Artículos
Análisis técnico hidrológico de la subcuenca del río Ajejela, Tlaxcala, México
Technical hydrological analysis of the Ajejela river sub-basin, Tlaxcala, Mexico
Análisis técnico hidrológico de la subcuenca del río Ajejela, Tlaxcala, México
Conciencia Tecnológica, núm. 62, 2021
Instituto Tecnológico de Aguascalientes
Recepción: 02 Agosto 2021
Aprobación: 03 Noviembre 2021
Resumen: El trabajo presenta un análisis técnico de la subcuenca del río Ajejela que abarca los municipios de Tepetitla de Lardizábal, Ixtacuixtla de Mariano Matamoros, Hueyotlipan, Sanctórum de Lázaro Cárdenas y Españita, todos pertenecientes al Estado de Tlaxcala. Se utilizaron para el estudio datos existentes de las estaciones hidrológicas y meteorológicas de Ixtacuixtla, Españita, Hueyotlipan, Tepetitla, Xocoyucan y Sanctórum. Los años que se analizaron abarcan de 1992 a 2020, donde se obtuvieron resultados importantes para poder realizar una proyección a futuro sobre la cantidad de agua disponible en la región hidrológica (subcuenca). Además, se realizó un balance hídrico para obtener entre otros datos la cantidad de precipitación, evapotranspiración y escurrimiento superficial que existe en la zona. El estudio se llevó a cabo para contribuir con datos técnicos para el área de protección civil en la prevención de desastres hidrológicos.
Palabras clave: subcuenca, balance, métodos, gasto, cauce.
Abstract: This paper presents a technical analysis of the Ajejela river sub-basin, which includes the municipalities of Tepetitla de Lardizábal, Ixtacuixtla de Mariano Matamoros, Hueyotlipan, Sanctórum de Lázaro Cárdenas and Españita, all belonging to the State of Tlaxcala. Existing data from the hydrological and meteorological stations of Ixtacuixtla, Españita, Hueyotlipan, Tepetitla, Xocoyucan and Sanctorum were used for the study. The years to be analyzed range from 1992 to 2020, where important results were obtained to be able to make a future projection on the amount of water available in the hydrological region (sub-basin). A water balance was also carried out to obtain, among other data, the amount of precipitation, evapotranspiration and surface runoff that exists in the area. The study was carried out in order to contribute technical data for the area of civil protection in the prevention of hydrological disasters.
Keywords: sub-basin, balance, methods, flow, river bed.
Introducción
El trabajo es un análisis técnico completo de la subcuenca del río Ajejela que abarca los años de 1992 a 2020. Los resultados tienen la finalidad de contar con datos hidrológicos suficientes y contribuir como Universidad a la prevención de desastres hidrológicos en la zona de estudio.
Uno de los objetivos fue determinar los gastos máximos probables para diferentes periodos de retorno, con base en registros de precipitación de las estaciones pluviométricas localizadas en la zona de estudio, dichos registros pertenecen a las alturas máximas de precipitación ocurridas durante una tormenta y su posible comportamiento a futuro.
Materiales y métodos
Para llevar a cabo la delimitación de la subcuenca de manera digital se hizo uso de una carta topográfica en formato raster de la zona de estudio (Instituto Nacional de Estadística, Geografía e Informática, INEGI); se realizó el trazo de la subcuenca georreferenciada mediante el software ArcView, además, se obtuvieron datos hidrológicos. La delimitación del parteaguas se realizó con criterios estrictamente topográficos e hidrográficos: se localizó el río principal, sus corrientes tributarias y la red de drenaje en dicha zona.
También se identificó y delineo la línea divisora de aguas a partir de la visualización de las curvas de nivel, el parteaguas se trazó mediante una poligonal uniendo los puntos de máxima altura que envolvieran tanto el cauce principal como sus tributarios hasta cerrar en el punto donde desemboca la corriente principal.
El cálculo del área, perímetro, cauce, hectáreas de polígonos y longitud de polilíneas se determinó mediante el software ArcView (figura 1).

