Investigación
Características de Fumadores Universitarios
Characteristics of Undergraduate Smokers
Características de Fumadores Universitarios
Conciencia Tecnológica, núm. 58, 2019
Instituto Tecnológico de Aguascalientes
Recepción: 20 Junio 2019
Aprobación: 14 Octubre 2019
Resumen: Este trabajo de investigación presenta los resultados obtenidos de un diagnóstico realizado en alumnos fumadores del TecNM/Instituto Tecnológico de Chihuahua, con el objetivo de identificar las características sociodemográficas y los hábitos de consumo de tabaco de los estudiantes fumadores del Instituto Tecnológico de Chihuahua. La importancia de realizar este estudio reside en la posibilidad de que los datos que arroje la investigación puedan servir como elementos para fomentar el compromiso, la convicción y la participación de la comunidad tecnológica, en especial de los fumadores, para disminuir el consumo del tabaco y promover la salud. Se aplicó un cuestionario a 135 estudiantes de distintas carreras durante el semestre enero-junio 2019. Entre los resultados obtenidos destacan la relación entre altos niveles de estrés y consumo de tabaco, concluyendo que la presión que tienen los estudiantes para sostener con éxito una carrera, está vinculada al consumo, así, el problema se convierte en un círculo vicioso: empiezan a consumir por estrés y a mayor estrés, mayor necesidad de consumo y así sucesivamente.
Palabras clave: Diagnóstico, fumadores, características de consumo.
Abstract: This work presents the obtained results by means of a diagnostic study aplied to TecNM/ Instituto Tecnológico de Chihuahua students in order to identify the tobacco consumption characteristics of smoking students. The relevance of performing this study relies on the possibility that the obtained data may help as elements to promote the compromise, conviction and the technology community participation in order to reduce the tobacco consumption and to promote health. The survey was given to 135 students from various fields of study during the January through June 2019 semester. Among the obtained results the highlights show a relationship between high level of stress and tobacco consumption, concluding that the pressure students endure to maintain successful studies is related to tobacco consumption; therefore the problem becomes a vicious circle, they begin to consume due to stress and, the more they have, the more they need to consume and son on.
Keywords: Diagnostic, smokers, consumption characteristics.
Introducción
De acuerdo con datos obtenidos de la Encuesta Nacional de Consumo de Drogas, Alcohol y Tabaco 2016-2017, (ENCODAT) en su apartado del tabaco, se menciona lo siguiente:
- A nivel global, el consumo de tabaco provoca más de 7 millones de muertes prematuras anuales, cifra que incluye 600 mil muertes causadas por la exposición al humo de tabaco de segunda mano (HTSM). (p.19).
- El humo de tabaco contiene más de 7 mil sustancias químicas, cientos de la cuales son tóxicas y pueden afectar casi todos los órganos del cuerpo. Existen al menos 69 carcinógenos en el humo del tabaco que pueden estar involucrados en el desarrollo de varios tipos de cáncer. (p.19).
- Tanto fumadores como no fumadores expuestos al HTSM están en mayor riesgo de padecer cáncer, enfermedades pulmonares y cardiovasculares, además de otros problemas de salud graves. (p.19).
- En México se estima que anualmente mueren 43 mil personas por enfermedades atribuibles al tabaquismo, representando el 8.4% de las muertes en el país. Además, representan un alto costo económico para el sistema de salud mexicano. (p.20).
- La encuesta global de tabaquismo en adultos México (GATS, por sus siglas en Inglés) reportó en el 2009 una prevalencia global de consumo de tabaco del 15.9% en la población de 15 años y más, y en el año 2015 fue de 16.4%, sin embargo se observaron descensos significativos en la prevalencia de consumo en los hombres en comparación con las mujeres. La epidemia de tabaquismo se encuentra focalizada en grupos de mayor vulnerabilidad. (p.20).
