Investigación
Aplicación de Técnicas de Planeación de la Producción a una Empresa de Prefabricados de Concreto
Application of Production Planning Techniques to a Concrete Products Enterprise
Aplicación de Técnicas de Planeación de la Producción a una Empresa de Prefabricados de Concreto
Conciencia Tecnológica, núm. 58, 2019
Instituto Tecnológico de Aguascalientes
Recepción: 11 Abril 2019
Aprobación: 12 Septiembre 2019
Resumen: El presente artículo estudia un problema real referente a la planeación de la producción de una empresa dedicada a la fabricación de diversos productos de concreto. El sistema de producción bajo estudio consta de tres líneas de producción, en el cual existe un problema combinatorio a la hora de decidir qué producto fabricar en cada línea, puesto que las máquinas solo pueden fabricar algunos productos y una máquina de forma individual no puede fabricar el catálogo completo de productos. En este artículo se propone un modelo de optimización para la asignación de productos a las máquinas considerando las restricciones de producción. Además, se realiza una clasificación ABC de los productos a fin de detectar los productos de alta, media y baja rotación. El objetivo de la clasificación ABC es detectar los productos que generan un porcentaje alto de ventas de la empresa y asegurar que el tiempo disponible de producción sea asignado a los productos que generen la mayor rentabilidad. A fin de asegurar la existencia suficiente de materia prima se aplica un MRP. En cuanto a la programación de la producción se realiza mediante una política de ciclo de rotación que considera la demanda de productos y los costos de preparación e inventario.
Palabras clave: Planeación de la producción, Optimización, MRP, Política de ciclo de rotación.
Abstract: The present article studies a real problem of production planning of a company that produces a set of concrete products. The production system under study comprises three production lines, and it implies a combinatorial problem at deciding which product to produce in each line, since the machine only can produce some products and one machine cannot produce all the products of the company. In this article an optimization model is used for the allocation of products to the machines considering the production restrictions. Moreover, a product ABC classification is conducted to detect the items of fast, medium and small sales. The objective is to identify the products that generate the highest percentage of sales and ensure that the available production time is allocated to the products that generate more profits. In order to ensure enough existence of raw materials an MRP is proposed. Production scheduling is conducted with a cycle rotation policy that considers product demand and the setup and inventory costs.
Keywords: Production planning, Optimization, MRP, Cycle production policy.
Introducción
El servicio al cliente juega una rol central para lograr los objetivos comerciales de las empresas. El elemento más importante que afecta el servicio al cliente es la disponibilidad de producto. La herramienta principal para generar un plan de producción que asegure una cierta disponibilidad del producto es el MRP, (Material Requirement Planning o Planeación de Requerimiento de Materiales). El rol principal del MRP es generar un plan de producción adecuado a fin de que la cantidad exacta de los materiales correctos estén en el lugar correcto, en el tiempo correcto, Nahmias [1]. En este contexto, el objetivo del presente artículo es aplicar diversas técnicas de planeación de la producción tales como clasificación ABC de productos, MRP, tamaños de lote y modelos de optimización, a una empresa de productos de concreto a fin de mejorar sus operaciones.
El presente artículo se realizó en la empresa XYZ dedicada a la producción de productos prefabricados de concreto. La empresa cuenta con tres líneas de fabricación y está en operaciones desde hace 30 años en la ciudad de Pachuca, Hidalgo, México. Debido a la gran variedad de productos con los que cuenta el catálogo de la empresa, la planeación de la producción se vuelve un problema complejo, principalmente por los siguientes puntos: i) los productos que se fabrican son de diversas formas, con tiempos de fabricación distintos, ii) la empresa tiene la restricción que los productos pueden ser fabricados solamente en algunas máquinas. iii) la variabilidad en la demanda de los productos impide que se dediquen las máquinas a producir solamente una línea de producto, por esta razón la empresa debe permanecer con una capacidad de producción flexible que le permita reaccionar a los mercados rápidamente. En este contexto, en el presente estudio se aplican diversas técnicas de planeación de la producción, a fin de coordinar eficientemente los requerimientos de materiales y la fabricación de productos. La cadena de valor de la empresa XYZ se presenta en la Figura 1, el objetivo de este diagrama es comprender con mayor detalle el contexto en el que opera la empresa. El presente artículo consta de cuatro secciones más, la segunda sección presenta los fundamentos teóricos de la investigación. La tercera sección describe la metodología empleada. La cuarta sección analiza los resultados obtenidos y la quinta sección concluye el artículo.
Fundamentos teóricos
Existen diversos estudios que han analizado el desempeño del MRP en diversos contextos. Por ejemplo, en el artículo de Grubbstrom y Tuy [2], se desarrolló un modelo de programación dinámica para el caso donde los tiempos de demora no son cero. Su modelo determina los lotes de producción de un MRP, considerando restricción de capacidad. En el artículo de Lee et al. [3], se presenta un modelo que determina los tamaños de lote de un MRP considerando una capacidad finita de producción. Ioannou y Dimitriou [4] consideraron el problema de actualizar dinámicamente las estimaciones de los tiempos de fabricación que son utilizados en sistemas MRP. Una vez que una nueva orden entra al sistema, un estimado de tiempo de fabricación es asignado basado en el estatus actual del sistema. En la investigación de Gong et al. [5] se comparó el desempeño de tres sistemas de control de la producción tales como MRP, Kanban y Conwip en base en las demoras en la toma de decisiones. En dicho artículo se observó que al reestructurar el procesamiento de información en las organizaciones y al permitir un procesamiento paralelo entre diferentes niveles puede mejorar la eficiencia en la toma de decisiones. En el artículo de Milne et al. [6] se propuso un modelo de optimización entero mixto para determinar el valor óptimo de los tiempos de espera planeados utilizados en un sistema MRP. Dicho modelo considera un conjunto de restricciones que determinan las órdenes planeadas. En otro estudio realizado por Rossi et al. [7] se introduce un procedimiento de MRP orientado a la capacidad el cual combina un modelo de optimización y considera la capacidad de producción de cada recurso, cubriendo los requerimientos netos y desperdicios. Como puede observarse en estos artículos, el MRP ha sido aplicado en diversos contextos. Sin embargo no encontramos estudios en la literatura aplicados en la industria de productos de concreto.

