Artículos
Características y Propiedades de los Orbitales Atómicos y Moleculares
Characteristics and Properties of Atomic and Molecular Orbitals
Características y Propiedades de los Orbitales Atómicos y Moleculares
Conciencia Tecnológica, núm. 64, 2022
Instituto Tecnológico de Aguascalientes
Recepción: Octubre 03, 2022
Aprobación: Diciembre 09, 2022
Resumen: Con el fin de interpretar ciertas propiedades orgánicas e inorgánicas, se presentan aquí modelos cualitativos que se basan en leyes y reglas de la mecánica cuántica, como las propiedades de orbitales atómicos y su uso en la formación de orbitales moleculares. Se debe considerar que el desarrollo de las químicas inorgánica y orgánica, así como la bioquímica, consiste en observaciones y medidas, tal como la identidad de productos provenientes de reacciones, estructura de las moléculas, propiedades termodinámicas, revelaciones espectroscópicas y mediciones de velocidades de reacción.
Palabras clave: Orbitales atómicos y moleculares, orbital híbrido, orbitales enlazantes y anti-enlazantes.
Abstract: For the interpretation of some inorganic and organic properties, qualitative model based in quantum mechanics are presented, such as the properties of atomic orbitals and their use to form molecular orbitals. It should be regarded that all developments in inorganic chemistry like in organic chemistry and biochemistry consist of observations and measurements, such as the identities of products from reactions, molecular structures, thermodynamic properties, spectroscopic revelations, and measurements of reactions rates.
Keywords: Atomic and molecular orbitals, hybrid orbital, bonded and anti-bonded orbitals.
Introducción
La materia se compone fundamentalmente de átomos que no son indivisos ya que lo conforman protones, neutrones y electrones. Inclusive los protones y neutrones, que unidos constituyen el núcleo del átomo, se construyen a su vez de partículas elementales llamadas quarks[1].
Alrededor del núcleo hay un enjambre de electrones que se mueven a altas velocidades, sobre todo si se trata de átomos de un elemento de tamaño medio o de un elemento pesado. Debido a su carga negativa, los electrones se repelen y no llegan a chocar entre ellos, aunque pueden interaccionar si existen las condiciones adecuadas.
De manera sorpresiva, los electrones se ubican alrededor del núcleo de manera ordenada y sistemática en capas, subcapas y orbitales. Las capas que se definen como K, L, M, N, etc., pueden contener solo 2, 8, 18 o 32 electrones y a su vez las subcapas; s, p, d y f pueden albergar un máximo de 2, 6, 10 y 14 electrones, las subcapas se acomodan de acuerdo con la energía que poseen sus electrones [2].
Se nota que las capas y subcapas electrónicas se forman con electrones dispuestos en cantidades par, regla singular que también aplica para los orbitales atómicos, pero con más exactitud, un orbital solo puede contener uno o dos electrones y por esta razón, los orbitales en cada subcapa pueden ser solo la mitad respecto al número de electrones.
Un orbital electrónico, que puede ser atómico o molecular, es una región espacial bien definida por reglas y estadística cuántica donde hay la mayor probabilidad de que un electrón se localice o que los dos electrones del orbital se manifiesten.
Orbitales atómicos
