Determinación de la Vida Económica de un Equipo. Análisis de Sensibilidad de las Variables Intervinientes
Determination of the Economic Life of an Equipment. Sensitivity Analysis of the Intervening Variables
Determinación de la Vida Económica de un Equipo. Análisis de Sensibilidad de las Variables Intervinientes
Conciencia Tecnológica, núm. 53, 2017
Instituto Tecnológico de Aguascalientes
Recepción: 19 Diciembre 2016
Aprobación: 07 Mayo 2017
Resumen: El objetivo de este trabajo es determinar la vida económica de un equipo para el movimiento de tierras, del cual se cuenta con datos de su valor de adquisición y costos de mantenimiento. Luego se hace análisis de sensibilidad de esta vida económica ante cambios en algunas de las variables implicadas, como son la tasa de descuento, el valor de adquisición del equipo y la técnica de depreciación aplicada, que al definir el valor de rescate del equipo cada año, influye en el costo anual uniforme equivalente (CAUE), además de determinar si la vida económica se ve impactada por la técnica de depreciación utilizada. Como era de esperarse, la vida económica del equipo varía lineal y directamente con la tasa de descuento utilizada y dicho efecto es mayor para tasas bajas de interés. Si el costo de adquisición del equipo sube, la vida económica se incrementa, lo que implica reemplazar el equipo en un lapso de tiempo mayor. La principal aportación de este trabajo es que la vida económica se ve fuertemente impactada por la metodología de depreciación utilizada, dando valores máximos con técnicas de depreciación acelerada y mínimos con metodologías desaceleradas, ocupando la línea recta una posición intermedia. Esto lleva a la conclusión que, para definir una política apropiada de reemplazo de los equipos, deben tenerse en cuenta todas las variables antes comentadas.
Palabras clave: Política de reemplazo, vida económica, costo de mantenimiento, depreciación, costo anual uniforme equivalente.
Abstract: The aim of this study is to determine the economic life of an earth moving equipment, which it has data of acquisition value and maintenance costs. Then sensitivity analysis of this economic life in terms of some of the variables involved in their calculation is made, such as the discount rate, the purchase price of the equipment and depreciation technique applied, since it defines the redemption value of equipment each year, which affects the equivalent uniform annual cost (CAUE), in addition to determining if economic life is impacted by the depreciation technique used. As expected, the economic life of the equipment varies linear and directly with the discount rate used and this effect is greater for low interest rates. If the acquisition cost of the equipment goes up, economic life is also increased, which it involves replacing the equipment over a longer time. The main contribution of this work is that economic life has also been heavily impacted by depreciation methodology applied; giving maximum values with accelerated depreciation techniques and minimum values with decelerated methodologies, occupying intermediate position the straight-line depreciation technique. This leads to conclusion that defining a successful replacement policy of equipment, all the variables mentioned before should be taken into account.
Keywords: Replacement policy, economic life, maintenance cost, depreciation, equivalent uniform annual cost.
Introducción
Conocer el momento oportuno de hacer el reemplazo de un equipo o maquinaria es un aspecto de muy importante para cualquier empresa industrial, de manufactura o servicios, ya que hacerlo de manera tardía, ocasionará altos costos de mantenimiento y por el lado opuesto, si el reemplazo se hace en un lapso corto, el costo de adquirir equipos nuevos se eleva.
Para determinar el tiempo apropiado de reemplazo se utiliza el concepto de la vida económica de los equipos, que se define como el periodo de vida en que debe reemplazarse un equipo, ya que el costo total del equipo, que incluye su adquisición y mantenimiento, sea el mínimo.
De la ingeniería económica, para determinar la vida económica de un equipo se aplica la metodología del costo anual uniforme equivalente (CAUE), que al llevar los costos a una base uniforme anual, define la vida económica en el punto donde se obtenga el CAUE mínimo. Esto es una gran ventaja en comparación con otras técnicas provenientes de la contabilidad de costos y la administración financiera.
Con el CAUE se estima el costo anual del total de los rubros incurridos durante la vida del equipo, tales como su adquisición, venta final y gastos de mantenimiento durante su uso.
Entre los factores que incrementan el costo de un equipo por su desgaste, se cuentan los siguientes [1]:
Por esto la decisión del momento de reemplazar los equipos es importante, ya que repercute directamente en los costos de una organización y, por ende, en su rentabilidad.