El flujo de material es el corazón de una empresa de manufactura, por lo que el MRP y el JIT, (Justo a Tiempo) son técnicas poderosas que pueden determinar el éxito o fracaso económico de una empresa. Uno de los debates más fuertes ha sido sobre la compatibilidad de sistemas JIT con los sistemas existentes MRP. Como en el artículo de Benton y Shin [8] donde se discuten diversas áreas de investigación que combinan técnicas de producción JIT con sistemas MRP, dando origen a sistemas híbridos de MRP modificados. En el trabajo de Smet y Gelders [9] se desarrolló un modelo a fin de evaluar la factibilidad de introducir un subsistema Kanban en un ambiente controlado por un MRP. En dicho modelo se observó que el control Kanban es adecuado solo para productos de rápido movimiento. En el artículo de Lamouri y Thomas [10], se aplicó un MRP para realizar una planeación de recursos de una empresa, además se aceleró el flujo de productos al reducir el tamaño de lote, para esto fue necesario implementar técnicas JIT. En el estudio de Cochran and Kaylani [11], se investigó la posibilidad de integrar un MRP con un sistema JIT para un sistema de manufactura con múltiples etapas y múltiples productos. Su sistema puede ser optimizado al ubicar los puntos de integración y determinar los valores óptimos de inventario de seguridad para los sistemas de empuje y el número de kanbans para las partes JIT. En el trabajo de Wang et al. [12], se comparó un sistema MRP y JIT en diferentes estructuras de procesamiento de información y eficiencia de decisión, en dicho estudio se encontró que JIT es adecuado para la producción de lotes pequeños y una gran variedad de productos, mientras que el MRP es recomendado para la producción de lotes grandes y poca variedad de productos. En estos artículos presentados es evidente que la combinación de sistemas MRP con técnicas JIT aporta ahorros considerables a las organizaciones. En base en esta observación, en el presente artículo se aplican técnicas JIT, tal como la clasificación ABC de productos como base en el desarrollo de un MRP para una empresa dedicada a la fabricación de productos de concreto.
La incertidumbre en la demanda de productos obliga a las empresas a generar nuevas alternativas en la planeación de la producción. Puesto que cada vez es más difícil pronosticar precisamente las cantidades de productos finales en un largo horizonte de tiempo. Por esta razón es necesario considerar la incertidumbre de la demanda, como en el trabajo de Zapfel [13], donde se propone un procedimiento matemático que es capaz de generar y evaluar un conjunto de alternativas de producción para el caso de demanda incierta en un sistema MRP. En el artículo de Enns [14] se utilizaron tiempos de producción incrementados e inventario de seguridad para compensar errores en el pronóstico e incertidumbre de la demanda para un sistema de producción de lotes utilizando una planeación MRP integrada. En el estudio de Ho [15], se utilizaron procedimientos heurísticos como filtros de información a fin de evitar una reprogramación excesiva del MRP en respuesta a eventos inciertos que ocurren dentro o fuera del sistema de producción. Otro artículo que aborda la incertidumbre, es el trabajo de Inderfurth [16], donde se desarrolló un análisis de control de inventario estocástico a fin de evaluar y determinar adecuadamente los parámetros de control apropiados para un MRP que considere la incertidumbre en la demanda. En la investigación de Barba-Gutiérrez y Adenso-Díaz [17], se presentó un algoritmo para la programación de ensambles de partes discretas con demanda incierta, su modelo puede aplicarse a una estructura del producto y puede determinar el número de productos a ensamblar a fin de satisfacer la demanda. Como se puede observar en estos artículos, la incertidumbre de la demanda es un factor que debe considerarse en el desarrollo de un MRP puesto que afecta considerablemente el desempeño de los planes de producción.