Los electrones en el átomo giran sobre su propio eje en dos únicas direcciones, hacia la derecha o hacia la izquierda de su eje de rotación debido a que de manera natural todos los electrones mantienen sus ejes de rotación paralelos imposibilitando cualquier otra dirección de rotación.
La rotación del electrón genera un pequeño campo magnético que puede ser positivo o negativo dependiendo de la dirección en que gira. De tal manera que, si colocamos varios átomos de un algún elemento entre los polos de un imán potente, varios átomos se desviarán hacia uno de los polos del imán y otro grupo de átomos se desviarán hacia el polo contrario. El sentido de tal desviación depende de la carga magnética que impera en la nube de electrones que cubren el núcleo de cada átomo.
El apareamiento de los electrones, fenómeno ya señalado en la introducción, es el resultado de una leve atracción magnética que hace posible una cercanía tolerada entre electrones ya que la fuerza electrostática de repulsión es más fuerte que la fuerza de atracción magnética.
Con el aumento de nucleones (protones y neutrones) en los átomos, el aumento de tamaño del núcleo es mayor en proporción al aumento de tamaño del mismo átomo en cuestión. A los electrones les acomoda mejor estar cerca del núcleo, aunque vaya en detrimento de la energía que poseen ya que les gusta más permanecer escondidos o protegidos en las capas internas del átomo. En las capas alejadas, los electrones mantienen la mayor energía y por lo tanto una mayor velocidad y eso los vuelve más inquietos, más dispuestos a entrar en acción.
La velocidad de un electrón girando alrededor del núcleo atómico es cercana a la velocidad de la luz. Si las capas electrónicas están más cercanas al núcleo, la velocidad es un poco menor debido a la atracción fuerte del núcleo lo que se nota más en los átomos pesados, aquellos que tienen un gran número de nucleones.
Al considerar lo anterior, cuando un electrón salta de una capa electrónica a otra mayor por la captación de un cuanto de energía proporcionada por un fotón, su velocidad aumenta lo mismo que su energía y puede salir disparado fuera del átomo si la nueva posición se encuentra en la última o vecina a la última capa electrónica, y el fotón que actuó como proyectil es rechazado con energía menor y frecuencia diferente. De lo anterior, cabe señalar que los fotones pueden proporcionar una energía diferente que depende de su frecuencia, lo que indica que se requiere de la interacción de un fotón con energía suficiente para provocar ciertos fenómenos físicos en los átomos según el Efecto Compton.
Aunque esta manera de absorber energía por un electrón no es la única y además la cantidad de energía requerida depende del átomo en cuestión, es decir depende de su estabilidad. Si el electrón abandona el átomo, el resultado es la ionización del átomo[3].
La subcapa s, que es la inicial de cada capa electrónica, encapsula dos electrones y presenta un orbital. La forma de este orbital es esférica y de cierto tamaño siendo el espacio probable alrededor del núcleo atómico (Figura 1).
Los tres orbitales de la subcapa p, son pares de lóbulos dispuestos en forma de mancuernilla de gimnasio y direccionados sobre los ejes imaginarios x, y y z, tal como se muestran también en la Figura 1.

