Artículos
Optimización del aprovechamiento de perfiles de acero en procesos de producción
Optimization of the use of steel profiles in production processes
Optimización del aprovechamiento de perfiles de acero en procesos de producción
Conciencia Tecnológica, núm. 63, 2022
Instituto Tecnológico de Aguascalientes
Recepción: 31 Marzo 2022
Aprobación: 15 Junio 2022
Resumen: El aprovechamiento de acero dentro de la industria metalmecánica se puede abordar como un problema de optimización. En particular, se tiene un fabricante carrocero de autobuses para el cual se propone un algoritmo de generación de columnas, y el diseño y adecuación mecánica de su herramienta de corte, con el objetivo de reducir la merma en el uso de perfiles de acero. La metodología utilizada consiste en comparar el costo de la merma de un lote de producción representativo en dos escenarios. El primero de ellos basada en las condiciones actuales de trabajo, y el segundo considerando que se realizan los cortes según la propuesta de mejora y la adaptación mecánica de una sierra circular. Los resultados fueron favorables, el porcentaje de merma del proceso actual es de 9.23%, mientras que el porcentaje pronosticado con la propuesta hecha se reduce a 4.84%. En conclusión, aplicar la propuesta de mejora lograría reducir el desperdicio de acero un 4.384%, lo que impactaría positivamente el rendimiento de la empresa estudiada, lo que podría utilizar como ventaja competitiva.
Palabras clave: Patrones de corte, optimización, generación de columnas, industria metalmecánica.
Abstract: Improving the use of steel within the metallurgical industry can be approached as an optimization problem. In particular, the case of a body bus manufacturer is studied. A column generation algorithm, a design, and a mechanical adaptation of a cutting tool are proposed to reduce the waste of steel profiles. The methodology used compares the scrap cost of a representative production batch in two scenarios. The first is based on the current working conditions, and the second is considering that the cuts are made according to the improvement proposal and the mechanical adaptation of a circular saw. The results were favorable; the current scrap percentage is 9.23%, while the percentage predicted with the proposal made is reduced to 4.84%. In conclusion, applying the improvement proposal would reduce steel waste by 4,384%, which would positively impact the performance of the studied company and could be used as a competitive advantage.
Keywords: Cutting patterns, optimization, column generation, metalworking industry.
Introducción
Actualmente con los mercados globalizados han surgido necesidades de mejora dentro del sector metal mecánico, lo que ha llevado a buscar medidas innovadoras con el fin de ser altamente competitivos, especialmente en el aspecto económico dentro del sector metal mecánico carrocero [1]. Motivado por lo anterior, se busca el mejor aprovechamiento del acero de una empresa carrocera. Se observa la necesidad de optimizar la gestión y uso de recursos, de esta manera, se espera ser más competitivos en el mercado carrocero, para lograr esto es importante mantener sistemas de mejora continua para el aprovechamiento de materia prima.
Dentro de la industria carrocera se utilizan diversos tipos de acero como son: Acero estructural ASTM-A513 negro o galvanizado, acero para uso mecánico ASTM-A500 negro o galvanizado, entre otros. En este trabajo se abordará el aprovechamiento de perfiles de acero galvanizado de alta resistencia ASTM-A500.
