ACCUMULATION OF LIPID DROPLETS AND DEVELOPMENT POTENTIAL OF BOVINE EMBRYOS (Bos taurus x Bos indicus) PRODUCED In Vitro
Acumulación de gotas lipídicas y potencial de desarrollo en embriones bovinos (Bos taurus x Bos indicus) producidos in vitro
ACCUMULATION OF LIPID DROPLETS AND DEVELOPMENT POTENTIAL OF BOVINE EMBRYOS (Bos taurus x Bos indicus) PRODUCED In Vitro
Revista Científica, vol. XXVII, no. 2, pp. 110-118, 2017
Universidad del Zulia
Received: 22/09/16
Accepted: 02/03/17
Funding
Funding source: CONDES-LUZ
Contract number: CC-0200-14
Abstract: Embryos developed in vitro usually have markedly more lipid than in vivo controls may contribute to their lower post-cryopreservation survival and high rates of embryonic death. The use of a serum-free media, the addition of albumin or chemicals to improve embryo development and quality. The aim of the research was to evaluate the quantitative fluctuation of cytoplasmic lipid droplets (LD) of in vitro produced (IVP) bovine embryos of at different developmental stages cultured in modified synthetic oviductal fluid medium supplemented with essential amino acids, non-essential amino acids, myo-inositol and citrate (mSOFaaci) + polyvinyl-alcohol (PVA), mSOFaaci + bovine serum albumin (BSA) fatty acids-free and 5% mSOFaaci+ fetal calf serum (FCS). To these, ovaries were collected from slaughtered female cows, cumulus-oocytecomplex (COCs) were collected, then matured, fertilized and then cultured the presumptive zygotes in different media referred for further assessment of the rate of embryo division and accumulation of cytoplasmic LD in embryos of two to four and more than four cells, morulae and blastocysts in IVP bovine embryos. The results showed no significant differences between cleavage rates and blastocyst production by treatments with PVA, BSA and BSA + 2.5% FCS. For lipid accumulation, the number and size of LD was similar between different developmental stages of the three evaluated treatments, highlighting a lot of small LD in most of the stages and a large significant increase of medium and large droplets in morulae grown in FCS respect the other two treatments. In conclusion, embryo culture systems evaluated are equivalent alternatives for IVP, being capable of supporting embryonic development to the blastocyst stage. The amount of LD found was similar in all stages of the treatments, except morulae cultured in 2.5% FCS showed larger drops, phenomenon associated to the incursion with serum from the beginning of culture.
Keywords: Embryos, bovine, IVP, lipid droplets.
Resumen: Los embriones desarrollados in vitro suelen tener marcadamente más lípidos que los producidos in vivo, lo que puede contribuir a su menor supervivencia después de la criopreservación y altas tasas de muerte embrionaria. El uso de un medio libre de suero, la adición de albúmina o productos químicos pueden mejorar el desarrollo y la calidad del embrión. El objetivo del presente trabajo fue valorar la fluctuación cuantitativa de gotas lipídicas (GL) citoplasmáticas en embriones bovinos producidos in vitro (PIV) en medio de fluido oviductal sintético modificado suplementado con aminoácidos esenciales, no esenciales, myo-inositol y citrato (mSOFaaci) + polivinil alcohol (PVA), mSOFaaci+ albúmina sérica bovina (BSA) libre de ácidos grasos y mSOFaaci+ 5% suero fetal bovino (FCS), para lo cual se procedió a recolectar ovarios de hembras bovinas sacrificadas, se obtuvieron los complejos cúmulus-ovocito (COCs) y posteriormente se maduraron, fecundaron y cultivaron los presuntos cigotos para la posterior valoración de la tasa de división embrionaria y acumulación citoplasmática de gotas lipídicas en embriones de dos a cuatro y más de cuatro células, mórulas y blastocitos en embriones bovinos. Los resultados no mostraron diferencias significativas entre las tasas de división y producción de blastocistos por los tratamientos. En cuanto a la acumulación lipídica, el número y tamaño de GL fue similar entre los estadios evaluados de los tres tratamientos, destacándose una gran cantidad de GL pequeñas en la mayoría y un aumento significativo de gotas medianas y grandes en las mórulas cultivadas en FCS. En conclusión, los sistemas de cultivo embrionario evaluados son alternativas equivalentes para la PIV, capaces de soportar el desarrollo embrionario hasta la etapa de blastocisto. La cantidad de GL encontrada fue similar en todos los estadios, a excepción de las mórulas cultivadas en 2,5% de FCS, fenómeno asociado a la incursión del suero desde el comienzo del cultivo.