Respecto a los orbitales d, hay cinco diferentes. Los primeros tres son clasificados así: 3dxy, 3dxz y 3dyz, y están representados por cuatro lóbulos o dos mancuernillas colocadas perpendicularmente entre los ejes imaginarios x-y, x-z y y-z, respectivamente.
Un cuarto orbital, 3dx2-y2, también está formado por un par de mancuernillas situadas, una a lo largo del eje x y la otra perpendicular a lo largo del eje y. Este orbital se muestra en la Figura 2, donde el eje de las z es perpendicular al plano de la página.

Un quinto orbital definido como 3dz2, formado por dos lóbulos o una mancuernilla situada a lo largo del eje z y una dona situada en el plano x-y. Este orbital está representado en la Figura 3 donde el centro de la mancuernilla es el nodo y alrededor de este nodo se localiza la dona [4].

Como era de esperarse, los orbitales atómicos correspondientes a las subcapas 4d y 5d son más complicados ya que presentan ese nodo radial y dos nodos radiales adicionales lo que da como resultado lóbulos adicionales en cada plano.
Los orbitales 4f presentan cuatro patrones nodales que se despliegan en siete maneras diferentes. Los primeros dos orbitales que corresponden al primer patrón están conformados por seis lóbulos situados en el plano x-y y su diferencia radica en que están girados en 30º para que una mancuernilla que estaba posicionado a lo largo del eje x o del eje y se mueva y se posicione entre esos mismos ejes.
El segundo patrón nodal se conforma por dos orbitales con ocho lóbulos, posicionados estos entre los tres ejes imaginarios, cuatro lóbulos dirigidos hacia arriba y los otros cuatro dirigidos hacia abajo.
El tercer patrón tiene también dos orbitales diferentes que son muy similares al orbital 3dz2 solo que estos están partidos a la mitad y las mitades resultantes se encuentran un poco separadas, uno de ellos está partido a lo largo del eje y, el otro orbital se encuentra partido a lo largo del eje x. El último patrón ofrece o ilustra un orbital similar al 3dz2 en el cual en vez de una sola dona en el plano x-y tiene dos donas o roscas, encima o debajo del plano señalado y este orbital pudiera ser definido como 4fz2[5].
Cada orbital puede albergar un máximo de dos electrones girando en dirección opuesta de acuerdo con el Principio de Exclusión de Pauli.

En todo momento cada electrón estará de manera solitaria en un lóbulo o dentro del espacio de una dona, ya sean dos, cuatro u ocho lóbulos formando ese orbital, a pesar de la atracción débil de sus campos magnéticos de signo contrario, ya que es más fuerte la repulsión natural entre electrones.
Por otro lado, puede estar presente un solo electrón en un orbital semilleno, y en este caso hay un espacio disponible que puede albergar un electrón solitario del orbital de otro átomo para formar un enlace molecular. Los electrones no cruzan de un lóbulo a otro pasando por el nodo, que es el núcleo del átomo, eso no es posible. La forma de los orbitales solo son regiones de alta probabilidad donde pueden localizarse los electrones alrededor del núcleo. De aquí que existe la misma probabilidad y de manera excluyente que un electrón se encuentre en cualquier lóbulo de un orbital.
Como una simple similitud se puede argumentar lo siguiente: un pájaro parado en una rama de un frondoso árbol solo puede pasarse a una rama opuesta volando alrededor del tronco.
Orbitales moleculares
Las moléculas se forman debido a diferentes enlaces entre átomos y es el enlace más sencillo aquel formado por el intercambio de dos electrones ya sea que los comparta uno de los átomos o en el mejor de los casos un electrón de cada átomo. El enlace covalente es aquel donde dos átomos comparten un par de electrones y es lógico suponer que la cercanía de estos electrones implica que están girando en sentido contrario, sus spines son contrarios y se encuentran apareados en un orbital molecular que efectivamente lo comparten dos átomos que pueden ser o no del mismo elemento.
La fusión de dos orbitales atómicos en un orbital molecular forma un enlace covalente. La interacción de un orbital s con un orbital p puede dar el mismo tipo de orbital molecular sigma (σ). Como ejemplo se representa la formación del orbital molecular del hidrógeno, dos orbitales separados s y su traslape a un orbital σ mejor representado en la Figura 5.

La interacción de un orbital s con un orbital p puede dar el mismo tipo de orbital molecular σ. Esto se nota en la Figura 6.

En estos dos casos presentados, el acercamiento de los orbitales atómicos, la unión (o solapamiento) es frontal debido a que los orbitales atómicos se alinean sobre el eje imaginario x y se traslapan fácilmente, de tal manera que los dos electrones que se combinan si pueden convivir en el nuevo espacio formado por el enlace molecular ya que cada electrón sigue sujeto al núcleo del átomo al cual pertenecen.
El traslape de dos orbitales p (Figura 7) también forman un orbital σ con la condición de que los orbitales también estén alineados en la misma dirección, es decir que sean orbitales atómicos px.

Cuando se unen dos orbitales p de átomos diferentes por solapamiento lateral se forma un orbital molecular o enlace π (pi). Y solo se pueden traslapar orbitales p cuando ambos son del tipo py o los dos son orbitales pz. Uno de estos orbitales de muestra en la Figura 8.