El objetivo de este trabajo consta de 3 partes: la primera es la de definir mediante la metodología del costo uniforme anual equivalente (CAUE) el tiempo óptimo de reemplazo del equipo para el movimiento de tierras, del cual se dispone de la información de su costo de adquisición y mantenimiento durante su vida útil. La segunda parte busca mediante análisis de sensibilidad ante cambios en las variables que impactan al modelo, ver cómo impactan a los costos y la vida económica y la tercera parte es determinar si la metodología para estimar la depreciación anual del equipo afecta a su vida económica.
Fundamentos teóricos
Es frecuente en la selección de una política de mantenimiento, definir el objetivo que se busca, el cual suele ser minimizar los costos, que en la mayoría de los casos reportados en la literatura, se asumen constantes y sin descuento, lo que no se apega a la realidad.
Lo usual es que los costos de mantenimiento de un equipo aumenten con el tiempo, mientras que los de adquisición disminuyen, de modo que su suma, conocida en el ámbito de la ingeniería económica como costo anual uniforme equivalente (CAUE), hará un mínimo en un punto intermedio de la vida del equipo y es precisamente lo que define su vida económica. Además, es usual que estos costos de adquisición y mantenimiento se crucen en algún punto de la vida del equipo, el cual no coincide con el de la vida económica [2].
Robertson y Jones [3] señalan que los presupuestos de mantenimiento representan en promedio 20% del total de operación de las plantas, dependiendo del sector en que participan.
Según cifras de Mobley [4], en promedio la tercera parte (250 billones) del gasto en mantenimiento en plantas de Estados Unidos se aplica en actividades inefectivas de mantenimiento y en Europa las circunstancias son similares.
Por su parte, Cigolini, Fedele, Garetti y Macchi [5] afirman que los costos ocultos son más importantes que los contabilizados para el presupuesto de mantenimiento.
Esto da una clara idea de la importancia que tiene definir un plan apropiado de mantenimiento y reemplazo de equipos en las organizaciones de esta época, ya que repercute directamente es su rentabilidad económica.
En uno de los primeros trabajos sobre esta temática, Clapham [6] ha aplicado el modelo de vida económica considerando los costos de mantenimiento y adquisición, pero sin incluir la obsolescencia del equipo, lo cual podría llevar a malas decisiones.
Brenner y Venezia [7] han estudiado el impacto de la inflación y los impuestos en la duración óptima de una inversión, encontrando que la inflación no siempre incrementa la duración, como el caso de equipos con ciclo corto de reemplazo, en que la inflación ocasiona una disminución del ciclo y, contrario a lo que se supondría, puede elevarlas inversiones de capital.
Pfingsten y Ricke [8] han realizado un estudio sobre la vida económica de los equipos y afirman que dos principios bien conocidos son: 1) nunca es óptimo diferir una inversión con un valor presente neto positivo y 2) la ley general de reemplazo dice que la vida económica de un primer equipo es menor o igual a la de un segundo equipo. Los autores afirman que esto es válido aun si la tasa de descuento es variable.
Fan y Jin [9] comentan que la aplicación del modelo de vida económica para decidir el reemplazo de los equipos tiene algunas dificultades, ya que los costos de mantenimiento y reparaciones experimentan altibajos durante la vida de los equipos, ante lo cual proponen el uso de árboles de decisión basados en el comportamiento histórico de tales costos.
En un trabajo de investigación, Chen, Mizutani y Nakagawa [10] han estudiado una política de reemplazo de equipos que operan tiempos aleatorios. En un primer modelo, el equipo se reemplaza antes de un tiempo planeado para que aparezca una falla, o bien tras un tiempo dado de trabajo, lo primero que ocurra y, en un segundo modelo lo que suceda al final, midiendo el costo esperado y buscando una política de reemplazo que lo optimice.
Chow [11] ha estudiado la posibilidad de reemplazo de componentes en un producto ensamblado el cual se retrabaja, considerando tres políticas: la primera consiste en reemplazar todos los componentes malos con otros que no han sido probados y el producto ensamblado se prueba a causa de los componentes cambiados; en la segunda, se mantiene un inventario de componentes en buen estado y si después de una prueba, el número de componentes malos del producto es menor que el nivel existente de inventario, se reemplazan los componentes y el producto se envía para embarque, o en caso de no haber suficiente inventario de componentes buenos, se remueven todos los componentes del producto y los buenos se colocan en el inventario y el producto se ensambla con piezas no probadas y se prueba antes de su embarque; y en la tercer política, siempre se reemplazan los componentes malos con otros buenos y probados provenientes del inventario, por lo cual ya no se requieren pruebas y el inventario es suministrado por un proveedor independiente del producto, sin embargo, los productos deben esperar por buenos componentes, ya que podrían escasearse. Encuentra el autor que la primera política es adecuada cuando hay problemas de mantenimiento de componentes en el inventario, o bien si se requiere un alto rendimiento del producto o tiempos de prueba cortos; la segunda política es adecuada en caso que la línea de ensamble tenga un tiempo pequeño de entrega y poco inventario; y la tercer política es conveniente sólo si los componentes sueltos pueden ser proveídos por una fuente independiente. Por tanto, la selección de la política dependerá del rendimiento deseado, de las operaciones de prueba y su duración, del número de componentes del producto y de su demanda.