A continuación, se presentan todos los desarrollos matemáticos para la zona de estudio.
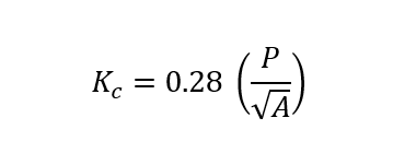
Para calcular el índice o coeficiente de compacidad Kc de Gravelius (relación entre perímetros de la subcuenca y un círculo de igual), Llamas propone el siguiente modelo matemático:
(1)Donde: Kc = Índice de Gravelius, P = Perímetro de la subcuenca (km), A = Área de la subcuenca (km2). Primero se determina el perímetro y área de la subcuenca (con el software) y se sustituyen los datos en el modelo matemático:

Los rangos según la FAO de Kc son: Kc1 entre 1 y 1.25, Kc2 entre 1.25 y 1.5 y Kc3 entre 1.5 y 1.75; el valor obtenido es de 1.862, sobrepasa la clase Kc3, esto indica que la subcuenca tiene una forma más alargada con relación a su ancho, por lo tanto, el agua escurre mayormente al cauce principal (río Ajejela).
Pendiente de la subcuenca del río Ajejela
Para este estudio se aplica el modelo de Alvord y se analiza primero la pendiente de su área tributaria:
(2)Donde: S1 = Pendiente media de la faja referente a esa curva de nivel, D = Desnivel entre las líneas medias, W1= Ancho de la faja.
Pero, W1 es igual a:
(3)Siendo: a1 = Área de la faja, l1 = Longitud de la curva de nivel.
Por lo tanto, la pendiente promedio de la subcuenca se obtiene de la siguiente forma:
(4)Por lo que:
(5)En donde: D = Desnivel constante entre curvas de nivel (km), A = Área de la subcuenca (km2), L = Longitud total de las curvas de nivel, dentro de la subcuenca (km), Sc = Pendiente de la subcuenca.
Una vez conocida el área de la subcuenca, se procedió a determinar la longitud de cada una de las curvas a una equidistancia de 20 m, de la cota 2220 a la 2780 con un total de longitud de 941.34 m.
Sustituyendo los datos obtenidos, en la ecuación 5 se tiene:

El resultado muestra que la subcuenca tiene una pendiente media de 16.6 %.
Elevación de la subcuenca
La elevación media de la subcuenca se calcula como el promedio de las elevaciones de todas las intersecciones y se obtiene mediante la siguiente fórmula:
(6)En donde: Em = Elevación media de la subcuenca (msnm), ENc = Elevación total de las intersecciones (msnm), Nc = Número total de intersecciones dentro de la subcuenca.
Los datos obtenidos se sustituyeron en la ecuación 6:

El resultado de la elevación media de la subcuenca tiene un valor de 2502.965 msnm.
Curva hipsométrica
La gráfica del relieve de la subcuenca (estudio de la variación de las elevaciones) se obtuvo con la relación de los datos de las columnas, donde se muestran en la columna 1 los intervalos de clasificación analizados, en la columna 2, el número de veces que las elevaciones quedaron comprendidas en dicho intervalo, en la columna 3 se muestran las frecuencias obtenidas de dividir los valores de la columna 2 entre el total. Mientras que en la columna 4 el valor de la columna 3 expresada en porcentaje y en la columna 5 la acumulación de dichos porcentajes (tabla 1).

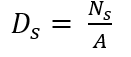
Modelo de horton-strahler
Para el estudio se utilizó este modelo en el que se requiere de un plano de la subcuenca que incluya tanto corrientes perennes como intermitentes.
Esta característica se puede obtener mediante la siguiente expresión:
(7)Donde: Ns = Número de corrientes de la subcuenca, A = Área total de la subcuenca (km2), Ds = Densidad de corriente (corriente/km2).
Para determinar la densidad de corriente, se calcularon 103 corrientes de orden 1, 27 corrientes de orden 2, 6 corrientes de orden 3, 2 corrientes de orden 4 y 1 corriente de orden 5, para un total de 139 corrientes.
Sustituyendo en (7) se tiene:

La densidad de corriente en la subcuenca resultó tener un valor de 1.225 corriente/km2.
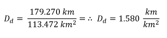
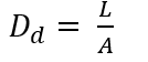
Densidad de drenaje
Para obtener la relación entre la longitud total de los cursos de agua de la subcuenca y su área total, se aplica el siguiente modelo matemático.
(8)Donde: L = Longitud total de las corrientes perennes e intermitentes (km), Dd. = Densidad de drenaje (km/km2), A = Área total de la subcuenca (km2).
Para determinar la densidad de corrientes perennes e intermitentes, se obtuvieron 101.22 km de corrientes de orden 1, 31.07 km de corrientes de orden 2, 20.93 km de corrientes de orden 3, 15.26 km de corrientes de orden 4 y 10.79 km de corrientes de orden 5, para un total de 179.27 corrientes.
Aplicando el mismo modelo (8) se obtiene lo siguiente:


El resultado obtenido es de 1.580 km/km2, lo que indica que la zona de estudio tiene un régimen pluvial menor, pero con una resistencia del material litológico de gran magnitud.
Perfil del cauce principal
Para generar el perfil de la corriente principal se utilizó el módulo Surface del software ArcView, aplicando un modelo TIN (Red Irregular de Triángulos), dicho modelo fue creado a partir de las curvas de nivel de la subcuenca (figura 2).
Pendiente media del cauce principal
Para este estudio se tomó en cuenta una tormenta que pudiera contribuir a las variaciones de su pendiente y del cauce a lo largo de su longitud, se utilizó el Método simple donde la pendiente media es igual al desnivel entre los extremos inicial y final dividido entre la distancia horizontal de dicho tramo. El modelo matemático para calcularla es el siguiente:
(9)Donde: S = Pendiente del tramo del cauce, En = Elevación del nacimiento del cauce (msnm), Ed = Elevación en la descarga del cauce (msnm), L = Desnivel entre los extremos del tramo del cauce (m).
Se determinó la elevación y descarga del cauce principal, obteniéndose.