Palabras clave: Embriones, bovinos, PIV, gotas lipídicas.
INTRODUCTION
Bovine (Bos taurus x Bos indicus) embryo production is practiced worldwide for commercial purposes. A major concern of embryo suppliers is the impact of in vitro production systems on embryo quality [31]. Lipid accumulated in embryos produced in vitro has been linked to reductions in both quality and cryopreservation viability [17].
Lipids are important sources of energy in all embryonic stages occurred before the blastocyst stage, where triglycerides are the main lipids synthesized in the cytoplasm of the bovine oocyte and embryo [12, 28]. These, together with other lipid classes as sterols are stored in the cell as lipid droplets (LD), interacting with other organelles and storing proteins and lipids [43]. Furthermore, there was a marked contrast between blastocysts generated in vivo versus in vitro regarding expression patterns of lipid metabolism and oxidative stress response [14], highlighting the importance of lipid regulation for embryo quality. Embryos developed in vitro usually have markedly more lipid than in vivo controls [9] may also induce to their lower post-cryopreservation survival and high rates of embryonic death [2, 19].
Historically, embryo culture media have been supplemented with protein in the form of either serum albumin or serum. Under stringent culture conditions, including the presence of amino acids, embryos can be cultured to the blastocyst stage in the absence of protein [15]. Significantly, albumin is the most abundant protein in the female reproductive tract [23] and has been shown to maintain embryo physiology and metabolism in vitro. Secondly, the addition of serum to culture medium does add a certain degree of protection to the embryo by its ability to minimize transient pH shifts and chelate potential toxins. It is for this ability to confer a degree of robustness to the culture medium that its use has persisted [15]. However, data on the development of sheep (Ovis aries) and cattle blastocysts in the presence of serum have raised serious issues regarding the use of serum for embryo culture. Serum can adversely affect the development of embryos at several levels: precocious blastocele formation, abnormal mitochondrial ultrastructure, perturbations in metabolism [2, 15] and the accumulation of LD in in vitro produced (IVP) embryos [2]. Unfortunately, a problem with serum albumin, serum, or any biological product is the risk of disease transmission and contamination [15].
Therefore, in attempts to define embryo culture media, Bavister advocated the use of polyvinyl-alcohol (PVA) [26], to replace serum or serum albumin. This approach has worked for the in vitro development of embryos from several mammalian species. However, the use of such synthetic macromolecules cannot be said to be physiological, and, as described above, PVA is not able to maintain the physiology and metabolism of the embryo. Furthermore, bovine embryos cultured in the presence of PVA did not survive cryopreservation as well as those cultured in the presence of albumin [15, 23].
Currently, there is few evidence about the differences in the development of bovine IVP embryos cultured with PVA, bovine serum albumin (BSA) and fetal calf serum (FCS) supplements in terms of quality and lipid accumulation, so that the present study had the aim of assess the lipid accumulation in the different embryonic stages of preimplantation bovine embryos present in three different culture media supplemented with PVA, BSA or FCS.
MATERIALS AND METHODS
Oocyte collection and in vitro maturation (IVM)
Ovaries were collected from local slaughterhouses, in an area that has characteristics of tropical wet forest with annual rainfall between 550-1500 milimeters (mm). For this study, bovine oocytes obtained from crossbred (Bos taurus x Bos indicus) cows were used. After collection, ovaries were transported within two hours (h) to the laboratory in 0.9% NaCl (w/v) at 35-37 ºC. COCs were recovered by aspiration of all visible follicles (2-8 mm) and resuspended in TCM-199 (11150-059, Gibco Life Technologies, Grand Island, NY, USA) supplemented with NaHCO3 (2.2 mg/L), gentamicin (50 μg/mL), BSA (0.4 g/L), HEPES (25 mM) and heparin (11.1 μg/mL). Oocytes enclosed in a compact cumulus with an evenly granulated cytoplasm were selected. Groups of 25 cumulus-oocytecomplex (COCs) were IVM in 100 μL drops of TCM-199 supplemented with FSH (0.5 μg/ml, Folltropin-V®, Bioniche), 17β estradiol (1 μg/mL) gentamicin (25 μg/mL) and 10% FCS in plates covered by mineral oil. COCs were cultured for 23 h at 38.5 ºC in a atmosphere with 5% CO2 in air saturated humidity.