Si en la molécula están presentes estos dos enlaces moleculares π entre dos átomos vecinos (πpz y πpy), estos estarán dispuestos perpendicularmente.
Para los enlaces en diversas moléculas, según la Teoría de los orbitales moleculares, señala que todos los orbitales atómicos sean sustituidos por orbitales moleculares, de esta manera los orbitales presentados en las figuras anteriores se usan solo para el orbital más externo de los dos átomos que interaccionan y como se nota, es una representación un tanto simplificada.
Orbitales anti-enlazantes sigma y pi
Cuando dos átomos aportan un orbital completo cada uno y así lo mantienen, como en el caso más simple aquel que forma la molécula diatómica elemental del helio, se forma un orbital molecular anti-enlazante. En este caso, los orbitales se acercan sin traslaparse; es decir, se mantienen ¨unidos¨ aunque se encuentren a cierta distancia.
Las características más importantes de los orbitales moleculares anti-enlazantes son las siguientes:
i) Se forman por el traslape sustractivo de los orbitales atómicos al contrario de los orbitales enlazantes.
ii) Su formación toma lugar cuando los lóbulos de los orbitales atómicos tienen diferentes signos y se mantiene la repulsión entre estos.
iii) La energía resultante de los orbitales moleculares anti-enlazantes es más grande que los orbitales atómicos.
iv) La densidad electrónica es baja en la región entre el núcleo de los átomos enlazados o a veces es nula.
Resumiendo, se puede argumentar que un orbital molecular tipo σ es enlazante cuando se forma por la interferencia constructiva y el orbital molecular anti-enlazante a través de la interferencia destructiva. Esto se representa en la Figura 9.

Un orbital molecular tipo π entre dos orbitales atómicos p es anti-enlazante cuando se forma debido a la interferencia destructiva. Este tipo de orbital molecular se ilustra en la Figura 10 donde se nota la repulsión entre los lóbulos de polaridad contraria.

Orbitales híbridos s-p
Cuando analizamos la Tabla Periódica de los Elementos, nos intriga que la mayoría de los elementos tienen la posibilidad de presentar varios números de valencia o dicho de otra manera. pueden intercambiar diferente número de electrones con otros átomos en la formación de moléculas orgánicas o inorgánicas. Estos números de valencia van desde uno solo hasta cinco, en los halógenos; cloro (Cl), bromo (Br) y yodo (I) que presentan las valencias 1, 3, 5, 7 y además; -1.
Cuando el átomo se excita los orbitales atómicos se mezclan para formar nuevos orbitales donde al menos un electrón salta de un orbital lleno a otro más energético y disponible. El electrón se reacomoda y puede dar como resultado a esas condiciones, dos electrones desapareados; el que se quedó solo y el que se movió al orbital disponible.
Con este reacomodo de electrones se altera la forma y orientación de los orbitales atómicos, aunque el número de estos permanece constante y con su nuevo traje, a tales orbitales se les denomina orbitales híbridos.
Se toma como ejemplo la valencia de 3+ presentada por el boro, 5B, cuya configuración electrónica 1s2 2s2 2p1 muestra un electrón desapareado en un orbital 2p y que podría intercambiarlo con otro átomo cuya valencia sea -1.
Sin embargo, tal parece que los átomos de este elemento se excitan fácilmente y tiene preferencia por unirse con valencia 3+ de acuerdo con la hibridación de sus orbitales atómicos de acuerdo con el óxido de boro B2O3 y con el boruro de magnesio Mg3B2.
El proceso de hibridación del boro se muestra en los párrafos siguientes: En el estado fundamental del boro se nota que tiene dos orbitales vacíos y disponibles, según la Figura 11.

En el proceso de excitación, los electrones captan energía que los posibilita a saltar a un nivel energético mayor y que en este caso un electrón del orbital 2s se mueve y se acomoda en un orbital 2p para formar el estado excitado de este átomo (Figura 12).

