Investigación
Diseño y Dispositivo de tiras de Llantas, una Opción de Reciclado
Design and Tire Strip Device, a Recycling Option
Diseño y Dispositivo de tiras de Llantas, una Opción de Reciclado
Conciencia Tecnológica, núm. 58, 2019
Instituto Tecnológico de Aguascalientes
Recepción: 11 Marzo 2019
Aprobación: 26 Junio 2019
Resumen: El uso de vehículos de motor en México se ha incrementado exponencialmente en los últimos años, generado una gran cantidad de neumáticos desechados, los cuales han propiciado problemas ecológicos y sociales. En este artículo, se proponen dos dispositivos para manipular un neumático desechado y extraer tiras que mejoren la capacidad del concreto a flexión, de esta manera se podría aumentar la resistencia a tensión que usualmente presenta el concreto convencional. El diseño de los dispositivos para cortar el neumático se basó en el análisis por elemento finito, los resultados muestran la factibilidad de usar discos de corte de acero templado para el maquinado del neumático. Además, un molde para generar muestras prismáticas de concreto, de acuerdo con la norma ASTM, fue diseñado, el cual fue adaptado para ubicar dentro de la matriz de concreto las tiras de neumático.
Palabras clave: dispositivo, neumático, concreto, refuerzo, reciclado.
Abstract: The use of motor vehicles in Mexico has exponentially increased in recent years, generating a large number of waste tires, which have produced ecological and social problems. In this paper, two devices are proposed to manipulate a discarded tire and extract strips to reinforce the concrete under flexural load, the reinforcement proposed could improve the tensile strength capacity in comparison with conventional concrete. The design of the devices to cut the tire was based on a finite element analysis, the results show the feasibility of using hardened steel cutting discs to machine the discarded tire. In addition, a mold to generate prismatic concrete samples was designed according to ASTM norm, which was adapted to place the tire strips into the concrete matrix.
Keywords: device, tire, concrete, reinforcement, recycling.
Introducción
En la actualidad el entorno se ha visto sujeto a cambios sociales, económicos, tecnológicos y ambientales. El crecimiento incontrolado de la mancha urbana de las ciudades ha sido uno de sus elementos precursores; en el caso particular de México, se ha proyectado que gran parte del crecimiento demográfico se presentará en las zonas urbanas, ya que para el 2030, el país pasará de 384 a 961 ciudades, donde se concentrará el 83.2% de la población nacional [1]. Este crecimiento ha propiciado el uso de medios de transporte, principalmente vehículos de motor, de acuerdo con el INEGI [2], en 1980 se tenían en circulación 1´786,549 vehículos de motor y para diciembre del 2018 aumento a 43´219,730 vehículos registrados en el padrón vehicular de 32 entidades federativas. De la misma forma, se ha reportado que el número de vehículos ha aumentado con los años y con ello se ha tenido una gran cantidad de llantas desechadas, hoy en día se ha estimado que 1000 millones de neumáticos son desechados anualmente en el mundo [3,4]. Chang [5] reportó que el tratamiento de los neumáticos desechados es uno de los principales problemas a nivel mundial. Además confirma que, en el año de 1980, las llantas desechadas fueron consideradas como una fuente importante de reciclaje, por lo que países como los Estados Unidos normalizaron su uso, con un monto de reciclaje del 5%.
En México son desechados 32 millones de neumáticos, dónde 9 de cada 10 llantas son tiradas de manera irregular en espacios de cielo abierto originando serios problemas al medio ambiente [6]. También se ha reportado que el 91% de los neumáticos son elementos provenientes de camiones, camionetas y carros, mientras que 9% provienen de aviones, motocicletas y equipos de construcción [6]. De los neumáticos desechados 91% son tirados sin control alguno, mientras que del 9 % restante: 2% van a un centro de acopio, 2% son utilizados para la generación de energía y 5% son reutilizados como neumáticos mediante un proceso de renovación [6]. A nivel mundial, México ocupa la quinta posición en la generación de llantas de desuso con 100 millones de llantas desechadas [7,8].