Estos datos son parte de la encuesta en la que se afirma que México alberga 14.3 millones de fumadores, confirmando que el tabaquismo es un problema de salud pública que debe ser considerado prioridad en la política de salud de México.” (p.20). [1]
Wood et al (2009) [2] mencionan que el tabaquismo es la primera causa de muerte evitable en España con 49,000 decesos al año. Cada vez existe mayor evidencia de que el tabaquismo se relaciona con la ansiedad en su inicio, mantenimiento y dificultad para dejarlo, así como el hecho de que favorece las recaídas. Desafortunadamente es una droga legal y por la misma razón es fácil su uso, es accesible y su consumo es aceptado tanto en la familia como en los diferentes grupos. A pesar de que en su mayoría los fumadores conocen los efectos negativos sobre su salud, pocos lo relacionan con la ansiedad y menos aún con la aparición y mantenimiento de trastornos de ansiedad tales como el trastorno por estrés postraumático.
La Comisión Nacional contra las Adicciones en México contempla que el gasto económico de acuerdo al sector salud asciende a más de 8,693 millones de pesos. (CONADIC, 2018) [3]
Se requiere identificar las posibles características sociodemográficas y de consumo de tabaco de los estudiantes fumadores del I.T de Chihuahua para determinar las causas relacionadas con el estrés que conllevan a adquirir el hábito de fumar; y fomentar el compromiso, la convicción y la participación de toda la comunidad tecnológica, buscando promover la salud, el diagnóstico, prevención, tratamiento y rehabilitación del tabaquismo y de sus padecimientos generados por esta adicción, por lo que este estudio se llevó a cabo durante el semestre enero-junio del presente año.
Fundamentos teóricos
Uno de los problemas que actualmente se está enfrentando a nivel mundial es el consumo de tabaco a edades más tempranas. Sin embargo, de manera paralela se está exigiendo el cumplimiento, a nivel mundial, de normatividades que regulen y controlen este consumo.
Al ingresar al nivel universitario, el estudiante pasa de la adolescencia a la etapa de adulto-joven en donde se presenta sensación de inseguridad, curiosidad y baja autoestima. El estilo de vida de los estudiantes universitarios cambia al ingresar y continúa cambiando durante los primeros años de escuela. Se ha encontrado que ello está relacionado con el alejamiento de la casa familiar, la interacción con otras culturas, las presiones académicas, los cambios de hábitos de alimentación, de actividad física y sueño, además del consumo de tabaco, alcohol y marihuana. Pese a que ellos conocen acerca de las conductas de riesgo, parecen no ser tomadas en cuenta cuando se incorporan a esta nueva forma de vida. (Ariza Delgado et al, 2016) [4]
Londoño, Rodríguez y Gantiva presentan la clasificación de los fumadores en leves, moderados y severos en la siguiente escala:
a) Fumador leve: consume menos de 5 cigarrillos diarios.
b) Fumador moderado: fuma un promedio de 6 a 15 cigarrillos diarios.
c) Fumador severo: fuma más de 16 cigarrillos por día en promedio. (Londoño, P. Rodríguez, R., Gantiva, C. 2011, p.282) [5]
En el artículo El tabaquismo: una adicción (2017) María Paz Corvalán B, señala que la adicción es la necesidad imperiosa o compulsiva de volver a consumir una droga para experimentar la recompensa que produce. Asimismo, se define droga como toda sustancia natural o sintética que genera adicción, en el caso de la nicotina, los efectos son estimulación, euforia, placer, aumento de la atención, concentración y memoria, además de disminución de la ansiedad, estrés y apetito, siendo estas tres últimas las razones por las cuales muchas mujeres fuman. Todo esto a pesar de las conocidas consecuencias dañinas de su uso. (Corvalán, B. 2017, p. 187) [6]
Se ubicaron varios estudios realizados por Villegas Pantoja et al (2014) [7], en los cuales se encontró que existe una relación entre haber vivido eventos estresantes en la adolescencia y etapas tempranas de la vida y el consumo de alcohol y tabaco. Al parecer también existe correlación entre la forma de afrontamiento de los eventos estresantes y el consumo. Es probable que esto tenga también correlación con la forma no saludable de manejar estos eventos y los cambios físicos y psicológicos propios de la edad.
