Artículos
Recepción: 14 Diciembre 2018
Aprobación: 19 Enero 2019
Resumen: Actualmente los modelos asociados a inestabilidad de suelos son idealizados matemáticamente, otros se basan en experimentación, laboratorio y otros son probabilísticos con datos históricos. El objetivo fue proponer un acoplamiento hidrogeomecánico para determinar la variación de la energía interna del proceso masa de suelo más flujo de agua, a partir de las leyes gobernantes de la Mecánica del Continuo, con apoyo de la Mecánica de sólidos, de suelos y de fluidos. Se planteó la ecuación de equilibrio para la masa de suelo y de movimiento para el flujo de agua, se revisó la conservación de la masa y continuidad de flujo. Se aplicó la ecuación de balance de energía, se describió la potencia de esfuerzos y potencia de flujo para obtener la energía interna del sistema, de la cual se plantearon las condiciones iniciales y de frontera. En un primer caso de aplicación se utilizaron los datos experimentales y de laboratorio, donde la combinación del esfuerzo del suelo y el flujo de agua juegan un rol importante para la variación de la energía interna. Los resultados fueron consistentes al compararlos con el método del talud infinito, además de que el modelo propuesto acopla el efecto Geomecánico e Hidrogeológico del proceso.
Palabras clave: Acoplamiento, potencia de esfuerzos, potencia de flujo.
Abstract: Currently the models associated with soil instability are idealized mathematically, others are based on experimentation, laboratory, and others are probabilistic with historical data. The objective was to propose a hydrogeomechanical coupling to determine the variation of the internal energy of the soil mass process plus water flow, from the governing laws of Continuum Mechanics, with the support of Mechanics of solids, soils and fluids. The equilibrium equation was proposed for the mass of soil and movement for the flow of water, the conservation of mass and continuity of flow was revised. The energy balance equation was applied, the stress power and flow power were described to obtain the internal energy of the system, from which the initial and boundary conditions were raised. In a first case of application, experimental and laboratory data were used, where the combination of soil stress and water flow play an important role for the variation of internal energy. The results were consistent when compared with the infinite slope method, in addition to the proposed model coupling the Geomechanical and Hydrogeological effect of the process.
Keywords: Coupling, stress power, flow power.
Introducción
Hoy en día existen diversos modelos para el estudio de los procesos del flujo de agua en el suelo, pero todos presentan ciertos alcances y limitaciones dependiendo del problema. Por ejemplo, los modelos probabilísticos estiman un índice de confianza y factor de seguridad [1]. Los métodos convencionales de factor de seguridad (Fellenius, Bishop, Janbu, Morgenstern y Price, etc.), son los más utilizados para deslizamientos, ya que determinan la masa que tiende a moverse bajo la influencia de la gravedad. Algunos modelos involucran condiciones hidrogeológicas transitorias y geométricas [2], [3], [4]. También se ha desarrollado software que incorpora estado transitorio de flujo de agua, como el Shallow Slope Stability Model (SHALSTAB), el Transcient Rainfall Infiltration and Grid-based Regional Slope-Stability Model (TRIGRS), TRIGRS-unsaturated, SEEP/W y el GEO-SLOPE.
Así mismo, se han presentado modelos acoplados como el modelo de estabilidad del talud infinito [5], el code_bright que resuelve de forma acoplada el flujo y la deformación para presiones de agua [6]. Además, se han propuesto soluciones ajustadas a geometrías simplificadas para validar equipos como el trabajo friccional del movimiento del suelo [7]. Otro grupo son los modelos de elementos finitos comúnmente utilizados en problemas de Ingeniería Geotécnica, ya que incorporan condiciones iniciales y de frontera [8], pero su uso es limitado en la solución de problemas prácticos de estabilidad de suelos [9], ya que los análisis son costosos y requieren considerable esfuerzo y gastos en el desarrollo de parámetros para los modelos [10].