La hibridación de los orbitales atómicos se da al combinarse el orbital 2s y los orbitales 2px y 2py para dar tres orbitales híbridos sp2 (Figura 13).

En este estado final hay tres electrones desapareados y cada uno de ellos puede aparearse con un electrón de otro átomo, como en la formación de la molécula de tri-fluoruro de boro, BF3. En esta molécula inorgánica, el flúor, 9F cuya configuración electrónica 1s2 2s2 2p5, presenta en el orbital 2pz un electrón desapareado, o sea, una vacancia electrónica o un espacio energético disponible. En este ejemplo sencillo, cada orbital híbrido sp2 tiene un electrón desapareado con el que forma un enlace covalente por solapamiento con un orbital pz del flúor (Figura 14).

Los diez electrones que participan en la formación de enlaces, tres del boro (2s2 2p1) y siete del flúor (2s2 2p5) dan la configuración electrónica de enlace de esta molécula inorgánica, que puede ser:
2σs2 2σs*2 2πpx2 2πpy2 2σpxz*2
Esta configuración resultante indica que los diez electrones en la capa electrónica L de cada átomo participan o se combinan para formar los orbitales moleculares de esta manera:
i) Un orbital sigma enlazante formado con dos orbitales atómicos 2s, un electrón del boro y otro del flúor girando estos en sentido contrario y traslapándose.
ii) Un orbital sigma anti-enlazante (*) formado con dos orbitales atómicos 2s, un electrón del boro, aquel que saltó a un siguiente nivel energético y otro del flúor girando en el mismo sentido y con la consabida repulsión magnética entre estos.
iii) Dos orbitales llenos del flúor se mantienen sin cambio y participando, son los orbitales 2px y 2py.
iv) Finalmente, se forma un orbital sigma anti-enlazante formado con dos orbitales atómicos 2p, un electrón del boro, aquel que está en el orbital 2px, y otro del flúor en el orbital 2pz, no solamente girando en el mismo sentido y con la repulsión magnética entre estos, también pueden estar situados espacialmente de manera perpendicular.
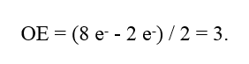
Como complemento se da el orden de enlace (OE) para esta molécula inorgánica que indica la estabilidad de enlace el cual se relaciona con la longitud y fuerza de dicho enlace de acuerdo con la ecuación general siguiente:
(1)Para esta molécula, tenemos:
(2)A mayor valor en el orden, mayor es la energía y la fuerza del enlace y menor su longitud. El valor calculado del OE para el tri-fluoruro de boro es relativamente alto, lo que da idea de la estabilidad de esta molécula.
Un ejemplo interesante de la formación de orbitales moleculares lo tenemos en la molécula orgánica del formaldehído cuya fórmula condensada es; CH2O y es aquella molécula formada por un átomo de carbono (6C), dos átomos de hidrógeno (1H) y un átomo de oxígeno (8O). El carbono es el átomo que se excita más fácilmente e hibridiza sus cuatro orbitales atómicos fundamentales; 1s2 2s2 2p2 generando cuatro orbitales híbridos sp3, un electrón en el orbital 2s y tres electrones repartidos en la subcapa 2p todos desapareados y girando en el mismo sentido.
Los doce electrones que participan en la formación de los enlaces de esta molécula, cuatro del carbono (2s2 2p2), seis del oxígeno (2s2 2p4) y los electrones de los dos átomos de hidrógeno 2(1s1) dan la configuración electrónica de enlace de esta molécula orgánica, que puede ser;
2σ s2 2σ s2 2σ s2 2πpx2 2πpy*2 2σpz*2
Esta configuración resultante indica que los diez electrones en la capa electrónica L de los átomos de carbono y oxígeno participan o se combinan lo mismo que los electrones de los dos hidrógenos en la capa K para formar los orbitales moleculares de esta manera:
i) Dos orbitales sigma enlazantes formados con dos orbitales atómicos 2s del hidrógeno y otros dos orbitales atómicos del carbono, uno 2s y otro 2px ambos híbridos. Cada orbital molecular se ha formado con dos electrones girando en sentido contrario atrayéndose debido a sus momentos magnéticos y además traslapándose, así: 2σ s2 2σ s2.
ii) Dos orbitales llenos del oxígeno, uno sigma 2s y otro tipo pi (2px) que se mantienen sin cambio y participando como orbitales moleculares: 2σs2 2πpx2.
iii) Un orbital sigma a anti-enlazante formado con dos orbitales atómicos 2py, un electrón del carbono, aquel que ya estaba en ese orbital atómico y otro del oxígeno, girando en el mismo sentido y con repulsión magnética entre estos, aunque estén situados de manera paralela.
iv) Finalmente, se forma un orbital molecular pi anti-enlazante formado con dos orbitales atómicos 2pz, un electrón del carbono, aquel que saltó a un siguiente nivel energético y otro del oxígeno girando en el mismo sentido y con repulsión magnética entre estos dos electrones: 2πpz*2.
La combinación de orbitales atómicos se muestra en la Figura 15 donde los dos orbitales moleculares anti-enlazantes σ y π se forman cuando en cada orbital, se combinan dos electrones que giran en el mismo sentido, aquel en el orbital atómica pi hibridado del carbono y otro en el orbital atómico pi del oxígeno, los cuales están señalados explícitamente:

Un esquema de los orbitales moleculares resultantes en el formaldehído se presenta en la Figura 16.

En el orbital anti-enlazante 2π* los electrones están “unidos” aunque no tengan un traslape debido a su repulsión electrónica y magnética. En la figura anterior el orbital anti-enlazante 2σ* parece ser un orbital molecular con traslape, pero en realidad cada lóbulo de los orbitales atómicos están en direcciones diferentes, uno atrás del plano de la página y el otro delante de este plano.
El orden de enlace para esta molécula orgánica que indica la estabilidad de enlaces, tenemos que:
(3)Este valor calculado del OE para el formaldehído es menor que el de la molécula inorgánica analizada, lo que da idea de una estabilidad menor para esta molécula orgánica, lo cual puede ser la característica de este tipo de moléculas.
Un ejemplo adicional de la formación de orbitales moleculares lo tenemos en el etileno cuya formula condensada es; C2H4 formado por dos átomos de carbono (6C) y cuatro átomos de hidrógeno (1H). El carbono es el átomo hibridizado donde sus cuatro orbitales atómicos fundamentales; 1s2 2s2 2p2 generan cuatro orbitales híbridos sp3; un electrón en el orbital 2s y tres electrones repartidos en la subcapa 2p todos desapareados y girando en el mismo sentido.
También en este caso son doce electrones que participan en la formación de los enlaces de esta molécula, ocho de los dos carbonos 2(2s2 2p2) y los cuatro electrones de los átomos de hidrógeno 4(1s1) dan la configuración electrónica de enlace de esta molécula orgánica, que cada lector puede proporcionar si todos los orbitales moleculares son enlazantes.
La configuración indica que los ocho electrones en la capa electrónica L de los átomos de carbono se combinan lo mismo que los electrones de los cuatro hidrógenos en la capa K para formar los orbitales moleculares de una manera específica que el lector puede definir como un ejercicio adicional.
Un esquema de los orbitales moleculares en el etileno se muestra en la Figura 17.