En general, los neumáticos descartados son un problema social, con una lenta degradación que perjudican al medio ambiente [9]. De acuerdo con Reddy y Malek [10,11] las llantas no pueden ser destruidas por el ambiente o por algún proceso biológico o químico, debido a que tienen una alta resistencias al ataque químico y acido. Por lo que solo pueden ser quemadas a temperaturas arriba de los 322 grados centígrados, esta alternativa ha generado otros problemas ambientales como partículas arrojadas al aire durante la combustión [8,12].
Este artículo pretende establecer alternativas para reciclar los elementos que integran los neumáticos de vehículos de motor. Considerando como alternativa el uso de tiras extraídas del neumático como refuerzo del concreto, que es uno de los materiales de mayor uso en la construcción, debido a la facilidad para conseguir los materiales que lo conforman, además de su versatilidad, durabilidad y desarrollo [13]. Se ha reportado que el concreto tiene una baja resistencia mecánica a tensión, el cual representa uno de sus principales problemas. De acuerdo con Alcocer [14], grietas aleatorias aparecen en el concreto cuando una carga de tensión supera su resistencia, las grietas comúnmente son controladas con técnicas como el refuerzo por varillas y/o fibras de diferentes materiales. Otro problema que han detectado en el concreto es la falla por la repetición de cargas, a esto se le conoce como fatiga y también se manifiesta con el agrietamiento.
La relación entre el concreto y los neumáticos desechados se ha presentado comúnmente mediante el triturado mecánico del neumático, el cual se ha utilizado en el concreto como adición de agregado. Otros investigadores han extraído el acero que contiene el neumático para utilizarlo en el concreto como reforzamiento por medio de fibras metálicas aleatorias. Resultados de diferentes investigaciones han denotado diferentes aspectos; Adomu et al. [15] demostraron que el concreto con agregados de llanta reciclada pueden mejorar su resistencia a la fatiga. Borges et al. [16] destacan los beneficios acústicos del concreto con material producto de llantas desechadas. Leone et al. [17] ensayaron a compresión y flexión muestras de concreto reforzadas con fibras de acero extraídas de neumáticos, indicando un buen comportamiento, el cual es comparable con la del concreto reforzado con fibras de acero comerciales. Hu et al. [18] puntualizan un comportamiento similar entre los concretos reforzados con fibras metálicas extraídas de neumáticos y aquellas reforzadas con fibras onduladas comerciales. Abrishambaf et al. [19] demostraron que la capacidad para reforzar al concreto con acero de neumático depende de la adherencia entre el material y el concreto. Rashid K. y Baluch N. [20] utilizaron muestras de concreto reforzadas con fibras de acero provenientes de neumáticos triturados, separados por un proceso de magnetismo, en sus ensayos observaron una reducción de la trabajabilidad. Maryoto et al. [21] investigaron las propiedades mecánicas del concreto pretensado con tiras de neumático reciclado con dimensiones de 10x10x2000 mm, mostrando cualidades del concreto a flexión. Gaio et al. [22] experimentaron a fatiga muestras de concreto con acero de neumático, destacando un aumento en su capacidad. Aiello et al. [23] trituraron llantas para después separar por medio de magnetismo el acero del caucho, el acero lo utilizo para reforzar el concreto con resultados favorables a flexión. En otras investigaciones, Da Silva [13], Benazzouk et al. [24] y Khaloo et al. [25] indican que las propiedades del concreto con caucho reciclado como agregado presenta ventajas como una reducción de su peso volumétrico, aumenta su capacidad de absorber energía, reduce su tendencia al agrietamiento; pero exponen las siguientes desventajas, una reducción en su resistencia a compresión y del módulo de elasticidad. Cao [26] utilizo neumático triturado para mezclarlo con el asfalto, sus resultados muestran propiedades de resistencia a la deformación por temperatura.
En este estudio se presenta el diseño de una serie de dispositivos destinados para el reforzamiento del concreto a partir de llantas desechadas. Los elementos de refuerzos (tiras de neumático) fueron extraídas de dos secciones, el flanco y la banda de rodadura. Por otra parte, el corte del neumático con el disco de corte fue analizado con la técnica de elemento finito mediante el software Abaqus, utilizando la teoría de daño de Johnson-Cook para la modelación del proceso de corte del neumático con un disco de corte propuesto.