Uno de las técnicas utilizadas durante los últimos años para analizar sistemas MRP ha sido la simulación, debido a su gran flexibilidad y su gran capacidad para modelar la serie de interacciones y dinámicas presentes en estos sistemas complejos. Por ejemplo, en el estudio de Grasso et al. [18], se aplicó la simulación para examinar el impacto de políticas de operación en sistemas MRP y el impacto de la variabilidad de los tiempos de producción, la cantidad de inventario de seguridad, las reglas de dimensionamiento de lote y el costo de inventario. En el artículo de Cheng [19] se aplicó la simulación para analizar el impacto de la variación de la demanda del producto y la variación en los tiempos de fabricación en la planeación de la capacidad de un MRP. Otro modelo de simulación, es el desarrollado por Smet y Gelders [20], donde se analiza la factibilidad de introducir un subsistema kanban en un sistema MRP, el cual es utilizado para la planeación de la producción a mediano plazo. Además en este artículo se observó que el uso de kanban es apropiado para artículos de rápido movimiento. En el estudio de Sun et al. [21], se comparó el MRP con una técnica que aplica la programación dinámica basada en el riesgo, la cual crea una serie de parámetros en cuanto al nivel de inventario, tamaños de lotes, puntos de reorden y cantidad de pedido. Dicho autor comparó diversos indicadores de desempeño para diferentes sistemas asumiendo tres niveles de incertidumbre en la demanda. Como puede observarse, en los artículos presentados en esta sección, es evidente que el MRP sigue siendo una de las herramientas de planeación más utilizadas por las empresas de diversos sectores.
Materiales y métodos
La metodología propuesta en este artículo está basada en la aplicación de diversas técnicas de planeación de la producción, donde la ventaja técnica de esta metodología es que permite contar con información estratégica la cual es usada para lograr una mejor planeación de la producción. Otra ventaja de la metodología es que permite enfocar el tiempo de producción de la empresa a los artículos de mayores ventas, lo cual contribuye a su éxito económico. La metodología del presente artículo consta de los siguientes puntos:
a) Clasificación ABC de los productos: en esta actividad se identifican los productos “tipo A” de la empresa de alta rotación, los cuales aportan el 60% de las ventas. También se identifican los productos “tipo B”, los cuales aportan el 20% de las ventas, donde de manera acumulada los productos tipo A y tipo B generan el 80% de las ventas. Además se identifican los productos “tipo C” que generan el 20% de ventas restante.
b) Asignación producto-máquina: se desarrolla un modelo de optimización no-lineal, el cual permite realizar la asignación de productos a una de las tres máquinas disponibles para su fabricación. Cabe hacer notar que existe una restricción en la producción, puesto que los productos no pueden fabricarse en todas las máquinas, sino solamente pueden fabricarse en una o dos máquinas dependiendo el caso. En el modelo se consideraron las asignaciones factibles, que aseguren que la fabricación del producto sea con la calidad y los estándares requeridos por el cliente. Además de considerar el hecho de que los operadores tengan la capacidad suficiente para producir el artículo.
c) Planeación del requerimiento de materiales: En base a las demandas de los artículos finales, se determina los requerimientos totales de materias primas al igual que la cantidad de producto total a fabricar utilizando un MRP.
d) Determinación del ciclo de producción: se aplica una técnica de programación de la producción a las tres máquinas de la empresa para determinar la duración del ciclo de producción y los tiempos de inactividad. Esto con el fin de asignar el tiempo productivo a los productos que sean más rentable a la empresa.
Resultados y discusión
a) Clasificación ABC de los productos
Los productos considerados en el análisis se presentan en la Tabla 1, los cuales tienen la misma secuencia de fabricación y sus tiempos de fabricación son similares por lo que es conveniente trabajar el problema como una sola familia de productos. Sin embargo, debido a que los productos tienen tiempos y costos de producción diferentes, es importante diferenciar entre los productos rentables y los no rentables. El efecto Pareto puede ser aplicado de modo que una porción grande del volumen total de ventas está dado por un número pequeño de productos. Los artículos fabricados entonces se agrupan en categorías A, B, y C según su volumen de ventas. Los productos “tipo A” son aquellos que generan el 60% de las ventas, los productos “tipo A” y “tipo B” generan en conjunto el 80% de las ventas y los productos “tipo C” representan el restante 20% de las ventas. La Tabla 1 muestra la clasificación ABC de los productos considerados, en base a las ventas generadas.