Sperm preparation and in vitro fertilization (IVF)
Frozen semen from a single bull (Bos taurus) were thawed at 37 ºC for 30 seconds (sec) and washed in a 15 Falcon tube using Percoll® gradients of 45 and 90% prepared with Tyrode´s Albumin Lactate Pyruvate (TALP) solution (2 mL of 45 Percoll® at the top and 2 mL of 90% Percoll® in the bottom of the tube) by centrifugation (Thermo Scientific, IEC CL10, USA) at 325 g for 15 min; then the pellet was diluted with 0.5 mL TALP solution and centrifuged a second time at 325 g for 10 min. After maturation, batches of COCs were fertilized in 100 μL Talp Fert medium containing 0.6% fraction V fatty acid free BSA, 10 μg/ mL heparin, 20 mM penicillamine, 10 mM hypotaurine, and 1 mM epinephrine. Spermatozoa were added to a concentration of 1 x 106 spermatozoa/mL. COCs and spermatozoa were incubated for 17 h at 38.5 ºC under an atmosphere with 5% CO2 in air saturated humidity.
In vitro culture
Presumptive zygotes were denuded of cumulus cells by manual pipetting. Droplets of 100 μL of modified synthetic oviduct fluid with amino acids, citrate, myo-inositol (mSOFaaci) and gentamicin (50 μg/mL). Embryos were layered under mineral oil and were maintained for 7 d in an incubator at 38.5 ºC with gaseous atmosphere of 5% CO2 in air saturated humidity.
Assessment of lipid content
Embryos were previously fixed in 10% formaldehyde in PBS, pH 7.4, for 2 h at room temperature. After fixation, they were washed in distilled water containing 0.05% PVA and then transferred to drops of 50% ethanol. After 2 min, oocytes were stained in drops of 1% Sudan Black B (w/v; S668, Fisher) in 70% ethanol for 1–2 min; then they were washed three times with 50% ethanol, 5 min each, followed by a 5 min wash in 0.05% PVA in distilled water. Prepared embryos were mounted in 10 μL glycerol on cover slips and examined under a light microscope (Olympus, CX31, Japan) at 600X magnification. To estimate the relative amount of LD in the cytoplasm in each embryo, a grid with five squares of 1,600 μm2 (40 x 40 μm) each was designed using ImageJ 14.1 software [32]. LD were classified as small, medium, and large (<2 μm, 2–6 μm, and >6 μm, respectively). The number of droplets per category in the 1,600 μm2 square was counted, and the average number of droplets from five squares for each embryo was calculated. Data regarding lipid accumulation are presented as number of LD per 1,000 μm2.
Nuclear maturation
Cumulus cells were mechanically removed from intact COCs by repeated pipetting with PBS supplemented with PVA (0.1 mg/mL). Dispersion of cumulus was verified by a stereoscopic microscope (600X, Olympus SZX12, Japan). After denudation, oocytes were fixed with methanol + acetic acid (3:1) for 48 h at 4ºC, stained with 1% solution of lacmoid in 45% glacial acetic acid, evaluated under an optical microscope and classified according to the meiotic stage reached: mature (metaphase II + polar body, telophase I) and immature (anaphase I, metaphase I, chromosomal condensation and germinal vesicle). Oocytes that could able to be included in previous groups were considered as degenerate.
