazo, aumentando entonces el nivel de inventario permitido
. Al aumentar el costo del reemplazo
(caso 8) el sistema necesita alcanzar un nivel más alto de deterioro para justificar el alto costo de esta actividad, por lo que la edad crítica
aumenta. Al aumentar el costo del reemplazo, el nivel de inventario permitido
reduce a un mínimo necesario, afín de mantener un costo total razonable. Con respecto al costo del mantenimiento
se observa que tiene un efecto opuesto al costo del reemplazo (caso 5 y 6).
Variación del costo de defectos: al reducir el costo de los defectos
(caso 9) se reduce la necesidad de realizar un reemplazo del sistema, por lo que la edad crítica
aumenta. Igualmente se observa que con la reducción del costo de defectos, es lógico que el sistema reaccione con la reducción del nivel de inventario permitido
. Puesto que al postergar el reemplazo, el sistema puede operar más tiempo ininterrumpidamente, contando con la capacidad productiva necesaria para satisfacer la demanda del cliente. Al aumentar el costo de los defectos
(caso 10), el nivel de inventario permitido aumenta para garantizar que la demanda de producto sea satisfecha con productos libres de defectos. Así mismo la edad crítica para reemplazar el sistema reduce, con el objetivo de mitigar completamente los efectos del deterioro en el sistema.
En base a los resultados obtenidos en el análisis de sensibilidad, se puede afirmar que estos resultados son lógicos y que la estructura de la política de control propuesta se mantiene. En general se observa que los parámetros de control están influenciados por la variación de los costos analizados y el nivel de deterioro del sistema.
Conclusiones
En la presente investigación se propone un nuevo modelo integrador para la optimización conjunta de la tasa de producción y la tasa de reemplazo, para un sistema de producción sujeto a un proceso de deterioro. El enfoque propuesto contribuye al área de los sistemas de producción en los siguientes tres puntos. Primero, en el contexto del deterioro progresivo de la calidad y la confiabilidad del sistema, se observó la relevancia de la información del nivel de deterioro para soportar la toma de decisiones de las actividades de mantenimiento. Segundo, se desarrolló un nuevo modelo que combina una formulación matemática estocástica y un modelo de simulación mixto discreto-continuo a fin de modelar las interacciones complejas existentes entre el proceso de degradación, la calidad del producto y la confiabilidad del sistema. El modelo de simulación desarrollado sirve para superar las limitaciones de los enfoques de resolución clásicos y permite determinar una solución al problema de optimización. Tercero, el tomador de decisiones puede observar de este estudio los fuertes vínculos que existen entre producción, mantenimiento y calidad de la producción.
En cuanto a la metodología propuesta, esta se desarrolló a través de un ejemplo numérico, donde se observó que es necesario un cierto nivel de inventario a manera de protección contra las fallas del sistema y los defectos. Mientras que la realización del reemplazo del sistema requiere de una edad mínima, donde dicho sistema alcance cierto nivel de deterioro para justificar el alto costo que implica el reemplazar el sistema por una unidad nueva libre de desperfectos. Además también fue realizado un extensivo análisis de sensibilidad que permitió confirmar la eficiencia y la estructura de la política de control propuesta.
Una limitación de nuestro modelo es que se asume una sola característica de la calidad de la producción que se deteriora con la edad. Los productos modernos son complejos con numerosas características de calidad que pueden deteriorarse a diferentes tasas. En este contexto, diversas pruebas de control de calidad pueden ser necesarias. De los resultados obtenidos se puede concluir que el deterioro continuo del sistema tiene efectos considerables en la relación de producción-calidad-mantenimiento y que los resultados obtenidos en la presente investigación son satisfactorios y motivan extender nuestro modelo al estudio de sistemas más complejos, tales como la consideración de mantenimiento preventivo y sistemas con múltiples máquinas.
Referencias
[1] Rivera-Gómez, H. Gharbi, A., Kenné, J.P. (2013). Joint control of production, overhaul and preventive maintenance for a production system subject to quality and reliability deteriorations. International Journal of Advanced Manufacturing Technology, 69(9), 2111-2130.
[2] Kouedeu, A.F., Kenné, J.P., Dejax, P. Songmene, V., Polotski, V. (2014). Stochastic optimal control of manufacturing systems under production-dependent failure rates. International Journal of Production Economics, 150, 174-187.