b) Asignación producto-máquina
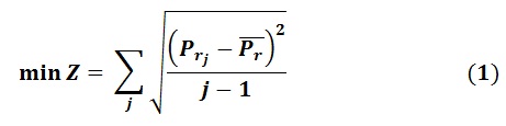
En la empresa bajo estudio existe un problema de asignación en la producción ya que el producto se puede fabricar en más de una máquina . Basado en el hecho de que las demandas de los productos son constantes en el periodo de tiempo considerado, el modelo consiste en una derivación de un problema de asignación que contiene las variables de decisión binarias Xij y que están sujetas a la restricción de que un producto puede asignarse a una sola máquina para su producción. El modelo calcula la capacidad ocupada de cada máquina considerando los set-ups (tiempos de preparación) necesarios según los productos asignados. Además la función objetivo busca balancear eficientemente la producción entre las tres máquinas a fin de no saturar con producción a solo una de ellas. El modelo propuesto es el siguiente:

Sujeto a:






donde:
es el porcentaje de capacidad asignado a la máquina j y
es el promedio del porcentaje de capacidad asignado a las tres máquinas. La función objetivo (1) minimiza la variabilidad del porcentaje de asignación de producción de las tres máquinas a fin de que la carga de trabajo se reparta de manera balanceada entre ellas. La restricción (2) asegura que un producto sea asignado para su producción solamente a una máquina. La restricción (3) se utiliza para garantizar que la capacidad de la máquinas no sea superada al asignar productos a las máquinas para su fabricación, además la capacidad total Cti es ajustada por lo tiempos de preparación Si necesarios en la fabricación. Las restricciones (4)-(6), se utilizan para determinar los productos i que no puede fabricar la máquina . La restricción (7) indica que las variables de decisión xijson binarias. El modelo de optimización desarrollado es no-lineal y determina la asignación óptima de productos a las máquinas al considerar las restricciones de capacidad y factibilidad de asignación. El modelo propuesto fue resuelto utilizando datos de demanda real de la empresa y en la Tabla 2 se presentan los resultados obtenidos de diversos indicadores clave. Se consideró además que la empresa trabaja un turno solamente de lunes a sábado completando 51 horas laborales a la semana.
c) Planeación del requerimiento de materiales
El siguiente punto en el estudio consiste en desarrollar un MRP para los 22 productos considerados.