El resultado de la pendiente media del cauce principal en la subcuenca del río Ajejela es de 1.6 %.
Análisis de datos de precipitación
Para el estudio se analizaron los datos de precipitación máxima en 24 horas y 1 mes (en mm), registrados por las diferentes estaciones meteorológicas existentes en la subcuenca del río Ajejela, pertenecientes al Servicio Meteorológico Nacional (SMN) dentro de los años 1992-2020.
Precipitación máxima esperada
Para el ajuste de la obtención de las precipitaciones máximas, se aplicó el modelo Gumbel tipo I, obteniendo los diferentes periodos de precipitación de retorno:
(10)Donde: PT = Precipitación máxima esperada (mm), T = Periodo de retorno (años), ym = Promedio de la muestra, Sy = Desviación estándar de la muestra, α y β = Parámetros de la función de distribución, que equivalen a:
La función de distribución Gumbel tipo I, es un modelo de probabilidad y estadística empleado para determinar valores extremos a partir de un registro de observaciones.
Primero se calcularon los parámetros α y β para cada una de las estaciones meteorológicas localizadas en la subcuenca, con los datos obtenidos del promedio y desviación estándar de la intensidad de precipitación en 24 horas y 1 mes (tabla 2).

Posteriormente se obtuvieron los valores de precipitación máxima para los diferentes periodos de retorno de cada una de las estaciones meteorológicas (tabla 3).

Se realizaron las gráficas comparativas donde se aprecian las precipitaciones máximas esperadas de cada una de las 6 estaciones meteorológicas, que se localizan en la zona de estudio (figura 3).

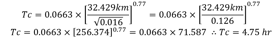
Tiempo de concentración
Se calculó el tiempo que tarda el agua en su recorrido entre dos puntos de la subcuenca (extremo superior y punto de medición), se aplicó el modelo de Kirpich, que involucra características físicas de las cuencas como la longitud y pendiente del cauce principal:
(11)Donde: Tc = Tiempo de concentración (hr), L = Longitud del cauce principal (km), P = Pendiente del cauce principal (Absoluto), sustituyendo los datos en el modelo y se obtiene:

Intensidad máxima de precipitación
Para el estudio es importante determinar la capacidad erosiva de la lluvia, porcentaje de la lluvia, condiciones de suelo, pendiente y cobertura. Para determinar la intensidad máxima de precipitación, se utilizan los siguientes modelos matemáticos:
(12)
(13)
(14)
(15)Donde: P = Precipitación máxima (mm), I = Intensidad máxima (mm/min), k y m = Factores característicos de la zona, t = Duración de la precipitación (min), In(k) = Logaritmo natural del factor característico k, PMES = Precipitación máxima en 1 mes (mm), P24 = Precipitación máxima en 24 horas (mm).
En las tablas 4 y 5 se muestran las intensidades máximas de probables periodos de retorno.

Una vez calculada la intensidad máxima, se procede a determinar la precipitación máxima en cada una de las 6 estaciones meteorológicas existentes en la zona de estudio.

Coeficiente de escurrimiento
Debido a que en la zona de estudio existen áreas de uso de suelo diferentes, se procedió a determinar el coeficiente de escurrimiento para cada una, tomando en cuenta su pendiente y textura.
Para calcular el coeficiente de escurrimiento medio se utilizó el siguiente modelo:
(16)Donde: C = Coeficiente de escurrimiento medio, Ci = Coeficiente de escurrimiento del área i, n = Número de áreas bajo análisis.
Sustituyendo los coeficientes de escurrimientos parciales en la ecuación 6, se tiene:

Descargas máximas para diferentes periodos de retorno
El método que se utilizó para determinar las descargas máximas en la zona de estudio se fundamenta en las siguientes suposiciones: la duración de la tormenta coincide con el tiempo de escurrimiento; la capacidad de infiltración permanece constante con respecto al tiempo; la intensidad de precipitación es uniforme en toda la subcuenca.
Dicho procedimiento, está definido por medio de la siguiente fórmula:
(17)Donde: Qmax = Descarga para una frecuencia (m3/s), C = Coeficiente de escurrimiento, A = Área de la subcuenca (km2), P = Precipitación máxima de una frecuencia determinada en un tiempo de concentración (mm), tc = Tiempo de concentración (hr), 0.278 = Factor de conversión.
Se han determinado las variables de: coeficiente de escurrimiento (0.55), tiempo de concentración (4.75 hr) y el área de la subcuenca (113.472 km2), con esos datos se calcularon los gastos máximos para los diferentes periodos de retorno para cada una de las 6 estaciones meteorológicas.
Modelo de balance hídrico
La ecuación del balance hídrico para la zona de estudio comprende la precipitación (P), masa de agua desde fuera (QsI y QuI), evapotranspiración (E), corrientes de agua superficial y subterránea considerada (QsO y QuO) y (v).
Por tanto, el balance hídrico en cualquier intervalo de tiempo está dado por el siguiente modelo:
(18)En este estudio se descartan los valores de aguas subterráneas recibidas (QuI), salida de corriente de aguas subterráneas (QuO), las aportaciones superficiales (QsI) y el incremento o variación del volumen total de agua almacenada (ΔS). Por lo que el modelo del balance hídrico de una subcuenca es el siguiente:
(19)Donde: P = Precipitación (mm), R = Escorrentía superficial (mm), E = Evapotranspiración (mm), v = Termino de discrepancia.
Parámetros del modelo de balance hídrico para ajustar datos (faltantes)
Los parámetros utilizados para el estudio fueron la precipitación, evapotranspiración, evapotranspiración potencial, evapotranspiración real, déficit de saturación, temperatura, velocidad del viento y escurrimiento superficial.
El primer método que se aplicó es el método de la proporción normal:
(20)Donde: Px = Precipitación (faltante) de la estación en estudio “x”, n = Número de estaciones pluviométricas con datos de la estación de estudio “x”, Nx = Precipitación normal media anual de la estación en estudio “x”, N1,…, Nn. = Precipitación normal media anual de las estaciones índices (1 a n), P1,…, Pn = Precipitación de las estaciones índice (1 a n) durante el mismo periodo de tiempo por completar (del dato faltante).
La tabla 6 ejemplifica la estimación del año 2019 en la estación Sanctórum a partir de tres estaciones vecinas: Tepetitla, Ixtacuixtla y Españita.


Para estimar los años faltantes de la estación Sanctórum, solo basta identificar el dato carente y aplicar la ecuación 20, tomando como consideración que el promedio de la estación a analizar se va modificando conforme se calcula la precipitación faltante.
Los resultados de las estimaciones para las dos estaciones (Hueyotlipan y Xocoyucan) que requirieron completar su registro se muestran en la tabla 7.