También existen modelos cinemáticos, que asumen que la capacidad de infiltración del suelo siempre se excede con precipitaciones intensas, así el flujo superficial Hortoniano es ignorado y sólo el flujo saturado en el suelo es considerado [11]. Por su parte, [12] indican que los modelos cinemáticos de la onda no son recomendables para la modelación física de flujo continuo en múltiples pendientes. Finalmente, los modelos mecánicos parten de un estado en equilibrio, el cual es sometido a un estado de esfuerzos que genera una deformación del material, de tal forma que ello puede dar lugar a un cambio reversible (estático), un reacomodo local (dinámico) o bien un cambio irreversible (cinemático), manifestándose como un cambio de posición del material deformado. Dentro de los anteriores se encuentra la regla asociativa de flujo [13], [14] ya que el suelo posee la propiedad de fluencia y relajación.
Es evidente la existencia de varios métodos para el estudio de la inestabilidad de suelos, algunos con mayor precisión, pero con cierto grado de dificultad que se ve reflejado en la escasa aplicación, y otros con mayor aplicación, pero arrastrando mayor incertidumbre. Pese a lo anterior, en todos los métodos es clara la influencia del flujo de agua [5], y a pesar de ello los actuales modelos no incluyen una componente de conectividad para flujo subsuperficial de agua. Por lo que el objetivo de esta etapa de la investigación fue proponer un acoplamiento hidrogeomecánico para determinar la variación de la energía interna del proceso masa de suelo más flujo de agua a partir de las leyes gobernantes de la Mecánica del Continuo con apoyo de la Mecánica de sólidos, de suelos y de fluidos.
Materiales y métodos
Trabajos preliminares
Debido a que la mayoría de los sistemas físicos modelados matemáticamente requieren identificar variables y/o factores, experimentar iterativamente el fenómeno y realizar suposiciones, para finalmente recalibrar y ajustar el modelo [15], por lo anterior previamente fue necesario diseñar y construir un equipo para reproducir iterativamente el proceso de flujo dentro de una masa de suelo [16], de lo cual se diseñaron diversos escenarios, se recaudaron muestras de suelo alteradas e inalteradas para determinar parámetros hídricos, edafológicos y mecánicos [17].
Conceptualización del proceso
Se tomaron en cuenta las siguientes suposiciones:
* El peso del suelo aumenta proporcionalmente a razón de la tasa de infiltración en el suelo.
* El primer estrato del perfil de suelo es más permeable que la capa subyacente.
* El flujo subsuperficial se inicia una vez que el agua atraviesa la capa evaporante a razón del gradiente hidráulico.
* Existe presión de poro positiva donde tiene lugar el flujo lateral y, en consecuencia, el flujo vertical no genera presión de poro [18].
* La presencia de fuerzas o resistencias complementaria pueden o no ser importantes en relación con la capa de suelo analizada.
* Los macroporos de la primera capa de suelo pueden estar conectados con salida al exterior dando lugar a la liberación de la presión del agua acumulada.
* La densidad y el volumen de la condición suelo más flujo pueden cambiar durante el proceso, pero la masa de suelo será constante.
Planteamiento
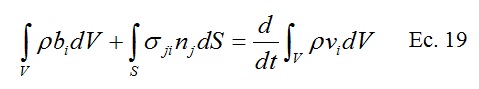
Para fines prácticos se utilizará v para interpretar movimiento de flujo de agua (vector de velocidad usado en Mecánica de Fluidos) y u asociado a desplazamientos de masa de suelo (vector de desplazamiento utilizado en Mecánica de Sólidos). De esta forma se consideró que, el volumen arbitrario diferencial de masa de suelo está en un campo gravitacional ρb(X1, X2, X3, t), así la tierra ejerce campos de fuerza sobre el suelo. En equilibrio, solo interviene la fuerza de tracción aplicada a la superficie y la fuerza del esqueleto sólido de masa m, tal que el integrando es cero [19], [20], en función del volumen y superficie de tracción se expresa en la ecuación 1:

Con el teorema de la divergencia de Gauss se relaciona la integral de volumen con la integral de superficie, mediante un vector unitario n que es normal a la superficie S que contiene al punto, por lo que aplicando y reordenando se obtiene la ecuación de equilibrio en su forma local como:

Con respecto a la acción del agua dentro de la masa de suelo está compuesta por: i) la tasa neta de flujo de agua QC por conducción desde su entorno, y ii) el suministro de agua QS debido a la distribución desde la frontera del sistema, con dirección en el mismo sentido de flujo, expresado como:

Con base en la Hidrología Subterránea, se realiza la transformación para asignar el vector v como el flujo de Darcy q, para una tasa de distribución instantánea considerando el contenido volumétrico de agua θ (régimen no saturado), o para una tasa de descarga específica tomando en cuenta la porosidad efectiva n, (régimen saturado), las cuales son respectivamente:


Además, durante la conducción de flujo de agua el suelo opone una resistencia de avance, por lo que para cualquier punto dentro del sistema:

Por otra parte, la capacidad del suelo para permitir el movimiento del flujo está asociado con la conductividad hidráulica y el gradiente hidráulico por unidad de superficie, tal que ahora:

Para el caso de la carga hidráulica h, al ser un campo escalar, se aplica el gradiente para conocer la máxima razón de cambio en la dirección de las derivadas principales:

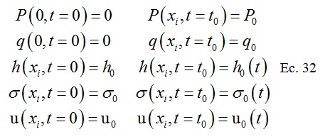
Con respecto al suministro, fuente o recurso de aplicación se tiene como una tasa volumétrica a la cual el agua es agregada al sistema por unidad de volumen por unidad de tiempo, así:

Donde P es un campo escalar.
Conservación de la masa y continuidad de flujo
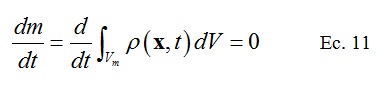
Si p = p (X,t) muestra la densidad en un tiempo t, la masa está asociada con la inercia del cuerpo de suelo, como una tendencia a la resistencia a cambios al experimentar movimiento, es decir es función variable de espacio y tiempo, entonces:

Pero es invariante al movimiento y permanece constante en una configuración de referencia y una actual, por la ley de conservación de masa la derivada es cero en un volumen material:

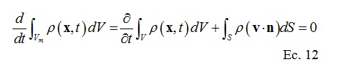
Asumiendo que el tamaño de las partículas es el mismo en el tiempo, y que el movimiento de la mezcla (Vm) en la frontera depende del tiempo, con esto es posible aplicar el teorema de transporte de Reynolds de la forma:




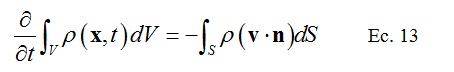
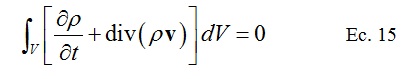
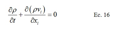
De esta forma, para la ecuación de continuidad en la forma espacial el integrando debe satisfacer la siguiente igualdad:

Ecuación de balance de energía
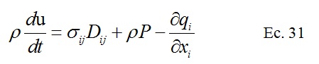
Considerando un comportamiento elástico y con apoyo de la Física y Mecánica Clásica, es posible disponer de la ecuación de balance de energía, comúnmente utilizada para flujo de calor en materiales [21], [22], [23], [24], [19], [25], pero se puede aplicar a medios porosos, sean materiales de tipo fluido o sólidos o elásticos que experimenten procesos reversibles o irreversibles, por tal en esta investigación se propone aplicar dicha ecuación para la condición “masa de suelo + flujo de agua”, tal que la ecuación es expresada como:

Donde ahora K es la suma de las energías cinéticas, U la energía interna total del esqueleto de suelo, P es la entrada de la potencia mecánica y H es la potencia de la tasa de flujo de agua. Al derivar por unidad de tiempo la parte izquierda se llega a una potencia mecánica y una potencia hidráulica, es decir al trabajo hecho por el sistema y a la energía suministrada. Reconsiderando la ecuación de equilibrio y de la conservación de la masa, una variación instantánea por efectos externos se puede expresar a partir de la segunda Ley de Newton como:

La tasa de cambio del momento lineal se iguala a las fuerzas que actúan sobre el cuerpo:

El integrando se iguala a cero y la parte local muestra la ecuación de movimiento de la forma:

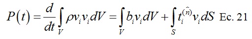
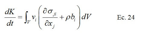
Por lo que ahora es posible determinar la potencia mecánica a partir de la ecuación 19:

Donde la tasa de trabajo es:

Y para la energía cinética:

Con la ecuación de movimiento sustituida en la ecuación anterior se obtiene:

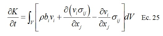
Por la regla de la cadena, manipulando términos y sustituyendo en la ecuación 24 se llega a:

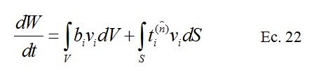
Donde existe un gradiente de velocidad espacial definido por la tasa de deformación y vorticidad como tensores de orden dos. Retomando la ecuación 21, en la 25, existe una tasa a la cual el trabajo es realizado para cambiar el volumen, por lo que:

Por la ecuación 21, la expresión anterior muestra el trabajo total hecho por fuerzas externas al incrementar la energía cinética, donde ahora eventualmente S es

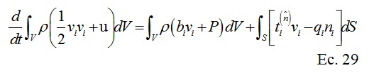
Esta última expresión es el trabajo de los esfuerzos y el integrando es la potencia de esfuerzos, que para el caso de estudio representa una expansión del sistema. Para la energía interna se tiene que:

Donde u es la energía interna específica o la densidad de energía por unidad de masa, tal que la variación de la energía interna y cinética causan trabajo externo, entonces de la ecuación 17, y retomando la conducción de flujo planteado con anterioridad donde -qi indica la pérdida de energía del flujo por conducción y al cruzar un elemento de superficie dS por un vector ni normal hacia fuera del cuerpo. Reagrupando términos conocidos en la ecuación de energía se tiene:

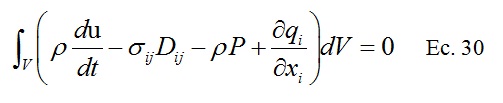
Con la conversión de integrales de superficie a integrales de volumen, y de la ecuación de movimiento, la ecuación anterior se reduce a:


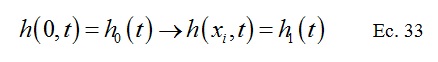
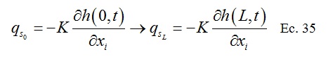
La cual en esta investigación se ha deducido para un proceso denominado hidrogeomecánico, donde la tasa de cambio de la energía interna es igual a la expansión del medio, más la fuente de suministro menos la conducción de flujo dentro de la masa de suelo. Para una primera capa de suelo, las fuentes pueden ser internos o externos, en este último caso representan las condiciones de frontera y pueden ser una carga específica localizada o flujo específico de entrada. Por lo que, en medio saturado, las condiciones iniciales y de frontera propuestas pueden expresarse como:

Por la condición de Dirichlet para la variación de la carga hidráulica

Y para la condición de Neuman

Por lo que el flujo de agua:

Caso de aplicación preliminar
El inconveniente hasta ahora es la falta de datos experimentales para analizar y validar procesos acoplados, por lo que los datos obtenidos por [17] de forma experimental y de la recolección de muestras de suelo fueron utilizados para revisar el comportamiento del proceso flujo de agua en la masa de suelo.
Resultados y discusión (preliminar)
Hasta ahora se ha obtenido que, cuando el esfuerzo normal es bajo, la energía interna es pequeña y de esta forma, la intensidad de lluvia reproducida puede ser importante, además a mayor esfuerzo normal mayor energía mecánica necesaria para generar inestabilidad el esqueleto de suelo, para altas precipitaciones la energía hidráulica aumenta, de esta forma se delimitaron con cuartos de círculo las intensidades de lluvia (débil, moderada, fuerte, intensa, torrencial y extrema). Pero con bajo esfuerzo normal del suelo la conductividad hidráulica es pequeña aún para altas intensidades de lluvia y de acuerdo con la Figura 1 suelos con conductividad hidráulica menor de 60 mmh-1 (vertical y lateral) y esfuerzo normal menor a 1.5 kgcm-2 fueron los más susceptibles a movilizarse, tal como ocurrió en previas experimentaciones.
Al comparar los resultados obtenidos con el método del talud infinito para factor de seguridad elástico, se obtuvo que la propuesta metodológica es aceptable. Además, la presencia de grietas de tensión es un factor importante, ya que eventualmente para periodos intercalados de agua y sin agua propiciaron un proceso transitorio afectando la estabilidad del suelo. Cabe resaltar que esta energía interna es instantánea y es propia para los datos experimentales y de prueba, por lo que no refleja una extensión a otros casos, ya que todos obedecen a condiciones diferentes, es decir cada energía depende de parámetros mecánicos, hidráulicos, edafológicos, topográficos y climáticos, entre otros.