[3] Gebennini, E., & Gershwin, S. B. (2013). Modeling waste production into two-machine–one-buffer transfer lines. IIE Transactions, 45(6), 591–604.
[4] Bouslah, B., Gharbi, A., Pellerin, R., & Hajji, A. (2013). Optimal production control policy in unreliable batch processing manufacturing systems with transportation delay. International Journal of Production Research, 51(1), 264–280.
[5] Bouslah, B., Gharbi, A., & Pellerin, R. (2014). Joint production and quality control of unreliable batch manufacturing systems with rectifying inspection. International Journal of Production Research, 52(14), 4103–4117.
[6] Assaf, R., Colledani, M., & Matta, A. (2014). Analytical evaluation of the output variability in production systems with general Markovian structure. OR Spectrum36 (3), 799–835.
[7] Dahane, M., Rezg, N., & Chelbi, A. (2012). Optimal production plan for a multi-products manufacturing system with production rate dependent failure rate. International Journal of Production Research, 50(13), 3517–3528.
[8] Assid, M., Gharbi, A., & Hajji, A. (2015). Joint production, setup and preventive maintenance policies of unreliable two-product manufacturing systems. International Journal of Production Research, 53(15), 4668–4683.
[9] Hajej, Z., Rezg, N., & Gharbi, A. (2014). Forecasting and maintenance problem under subcontracting constraint with transportation delay. International Journal of Production Research, 52(22), 6695–6716.
[10] Boulet, J.F., Gharbi, A., & Kenné, J.-P. (2009). Multiobjective optimization in an unreliable failure-prone manufacturing system. Journal of Quality in Maintenance Engineering, 15(4), 397-411.
[11] Dehayem-Nodem, F., Kenne, J.-P., & Gharbi, A. (2011). Production planning and repair/replacement switching policy for deteriorating manufacturing systems. International Journal of Advanced Manufacturing Technology, 57, 827–840.
[12] Chouikhi, H., Dellagi, S., & Rezg, N. (2012). Development and optimization of a maintenance policy under environmental constraints. International Journal of Production Research, 50(13), 3612–3620.
[13] Hlioui, R., Gharbi, A., & Hajji, A. (2015). Integrated quality strategy in production and raw material replenishment in a manufacturing-oriented supply chain. International Journal of Advanced Manufacturing Technology, 81(1), 335–348.
[14] Hajji, A., Gharbi, A., & Pellerin, R. (2012). Joint production control and product quality decision making in a failure prone multiple-product manufacturing system. International Journal of Production Research, 50(13), 3661–3672.
[15] Hennequin, S., Arango, G., & Rezg, N. (2009). Optimization of imperfect maintenance based on fuzzy logic for a single-stage single-product production system. Journal of Quality in Maintenance Engineering, 15(4), 412-429.
[16] Ni, J., Gu, X., & Jin, X. (2015). Preventive maintenance opportunities for large production systems. CIRP Annals-Manufacturing Technology, 64(1), 447–450.
[17] Hajej, Z., Turki, S., & Rezg, N. (2015). Modelling and analysis for sequentially optimizing production, maintenance and delivery activities taking into account product returns. International Journal of Production Research, 53(15), 4694–4719.
[18] Dehayem-Nodem, F., Gharbi, A., & Kenne, J.-P. (2011). Preventive maintenance and replacement policies for deteriorating production systems subject to imperfect repairs. International Journal of Production Research, 49(12), 3543–3563.
[19] Oosterom, C., Peng, H., & Houtum, G.J. (2017). Maintenance optimization for a Markovian deteriorating system with population heterogeneity. IISE Transactions, 49(1), 96-109.
[20] Dehayem-Nodem, F.I., Kenné, J.P., Gharbi, A. (2011). Simultaneous control of production, repair/replacement and preventive maintenance of deteriorating manufacturing systems. International Journal of Production Research, 134(1), 271-282.
[21] Akella, R., and Kumar, P.P. (1986). Optimal control of production rate in a failure prone manufacturing systems. IEEE Transaction on Automation and Control, 31, 116-126.
[22] BenSalem, A., Gharbi, A., Hajji, A. (2015). Environmental issue in an alternative production-maintenance control for unreliable manufacturing system subject to degradation. International Journal of Advanced Manufacturing Technology, 77(1), 383-398.
Notas de autor