La intervención se realiza en una empresa carrocera, la cual realiza su proceso de corte mediante el uso de una sierra de disco semiautomática, el diseño de los patrones de corte de los perfiles se lleva a cabo de forma empírica por el personal operativo. Cabe destacar que se trata de una producción en serie, por lo que se tiene un gran número de pieza [2]. En este caso, eso se refleja en una gran cantidad de largos de piezas a cortar por perfil, por lo que dependiendo del tipo de acomodo de partes a cortar en cada perfil se logran mayores o menores porcentajes de optimización. Se encontró que en la empresa estudiada no se tiene implementado un procedimiento estandarizado, que gestione el proceso de corte de manera que se maximice el aprovechamiento del perfil de acero y se reduzca la merma. Por lo anterior, se propone un algoritmo implementado en el lenguaje de programación Python, el cual a través de la generación de columnas minimiza el empleo de perfiles de acero. Lo anterior se consigue, mediante el diseño adecuado de patrones de corte y la generación de órdenes de trabajo. Posteriormente, se genera el diseño de los elementos mecánicos de una sierra circular para flexibilizar su operación, de manera que se puedan ejecutar los patrones de corte adecuadamente en tiempos de corte similares a los actuales.
En general, se trata de abordar un problema de optimización que responde a las preguntas:
¿Qué patrones de corte son los mejores? Es decir, que generan la menor cantidad de merma por lote de producción.
¿Cuántos patrones se deben cortar de cada perfil de modo que se logre satisfacer la demanda piezas deseadas?
La optimización puede definirse como la mejor elección en un conjunto de elementos disponibles, en matemáticas se puede expresar como el maximizar o minimizar una función objetivo dado una serie de valores iniciales y/o restricciones [3]. En este caso, el objetivo general es realizar una propuesta que reduzca la merma de perfiles de acero ASTM-A500 en el proceso de corte en serie para una industrial metal mecánica. Como objetivos específicos, se busca: diseñar e implementar un algoritmo de optimización, diseñar y adaptar los elementos mecánicos de una cierra circular, y documentar el nuevo proceso de manufactura
Fundamentos teóricos
La investigación de operaciones (IO) es una rama de la ingeniería industrial que tiene sus inicios en la década de los 50’s y sus orígenes desde la Segunda Guerra Mundial; surgió por la necesidad de mejorar la administración de recursos limitados con el fin de ser más eficiente [3]. Con el paso del tiempo se dio un impulso en esta disciplina debido a la evolución de las computadoras y la creciente necesidad de resolver una gran cantidad de operaciones matemáticas planteadas en los modelos de investigación de operaciones. Un modelo matemático intenta ser una representación abstracta de un sistema real [4]. En otras palabras, un modelo matemático es la descripción de un sistema en notación matemática. La investigación de operaciones tiene las siguientes herramientas de solución matemática: programación lineal, teoría de colas, programación dinámica, teoría de inventarios, etcétera [3].
La programación lineal es una estrategia de optimización basada en el uso de modelos lineales, el método simplex se utiliza recurrentemente para dar soluciones a estos modelos, y en ocasiones la aplicación del método de generación de columnas.
En un proceso productivo, la IO consiste en la aplicación del método científico para la solución de problemas relacionados con la administración de recursos. La metodología de solución inicia con la observación cuidadosa identificando las variables más significativas, después sigue la formulación del problema lo cual conlleva a una recolección de datos. Cada elemento tiene asociadas restricciones que deben satisfacerse y al mismo tiempo la solución debe cumplir el objetivo planteado, esta solución es llamada mejor solución o solución óptima.
El método simplex es un método analítico para la solución de programación lineal (PL), desarrollado en los años 50’s por George Dantzig, consta de una rutina para la solución de ecuaciones lineales (B. Dantzing & N. Thapa, 1997). Es un método algebraico con bases en la geometría, que busca un máximo o mínimo de una función lineal [6], esto se lleva a cabo mediante un proceso iterativo. La cantidad de iteraciones necesarias para solucionar un modelo de PL dependerá de la complejidad del área factible, asociada a la función objetivo, cantidad de restricciones y cantidad de variables de decisión.