Este MRP determina la cantidad de materia prima mensual necesaria en la empresa. La importancia del MRP es considerable porque permite a la empresa coordinar las compras de materia prima, indicando que cantidad adquirir y cuando realizar la compra.
La existencia a tiempo de materia prima es de vital importancia para la gerencia porque sin ella no es posible realizar la fabricación de productos, puesto que la falta de materia prima genera demoras, aumenta costos y disminuye la satisfacción al cliente. Como primer actividad en esta sección se desarrolló la estructura de producto para los 22 artículos considerados, determinando la cantidad de las diferentes materias primas necesarias para fabricar los productos. A manera de ilustración se presenta en la Figura 2 la estructura del producto BC-20. Los restantes productos tienen una estructura similar, variando solamente la cantidad de materia prima utilizada.

Con base en la estructura del producto de los artículos, las demoras de suministro de los proveedores y datos de demanda, se realizó una planeación de la producción y compras de los 22 productos a través de un MRP. Esto con el fin de coordinar eficientemente las operaciones de la empresa. A manera de ejemplo se presenta parte del MRP generado para la empresa en la Figura 3.
En este caso el MRP reporta las cantidades totales mensuales de materia prima necesarias para la fabricación de los 22 artículos. Una de las ventajas de la utilización de un MRP, es que se puede ajustar los requerimientos mensuales a fin de considerar los efectos de la incertidumbre en el proceso, tales como problemas de calidad en la producción, errores en los pronósticos de la demanda, proveedores no confiables, etc. A forma de protección se pueden multiplicar los requerimientos obtenidos por un factor de seguridad, a fin de contar con suficiente inventario para mitigar los posibles problemas externos e internos presentes en la producción.
Los requerimientos mensuales obtenidos de materia prima para los 22 productos se presentan en la Tabla 3.

d) Determinación del ciclo de producción
Una vez asignado los productos a las máquinas y determinado los requerimientos mensuales de materia prima con el MRP, se aplica a continuación una estrategia de programación de la producción, la cual consiste en una política de ciclo de rotación. Esta técnica facilita la producción de artículos en base en el hecho de que la demanda de productos es constante en el horizonte de tiempo considerado.

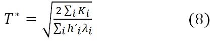
Con una política de rotación en cada ciclo hay exactamente una preparación para cada producto y los productos se fabrican en la misma secuencia, esto facilita considerablemente la programación de la producción. En este caso el tiempo óptimo de ciclo T* para cada máquina se obtiene con la siguiente expresión:


donde denota la demanda del producto , Ki es el costo de preparación de la máquina para fabricar el producto , Pi es la capacidad de producción del producto y hies el costo de inventario por unidad de tiempo. El costo de preparación considera el sueldo del personal necesario para preparar la máquina y el costo de la producción perdida. Además para el cálculo del costo de inventario se consideró una tasa de interés del 30%. Para asegurar que la empresa tenga la capacidad suficiente para satisfacer la demanda de todos los productos, es necesario que se cumpla la condición de factibilidad
la cual en este caso se satisface. Sea el tiempo de ciclo óptimo para satisfacer la demanda en el tiempo T, el tamaño de lote de cada producto se calcula con la siguiente ecuación:

El costo promedio total asociado con los productos en términos del tiempo del ciclo T se expresa mediante la ecuación:

Las ecuaciones (8) y (9) fueron aplicadas a las tres máquinas, considerando un año laboral de 304 días. En la Tabla 4 se presentan los tiempos óptimos de ciclo obtenidos, donde de estos resultados se observa que la máquina 2 necesita más tiempo, alrededor de 70 días para completar la producción de los artículos que le fueron asignados.
Aplicando la Ecuación (10) se obtuvo el tamaño óptimo de lote para cada producto i, los cuales se presentan en la Tabla 5. En base en la Ecuación (11) se muestran en la Tabla 6, los costos totales de la política de ciclo de rotación para cada máquina.