En un estudio similar llevado a cabo en el TecNM/Instituto Tecnológico de Chihuahua y presentado en el Congreso de Academia Journals en octubre del 2018, los fumadores manifestaron fumar para mitigar el estrés. La evidencia abundante en la literatura científica apoya esta percepción. Hernández-Bernadett et al, (2018) [8]
En otro estudio de la Universidad Javeriana, realizado con 221 estudiantes de la Facultad de Enfermería, se observa que el 79% de los encuestados comenzaron a fumar antes de su educación superior y una de las razones principales fue para relajarse (en un 44% de la población de la muestra). En referencia con los factores que promueven el consumo de tabaco se encuentran los sentimientos negativos donde los estudiantes encuestados refirieron aumentar el consumo en situaciones de preocupación, estrés, enojo y tristeza. En relación con los factores sociales se identificó una importante relación del aumento del consumo de tabaco con la asistencia a fiestas con amigos y se encontró que un 78% de los estudiantes encuestados refieren no contar con suficiente información de la Institución Educativa que promueva el no consumo de tabaco. Ariza-Delgado et al, (2016) [8].
La mala administración del tiempo -que genera estrés-, las situaciones emocionales que viven los adolescentes y jóvenes, aliviar el dolor, el acceso al tabaco y la baja percepción del riesgo, son algunas de las razones que llevan a los estudiantes a convertirse en fumadores. Martínez-Cárdenas, (2015) [9].
El hábito de fumar impacta en las relaciones familiares y sociales y en la propia persona y es un aspecto complejo de la conducta humana, por lo que es muy importante diseñar planes que resuelvan el problema para lograr soluciones integrales.
Por lo que se hace manifiesto esclarecer cuáles son los factores relacionados al consumo de tabaco y la prevalencia de este hábito en los estudiantes del TecNM/Instituto Tecnológico de Chihuahua.
De acuerdo con la literatura, parece existir una relación entre el estrés académico y el acto de fumar entre los universitarios; por lo que el estudio que aquí se presenta sobre algunas características sociodemográficas y de consumo tiene gran relevancia, ya que un mayor conocimiento de estas características permitirá desarrollar estrategias focalizadas para fomentar el cambio de hábitos en estudiantes y docentes fumadores, promover su salud y de la población en general, disminuir el impacto económico en atención del sector público de salud en estudiantes y trabajadores y de manera específica atender a las recomendaciones de cuidado a personas con discapacidad o enfermedades crónicas.
Materiales y métodos
El presente estudio es de corte cuantitativo, descriptivo y transversal. Se obtuvo un muestreo no probabilístico con una muestra por conveniencia, identificando a 135 estudiantes, 84 hombres y 51 mujeres fumadores de diferentes semestres y de distintas carreras del Instituto Tecnológico de Chihuahua. Los resultados del estudio obtenidos fueron procesados utilizando el programa SPSS. El instrumento aplicado “Cuestionario para fumadores del I.T. de Chihuahua” comprende 18 preguntas. Las preguntas 1 y 2 se refieren a datos demográficos. Las preguntas 3, 4, 5, 6, 7, 8, 11, 12, 13, 15 son de opción múltiple y se refieren a hábitos de consumo de tabaco, las preguntas 9, 10, 14, 17 son dicotómicas y se refieren a la suspensión o disposición de dejar de fumar, la pregunta 18 también es dicotómica y ésta se refiere a la necesidad de utilizar los espacios para fumadores. La pregunta 16 es abierta y se refiere a los efectos secundarios del dejar de fumar. (Anexo 1)
La muestra comprende 62% de hombres y 38% mujeres. Las edades del grupo sujeto de estudio fueron de 18 a 25 años, siendo la mayor frecuencia los 21 años (23%). 22 y 19 le siguen con un porcentaje de 17%.
Resultados y discusión
Con relación a la frecuencia con la que fuman los estudiantes encuestados, se encontró que el 42% lo hacen diariamente, un 23% de manera semanal y un 35% de manera eventual, como se puede observar en la Figura 1.