Dentro de la investigación de operaciones a menudo se busca optimizar de forma matemática una función objetivo considerando las restricciones a las que está sometida. Esto lleva a utilizar la programación lineal, para llegar a una solución se necesita ejecutar una gran cantidad de iteraciones las cuales, si son resueltas de forma manual podrían generar errores en los cálculos y tomarían demasiado tiempo. Derivado de lo anterior, actualmente se cuenta con una gran cantidad de softwares los cuales permiten dar solución a los problemas de programación lineal, algunos ejemplos son: Matlab, Python, Excel, y Lindo.
El diseño se define como el análisis de un problema particular para darle una solución, conlleva satisfacer las necesidades planteadas en una solución, y si dentro de este planteamiento se considera la creación de algo físico, como un dispositivo, una pieza mecánica o mecanismo, este deberá ser desarrollado con un proceso secuencial en el cual las ideas se presentan y se revisan [7].
Dentro del diseño mecánico se analizan esfuerzos con el fin de garantizar el correcto funcionamiento. Pero ¿qué es el esfuerzo?, el esfuerzo se define como una propiedad de estado en un punto específico de un cuerpo, el esfuerzo es la oposición o resistencia que ejerce un cuerpo al ser aplicada una fuerza en determinada área. Los esfuerzos pueden ser: axiales, torsionales, cortantes y combinados [8].
Para llevar a cabo el diseño mecánico, actualmente el diseñador tiene disponible una gran cantidad de herramientas computacionales o softwares los cuales facilitan el proceso iterativo de propuestas y evaluaciones. Los softwares de diseño asistidos por computadora CAD (por sus siglas en inglés Computer Aided Design) y de ingeniería asistida por computadora CAE (por sus siglas en inglés Computer Aided Engineering), son herramientas útiles porque pueden desarrollar ideas y diseños de una manera eficiente sin tener físicamente las piezas [8].
El uso de software CAD facilita el desarrollo y conceptualización de diseños ya sea en 2D o 3D, esto ayuda en el proceso iterativo de propuestas de diseño y mejora. Los softwares de ingeniería CAE, estudian y evalúan los modelos de forma precisa mediante métodos matemáticos como es el cálculo del elemento finito, este tipo de softwares facilitan la estimación de valores como el peso, centro de gravedad, áreas, puntos críticos, esfuerzo, efectos mecánicos, etc. Las capacidades de poder desarrollar estas funciones de forma más precisa, dependerán de las capacidades con la que cuente el software a utilizar. Ejemplos de softwares son: AutoCAD, e Inventor, desarrollados por Autodesk, DraftSight, y SolidWorks, desarrollados por Dassault Systèmes, estos utilizan el diseño en 2D y 3D además de contar con herramientas de análisis de esfuerzo, también se tienen softwares CAE, como lo es ANSYS (Swanson Analysis Systems, Inc) [9].
Materiales y métodos
La implementación de un sistema para el proceso de corte en perfiles de acero galvanizado, que incluye el desarrollo de un algoritmo para calcular los patrones de corte y la adaptación mecánica de una sierra, reducirán el porcentaje de merma generada con respecto a la condición actual.
Matemáticamente, se tiene una función de costo 𝐶 que depende de la cantidad de materia prima utilizada 𝑟, y de las veces 𝑠 que se cambia la configuración del herramental de corte. Sea C(𝑟𝐴,𝑠𝐴) el costo del proceso de corte actual, y C(𝑟𝐸,𝑠𝐸) el costo estimado de la propuesta para la realización de dicha actividad, se espera que:
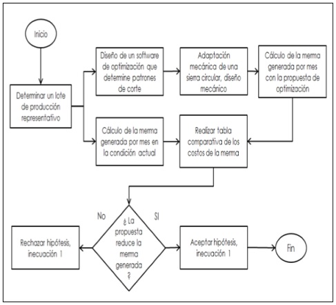
(1) El método utilizado en el presente trabajo está resumido en el flujograma de la Figura 1. Como puede observarse, el primer paso consiste en determinar un lote de producción representativo de la merma generada por la empresa. Posteriormente, se derivan dos líneas de flujo donde se cuantifica monetariamente la merma, sin embargo, en el primer escenario el cálculo se realiza considerando las condiciones actuales de cómo está trabajando la empresa, en el segundo escenario, el cálculo considera la propuesta de emplear un programa computacional de optimización de la materia prima y la adaptación mecánica de la sierra circular.