Al aplicar la política de ciclo de rotación se obtienen los porcentajes del tiempo total de producción destinados a los diferentes productos ABC identificados, como se muestra en la Tabla 7.
Como puede observarse se destina el 81.12% del tiempo disponible de producción a la fabricación de los productos Tipo A y Tipo B, esto asegura que la empresa enfoque sus esfuerzos productivos a los productos que generan más ingresos a la empresa, esta medida apoya considerablemente a la rentabilidad de la empresa.

Conclusiones
En el presente trabajo se analizó un problema real de planeación de la producción en la empresa XYZ, el enfoque consistió en aplicar diversas técnicas de planeación de la producción. El modelo de optimización definido en las ecuaciones (1)-(7), considera solamente asignaciones de productos a las máquinas que sean factibles técnicamente, esto implica que el producto pueda fabricarse en la máquina, que el operador tenga la capacidad y conocimiento suficiente para fabricar dicho producto en la máquina y que la calidad del producto cumpla con las especificaciones del cliente. La viabilidad económica del plan de producción obtenido por el modelo de optimización está basada en el hecho de asignar aproximadamente el 81.12% del tiempo disponible a la fabricación de los productos Tipo A y Tipo B, tal como se presenta en la Tabla 7.
Con esta medida se asegura que la empresa le da más prioridad y dedica más tiempo a producir los artículos que generan la mayor rentabilidad. Además, al analizar los resultados obtenidos en la Tabla 2 se observa la existencia de demasiado tiempo inactivo en las máquinas, esto indica principalmente que la capacidad de las máquinas supera por mucho la demanda de los productos, a tal grado que la máquina 1 presenta un 71.38% de tiempo inactivo, tal como se observa en la Tabla 2.
El porcentaje de inactividad se calcula restando al cien por ciento el porcentaje de ocupación que en esta caso es de 28.62% para la maquina uno, tal como se presenta en la Tabla 2. El porcentaje de ocupación se calcula sumando el tiempo necesario para fabricar los tamaños de lote asignados por el modelo de optimización para cada máquina y dividiendo esta suma entre el tiempo total disponible en una semana laboral. En este caso el tiempo ocioso de las máquinas podría utilizarse para cubrir picos en la demanda, o pedidos urgentes debido a errores de pronósticos. Sin embargo no es deseable que las líneas de producción permanezcan inactivas demasiado tiempo. Los datos recolectados de la empresa se han tomado como base para generar las actividades planteadas en el presente trabajo a fin de poder utilizarlos en el proceso de planeación de la producción.
Un punto crítico para poder implementar los resultados obtenidos es que los datos utilizados de demanda, tiempos de producción, capacidad, etc. sean confiables, esto permitirá acercarse a un resultado aplicable a la empresa. En el presente trabajo se observa que los costos de preparación son muy grandes debido a que el tiempo que le toma a la empresa cambiar de molde de un producto a otro en las máquinas es considerable, y esto tiene el inconveniente que no se pueda trabajar con un menor volumen de inventario, menores intervalos de producción y tamaños de lotes más pequeños. Si el costo de preparación se pudiera disminuir, entonces el intervalo de producción podría reducirse a tal grado que se pudiera fabricar los productos en ciclos de días en lugar de semanas, esto reduciría los inventarios considerablemente, aumentaría la capacidad de producción y se incrementarían las utilidades de la empresa. El impacto de estas reducciones pueden observarse fácilmente al reducir el costo y tiempo de preparación en las ecuaciones (8)-(11).
Referencias
[1] Nahmias, S., (2014), Análisis de la producción y las operaciones (USA), Sexta edición, McGrawHill.
[2] Grubbstrom, R.W. & Thuy, T.T., (2006), “Multi-level, multi-stage capacity-constrained production-inventory systems in discrete time with non-zero lead times using MRP theory”, International Journal of Production Economics, Vol. 101, No. 1, pp. 53-62.