Fundamentos teóricos
Composición de un neumático
Un neumático es un material compuesto, estructurado por una combinación de un elastómero termoplástico y acero como elementos principales. Los neumáticos son clasificados de acuerdo con su tipo de construcción como: de capas diagonales, de diagonal con cinturones y de capas radiales. En los tres tipos de neumáticos, su estructura interna se conforma de elementos de refuerzo cubiertos con caucho, los refuerzos tienen una elasticidad más reducida que el caucho para controlar su comportamiento. La principal diferencia entre los tipos de neumáticos es la dirección y los tipos de refuerzo. Por ejemplo, los neumáticos de capas diagonales se conforman por una serie de refuerzos orientados diagonalmente entre ellos. Los de diagonal con cinturones, además de las capas diagonales de refuerzo, similar a los neumáticos de capas diagonales, añaden cinturones que incrementan su rigidez, controlando su expansión. Por otra parte, las de capas radiales, además de los refuerzos provistos por los neumáticos de capas diagonales y de diagonal con cinturones, tienen capas de cinturones orientadas radialmente [27]. En cuanto a las partes principales que forman un neumático se pueden citar la banda de rodadura, el flanco, el aro de talón y el hombro, las cuales son mostradas en la Figura 1.

Corte de materiales
En las operaciones de maquinado de materiales, ya sean metales o polímeros, existen parámetros que reducen en forma significativa su vida útil; por ejemplo, una elevada fuerza de corte, producida entre el cortador y el material, puede generar una fractura temprana de los herramentales; otro efecto es una elevada temperatura generada en la zona de corte, la cual puede producir cambios en las propiedades estructurales del material de corte. Generalmente, los parámetros que definen el comportamiento de una herramienta de corte son su tenacidad, dureza y resistencia al desgaste [27].
Elemento finito
Aunque el elemento finito no es una herramienta nueva, el desarrollo de las computadoras ha fomentado su aplicación. El elemento finito o por sus siglas en inglés Finite Element Method (FEM) ha sido utilizado para estudiar mecánicamente el comportamiento de estructuras mediante una solución aproximada basado en teorías y aplicaciones matemáticas que permiten analisis de elementos estáticos y dinámicos, lineales y no lineales, de esfuerzo y de deflexión, de vibraciones libres y forzadas, o de transferencia de calor, entre otras. [28].
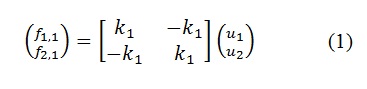
En los principios del FEM, el sistema mecánico más simple puede ser representado matemáticamente mediante una matriz que represente un vector que relaciona las fuerzas externas, una matriz que indique los parámetros del comportamiento mecánico de los materiales que se están estudiando, y un vector donde se expresen los desplazamientos generados en la estructura del elemento. La ecuación 1 representa esta expresión en forma matricial.

donde:
: es el vector de las fuerzas externas
: es la matriz de rigidez que relaciona parámetros como la sección transversal, el módulo de elasticidad, longitud, etc.
: es el vector de desplazamientos.
Criterio de Von Mises
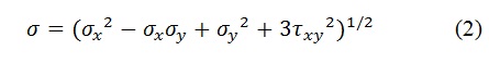
El criterio de Von Mises es una teoría de falla utilizada comúnmente en el diseño de elementos mecánicos. La teoría se basa en el hecho que la fluencia de un material dúctil no es un fenómeno intrínseco a la tensión o a la compresión de un material, sino más bien, que está relacionada con la distorsión angular. La teoría de Von Mises predice una falla por fluencia, la cual ocurre una vez que la energía de deformación total por unidad de volumen que se presenta en un material es mayor que la energía de deformación por unidad de volumen correspondiente al mismo material, los parámetros de capacidad de energía de los materiales son pronosticados en base a un ensayo de tensión o de compresión uniaxial. La ecuación 2 permite calcular el esfuerzo de Von Mises y la ecuación 3 es el criterio de falla de Von Mises.