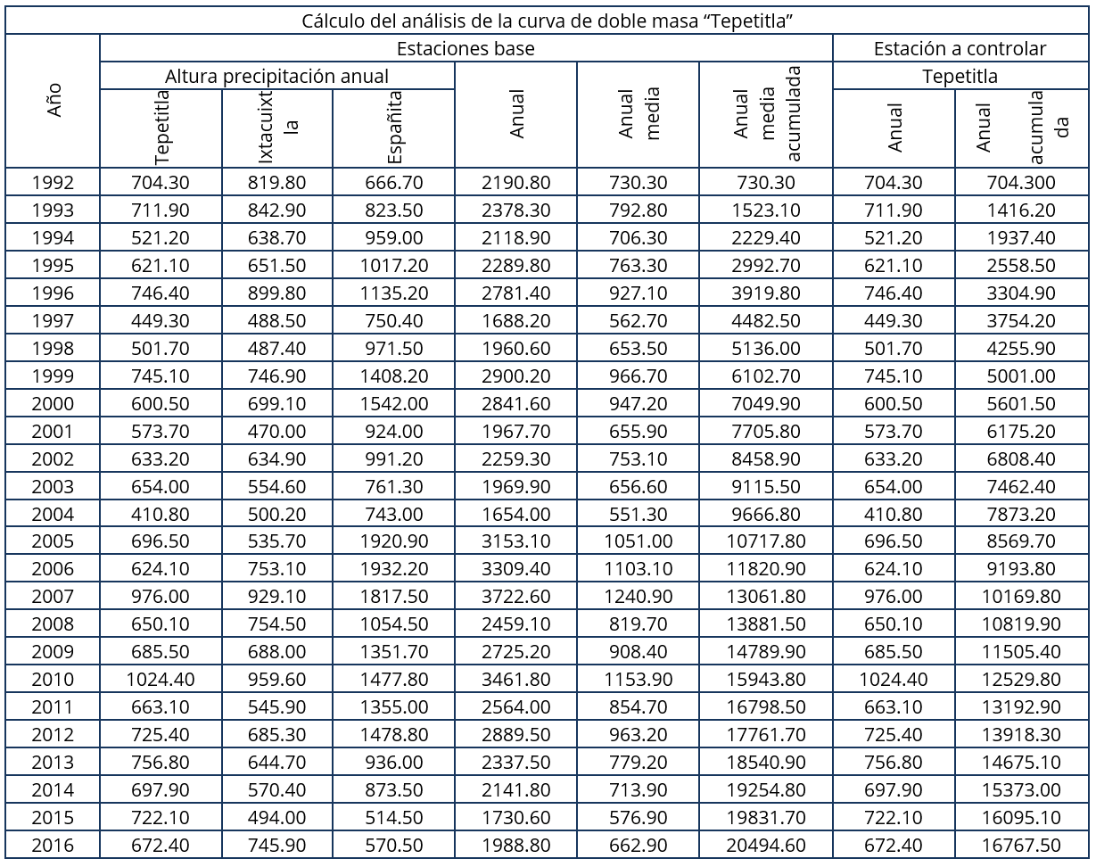
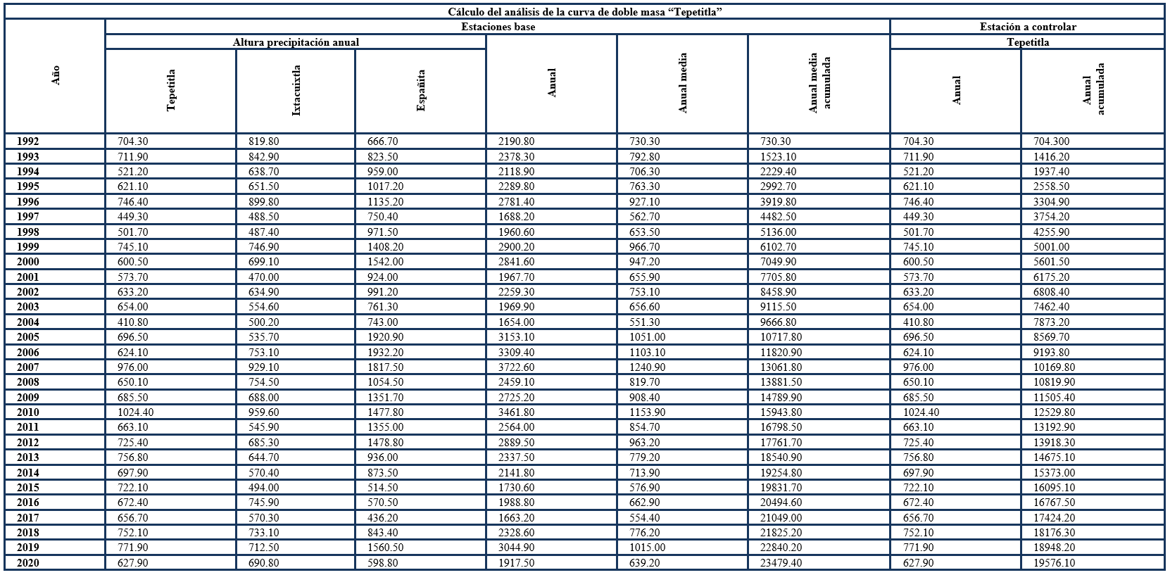
Método de la curva de doble masa
El método aplicado para el estudio compara la precipitación anual acumulada en la estación por analizar con la precipitación media anual acumulada de un grupo de estaciones cercanas.
El desarrollo se realizó para las estaciones de Tepetitla Ixtacuixtla y Españita. Se presentan solo los datos obtenidos para la estación Tepetitla (tabla 8).

El modelo para corregir el método de la curva de doble masa es el siguiente:
(21)Donde: F = Factor de corrección, Pc = Pendiente correcta, Pe = Pendiente errónea.
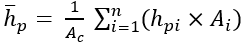
Precipitación media
Para el estudio se aplicó el método de las isoyetas:
(22)Donde
= Precipitación media (mm), Ac = Área de la subcuenca (km2), hpi = Altura de precipitación promedio entre las dos isoyetas adyacentes al análisis (mm), Ai = Área comprendida entre dos isoyetas consecutivas (km2), n = Número de tramos entre isoyetas.
La tabla 9 presenta los resultados obtenidos con el método de isoyetas.