Los datos del primer cálculo se obtienen de los históricos del desperdicio generado por la empresa en un mes de producción, para el segundo caso, el software determina un patrón de corte tomando en cuenta la cantidad de materia prima utilizada y la configuración del herramental. Con los datos de los costos en ambos casos, se realiza una tabla comparativa que permite comprobar o rechazar la hipótesis (Inecuación 1).
Para el desarrollo del software de optimización, se propone el empleo de un software que gestione el uso de materiales como un mecanismo de optimización. Para lo cual, se definen como punto de partida las funciones que el software debe cumplir.
El programa debe ser capaz de recibir información, procesarla y devolver un patrón de corte. La Figura 2 muestra en forma detalla las funciones del software propuesto.

En este caso, para el desarrollo del algoritmo se debe conceptualizar que, al hablar de una optimización de recursos, se deben emplear métodos matemáticos. En la Figura 3 se muestra el flujograma que desglosa cómo se desarrolló el algoritmo, es decir los pasos implementados en Python.

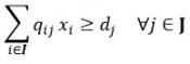
En el modelo matemático en el que se minimiza la cantidad de perfiles utilizados, se determinan dos conjuntos los cuales son: el conjunto de patrones a cortar y el conjunto de partes a satisfacer. Estos conjuntos serán identificados en el algoritmo con I y J, y los elementos que integrarán a estos conjuntos serán identificados con i y j, siendo J el conjunto de Partes, e I el conjunto de Patrones. Los parámetros se obtienen de un formato interno de la empresa: “Orden de fabricación". La información que se toma del formato es: Cantidades de partes a surtir, longitudes de partes a cortar, códigos de partes a fabricar, materia prima de la cual son cortadas las partes. En función de la identificación de partes se determinan los parámetros para desarrollar el modelo los cuales son descritos con la siguiente notación:

Se identifica como variable de decisión a 𝑥𝑖, la cual contesta la pregunta: ¿Cuántas veces se debe ejecutar el patrón de corte 𝑖 ∈ 𝐈? Por lo que la variable se define como:

En la función objetivo se busca minimizar la merma total, que equivale a minimizar la cantidad de patrones realizados:
(2)Las restricciones a considerar es satisfacer la demanda requerida para cada parte (3) y la no negatividad de las variables de decisión (4).
(3)
(4)Con el fin de no afectar los tiempos de proceso, se consideró la adaptación mecánica de una sierra circular en la operación de corte, sin afectar la seguridad y la calidad del producto. En específico, las necesidades de la empresa están listadas en la Tabla 1 dentro de la primera y segunda columna. En la tercera columna, se describe la función que debe ejecutar la propuesta, por ejemplo, una necesidad del cliente en materia de seguridad es que la máquina modificada no debe contener puntos de atrapamiento, para lo cual, se propone un tope positivo que pueda moverse de forma automática evitando pérdidas de tiempo en el acomodo manual del material a procesar.

Derivado de las funciones de la Tabla 1, se propone el diseño de concepto mostrado en la Figura 4.
En la propuesta se observa una mesa de trabajo que soporta los perfiles de acero ASTM-A500, además de una sierra circular para el corte, el ajuste de las longitudes de corte se realiza por medio de un tope positivo el cual se mueve de forma horizontal a lo largo de la mesa mencionada. Para el movimiento del tope, se emplea una tuerca embalada con un tornillo sinfín sujeto por chumaceras y es impulsado por medio de un motor eléctrico con transmisión. Adicional a lo anterior, se emplea un juego de dos reglas y dos patines mecánicos.

El diseño de concepto mostrado en el apartado anterior implica el diseño mecánico de tres componentes: un tope positivo, bases para las chumaceras, una base general que soporta todo el ensamble y la selección de un tornillo sinfín. Para determinar las especificaciones técnicas de los componentes mencionados, se realiza un análisis de los esfuerzos y las deformaciones por medio del software ANSYS.
El procedimiento de diseño es el siguiente:
a) Se proponen tres opciones CAD de cada componente: tope positivo, base de las chumaceras, base general y tornillo sinfín. Se modifican las dimensiones del espesor para el tope positivo y las bases, el tipo de material es el mismo. Para el caso del tornillo sinfín se modifica el diámetro (ver Tabla 2).
b) TABLA 2.