Conclusiones (preliminares)
No se ha encontrado información y registro alguno en Mecánica del Continuo, de sólidos, suelos y fluidos de que la ecuación de energía interna ya se haya aplicado a casos masa de suelo más flujo de agua. Hasta ahora, el caso más viable en la solución de la ecuación planteada del modelo es considerar un caso bidimensional para el movimiento del flujo, donde el vector de suministro de agua en la frontera será positivo con dirección hacia abajo y la magnitud dependerá de la incidencia de agua en el suelo, es decir de la lámina de precipitación que en función del tiempo será la intensidad, además la condición para un medio homogéneo e isótropo. Para el caso de estudio, la energía interna depende en gran medida del esfuerzo máximo que soporta el suelo y de la influencia del flujo de agua a partir de la incidencia de las intensidades de lluvia reproducidas en campo, tal que una baja resistencia del suelo ya es un primer indicativo de inestabilidad. Actualmente se continúa analizando la información de entrada para las componentes del modelo, y como estas pueden determinarse experimentalmente para situaciones reales de campo.
REFERENCIAS
[1] Escobar, T. L. J., y Valencia, G. Y. (2012). Análisis de estabilidad y probabilidad de falla de dos taludes de suelo tropical en la autopista Medellín-Bogotá en el tramo de vía entre Marinilla y Santuario. Boletín de Ciencias de la Tierra, 31, 51-64
[2] Montgomery, D. R., Sullivan, K., y Greenberg, H. M. (1998). Regional test of model for shallow landsliding. Hydrological Processes, 12, 943-955
[3] Arnone, E., Dialynas, Y. G., Noto, L.V., y Bras, R. L. (2014). Parameter uncertainty in shallow rainfall-triggered landslide modeling at basin scale: a probabilistic approach. Procedia Earth and Planetary Science, 9, 101-111
[4] Formetta, G., Rago, V., Capparelli, G., Rigon, R., Muto, F., y Versace, P. (2014). Integrated physically based system for modeling landslide susceptibility. Procedia Earth and Planetary Science, 9, 74-82
[5] Lanni, C., Borga, M., Rigon, R. y Tarolli, P. (2012). Modelling shallow landslide susceptibility by means of a subsurface flow path connectivity index and estimates of soil depth spatial distribuction. Hydrol. Earth Syst. Sci., 16, 3959-3971. Doi: 10.5194/hess-16-3959-2012
[6] Pinyol, N. M., Alonso, E. E. y Olivella, S. (2008). Rapid drawdown in slopes and embankments. Water Resources Research, 44, pp. 22
[7] Serri, V., Romero, E., Lloret, A., Suriol, J. y Alonso, E. E. (2013). Análisis de procesos termo-hidro-mecánicos en deslizamientos rápidos en un nuevo equipo de corte anular rápido. En E. Alonso, J. Corominas y M. Hürlimann (Eds.), VIII Simposio Nacional sobre Taludes y Laderas Inestables, (pp. 1157-1166). Palma de Malorca
[8] Wu, W., Switala, B. M., Sudan, A. M., Tamagnini, R., Auer, M., Graf, F., te Kamp, L. y Xiang, W. (2015) Effect of vegetation on stability of soil slopes: numerical aspect. Recent Advances in Modeling Landslides and Debris Flow, 163-177. Doi: 10.1007/978-3-319-11053-0_15
[9] Griffiths, D. V. y Lane, P. A. (1999). Slope stability analysis by finite elements. Geotechnique, 49(3), 387-403
[10] Duncan, J. M. (1996). State of the art: limit equilibrium and finite-element analysis of slopes. Journal of Geotechnical Engineering, 122(7), 577 – 596. Doi: 10.1061/(ASCE)0733-9410(1996)122:7(577)
[11] Dunne, T. (1978). Field studies of hillslope flow processes. En M. J. Kirkby (Ed), Hillslope Hydrology (227-293). Reino Unido, John Wiley & Sons, Inc
[12] Tosaka, H., Itoh, K. y Furuno, T. (2000). Fully coupled formulation of surface flow with 2-phase subsurface flow for hydrological simulation. Hydrological Processes, 14, 449-464
[13] Michalowski, R.L. (1995). Slope stability analysis: a kinematical approach. Geotechnique, 45, 283-293
[14] Michalowski, R. L. (1997). An estimate of the influence of soil weight on bearing capacity using limit analysis. Soils and Foundations, 37(4), 57-64
[15] Preston, W. K. (2006). Mathematical models of dynamic physical systems. En M. Kutz (Ed), Mechanical engineers´Handbook: instrumentation, systems, controls and mems (pp. 300- 382). New Jersey, John Wiley & Sons, Inc
[16] Teófilo, S. E. y Morales, R. G. P. (2018). Propuesta del modelo físico del infiltrómero de cilindros concéntricos rediseñado multifuncional (ICCRM). Tecnología y Ciencias del Agua, 9(5), 103-131. Doi: 10.24850/j-tyca-2018-06-05
[17] Teófilo, S. E., Morales, R. G. P., Muciño, C. R. y Esteller, A. M. V. (2019). Experimentación reducida-controlada in situ del deslizamiento de suelo por efecto de flujo subusperficial de agua. Ingeniería Investigación y Tecnología, (en prensa)
[18] Abramson, L. W., Lee, T. S., Sharma, S. y Boyce, G. M. (2002). Slope stability and stabilization methods. New York, USA. John Wiley & Sons, Inc. p. 712
[19] Wu, H. (2005). Continuum mechanics and plasticity. U.S.A. Chapman & Hall/CRC Press. p. 676. ISBN 1-58488-363-4
[20] Mase, G. T., Smelser, R. E. y Mase, G. E. (2010). Continuum mechanics for engineers. U. S. A. Taylor and Francis Group, LLC. p. 399. ISBN 978-1-4200-8538-9
[21] Wegner, J. L. y Haddow, J. B. (2009). Elements of continuum Mechanics and thermodynamics. U. S. A. Cambridge University Press. p. 278. ISBN-13 978-0-511-53375-4
[22] Nair, S. (2009). Introduction to continuum mechanics. Cambridge University Press. U.S.A. ISBN-13 978-0-511-50718-2
[23] Bertram, A. (2008). Elasticity and plasticity of large deformations an introduction. Germany. Springer-Verlag Berlin Heidelberg. p. 339. ISBN 978-3-540-69399-4
[24] Dill, E. H. (2007). Continuum mechanics elasticity, plasticity, viscoelasticity. U.S.A. Taylor & Francis Group, LLC. p. 352. ISBN-10: 0-8493-9779-0, ISBN-13: 978-0-8493-9779-0
[25] Backus, G. (1997). Continuum mechanics. San Diego, U.S.A. Samizdat Press. p. 322
Notas de autor
* Autor de correspondencia: mca.ts.eduardo2015@gmail.com