[3] Lee, H., Park, N., Park, J., (2009), “A high performance finite capacitated MRP process using a computational grid”, International Journal of Production Research, Vol. 47, No. 8, pp. 2109-2123.
[4] Ioannou, G. & Dimitriou, S., (2012), “Lead time estimation in MRP/ERP for make-to-order manufacturing systems”, International Journal of Production Economics, Vol. 139, No. 2, pp. 551-563.
[5] Gong, Q., Yang, Y., Wang, S., (2014), “Information and decision-making delays in MRP, Kanban and Conwip”, International Journal of Production Economics, Vol. 156, pp. 208-213.
[6] Milne, R.J., Mahapatra, S., Wang, C.T., (2015), “Optimizing planned lead times for enhancing performance of MRP systems”, International Journal of Production Economics, Vol. 167, pp. 220-231.
[7] Rossi, T., Pozzi, R., Pero, M., Cigolini, R., (2017). “Improving production planning thorough finite-capacity MRP”, International Journal of Production Research, Vol. 55, No. 2, pp. 377-391.
[8] Benton, W.C., & Shin, H., (1998)., “Manufacturing planning and control: The evolution of MRP and JIT integration”, European Journal of Operational Research, Vol. 110, No. 3, pp. 411-440.
[9] Smet, R. & Gelders, L., (1998), “Using simulation to evaluate the introduction of a Kanban subsystem within an MRP-controlled manufacturing environment”, International Journal of Production Economics, Vol. 56-57, pp. 111-122.
[10] Lamouri, S. & Thomas, A., (2000), “The two level master production schedule and planning bills in a just in time MRP context”, International Journal of Production Economics, Vol. 64, No. 1-3, pp. 409-415.
[11] Cochran, J.K. & Kaylani, H.A., (2008), “Optimal design of a hybrid push/pull serial manufacturing system with multiple part types”, International Journal of Production Research, Vol. 46, No. 4, pp. 949-965.
[12] Wang, H., Gong, Q., Wang, S., (2017), “Information processing structures and decision making delays in MRP and JIT”, International Journal of Production Economics, Vol. 188, pp. 41-49.
[13] Zapfel, G., (1996), “Production planning in the case of uncertain individual demand extension for an MRP II concept”, International Journal of Production Economics, Vol. 46-47, pp. 153-164.
[14] Enns, S.T., (2002), “MRP performance effects due to forecast bias and demand uncertainty”, European Journal of Operational Research, Vol. 138, No. 1, pp. 87-102.
[15] Ho, C.J., (2007), “Exploring the compatibility of dampening procedures and lot-sizes rules in MRP systems under uncertain operating environments”, International Journal of Production Research, Vol. 46, No. 18, pp. 5097-5120.
[16] Inderfuth, K., (2009), “How to protect against demand and yield risks in MRP systems”, International Journal of Production Economics, Vol. 121, No. 2, pp. 474-481.
[17] Barba-Gutierrez, Y., & Adenso-Díaz, B., (2009), “Reverse MRP under uncertain and imprecise demand”, International Journal of Advanced Manufacturing Technology, Vol. 40, No. 3-4, pp. 413-424.
[18] Grasso, E.T., Bernard, W., Taylor, W., (1984), “A simulation-based experimental investigation of supply/timing uncertainty in MRP systems”, International Journal of Production Research, Vol. 22, No. 3, pp. 485-497.
[19] Cheng. T.C., (1987), “A simulation study of MRP capacity planning with uncertain operation times”, International Journal of Production Research, Vol. 25, No. 2, pp. 245-258.
[20] Smet, R., & Gelders, L., (1998), “Using simulation to evaluate the introduction of a Kanban subsystem within an MRP-controlled manufacturing environment”, International Journal of Production Economics, Vol. 56-57, pp. 111-122.
[21] Sun, L., Heragu, S.S, Chen, L., Spearman, M.L., (2012), “Comparing dynamic risk-based scheduling methods with MRP via simulation”, International Journal of Production Research, Vol. 50, No. 4, pp. 921-937.
Notas de autor
*Autor de correspondencia. e-mail: hriver06@hotmail.com