donde:
σ: es el esfuerzo de Von Mises,
σx: es el esfuerzo normal en x,
σy: es el esfuerzo normal en y,
τxy: es el esfuerzo cortante en el plano x-y,
Sy: es la resistencia a la fluencia del material.
Materiales y métodos
En el proceso de obtención de elementos de refuerzo a partir de los neumáticos desechados, se contempla una extracción de los flancos, mediante un proceso de seccionamiento circunferencial en el hombro del neumático, para obtener tres elementos principales: los dos flancos que comprenden un neumático y la banda de rodadura. De estos tres elementos se plantea obtener elementos de refuerzo tipo tira, los cuales serán ubicados al interior del concreto en forma semejante al refuerzo convencional por varilla de acero.
Para el proceso de extracción de los flancos y la banda de rodadura, dos dispositivos fueron diseñados y construidos. Mientras que, para la generación de muestras y la ubicación del refuerzo, se generó un molde para la realización de muestras prismáticas con dimensiones que cumplen con la norma ASTM C78, el cual fue adaptado para ubicar los elementos de refuerzo en las muestras de concreto, de acuerdo con la propuesta de Maryoto et al. [21].
Análisis por elemento finito
Dos procesos de corte son propuestos para la extracción de tiras de refuerzo a partir de neumáticos desechados, el primero consiste en el corte en la sección comprendida en el hombro, y el segundo corresponde al seccionado de la banda de rodadura. Los dos están estructurados por diferentes materiales que los hacen diferentes, mientras que el flanco puede ser considerado como un elemento con caucho como elemento principal, la banda de rodadura tiene una combinación de caucho y acero como refuerzo. Para el análisis de los procesos de corte, el programa Abaqus fue utilizado como software de elemento finito, para su estudio se alimentaron datos como módulo de elasticidad y coeficiente de Poisson correspondientes al material de las navajas y del neumático, los datos son mostrados en la Tabla 1. En el análisis FEM se utilizó la teoría de daño de Johnson-Cook, el cual permite trabajar el comportamiento del corte en la zona plástica, además es compatible con el criterio de falla de Von Mises y es aplicable a altos rangos de deformaciones para simular el daño progresivo en los materiales y su falla, típicamente es utilizado en simulaciones dinámicas [29]. La modelación FEM contempla el análisis de dos aspectos importantes: que el esfuerzo generado en los discos de corte sea menor que la resistencia del material y que el corte del neumático para producir las tiras de refuerzo sea viable.

FEM del corte del neumático
Los flancos de los neumáticos son elementos que por su limitado contenido de refuerzo son proyectados como un material fácil de maquinar y del cual se pueden producir elementos de refuerzo de una manera simple. Por otra parte, la banda de rodadura contiene una cantidad considerable de refuerzo, el cual puede generar una mayor dificultad para el maquinado en la producción de elementos de refuerzo. Se realizaron dos estudios del proceso de corte del neumático, uno para los flancos y otro para la banda de rodadura. En el proceso de corte de los flancos se consideró un neumático formado por un caucho con espesor de 5 mm. Por otra parte, en el corte de la banda de rodadura se consideró al neumático como un material compuesto tipo capas, el cual se compone de dos elementos de caucho y un elemento central de acero, cada una de las capas modeladas tiene un espesor de 2 mm. El proceso de corte, el cual es uno de los objetivos del estudio, se muestra en las Figuras 2 y 3. La Figura 2 muestra el resultado por elemento finito del proceso de corte de los flancos, que consiste en una capa de caucho con el espesor antes mencionado. La Figura 3 ilustra el corte de la banda de rodadura, compuesta por las tres capas. En general, los resultados obtenidos del análisis FEM y evidenciado en las imágenes permiten observar la deformación producida, durante el proceso de corte, en el flanco y la banda de rodadura. Además, se observa el proceso de corte generado, indicando que el disco es capaz de realizar el proceso de corte, tanto en los flancos como en la banda de rodadura del neumático.