Sheu, Chen y Teng [12] presentan un modelo generalizado para encontrar el tiempo óptimo de reemplazo y el número de inspecciones, asumiendo que los costos de reparación son mínimos y los tiempos de inspección no son despreciables. El modelo es apropiado para sistemas en los que una falla puede llevar a la producción de artículos defectuosos y en los cuales las pruebas de los ítems son costosas en comparación con su valor económico.
Golmakani y Fattahipour [13] definen el mantenimiento basado en condiciones (CBM), que es una regla de reemplazo para dejar un equipo en operación hasta la siguiente inspección o no hacerlo, dependiendo de los resultados del monitoreo y lo usan para definir el límite de control óptimo, que es el tiempo de reemplazo del equipo, el cual lo hacen buscando minimizar los costos del sistema, que constan de inspección, mantenimiento y reemplazo. Si se hacen inspecciones más frecuentes, su costo aumenta, pero el de mantenimiento y reemplazo disminuyen, de modo que habrá un límite óptimo que minimice el costo total y defina en forma simultánea, el tiempo de reemplazo y los periodos para hacer las inspecciones.
Endharta y Yun [14] han hecho un estudio comparativo de tres políticas de reemplazo, una basada en tiempo, otra en el número de fallas del equipo y la tercera basada en el daño acumulado del equipo. Han definido la tasa de costo esperado como la función objetivo a optimizar. Cada política requiere de cierta información del daño acumulado del equipo. La tercera política es la mejor, pero requiere información del daño acumulado del equipo. Para casos en que el daño por shock se distribuya normalmente, la segunda política podría ser mejor que la tercera, pero sólo si la cantidad de daño por shock no tiene una varianza elevada.
Yeh y Chen [15] desarrollaron un modelo para determinar la política óptima de mantenimiento preventivo para productos reparables con costos de mantenimiento dependientes del tiempo que se hayan usado.
Karabakal, Lohmann y Bean [16] estudiaron un problema de reemplazo en paralelo para una flotilla de vehículos, en la cual se requería evaluar un portafolios de decisiones de reemplazo en cada periodo de tiempo, debido a la interdependencia económica entre los activos, la cual se generó por el racionamiento de capital. El problema lo formularon con programación entera binaria, el cual solucionaron con el algoritmo de bifurcación y acotación.
Gransberg y O´Connor [17] hicieron un estudio para la División de Servicios de Flotilla de Trabajos Públicos de Minneapolis (MPWFSD) para desarrollar un método robusto que permita a la administración de la flotilla maximizar la efectividad de sus costos mediante la optimización del ciclo de vida total de cada unidad. El método desarrollado usó la curva de deterioro de los equipos y variables de entrada probabilísticas para los costos de capital, de combustibles y otros costos operativos. Se encontró que la tasa de interés tuvo un impacto mayor en la vida económica de los camiones recolectores de basura que el costo del combustible. Mediante simulación de Montecarlo encontraron que las variables de entrada más sensibles fueron los factores de tiempo y del motor. Concluyen que, al momento de reemplazar una pieza del equipo, la eficiencia del motor es prioritaria debido a los costos asociados con el factor tiempo, el factor motor y su uso subsecuente.
Zhang y Guo [18] aplicaron un modelo de una política de reemplazo en bloque sin reemplazo al momento de falla, el que aplicaron al sistema de alumbrado de un aeropuerto para definir el tiempo óptimo de reemplazo de las unidades.
En la búsqueda de un plan de mantenimiento en un horizonte finito de tiempo que minimice su costo, Almgren, Andréasson, Patriksson, Strömberg, Wojciechowski y Önnheim [19] han considerado para costos monótonos en el tiempo, eliminar algunas restricciones para reducir el tiempo de cómputo, lo que permite el mantenimiento sólo cuando se requiere el reemplazo de al menos un componente. Para costos decrecientes, estas restricciones eliminan las soluciones no óptimas. En caso que el mantenimiento sea fijo, el problema se trata como un caso de programación lineal, que se resuelve mediante un algoritmo voraz, el cual reduce el tiempo de cómputo. Esto lo han aplicado al caso del mantenimiento de motores de aviones.
Kheirkhahsabetghadam, Ravanshadnia y Ramezani [20] aplicaron el modelo de vida económica al caso de un equipo WA-470 Komatsu para movimiento de tierras, usando un equipo nuevo para satisfacer la demanda básica y equipo usado en caso de demanda adicional, con un total de 73 equipos de carga en un proyecto de gran envergadura en Irán, lo que produjo ahorros significativos.