Sustituyendo los valores de la tabla en el modelo 22, resulta lo siguiente:

Análisis de la temperatura y deducción de datos
Para completar los registros de los años que faltan, se calcula con el siguiente modelo:
(23)Donde: Tx = Temperatura faltante de la estación “x” para el periodo de tiempo por completar, n = Número de estaciones con datos cercanos a la estación de estudio “x”, N1,…, Nn = Temperatura normal media anual de las estaciones índices (1 a n), Tx = Temperatura normal media anual de la estación “x”, P1,…, Pn = Temperatura de las estaciones índice (1 a n) durante el mismo periodo de tiempo por completar del dato faltante.
La tabla 10 presenta el cálculo de la temperatura media del año 2019 en la estación Hueyotlipan para ejemplificar el desarrollo.


El análisis de la consistencia de datos por el método de la curva de doble masa se ejemplifica en la tabla 11.

Temperatura media
El análisis se realizó mediante el método de isotermas siguiente:
(24)Donde
= Temperatura media en la subcuenca (ºC), Ac = Área de subcuenca (km2), ti = Temperatura promedio entre las dos isotermas adyacentes al análisis (ºC), Ai = Área comprendida entre dos isotermas consecutivas (km2), n = Número de tramos entre isotermas.
A partir de la información completa se trazó el mapa de isotermas a nivel anual para el periodo de estudio (1992-2020) con el método de interpolación Kriging y los softwares Surfer y ArcView.
Sustituyendo los valores de la tabla 11 en el modelo 24 se tiene:

Evapotranspiración
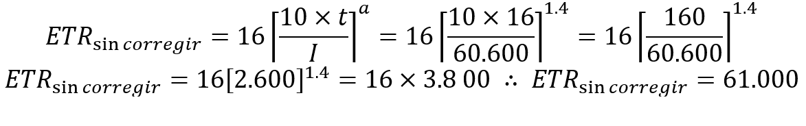
En el estudio se aplicó el modelo de Thornthwaite que es la relación empírica entre la ETP y la temperatura del aire:
(25)Donde: ETPsin corregir = Evapotranspiración potencial mensual sin corregir (mm), t = Temperatura media mensual (ºC), a = Exponente empírico, I = Índice de calor anual, es la suma de 12 índices mensuales i, i = Índice mensual, ETP = Evapotranspiración potencial mensual corregida (mm), ETPsin corregir = Evapotranspiración potencial mensual sin corregir (mm), L = Factor de corrección.
Los resultados se presentan en la tabla 12:

Se ejemplifica el cálculo de ETP sin corregir durante el mes de agosto según el método de Thornthwaite, en la estación meteorológica de Tepetitla.
Datos: ETR sin corregir = ?, t = 16.0 °C, I = 60.6 °C, a = 1.4

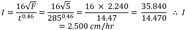
Otro modelo que se utilizó en el desarrollo es el método de Turc:
(26)Donde: ETR = Evapotranspiración real (mm), P = Precipitación (mm), L = Factor que varía con la temperatura media, t = Temperatura media (°C).
A continuación, se presenta como ejemplo el cálculo de L para la estación meteorológica de “Xocoyucan”. En consecuencia, se tiene lo siguiente:
Datos: L = ?, t = 15.0 °C

Aplicando el modelo de Turc para la estación de “Tepetitla” por ejemplo,
Datos: ETRTepetitla = ?, t = 14.1 °C, P = 1083.3 mm.

Caudal
Para determinar el gasto o caudal (cantidad de agua que lleva un río en un momento dado) que llega a un punto determinado, se aplicó el siguiente modelo:
(27)Donde: Q = Caudal (m3/s), I = Intensidad de la lluvia para una duración que es igual al tiempo de concentración (mm/hr), Ac = Área de la subcuenca (km2), C = Coeficiente de escurrimiento (adimensional), F = Frecuencia de la presentación de la lluvia de máxima intensidad (años), t = Tiempo de duración que es igual al tiempo de concentración “tc” (min).
Para calcular el valor de la intensidad de la lluvia es necesario conocer el tiempo de concentración (tc) mismo que ya fue calculado (4.75 hr, es decir, 285 min):

Convirtiendo tenemos:

El coeficiente de escurrimiento (0.55) y el área de a subcuenca (113.472 km2), calculados previamente, se sustituyen en la ecuación 27:

Para el cálculo del escurrimiento superficial se aplica el siguiente modelo:
(28)Donde: R = Escurrimiento superficial (mm), Q = Caudal (m3/s), Ac = Área de la subcuenca (km2).
Una vez que ya fueron determinados los valores tanto del caudal como del área de la subcuenca se sustituyen:

Balance hídrico
Para calcular el balance hídrico que es la distribución de los recursos a nivel global, el modelo que se aplica es el siguiente:
(29)Donde: R = Escurrimiento superficial para el periodo (mm), P = Precipitación media del periodo (mm), ETR = Evapotranspiración real del periodo (mm).
Sustituyendo:

En la tabla 13 se muestra un resumen de los resultados.