FEM del esfuerzo en el disco de corte
Otro proceso por analizar es el esfuerzo generado en el disco de corte durante el seccionamiento del neumático, considerando el proceso que representa el corte del flanco del neumático y el correspondiente al corte de la banda de rodadura. Para el criterio de falla del disco de corte, se consideró el teorema de Von Mises, los resultados de los esfuerzos son mostrados en las Figuras 4 y 5. La Figura 4 representa los esfuerzos generados en el disco de corte, al producirse el corte de la tira del flanco del neumático, el cual no contiene ningún refuerzo.

Por otra parte, la Figura 5 muestra los esfuerzos generados en el proceso de corte con el neumático proveniente de la banda de rodadura, el cual contiene una capa de refuerzo.

En los dos procesos de corte, de los flancos y de la banda de rodadura, los esfuerzos máximos fueron localizados en la zona de corte del neumático y posteriormente en la zona de corte del disco de corte. Esto ofrece dos explicaciones, la primera es que el disco de corte será capaz de realizar la segmentación del flanco del neumático, y la segunda es que los esfuerzos de Von Mises en el disco de corte están por debajo del esfuerzo de fluencia del material, considerando que el material del disco de corte será de acero templado AISI 1141 con una resistencia a la fluencia de 1460 MPa, lo que garantiza su buen funcionamiento.

Resultados y discusión
En una segunda etapa del proyecto, y una vez analizado el proceso de corte, se procedió al diseño estructural y de los mecanismos para realizar la separación de los elementos que conforman el neumático. El proceso requirió de dos etapas: el seccionamiento del neumático en sus hombros, para separar los flancos y la banda de rodadura; y posteriormente, el corte de los elementos extraídos para generar tiras de refuerzo para el concreto.
Dispositivo para extraer flancos
En el primer proceso de corte del neumático se diseñó un dispositivo para separar los flancos y la banda de rodadura. La Figura 6 muestra el prototipo propuesto para extraer los flancos, el cual consta de una placa rectangular que es utilizada como base, que permite la ubicación de un cilindro hueco soldado al centro, en el cual, por la parte interior del cilindro se aloja un rodamiento que permite el giro de un brazo que soporta la herramienta de corte para el seccionamiento de los flancos del neumático. Por la parte exterior del cilindro se soldarán cuatro brazos ajustables que permitirán la sujeción del neumático durante el proceso de corte.
La Figura 7 muestra la forma en que se sujeta el neumático en el dispositivo construido, de la misma forma puede observarse la navaja de corte alojada en el brazo giratorio para producir el corte circunferencial del flanco del neumático, también se muestra un ejemplo de uno de los flancos extraído del proceso de corte.


Dispositivo para corte de tiras de neumáticos
El flanco extraído y la banda de rodadura de los neumáticos serán sometidos a otro proceso adicional, con el objetivo de obtener una serie de tiras, con espesor de 25.4 mm y 50 mm de longitud, que servirán como refuerzo para el concreto, la Figura 8b muestra una de las tiras producidas. El dispositivo para corte cuenta con un disco que permiten el corte en tiras a partir del flanco o de la banda de rodadura del neumático, los discos de corte fueron fabricados de acero AISI 1141, a los cuales se les aplicó un tratamiento térmico, templado, para obtener una mayor dureza superficial y reducir su desgaste, a su vez los discos de corte son accionados por una palanca que es activada manualmente. El proceso de templado consistió en un calentamiento a una temperatura aproximada de 800C, seguido de un enfriamiento en aceite. La Figura 8 muestra las partes principales del dispositivo construido para producir las tiras de neumático.

Molde para muestras de concreto reforzado con tiras de neumático
Para la generación de muestras de concreto reforzados con las tiras de neumático se construyó un molde que cumple con la norma ASTM C78 [30], con 500 mm de longitud, 150 mm de ancho y 150 mm de peralte. Para la sujeción y ubicación de las tiras de neumático producidas, se tomó como referencia el molde propuesto por Maryoto et al. [21]. La Figura 9 muestra el molde producido, donde se puede observar una serie de ganchos que permitirán la sujeción y ubicación de las tiras de neumático en el molde, con el objetivo de posteriormente verter el concreto al molde hasta que endurezca la matriz cementicia y después ser desmontada para ser ensayada.