Alarcón, Rodríguez y Mourgues [21] comentan que en compañías constructoras de túneles, donde la producción se controla por la disponibilidad de equipo, las políticas de reemplazo no afectan al costo de la maquinaria, pero sí tienen un efecto decisivo en el costo total del proyecto y en su rentabilidad. Aun cuando los modelos de reemplazo de equipos señalan que los costos derivados de fallas de los equipos son significativos y deben tomarse en cuenta en las decisiones de reemplazo, la mayoría de los métodos fallan en su cálculo en sistemas complejos, lo que afecta las políticas de reemplazo. En este estudio, los autores evaluaron los costos derivados de la disponibilidad de equipo mediante simulación, la que también aplicaron a las actividades de perforación y explosión en 5 tipos de túneles. Encontraron que los costos derivados son relevantes en la decisión de reemplazo del equipo más costoso y en la definición de las políticas de reemplazo, lo que genera beneficios para este tipo de empresas.
Edwards, Holt y Harris [22] presentan una metodología para predecir el gasto de mantenimiento de excavadoras hidráulicas de orugas, el cual modelaron obteniendo una ecuación cúbica, siendo la variable predictiva el tiempo de uso del equipo.
Wu y Clements-Croome [23] determinaron que, para sistemas de servicios de construcción, la razón de costos de operación y mantenimiento respecto al costo inicial de una obra es un parámetro importante del ciclo de vida, si se busca definir una política apropiada de mantenimiento, por lo cual debe estimarse correctamente, ya que, si se usa un valor constante de dicha razón, puede llevar a decisiones equivocadas.
Boland y Proschan [24] han estudiado un sistema que se somete a shocks que llegan conforme a un proceso de Poisson homogéneo o no homogéneo. Puesto que cada shock que surge debilita al sistema y lo hace más costoso de operar, es deseable definir una política de reemplazo. En este estudio consideran el reemplazo periódico y presentan una condición necesaria y suficiente para que haya un periodo finito óptimo. El problema se ha estudiado para periodos de tiempos finitos e infinitos. Además, los autores estudiaron un sistema que falla con la aparición de un segundo shock.
Nakagawa, Zhao y Yun [25] parten del hecho que cuando el tiempo de falla es exponencial, no hay un tiempo de reemplazo preventivo finito para los equipos. Sin embargo, dicho tiempo puede obtenerse mediante la introducción de costos de exceso y escasez.
Nodem, Gharbi y Kenné [26] presentan un caso especial de integración del mantenimiento preventivo con una política de reparación/reemplazo para un sistema propenso a falla. Dicho sistema exhibe una creciente intensidad de fallas y mayores tiempos de reparación, que para lograr su disminución hay un incentivo por mantenimiento preventivo antes de que surjan las fallas. Cuando aparece una falla, el equipo puede repararse o reemplazarse, de modo que su estado puede ser en operación, en reparación, en reemplazo o en mantenimiento preventivo. Las variables de decisión del problema son el tiempo operado para reparación o reemplazo, el número de fallas antes del reemplazo, así como la tasa de mantenimiento preventivo. El problema lo formulan como un proceso de decisión semi markoviano, que busca minimizar el costo incurrido en mantenimiento preventivo, reparaciones y reemplazo en un horizonte finito de tiempo. Como era de esperarse, la decisión de reparar o reemplazar depende del mantenimiento preventivo que se haya dado al equipo.
Sheu, Chang y Chiu [27] han estudiado un sistema sujeto a fallas, las que suceden conforme a un proceso no homogéneo de Poisson. Cuando ocurre una falla, ésta puede ser catastrófica, que implica reemplazo del equipo o una falla reparable, la cual se logra con una reparación mínima. El sistema incluye una restricción de seguridad para controlar el riesgo de que suceda una falla grande. Lo resuelven mediante el método bayesiano a priori conjugado para encontrar la política óptima de reemplazo.
Tokumoto, Dohi y Yun [28] aplicaron el método de Bootstrapping para encontrar la distribución de probabilidad de un estimador del tiempo óptimo de reemplazo en estado estable de un equipo, así como sus intervalos de confianza y sus momentos de órdenes superiores.
Como puede verse, en la literatura revisada no se encontró nada respecto al impacto de la técnica de depreciación utilizada sobre la vida económica de los equipos, lo cual es una aportación de este estudio, la de contrastar la hipótesis si la depreciación influye o no en la vida económica.
Materiales y métodos
El tiempo óptimo de reemplazo se define con la vida económica del equipo, es decir, el lapso de tiempo en el cual el costo anual uniforme equivalente (CAUE) es el mínimo. Esta es una técnica de la ingeniería económica y es la usual para solucionar este tipo de problemas, asumiendo que es superior a otras que se derivan de la contabilidad de costos.
Una de las ventajas de esta metodología es la de posibilitar la comparación de equipos con vidas útiles diferentes, ya que los costos de adquisición y mantenimiento se llevan a una base de tiempo uniforme, que es de un año.
El CAUE se calcula con la ecuación siguiente:

Donde:
P = Valor inicial de adquisición del equipo, $
F = Valor final del equipo, $
i = Tasa de interés aplicable, fracción anual
n = Vida útil del equipo, años
VPmt = Valor presente de mantenimiento del equipo, $
A = Pago periódico anual del equipo, $/año
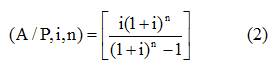
El factor (A/P,i,n) puede obtenerse de tablas de equivalencias de matemáticas financieras, o bien calcularse mediante la relación siguiente:

En la cual ya todos los términos se han definido previamente.
Para la tasa de interés suele utilizarse el costo de capital de la organización, o bien una tasa de rendimiento mínima aceptable.
Por su parte, el valor presente del mantenimiento puede estimarse mediante la ecuación:

El subíndice j se refiere al año y Mj es el costo de mantenimiento del año j, el cual incluye tanto mantenimiento correctivo como preventivo.
Con esto la vida económica del equipo se va calculando cada año y donde este costo (CAUE) sea el mínimo, indicará el momento oportuno de hacer el reemplazo del equipo.
Al observar la ecuación (1), los dos primeros términos se refieren al costo de adquisición del equipo y el tercer término al costo del mantenimiento, de modo que donde la suma de ambos sea mínima, señalará el tiempo en que el equipo deba reemplazarse.
Además, el valor F del equipo para cada año será su valor en libros y éste irá disminuyendo justo en la cantidad que se vaya depreciando, según la técnica de depreciación aplicada.
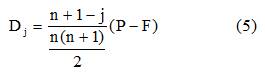
La metodología usual para calcular la depreciación es la línea recta (LR), conforme a la ecuación (4), ya que es la permitida por las autoridades hacendarias de muchos países:

Siendo Dj el monto a depreciar en el año j y los demás términos ya han sido definidos antes, aclarando que en este caso F es el valor del equipo al final de su vida útil o el valor de salvamento.
Con fines comparativos se han aplicado otras técnicas de depreciación, para ver si la vida económica del equipo es susceptible a la metodología usada, tal y como se presenta en este estudio, en el que se aplican las técnicas de depreciación acelerada de la suma de dígitos de los años (SDA) y el saldo decreciente (SD) y la técnica desacelerada del fondo perdido (FP).
Para el caso de la suma de dígitos de los años, el monto a depreciar cada año se estima con la ecuación:

Donde Dj es la cantidad a depreciar en el año j, la cual será mayor el primer año e irá disminuyendo cada año subsecuente.
Para el caso del saldo decreciente, el monto a depreciar se calcula con la ecuación (6):

Siendo Bj-1 el valor en libros del año inmediato anterior y p la fracción a utilizar para el cálculo de la depreciación, la cual, si se desea que el valor de rescate del equipo coincida con el valor en libros, debe estimarse con la ecuación siguiente:

En la cual ya todos sus términos son conocidos.
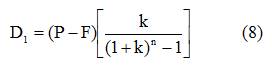
Finalmente, para la depreciación desacelerada, la ecuación para calcular el monto de depreciación a fondo perdido del primer año es:

Siendo k la tasa de rendimiento financiero de los fondos de depreciación, para lo cual suele aplicarse la de la rentabilidad de la empresa.
Y para los años posteriores, la depreciación será mayor conforme a la fórmula siguiente:

Hasta llegar al año final de la vida útil del equipo.
Lo que se hará para los datos del caso base que se presenta, es estimar la vida económica del equipo y luego analizar la sensibilidad de esta variable ante cambios en la tasa de interés aplicada y en los valores de adquisición del equipo.
Luego se hará un comparativo con las diferentes metodologías de depreciación comentadas, para ver si esto afecta a la vida económica del equipo.
Caso base ilustrativo
Se tiene el caso de una empresa que ha adquirido un equipo nuevo para movimiento de tierras por un monto de 320,000 US dólares, su vida útil proyectada es 10 años, su valor de rescate al final es 60,000 US dólares y la tasa de interés para hacer las estimaciones será la del costo de capital de la organización, que es 10% anual. La rentabilidad de la empresa es 20% anual y se tiene registro de 15 años de sus costos de mantenimiento con equipos similares, ya que éstos se usan aun después del término de su vida útil, dichos costos son:

Se desea estimar la vida económica del equipo y analizar su sensibilidad ante cambios en la tasa de interés, la técnica de depreciación aplicada al equipo y sus valores de adquisición.
Resultados y discusión
Lo primero es calcular el CAUE para diferentes vidas útiles del equipo con los datos del caso ilustrativo, lo que se ilustra para el caso en que la vida del equipo sea 5 años.
Primero se calcula el valor presente del mantenimiento con la ecuación (3):

El factor de equivalencia (A/P, i, n) es:

Luego se calcula el valor final del equipo en el año 5, para lo cual al valor inicial habrá que restarle 5 años de depreciación con la metodología de la línea recta, cuyo monto anual se estima con la ecuación (4):

Con lo cual el valor del equipo al final del año 5 es:

Con esto el CAUE es:

Si se repiten estos cálculos para otras vidas útiles del equipo, se generan los resultados de la tabla 2:

El CAUE mínimo ha ocurrido para una vida del equipo de 3 años, por lo cual ésta es la vida económica del equipo e indica el momento de hacer el reemplazo, independientemente que su vida útil proyectada sea diferente.
El gráfico de la figura 1 muestra cómo cambian los costos de adquisición y mantenimiento en función de los años de vida del equipo. Como es de esperarse, el costo de adquisición es mayor los primeros años que el de mantenimiento, lo que sucede hasta el año 8, que es donde se da el cruce, mientras que el mínimo sucede en el año 3, lo que depende de la estructura de costos de adquisición y mantenimiento del equipo.

Si se varía la tasa de interés para analizar su impacto en el costo del equipo y en su vida económica, la figura 2 presenta su efecto en el costo. Pude verse que el costo sube de manera lineal con la tasa de interés, ya que el ajuste, medido por el coeficiente de determinación (R2) es 0.9974, lo que indica un valor casi perfecto y la pendiente de la recta dada por la ecuación señala que por cada 0.1 puntos que se incremente la tasa de interés, el costo se eleva en 27,355 dólares anuales.
Por su parte la figura 3 muestra el impacto de la tasa de interés en la vida económica del equipo. La figura muestra que el cambio es casi lineal, aunque con una pendiente menor del lado izquierdo para bajas tasas de interés, donde por cada dos puntos porcentuales que suba la tasa, la vida económica aumenta un año, mientras que, en el lado derecho del gráfico, la vida económica aumenta 0.8 años por cada punto porcentual que se incremente la tasa de interés.


En general la vida económica del equipo aumenta con la tasa de interés, lo que es lo usual y se debe básicamente a que el costo de adquisición se eleva en mayor medida con la tasa de interés, lo que lleva la vida económica al alza e implicaría reemplazar el equipo en un número mayor de años.
Otro análisis de interés es ver lo que pasa con el costo óptimo del equipo y la vida económica cuando se modifica el costo de adquisición, lo que alteraría la estructura de costos de adquisición y mantenimiento.
El impacto del valor de adquisición del equipo (P) en el CAUE se presenta en la figura 4, en la que puede apreciarse que el cambio es lineal con una pendiente que señala que por cada dólar que se incremente P, el CAUE aumenta 0.19 dólares anuales, esto es un 19% respecto al valor de adquisición del equipo.

La figura 5 muestra el cambio de la vida económica del equipo al variar su costo de adquisición:

La figura muestra un cambio directo y prácticamente lineal, a razón de un año más de vida del equipo por cada $34,000 que aumente su valor de compra. Este incremento se explica por el hecho de que al costar más caro el equipo en relación al costo de mantenimiento, implicará estarlo reemplazando en mayores lapsos de tiempo y continuar con el mantenimiento, al ser éste más barato.
Hasta este momento se ha resuelto la situación del caso base, definiendo su vida económica en 3 años y los resultados han sido lo que se esperaba.
Finalmente, si se hace un comparativo con las técnicas de depreciación presentadas, como son la línea recta (LR), la suma de dígitos de los años (SDA), el saldo decreciente (SD) y el fondo perdido (FP), la figura 6 muestra los CAUE para diferentes años de vida del equipo:

Cabe aclarar que para hacer este comparativo, después del año 10 que supone el final de la vida útil del equipo, lo que éste se sigue depreciando es el monto calculado con la metodología de la línea recta.
En la figura puede apreciarse que, con excepción de las dos técnicas de depreciación acelerada, para las que prácticamente el CAUE ha sido muy similar en todo el gráfico, lo que hace que las dos líneas estén prácticamente empalmadas, en los primeros años es donde hay diferencias significativas del CAUE entre las técnicas de depreciación, siendo mayor para las técnicas aceleradas, un valor intermedio para la línea recta y un valor notoriamente menor para la metodología FP. La vida económica con las técnicas aceleradas ha resultado en 10 años para el caso base, con la línea recta han sido 3 años y con FP sólo 1 año, lo que hace ver que el impacto de las diferentes técnicas de depreciación en la vida económica del equipo es fuerte.
También puede verse que, del año 10 en adelante, el CAUE obtenido es el mismo para todas las técnicas de depreciación.
Si se hace el comparativo de estas técnicas de depreciación con diferentes tasas de descuento, se obtienen los resultados de la tabla 3:

Se observa que los mayores cambios se han dado con la línea recta y no ha habido ningún cambio con la metodología del fondo perdido, que para que la vida económica del equipo sea mayor de un año, se daría sólo con una tasa de descuento mayor al 35% anual.
Los resultados más parecidos han sido los de las dos técnicas de depreciación acelerada, los cuales muestran diferencias en la vida económica de sólo uno o dos años en el caso de tasas de descuento más bajas.
Sin embargo, las diferencias en la vida económica calculada con las metodologías de depreciación utilizadas han sido muy grandes, lo cual es un hallazgo y la principal aportación de este trabajo.
Conclusiones
Se concluye que la vida económica está en función de la estructura de los costos, tanto de adquisición como de mantenimiento del equipo y es una técnica útil para ahorrar costos para una organización, al definir el tiempo en que deben reemplazarse sus equipos.
En concordancia con lo señalado por Jardine y Tsang [2] la vida económica del equipo para el caso presentado no ha coincidido con el punto donde se cruzan los costos de adquisición y mantenimiento del equipo.
De igual manera y de acuerdo a los hallazgos de Gransberg y O´Connor [17], la tasa de descuento ha tenido un fuerte impacto en la vida económica del equipo, que para el caso particular bajo estudio, se ha dado en mayor cuantía con tasas de interés bajas.
El CAUE del equipo sube de manera lineal con la tasa de descuento empleada, con un ajuste casi perfecto.
Si se aumenta el costo de adquisición del equipo (P), el CAUE sube de manera lineal y con un ajuste excelente.
La vida económica del equipo también cambia de manera directa y lineal con el valor de compra del equipo, lo que va en consonancia con lo señalado por Wu y Clements-Croome [23] que para establecer una buena política de reemplazo deben tenerse en cuenta los costos del sistema.
La aportación más importante de este estudio es que la vida económica ha sido fuertemente afectada por el método de depreciación aplicado al equipo, ya que éste fija su valor en libros al final en cada periodo.
La vida económica resulta mayor con técnicas de depreciación acelerada y menor con desacelerada y tales cambios son significativos, lo que hace ver que la política de reemplazo que se establezca deberá tener en cuenta la manera de calcular la depreciación, que por lo general es la de la línea recta.
También es pertinente comentar que la manera como se estimen los costos de mantenimiento es importante para definir la vida económica de los equipos, por lo cual habrá que tener cuidado en la manera cómo se estimen.
Los costos de mantenimiento dependen de la política de mantenimiento seguida por las organizaciones, ya que hoy día muchas empresas innovadoras han optado por implementar el mantenimiento productivo total (MPT), el cual incluye 3 partes: correctivo, preventivo y predictivo. El estudio de estos sistemas, dará lugar a mucho trabajo futuro sobre el tema.
Referencias
[1] Izar-Landeta, J. M., (2013). Ingeniería Económica y Financiera, México: Trillas.
[2] Jardine, A. K. S., y Tsang, A. H. C., (2013). Maintenance, Replacement, and Reliability: Theory and Applications, 2nd ed, Boca Raton, USA: CRC Press, Taylor & Francis Group.
[3] Robertson, R., y Jones, A., (2004). “Pay day”, en Plant Engineering Maintenance, Vol. 28, No. 9, p. 18–25.
[4] Mobley, R. K., (2004). Maintenance Fundamentals, 2nd ed., Amsterdam, The Netherlands: Elsevier.
[5] Cigolini, R., Fedele, L., Garetti, M., y Macchi, M., (2008). “Recent advances in maintenance and facility management”, en Production Planning & Control, Vol. 19, No. 4, p. 279–286.
[6] Clapham, J. C. R., (1957). “Economic Life of Equipment”, en Journal ofOperational Research Society, Vol. 8, No. 4,p.181-190.
[7] Brenner, M., y Venezia, I., (1983). “The Effects of Inflation and Taxes on Growth Investments and Replacement Policies”, en The Journal of Finance, Vol.38, No. 5, p. 1519-1528.
[8] Pfingsten, A., y Ricke, M., (2002). “The Economic Life of Industrial Equipment Reconsidered”, Disponible en: SSRN: http://ssm.com/abstract=812864 , p. 1-14.
[9] Fan, H., y Jin, Z., (2011). “A Study on the Factors Affecting the Economical Life of Heavy Construction Equipment”, en Proceedings of the 28th ISARC, Seoul, Korea, p. 923-928.
[10] Chen, M., Mizutani, S., y Nakagawa, T., (2010). “Random and Age Replacement Policies”, en International Journal of Reliability, Quality and Safety Engineering, Vol. 17, No. 1, p. 27-39.
[11] Chow, W. M., (1992). “Component replacement policies for reworkable assemblies”, en International Journal of Production Research, Vol. 30, No. 7, p. 1671-1681.
[12] Sheu, S. H., Chen, Y. C., y Teng, L. H., (2005). “Optimal Periodic Replacement Policy with Checking Time”, en International Journal of Reliability, Quality and Safety Engineering, Vol. 12, No. 1, p. 19-29.
[13] Golmakani, H. R., y Fattahipour, F., (2011). “Optimal replacement policy and inspection interval for condition-based maintenance”, en International Journal of Production Research, Vol.17, No. 1, p. 5153-5167.
[14] Endharta, A. J., y Yun, W. Y., (2014). “A Comparison Study of Replacement Policies for a Cumulative Damage Model”, en International Journal of Reliability, Quality and Safety Engineering, Vol. 21, No. 4, p. 1450021.
[15] Yeh, R. H., y Chen, M. Y., (2005). “Optimal Preventive-Maintenance Warranty Policies for Repairable Products with Age-Dependent Maintenance Costs”, en International Journal of Reliability, Quality and Safety Engineering, Vol. 12, No. 2, p. 111-125.
[16] Karabakal, N., Lohmann, J. R., y Bean, J. C., (1994). “Parallel Replacement under Capital Rationing Constraints”, en Management Science,Vol. 40, No. 3, p. 305-319.
[17] Gransberg, D. D., y O´Connor, E. P., (2015). “Major Equipment Life-cycle Cost Analysis, Research Project. Final Report”, Minnesota Department of Transportation, p. 1-66.
[18] Zhang, C., y Guo, C., (2014). “Uncertain block replacement policy with no replacement at failure”, en Journal of Intelligent & Fuzzy Systems,Vol.27, No. 4, p. 1991-1997.
[19] Almgren, T., Andréasson, N., Patriksson, M., Strömberg, A.B., Wojciechowski, A., y Önnheim, M., (2012). “The opportunistic replacement problem: theoretical analyses and numerical tests”, en Mathematical Methods of Operations Research, Vol. 76, No. 3, p. 289-319.
[20] Kheirkhahsabetghadam, P., Ravanshadnia, M., y Ramezani, S., (2012). “Determining Economic Life of Earth Moving Equipment by Using Life Cycle Cost Analysis: Case Study”, en Proceedings of International Conference on Construction and Real Estate Management (ICCREM 2012), p. 1-6.
[21] Alarcón, L. F., Rodríguez, A., y Mourgues, C., (2012). “Impact of Machine-Failure Costs on Equipment Replacement Policies: Tunneling Company Case Study”, en Journal of Construction Engineering and Management, Vol. 138, No. 6, p. 767-774.
[22] Edwards, D. J., Holt, G. D., y Harris, F. C., (2000). “Estimating life cycle plant maintenance costs”, en Construction Management and Economics, Vol. 18, No. 1, p. 427-435.
[23] Wu, S., y Clements-Croome, D., (2007). “Ratio of Operating and Maintenance Costs to Initial Costs of Building Services Systems”, en Cost Engineering, Vol. 49, No. 12, p. 30-33.
[24] Boland, P. J., y Proschan, F., (1983). “Optimum Replacement of a System Subject to Shocks”, en Operations Research, Vol. 31, No. 4, p. 697-704.
[25] Nakagawa, T., Zhao, X., y Yun, W. Y., (2011). “Optimal Age Replacement and Inspection Policies with Random Failure and Replacement Times”, en International Journal of Reliability, Quality and Safety Engineering, Vol. 18, No. 5, p. 405-416.
[26] Nodem, F. I. D., Gharbi, A., y Kenné, J. P., (2011). “Preventive maintenance and replacement policies for deteriorating production systems subject to imperfect repairs”, en International Journal of Production Research, Vol. 49, No. 12, p. 3543-3563.
[27] Sheu, S. H., Chang, C. C., y Chiu, C. H., (2011). “Age Replacement Policy with a Safety Constraint via the Bayesian Method”, en Communications in Statistics-Theory and Methods, No. 40, p. 4151-4164.
[28] Tokumoto, S., Dohi, T., y Yun, W. Y., (2014). “Bootstrap Confidence Interval of Optimal Age Replacement Policy”, en International Journal of Reliability, Quality and Safety Engineering, Vol. 21, No. 4, p. 1450018.