Assessment of fertilization, cleavage rate and embryo development
To evaluate the fertilization rate, oocytes were removed from culture at 17 h post-insemination (hpi), fixed and stained as described in the previous section. Oocytes were examined under an optical microscope and classified as either (a) non fertilized : the presence of female and the absence of male chromatin; (b) normal fertilized: the presence of female and male chromatin in the cytoplasm, a decondensed sperm head, pronuclei or cleavage; (c) abnormal fertilized: asynchronous oocytes (marked alteration in the formation of pronuclei, as undecondensed sperm head or telophase II) and > 2 pronuclei (oocytes in which more than 2 pronuclei were observed in the cytoplasm); or (d) degenerate oocytes. Cleavage rate was evaluated at 72 hpi, taking into account the total of embryos of 2 or more cells obtained in relation to the total of oocytes that were fertilized. Morulae and blastocysts yield were evaluated, respectively, on the sixth and seventh day after IVF. All embryos were observed under stereoscopic microscope (600X, Olympus SZX12, Japan)
Experimental design
After IVM, a group of COCs (N= 8 in each replicate) were used for the evaluation of meiotic progression, the rest of IVM oocytes were used in IVF and a pooled sample of 5 oocytes were fixed for the evaluation of fertilization rate after 17 hpi. Cleavage rate after 72 hpi was assessed. To obtain the stage-specific cytoplasmic accumulation lipid during early bovine embryo development, four in vitro developmental stages were assessed: 2-4, < 4 cell embryos (72 hpi), morulae (144 hpi) and blastocysts (168 hpi). For in vitro culture, the presumptive zygotes were distributed in three different in vitro culture environmental conditions were used for embryo production: 1) PVA: modified synthetic oviduct fluid (mSOFaaci) + 0.1 mg/mL PVA, 2) BSA: mSOFaaci + 6 mg/ mL BSA and 3) FCS: mSOFaaci + 6 mg/mL BSA + 2.5% FCS. Embryos of each development stage were recovered randomly from each IVP replicate from individual drops used just to collect and specific stage avoiding the used of the same drop to produce early and then later stages.
Statistical analysis
Nuclear state, fertilization and development rate were expressed as frequencies and analyzed using the Chi-square test. Accumulation lipid were expressed as mean ± SD and analyzed using General Linear Model (GLM) and statistical LSMEANS of the SAS Version 8.2 software [37]. A value of P < 0.05 was considered to be statistically significant.
RESULTS AND DISCUSSION
A total of 1877 oocytes were included in this study. Ten replicates were carried out. Maturation rate was 70.34 and 1.74% of degenerate oocytes (TABLE I).TABLE II displays data corresponding the assessment of bovine oocyte fertilization, wherein a total of 180 presumptive zygotes were taken into account. A 66.05% of oocytes evaluated were fertilized oocytes with a 40% of normal fertilized and only 5% of degenerate oocytes. The evaluation of embryo development was performed. Cleavage rates were similar between PVA (72.51%) and BSA (69.33%) treatments, but both different group with BSA + 2.5% FCS (43.79%; P<0.05); maintaining these differences until day (d) 6 with the percentage of morulae. However, blastocyst yield at d 7 not different in the three treatments, the highest percentage was when BSA was added to the culture medium (TABLE III).



The maturation rate observed in this study (70.34%) was higher than those obtained by authors such as Rodriguez et al. [34] with 52.75% and Báez et al. [3] with 65.71% under similar culture conditions. At the same time, lower than those obtained by Chohan and Hunter [6] with 92% and Nagano et al. [29] with 89.7% of matured oocytes. Different authors attribute beneficial effects to the IVM for the presence of different compounds incorporated into maturation medium such as amino acids, cysteine [42], insulin, transferrin, selenium [16], triiodothyronine [8] and resveratrol [41]. The normally penetrated oocytes (2 pronuclei) rate obtained in this study was 40%, lower than those reported by Báez et al. [3] with 57.14%, Spricigo et al. [36], 76.9% and Hara et al. [18] 70%. Parrish [30], states that the number of sperm added to oocytes during IVF affects the percentage of oocytes penetrated and even increase polyspermy rate. Furthermore, Contri et al. [7], ensure that low fertilization rates are due to the microbiological quality of semen used for IVF, resulting in an increase in pH and compromised sperm motility. Rizos et al. [33] and Holm et al. [21], suggest that the stages of maturation and fertilization are the main events that affect embryonic development. However, the IVC is the last step in the IVP, the longest and the most decisive for the quality of the blastocyst [27].
The rate of division in mSOFaaci + 0.1 mg/mL of a PVA was 72.51 and 69.33% in mSOFaaci + 6 mg/mL BSA culture medium, slightly lower than rates of other work such as Lim et al [26] with 78.6 and 78.4% under similar conditions, respectively, and those obtained by Holm et al. [20] with 78 and 77% of embryos split, sharing both work the same proportion of BSA. The use of serum from the beginning of IVC process simplifies the process by overcoming the need for addition of FCS during the developmental phase. Conversely, the use of FCS starting on the fourth day of IVC decreases the exposure period of embryos to serum, which may be beneficial for embryos in later stages [24].