El orden de enlace para el etileno se da en la siguiente igualdad:
(4.4)El valor calculado del OE para el etileno indica una buena estabilidad que se debe no solo al enlace doble, sino también por la ausencia de orbitales moleculares anti-enlazantes.
En un enlace molecular los electrones no están fijos, sino que la inquietud que los caracteriza los hace moverse por todos los espacios disponibles, pero siempre hay al menos dos electrones que llenan el hueco o el espacio entre esos átomos. El enlace sencillo además de vibrar posibilita la rotación de las partes de la molécula antes y después del enlace. Debemos señalar que son los átomos en los extremos del enlace los que rotan. Esto significa que los átomos nunca están en reposo y los electrones por su posición, son las partículas más inquietas, las que forman nuevos enlaces y deshacen otros en las moléculas. [6]
Los enlaces dobles y triples son más fuertes y cortos que aquellos sencillos ya que se forman con la combinación de cuatro y seis electrones, respectivamente. Este número de electrones, de acuerdo con el tipo de enlace, fluyen entre 2 átomos los cuales pueden ser del mismo elemento. Los enlaces dobles o triples les infieren mayor rigidez a las moléculas ya que la rotación de átomos en sus extremos no puede llevarse a efecto o es muy difícil que esto ocurra [7]
En el benceno cuya fórmula química es C6H6, es una molécula cíclica con tres enlaces dobles alternados y tres enlaces sencillos, los electrones están deslocalizados y circulan por toda la molécula que puede representar una dona rellena de núcleos de carbono y cubierta de electrones. Este comportamiento característico en moléculas orgánicas que contienen básicamente carbono se debe a que los átomos son del mismo elemento, y así, su avaricia por los electrones es la misma. La dona molecular la forman el enjambre de los 36 electrones del anillo de carbonos más los seis electrones de los hidrógenos y su relleno es el conjunto de núcleos de los átomos de carbono. Una forma trivial de presentar esta molécula aromática que es la base de muchos compuestos valiosos en la industria química.
Una aplicación de identidad química
Si los electrones giran sobre su eje y tienen su propia rotación o espín, pueden presentar un número cuántico magnético m de signo contrario ya sea que giren en un sentido o en otro La resonancia paramagnética del electrón (RPE), se basa en aquellos átomos, moléculas o fragmentos moleculares que tienen un número impar de electrones y exhiben propiedades magnéticas [8]. Estas propiedades se originan ya sea de efectos orbitales o de la acción giratoria, o de ambas condiciones, de los electrones impares alrededor del núcleo. Esto indica categóricamente que se pueden analizar, mediante esta técnica espectroscópica, muestras que contengan un único electrón ocupando un orbital, atómico o molecular.
Referencias
[1] Fernández Álvarez-Estrada, R., Ramón Medrano, M., (2003). Partículas elementales, México, D.F., Fondo de Cultura Económica.
[2] Lagorio, M.G., (2000). Electron densities: Pictorial analogies for apparent ambiguities in probability calculations, Journal of Chemical Education, 77, (11), 1444.
[3] Medina-Valtierra, J., Camarillo-Martínez, G. (2022). El átomo y la espectroscopia atómica. Editorial de la Universidad de Guadalajara, México.
[4] Eichinger Jr., J. W., (1977). Enlaces químicos. Introducción y fundamentos. Publicaciones Cultural, S. A., México, D. F.
[5] Shriver, D. E., Atkins, P, Langford, C. P. (1994). Inorganic Chemistry, Second Edition, W. H. Fremman and Company, New York, USA.
[6] Medina-Valtierra, J., Camarillo-Martínez, G. (por publicarse en 2023). Características y aplicaciones de la espectroscopia molecular. Editorial de la Universidad de Guadalajara, México.
[7] Condori, H. (2019). Caracterización de simetría molecular y grupos de simetría de sustancias químicas mediante la teoría de grupos. (Tesis de posgrado), Universidad Mayor De San Andrés, Bolivia.
[8] Salvadori, E., Bruzzese, P. C., Giamello, E., Chiesa, M., (2022). Single metal atoms on oxide surfaces: Assessing the chemical bond through 17O electron paramagnetic resonance, Accounts in Chemical Research, (en prensa).
Notas de autor