Respecto a la cantidad de cigarros que se consumen en promedio, se encontró que el 93% de los que fuman a diario, reportó que consumen de 1 a 9 cigarros y sólo un 6% de 10 a 20 cigarros al día. Figura 2.

Con respecto al tiempo entre el despertar y el consumo del primer cigarro, el 85% reportó que más de 60 min. Sólo el 10% reportó que de 31 a 60 Min. Figura 3.

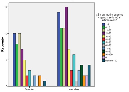
Para la pregunta de cuántos cigarros en promedio se fumó al mes, destacan resultados de los rangos 21-32 a más de 100. Los cuales agrupados representan el 52% de alto consumo equivalentes a 1 a más de 3 cigarros diarios. Figura 4.

En lo que respecta a la pregunta si se ha suspendido en algún momento el consumo de tabaco, el 90% de la muestra estudiada dijo que SÍ y el 10% dijo que NO. Figura 5.

En la pregunta ¿Qué le impide dejar de fumar? Se encontró que 25% refirió que nada, el 23% respondió que el estrés. Las siguientes tres categorías son similares: amigos (17%), placer (16%) y hábito (15%). Figura 6.

A la pregunta de si dejara de fumar, que efectos tendría, el 58% respondió que ninguno. El 25% respondió que ansiedad. Figura 7.

En cuanto a la pregunta de razones y situaciones por las que fuma, se encontró que 48% menciona que en fiestas y grupos y un 24% por que le gusta. El estrés y exámenes y proyectos aparecen con porcentajes menores 15% y 12% respectivamente. Figura 8.

A la pregunta si ha sentido necesidad de fumar en alguna ocasión, se encontró que el 26% de las mujeres refieren que SI, contra un 45% de hombres. A la inversa sólo un 12% de las mujeres y 17% de los hombres dijeron que NO. Figura 9.

Con relación al sexo, el porcentaje de consumo de cigarros por mes en mujeres es mayor en los rangos de 1 a 5 y de 21 a 30 (20%) que el consumo en los hombres, donde en los mismos rangos de 1 a 5 y de 21 a 30 es de 17 y 18 respectivamente. Figura 10.