Resultados
Para el trabajo, la precipitación media de la subcuenca del río es de 867.4 mm, la cual se distribuye en forma irregular tanto espacial como temporalmente. A nivel temporal se distinguen dos épocas climáticas bien diferenciadas, la época seca que abarca los meses de noviembre a abril y la época de lluvias de mayo a octubre.
Los datos de precipitación a partir del mes de noviembre muestran que se inicia el periodo de la época seca. Además, por ser un mes de transición entre el periodo seco y lluvioso, se presentan precipitaciones del orden de 11.5 a 20.7 mm en la zona norte de la subcuenca del río Ajejela donde se localizan las estaciones meteorológicas: Españita, Hueyotlipan y Sanctórum. Las menores cantidades de lluvia de 12.2 a 14.0 mm se localizan en la zona sur que corresponde a las estaciones meteorológicas: Ixtacuixtla, Tepetitla y Xocoyucan. A medida que avanza la época seca, es decir, en los meses de diciembre, enero y febrero, las precipitaciones se presentan en forma más aislada y son casi mínimas, menores de 9.9 mm mensuales, excepto en la zona de la estación meteorológica de Españita donde se registran lluvias mayores de 10.4 a 12.8 mm (tabla 14).

Es en el mes de mayo donde se presentan algunas lluvias y que se extienden hasta el mes de octubre, se puede ver que la zona de mayor precipitación es la zona que corresponde a las poblaciones de Españita, Hueyotlipan y Sanctórum. Las zonas que registran menores rangos de precipitación se encuentran en la parte baja de la región hidrográfica localizada en las poblaciones de Xocoyucan, Ixtacuixtla y Tepetitla.
Los meses más lluviosos de la subcuenca del río, son junio, julio, agosto, septiembre y octubre, de los cuales agosto es el mes más lluvioso, estas precipitaciones oscilan entre los 138.6 y 199.3 mm en las zonas de mayor precipitación, y de 121.5 a 136.6 mm en las de menor precipitación. El promedio anual en la subcuenca del río registra lluvias superiores a los 719.7 mm que se localizan en la zona norte, y de 670.6 a 7730.8 mm en la zona sur.
Con base en el desarrollo y cálculo de la temperatura media, durante el mes de marzo se registran las mayores temperaturas, con valores que fluctúan entre 15.7 y 16.8 °C localizadas en la zona norte de la subcuenca del río Ajejela, donde se encuentran las estaciones meteorológicas: Españita, Hueyotlipan y Sanctórum. En la región sur, las estaciones meteorológicas Ixtacuixtla, Tepetitla y Xocoyucan, registraron valores que varían de 16.8 a 17.7 °C. Las temperaturas del mes más frío se presentan en enero cuando la temperatura media oscila entre los 11.1 a 12.0 °C en la zona norte y entre 11.1 a 11.7 en la región sur de la subcuenca del río (tabla 15).

Los resultados para la zona norte de la subcuenca, respecto a la evapotranspiración real, arroja un rango de 553.6 a 637.2 mm, el valor promedio de evapotranspiración real anual de la subcuenca del río, es de 583.1 mm.
El análisis del escurrimiento superficial de la zona de estudio da valores que fluctúan entre 111.8 a 168.6 mm localizados en las poblaciones de: Ixtacuixtla, Hueyotlipan, Sanctórum, Tepetitla y Xocyucan; mientras que en la zona norte donde se localiza la población de Españita, el escurrimiento superficial tiene un valor de 446.8 mm.
Se observa que al considerar el periodo de los años 1992-2020 el comportamiento de la subcuenca del río, presenta una precipitación media de 867.4 mm y una evapotranspiración real de 583.1 mm (tabla 16).