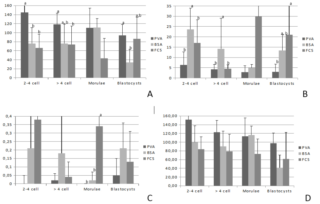
Eighty four embryos were stained and analyzed to evaluate the accumulation of LD (FIG.1). Embryos of 2-4 cell cultured in PVA media showed a greater amount of small LD, showing significant differences (P <0.05) with the other two culture media BSA and FCS (FIG. 2A).The number of medium droplets increased (P<0.05) at morula stage cultured in FCS media when compared with other culture media (FIG. 2B), followed by a decrease (P<0.05) at blastocyst stage in both culture media (PVA and BSA). The impact of the culture media was observed only at the 2-4 cell and morula stages, in which FCS medium caused an increase (P<0.05) in the number of large LD compared with PVA and BSA (FIG. 2C). No significant differences in total LD per embryos of >4 cell to blastocyst stage (FIG. 2D). The recognition of LD as functional organelles in the cell that participate in the regulation of lipid storage and metabolism is quite recent [11]. Ghanem et al. [17] suggest focus the researches in it. Moreover, models trying to reveal the mechanisms of biogenesis and growth of these structures are given constantly modifications and updates. There are at least three models that seek to explain the process of growth of LD: a) incorporation of neutral lipids and phospholipids to LD through domains having close contact with endoplasmic reticulum; b) lipid synthesis by the enzymatic machinery present in LD; c) fusion of preexistent LD [43]. The findings of this research seem to support the model of fusion of LD [11, 43].


Importantly, the lipid content of the zygote is also a determining factor in the development potential of the future embryo; it is well known that the oocyte uses the energy derived from LD located in the COCs through the β-oxidation for subsequent metabolic processes [10]. Some studies state that the accumulation of LD in the cytoplasm of bovine embryos may be influenced by culture conditions [4] and the reduction of these could be achieved by modifying the composition of the culture media [2, 17]. Abe et al. [2], complaint that the presence of serum in the beginning of the culture, and no other part, is the responsible for the developmental differences observed in IVP embryos. Sudano et al. [38], Takahashi et al. [40] and Ghanem et al. [17] coincide in the effectiveness of phenazineethosulfate and L-carnitine as modulating lipid chemicals added to the culture medium. In consequence, culture media supplementation with L-carnitine augments adenosine triphosphate (ATP) contents in the oocyte and induces LD redistribution [5], as well as it increases blastocyst rates.
During early embryo development, glucose and lipids metabolism is low, this condition changes once embryo genome activation has taken place [25], so that alterations in fatty acids concentrations may not have a major impact on early energy metabolism. However, despite a low lipid metabolism in early stages of development, lipids are necessary to the embryo, as it is reflected by a lower blastocyst rate after β-oxidation inhibition [13]. The Perilipinadipophilin Tail-interacting protein (PAT) of 47 kD are a family of proteins related to the structure and biogenesis of LD [10, 40]whose three main members are currently called Perilipin (PLIN) 1, 2 and 3 [22]. Sastre et al. [35] indicated that PLIN2 and PLIN3 could act together throughout the IVP, where the first is responsible for storing the necessary lipids to the embryo after fertilization, while the second would be the main protein of the PAT to stabilize LD synthesized in the blastocyst stage.
The methodology used by Abe et al. [2], allowed obtaining measurable results for the determination of lipid accumulation in culture media with and without serum. Here dominates the presence of small droplets (<2 μm) in embryos of 2 cells stage in each of the treatments, with and without serum, which coincides with the data of this study where small drops predominate in the stage of 2 to 4 cells for the three treatments.
Sudano et al. [39] reported a growing appearance of LD as the increase of the embryonic stages, with very similar values between the two media, presenting morulae the highest peak of appearance and descending again in blastocysts; in this work was observed a significant difference between the morulae cultured with serum and without serum, coinciding with the data obtained from the groups of medium (2-6 μm) and large drops (> 6 μm) appearance of this work, where in both groups were observed significant differences between the FCS and BSA morulae and FCS and PVA morulae obtained. These results are agree with those reported by Ferguson and Leese [13], which state that in the presence of serum, lipid accumulation increases from the morula stage, while Abe et al. [1] report that in absence of serum opposite happens, decreasing lipid accumulation along with the emergence of mature mitochondria. Sudano et al. [38], obtained significant differences for the three different sizes of drops into blastocysts culture medium without serum and with 2.5% FCS, finding more of the three sizes evaluated in embryos cultured in the last mentioned medium.