Conclusiones
De acuerdo con los objetivos planteados y los resultados obtenidos, se concluye: la frecuencia con la que los encuestados refieren consumir tabaco todos los días es del 42%, Otra parte de los sujetos de estudio, el 23%, manifestó consumir tabaco una vez por semana, lo que, de acuerdo con la definición de adicción presentada, representa el riesgo de caer en la adicción.
El 93% respondió que consume de 1 a 9 cigarros al día y de acuerdo a la clasificación de fumadores, corresponde a fumador moderado, indicando la existencia de la adicción en los alumnos de esta muestra.
El consumo mayor se presenta dentro del rango de horario de escuela, convivencia con amigos horarios de trabajo o tiempos de traslado
Si se agrupan los rangos de cigarros fumados en el mes, de 21 a más de 100 significa que el 52% consumen de uno a más de tres cigarros diarios, indicando, también, riesgo de adicción en el grupo sujeto de estudio.
Un alto porcentaje de la muestra, 90%, dijo que SÍ ha suspendido el consumo del tabaco en alguna ocasión, eso significa que existe interés en dejar el consumo.
De acuerdo a este estudio, el 25% respondió que nada le impide dejar de fumar Las otras respuestas: que refieren los amigos, el placer y el hábito, concuerdan con el estudio “Diagnóstico de aceptación a un programa restrictivo en estudiantes fumadores de la Licenciatura en Administración del Instituto Tecnológico de Chihuahua, realizado en 2017, que los mencionan como causas.
Con base en los resultados obtenidos, existe desconocimiento o negación de los efectos en el organismo debidos al consumo y dejar de fumar, ya que el 58% refiere no haber efectos en la suspensión. Se observa que casi una cuarta parte de la muestra refiere la ansiedad como efecto de dejar de fumar, 25%, lo que coincide con un estudio similar realizado en la institución sobre la aceptación de un programa restrictivo del fumar que dio como resultado un 29% para el factor estrés.
Los datos indican que casi la mitad de los encuestados son fumadores sociales, con hábitos de consumo en fiestas y grupos de amigos. Por otra parte, estrés, exámenes y proyectos representan casi el 30% de las razones para fumar.
El 26% de las mujeres dijeron que SÍ han sentido la necesidad de dejar de fumar, y el 17% de los hombres dieron esa respuesta, lo cual significa que exista mayor sensibilización o conciencia de autocuidado en mujeres.
En el rango de los que fuman poco, como en el rango de los que fuman más, las mujeres superan el consumo de tabaco.
Entre los hallazgos más importantes de esta investigación se encuentra la frecuencia en el consumo; la historia de varios años de consumir, lo cual, dada la edad de la muestra, indica el inicio temprano a la adicción del tabaco; así como la incorporación de la mujer al hábito de fumar que se observa mediante el aumento en mujeres con respecto a los hombres.
Parece importante destacar la relación entre altos niveles de estrés y consumo de tabaco. En diversas investigaciones y en la presente, el estrés aparece entre los factores detonadores; los que mantienen el consumo y los que impiden dejarlo. De la misma manera. La presión que tiene los estudiantes para sostener con éxito una carrera, está vinculada al consumo, así, el problema se convierte en un círculo vicioso: empiezan a consumir por estrés y a mayor estrés, mayor necesidad de consumo y así sucesivamente.
Recomendaciones
Se recomienda dar seguimiento a este estudio y generar investigaciones posteriores para identificar características y hábitos de consumo de tabaco que ayuden a prevenir de los efectos nocivos del hábito de fumar, con la finalidad de promover la disminución de esta adicción y generar conciencia sobre la importancia de preservar la salud.
Referencias
[1] Encuesta Nacional de Consumo de Drogas, Alcohol y Tabaco (Encuesta Nacional de Adicciones (2016-2017) Recuperado el 22 de octubre del 2019 de: https://www.encuestas.insp.mx/ena/
[2] Wood, C. M.; Cano-Vindel A.; Iruarrizaga, I, Dongil E. Ansiedad y tabaco. Intervención Psicosocial Vol. 18, n.° 3, 2009 - Págs. 213-231, Colegio Oficial de Psicólogos de Madrid. Recuperado de: https://www.scielo.isciii.es/scielo.php?script=sci_arttext&pid=S1132-05592009000300003
[3] CONADIC. Comisión Nacional contra las adicciones. https://www.gob.mx/salud/conadic/documentos/conadic-cuenta-con-un-directorio-nacional-de-establecimientos-residenciales-de-atencion-a-las-adicciones-reconocidos Recuperado abril 20 del 2019. (
[4]Ariza Delgado, J.; Artunduaga López, D.K.; Gamba Moreno, L.J.; Factores Relacionados al Consumo de Tabaco y la Prevalencia de este Hábito en los Estudiantes de Enfermería de la Pontificia Universidad Javeriana Durante el Segundo Semestre del Año 2016. 2016 https://www.repository.javeriana.edu.co/bitstream/handle/10554/20440/ArizaDelgadoJennifer2016.pdf?sequence=1&isAllowed=y
[5] Londoño Pérez, C., Rodríguez Rodríguez, I., Gantiva Díaz, C., Revista Diversitas, Perspectivas en Psicología, vol. 7. (2011). Cuestionario para clasificar el nivel de consumo de tabaco en jóvenes. p.282. Colombia.
[6] Corvalán, B. (2017), Revista Chilena de Enfermedades Respiratorias, Vol. 33. p.186-189. Recuperado el 21 de octubre 2019 de: https://www.scielo.conicyt.cl/scielo.php
[7] Villegas-Pantoja; M.Á.; Alonso-Castillo, M. M.; Alonso Castillo; B. A.; Guzmán Facundo; F. R. Eventos Estresantes y la Relación con el Consumo de Alcohol y Tabaco en Adolescentes Recuperado de Ciencia y Enfermería XX (1): 35-46, 2014. https://www.scielo.conicyt.cl/pdf/cienf/v20n1/art_04.pdf
[8] Hernández-Bernadett, J. et al. Memorias del Congreso de Investigación Academia Journal Celaya 2018 Elibro Online Vol. 10, No. 8
[9] Martínez Cárdenas, Rosa Adriana (2015). El estrés entre los factores de riesgo para consumo de tabaco y otras drogas. Centro Universitario del Sur, Universidad de Guadalajara.
Anexo 1

Notas de autor
Av. Tecnológico 2909, Chihuahua, Chih., México.
Tel. (614) 201-2000