Conclusiones
Este trabajo cuanta con datos técnicos actualizados del balance hídrico de la subcuenca del río Ajejela, en el estado de Tlaxcala que permiten contribuir a la toma de decisiones en el área de prevención de riesgos hidrológicos.
Los resultados del análisis de precipitación indican que el mes más lluvioso es agosto, con valores que oscilan entre los 121.5 y 199.3 mm, y el periodo con menor lluvia corresponde a los meses de noviembre-abril, siendo febrero el mes más seco de la época con precipitaciones que varían de 3.2 a 10.4 mm.
La región norte de la subcuenca del río (comprende las poblaciones de Españita, Hueyotlipan y Sanctórum), presenta valores altos de precipitación media anual entre los 719.7 y 1083.3 mm, así como, valores bajos de temperatura media anual entre los 3.4 a 14.1 °C y valores altos en la evapotranspiración real media anual entre los 553.6 y 637.2 mm.
Para la zona sur de la subcuenca del río Ajejela (abarca las poblaciones de Ixtacuixtla, Tepetitla y Xocoyucan) los valores más bajos de precipitación media anual oscilan entre los 670.6 a 730.8 mm, así como de evapotranspiración real media anual que fluctúan entre los 519.2 y 562.2 mm, los valores más altos de temperatura media anual oscilan entre 14.5 y 15.0 °C.
El comportamiento del régimen térmico en la subcuenca analizada es variable en su distribución espacial y temporal, se registran en el mes de marzo las mayores temperaturas medias anuales, las cuales, oscilan entre 15.7 y 17.7 °C, en tanto que las menores temperaturas ocurren en el mes de enero con valores de 11.1 a 12.0 °C.
Considerando los resultados obtenidos en este trabajo, se debe tomar en cuenta que durante la época de lluvias (mayo a octubre), las poblaciones de Españita, Sanctórum y Hueyotlipan, que se localizan en las partes más altas de la subcuenca del río Ajejela, donde la precipitación es elevada, debe existir por lo menos, una vez al año el desazolve del caudal del río para evitar taponamientos de basura, lo cuál sería un gran riesgo para la población, ya que provocaría un desbordamiento y por tanto inundaciones.
El riesgo más importante se presenta en el periodo lluvioso durante los meses de junio-octubre para las poblaciones de Españita, Ixtacuixtla de Mariano Matamoros y Hueyotlipan. Si estos resultados se aplican al desarrollo de la agricultura de temporal, se pueden implementar técnicas de rotación de cultivos, para que de esta manera exista un mejor aprovechamiento del recurso hídrico y la protección de las características del suelo.
Bibliografía
[1] Bai, P., Liu, X., Liang, K., y Liu, C., (2015), Comparison of performance of twelve monthly water balance models in different climatic catchments of China. Journal of hydrology, 529, 1030-1040.
[2] Dile, Y. T., R. Srinivasan, (2014), Evaluation of CFSR climate data for hydrologic prediction in data scarce watersheds: an application in the Blue. Journal of the American Water Resources Association, 50(5), 1226-1241.
[3] Gassman, P. W., Sadeghi, A. M., y Srinivasan, R., (2014), Applications of the SWAT model special section: overview and insights. Journal of Environmental Quality, 43(1), 1-8.
[4] Herrera, S., Gutiérrez, J. M., Ancell, R., Pons, M. R., Frías, M. D., y Fernández, J., (2012), Development and analysis of a 50‐year high‐resolution daily gridded precipitation dataset over Spain (Spain02). International Journal of Climatology, 32(1), 74-85.
[5] Jung, M., Kim, H., Mallari, K. J. B., Pak, G., y Yoon, J., (2015), Analysis of effects of climate change on runoff in an urban drainage system: a case study from Seoul, Korea. Water Science and Technology, 71(5), 653-660.
[6] Narsimlu, B., Gosain, A. K., y Chahar, B. R., (2013), Assessment of future climate change impacts on water resources of upper sind river basin, India using SWAT model. Water resources management, 27(10), 3647-3662.
[7] Ramos Aguilar, R., Máximo Romero, P., Galindo López, V., Ávila Cruz, M., Yáñez Pérez, G., Márquez Máximo, R., & Covarrubias Salvatori, V. (2021). Análisis técnico geoestadístico de los ríos Atoyac y Alseseca que atraviesan la ciudad de Puebla, México. Contactos, Revista de Educación en Ciencias e Ingeniería, (119), 5-22.
[8] Ramos, R., Máximo, P., Soto, S., Alcántara, S. y Pérez, J., (2013), Analysis of the Meteorological Variables for Puebla City 2011-2012 Applying the Modeling Ion Wavelets in a Hypothetical Manner, Journal Atmospheric and Climate Sciences, China, vol. (3) pp. 450-458.
[9] Ramos Pérez, O., (2013), Tesis Balance hídrico de la subcuenca del río Ajejela, en el estado de Tlaxcala.
[10] Rawat, K. S., y Mishra, A. K. E., (2016), Evaluation of relief aspects morphometric parameters derived from different sources of DEMs and its effects over time of concentration of runoff (TC). Earth Science Informatics, 9(4), 409-424.
[11] Tuo, Y., Duan, Z., Disse, M., y Chiogna, G., (2016), Evaluation of precipitation input for SWAT modeling in Alpine catchment: A case study in the Adige River basin (Italy). Science of The Total Environment, 573, 66-82.
[12] Xu, C. Y., y Singh, V. P. (2014), Using the Climate Forecast System Reanalysis as weather input data for watershed models. Hydrological Processes, 28(22), 5613-5623.
Notas de autor
* Autor de correspondencia: rogelio.ramos@correo.buap.mx