Conclusiones
El problema de la cantidad de neumáticos desechados a nivel mundial ha representado una serie de problemas ecológicos, sociales y ambientales. En esta investigación se propone el reciclado de los neumáticos para extraer tiras de refuerzo que pueden ser utilizadas en el concreto para solventar su debilidad a tensión. Dos dispositivos fueron fabricados para realizar el proceso de corte del neumático, el primero permite la separación de los flancos y de la banda de rodadura, el segundo será utilizado para seccionar estos elementos y producir tiras de refuerzo. Además, un molde es presentado para la ubicación de las tiras de refuerzo en una matriz de concreto.
El diseño fue basado en modelaciones por elemento finito, los cuales analizan el proceso de corte y el esfuerzo en el disco de corte generado en el proceso. Los resultados indican que el disco es capaz de realizar el proceso de corte del flanco y la banda de rodadura del neumático, con un esfuerzo inferior a la resistencia del material del disco de corte de acuerdo con el criterio de falla de Von Mises.
Esta investigación fomenta el uso de materiales desechados, como los neumáticos en el posible reforzamiento del concreto, lo que permite el fortalecimiento de la búsqueda de reciclado de materiales en aplicaciones de la construcción.
Una continuación a esta Investigación, consistiría el ensayo experimental de las tiras producidas inmersas en el concreto, para evaluar su grado de reforzamiento que puede adquirir la matriz cementicia a flexión.
Agradecimientos
Se agradece al Tecnológico Nacional de México/I.T. Aguascalientes, por su apoyo en la Convocatoria Fomento a la Investigación. De la misma forma se agradece a los alumnos de la carrera de Ingeniería Mecánica por su participación en este proyecto, en forma especial a Samuel Salas Candelas, Moisés Gloria Martínez, Raúl Gerardo Medina Reyes, Jorge Guillermo Pérez Esparza y Juan Pedro Rivera de la Cruz.
Referencias
[1] ONU-Hábitat México, (2016). Índice de prosperidad urbana en la República Mexicana. Reporte Nacional de Tendencias de la Prosperidad Urbana en México. (pp. 78) ONU-Hábitat, México.
[2] INEGI, (2018). Parque Vehicular. 05 de febrero del 2019, de Instituto Nacional de Estadística Geografía en Informática Sitio web: https://www.inegi.org.mx/temas/vehiculos/
[3] Hesami S., Hikouei I.S y Emadi A.A., (2016). Mechanical behavior of self-compacting concrete pavements incorporating recycled tire rubber crumb and reinforced with polypropylenefiber. Journal of Cleaner Production, 133, 228-234.
[4] Muy interesante, (2018). ¿cuántos neumáticos se tiran cada año a la basura?. https://www.muyinteresante.es/curiosidades/preguntas-respuestas/cuantos-neumaticos-se-tiran-cada-ano-a-la-basura-941375271546, consultado el 24 de octubre 2018.
[5] Chang N.B., (2008). Economic and policy instrument analyses in support of the scrap tire recycling program in Taiwan. Journal of Environmental Management, 86, 435–450.
[6] Resendiz Tejeda V.C., (2007). Tesis de ingeniería, estudio de las alternativas de aprovechamiento de las llantas en desuso. Instituto Politécnico Nacional, México.
[7] Semarnat, (2009). saneamiento de sitios contaminados con llantas de desecho y gestión de residuos de llantas de desecho. https://www.borderlegislators.org/Meetings/XIX%20Tampico/Power%20Point%20Presentations/Edgar%20Del%20Villar%20Alvelais%20SEMARNAT.pdf , consultado el 24 de octubre 2018.
[8] Sánchez Santiago E., (2013). Tesis de maestría, modelo de negocio para empresas recicladoras de llantas. Instituto Politécnico Nacional, México.
[9] Al-Bared M.A.M., Marto A., Latifi N., (2018). Utilization of Recycled Tiles and Tyres in Stabilization of Soils and Production of Construction Materials – A State-of-the-Art Review. KSCE Journal of Civil Engineering, 1-15.