Se realiza la simulación CAE. Para cada propuesta se desarrollan los diagramas de cuerpo libre, se determinan las cargas, se colocan las restricciones, se generan las gráficas de esfuerzo donde se emplea el criterio de falla de Von Mises, se generan las gráficas de deformación y las gráficas de factor de seguridad.
c) Para cada componente, se realiza un comparativo de los resultados CAE. Se evalúan las propuestas para determinar las más viables tomando como referencia los requerimientos del cliente.
Con la evaluación y selección de las propuestas más viables, se generan los diseños mecánicos desde el CAD del software Solid Works. En la Figura 5 se muestran el diseño mecánico final.

Resultados y discusión
En la corrida del lote representativo los resultados del porcentaje en la merma del proceso normal son de 9.23% (según datos históricos), esto significa que por cada 100 dólares se están desperdiciando 9.23 dólares. Por otro lado, el porcentaje pronosticado de merma con la propuesta de optimización es de 4.84% (determinada por los resultados del software) por lo que la reducción de merma es del 4.38%.
La propuesta de optimización pronostica una reducción en la merma generada. Respecto al tiempo de mano de obra, el operador debe realizar preparaciones y ajustes que van de acuerdo con el número de parte que se está produciendo. Con la implementación de la propuesta en el lote representativo, el tiempo de preparación se ve beneficiado porque se reduce en 59 segundos, por el contrario, la cantidad de ajustes se incrementa en 519 veces lo que al final se traduce en un incremento del 3.1% el tiempo de mano de obra empleada. Este incremento representa un costo adicional que la empresa tendría que realizar, ver Tabla 3.

Conclusiones
Tomando de referencia los resultados descritos previamente, parece observarse que la implementación de un sistema para el proceso de corte en perfiles de acero galvanizado que incluye el desarrollo de un algoritmo para calcular los patrones de corte y la adaptación mecánica de una sierra, reducirá el porcentaje de merma generada con respecto a la condición actual. Matemáticamente esto se observa puesto que:

El modelo matemático lineal obtenido permite planificar los cortes de acero, con lo que se obtendría una merma general de un 4.846%, lo cual es una mejora en un 4.384% en comparación con la merma actual que es del 9.23%.
La aplicación de este software de optimización lograría teóricamente, mejorar el rendimiento de acero en un 4.384% en comparación con el método actual.
La aplicación de herramientas matemáticas de optimización permite reducir costos y generar ahorros en la industria debido a que se reduce el desperdicio de acero con el uso de un sistema mecánico para agilizar el proceso y un software de optimización el cual permite planificar la forma de corte. La evaluación del diseño mecánico, con el uso de los software Solid Works y ANSYS permitieron diseñar y mejorar de forma constante las propuestas, sin necesidad de hacer pruebas físicas a los elementos que componen el mecanismo. El software CAE permitió identificar las secciones de las piezas mecánicas donde son más propensas a fallar, con el fin de modificar la característica en esta sección para evitar posibles fallas, como lo es una ruptura, deformaciones elásticas más allá de lo permitido o deformaciones plásticas.
Referencias
[1] H. Petri y G. Xiong, «Challenges to the supply chain in the steel industry,» International Jouner Logistics Economics and Globalisation, vol. 1, nº 2, pp. 160-175, 2008.
[2] W. K. Hodson, Manual del ingeniero industrial, Pensilvania: Mc Graw Hill, 1996.
[3] Lieberman, Introducción a la IO, McGraw Hill, 1967.
[4] H. A. Taha, Investigación de Operaciones, México: Person, 2004.
[5] G. B. Dantzing y M. N. Thapa, Linear Programming, Springer, 1997.
[6] H. Singh Kasana y K. Dev Kumar, Introductory Operations, New York: Springer, 2004.
[7] D. P. Norton, Diseño de maquinas, Mcgraw Hill, 2013.
[8] R. G. Budynas, Diseño en ingeniería mecánica de Shigley, McGraw-Hill, 2012.
[9] W. Younis, Up and running with autodesk inventor simulation 2011, Butterworth-Heinemann, 2010.
Notas de autor