[10] Reddy K.R. and Saichek R.E., (1998). Characterization and performance assessment of shredded scrap tires as leachate drainage material in landfills, Proc. the fourteenth international conference on solid waste technology and management, Philadelphia.
[11] Malek K. and Stevenson A., (1998). The effects of 42 years immersion in sea water on natural tire. Journal of Materials Science, Vol.21, 147-154.
[12] Edeskar, T., (2002). Use of Tire Shreds in Civil Engineering Applications, Lulea University of Technology, Swedia.
[13] da Silva F.M., Gachet L.A., Cecche R.C. et al., (2015). Investigation on the properties of concrete tactile paving blocks made with recycled tire rubber. Construction and Building Materials, 91, 71–79.
[14] Alcocer Martínez, S., (2006). “Pisos de concreto sin grietas ¿cómo?”. Materiales, proyecto 6.1. An overview. Construction and Building Materials, 67, 217–224.
[15] Adomu M., Mohammed B.S., Shafiq N., _Liew M.H., (2018). Effect of crumb rubber and nano silica on the fatigue performance of roller compacted concrete pavement. Cogent engineering, 5: 1436027.
[16] Borges J.K., Pacheco F., Tutikian B., et al., (2018). An experimental study on the use of waste aggregate for acoustic attenuation: EVA and rice husk composites for impact noise reduction. Construction and Building Materials, 161, 501–508.
[17] Leone M., Centonze G., Colonna D., et al., (2018). Fiber-reinforced concrete with low content of recycled steel fiber: Shear behavior. Construction and Building Materials, 161, 141-155.
[18] Hu H., Papastergiou P., Angelakopoulos H., et al. (2018) Mechanical properties of SFRC using blended manufactured and recycled tyre steel fibres. Construction and Building Materials, 163, 376-389. in asphalt rubber mixtures. Construct Build Mater, 24, 1193–200.
[19] Abrishambaf A., Barros J.A.O., Cunha V.M.C.F, et al., (2017). Time dependent behaviour of fibre pull-out in self-compacting concrete Cement and Concrete Composites 77, 14-28.
[20] Rahimi, S.R, Nikbin I.M., Allahyari, H, et al., (2016). Sustainable approach for recycling waste tire rubber and polyethylene terephthalate (PET) to produce green concrete with resistance against sulfuric acid attack. Journal of Cleaner Production, 126,166-177.
[21] Maryoto A., Hermanto N.I.S, Haryanto Y, et al., (2015). Influence of prestressed force inthe waste tire reinforced concrete. Procedia Engineering, 125, 638–643.
[22] Gaio A., Pilakoutas K., Neocleous K., et al., (2012). Fatigue resistance and cracking mechanism of concrete pavements reinforced with recycled steel fibres recovered from post-consumer tyres. Engineering Structures, 45, 385–395.
[23] Aiello M.A., Leuzzi F., Centonze G., et al., (2009). use of steel fibres recovered from waste tyres as reinforcement in concrete: Pull-out behaviour, compressive and flexural strength. Waste Management, 29, 1960–1970.
[24] Benazzouk A., Douzane O., Langlet T., Mezreb K., Roucoult J.M., Que ´neudec M., (2007). Physico-mechanical properties and water absorption of cement composite containing shredded rubber wastes Cement & Concrete Composites, 29, 732–740.
[25] Khaloo A.R., Dehestani, M., Rahmatabadi, P., (2008). Mechanical properties of concrete containing a high volume of tire–rubber particles. Waste Management 28, 2472–2482.
[26] Cao W., (2007). Study on properties of recycled tire rubber modified asphalt mixtures using dry process. Construction and Building Materials, 21, 1011–1015.
[27] Groover, M.P., (2007). Fundamentos de manufactura moderna. Mc. Graw Hill, tercera edición.
[28] Bodynas R.G., Nisbett J.K., (2010). Diseño en ingeniería mecánica de Shigley. Mc. Graw Hill, octava edición.
[29] Dassault Systemes, (2010). Manual de Abaqus, Simulia.
[30] ASTM C78, (2000). Standard Test Method for Flexural Strength of Concrete (Using Simple Beam with Third-Point Loading), West Conshohocken, PA 19428-2959, United States.
Notas de autor