For this, it can be inferred that the kinetic of embryonic development, as well as the appearance of LD in their cytoplasm, depends both of the different strategies used in the different stages of the IVP and the same variable nature of the embryo. Among these strategies it is considered essential the incursion of serum after d 3 of the IVC, estimating much more satisfactory results.
CONCLUSIONS AND IMPLICATIONS
The present study showed that the presence of 2.5% FCS from the start of IVC decreases the rate of embryos. Chemically defined media embryonic culture (mSOFaaci) supplemented with 0.1 mg/mL PVA is an equivalent alternative to the IVP bovine embryos, being capable of supporting embryonic development to blastocyst stage. The size of LD had a similar distribution among stages and treatments, highlighting the presence of a lot of small droplets in most embryos evaluated. The culture medium supplemented with 2.5% FCS increases the amount of medium and large LD in the morula stage.
Acknowledgements
This project was funded by CONDES-LUZ (CC-0200-14).
References
[1] ABE, H; YAMASHITA, S; ITOH, T; SATOH, T; HOSHI, H. Ultrastructure of bovine embryos developed from in vitro matured and -fertilized oocytes: comparative morphological evaluation of embryos cultured either in serum-free medium or in serum-supplemented medium. Mol. Reprod. Dev. 53: 325-335. 1999.
[2] ABE, H; YAMASHITA, T; SATOH, T; HOSHI, H. Accumulation of cytoplasmic lipid droplets in bovine embryos and cryotolerance of embryos developed in different culture systems using serum-free o serum-containing media. Mol. Reprod. Dev. 61:57-66. 2002.
[3] BAEZ, F; MENDEZ, Y; VILLAMEDIANA, P. Complemento cromosómico de embriones bovinos (Bos taurus indicus) producidos in vitro. Cien. 22: 14-20. 2014.
[4] BARCELÓ-FIMBRES, M; SEIDEL, G. Cross-validation of techniques for measuring lipid content of bovine oocytes and blastocysts. Theriogenol. 75: 434–444. 2011.
[5] CHANKITISAKUL, V; SOMFAI, T; INABA, Y; TECHAKUMPHU, M; NAGAI, T. Supplementation of maturation medium with L-carnitine improves cryo-tolerance of bovine in vitro matured oocytes. Theriogenol. 79: 590-598. 2013.
[6] CHOHAN, K; HUNTER, A. In vitro maturation, fertilization and early cleavage rates of bovine fetal oocytes. Theriogenol. 61: 373-380. 2004.
[7] CONTRI, A; GLORIA, A; ROBBE, D; VALORZ, C; WEGHER, L; CARLUCCIO, A. Kinematic study on the effect of pH on bull sperm function. Anim. Reprod. Sci. 136: 252-259. 2013.
[8] COSTA, N; CORDEIRO, M; SILVA, T; SASTRE, D; SANTANA, P; SÁ, A; SAMPAIO, R; SANTOS, S; ADONA, P; MIRANDA, M; OHASHI, O. Effect of triiodothyronine on developmental competence of bovine oocytes. Theriogenol. 80: 295-301. 2013.
[9] DE LA TORRE-SANCHEZ, J; PREIS, K; SEIDEL, G Jr. Metabolic regulation of in vitro produced bovine embryos. I. Effects of metabolic regulators at different glucose concentrations with embryos produced by semen of different bulls. Reprod. Fertil. Dev. 18: 585-596. 2006.
[10] DUCHARME, N; BICKEL, P. Lipid droplets in lipogenesis and lipolysis. Endocrinol. 149: 942–9. 2008.
[11] FARESE, R; WALTHER, T. Lipid droplets finally get a little respect. Cell. 138: 855-860. 2009.
[12] FERGUSON, E; LEESE, H. Triglyceride content of bovine oocytes and early embryos. J. Reprod. Fertil. 116: 373-378. 1999.
[13] FERGUSON, E; LEESE, H. A potential role for triglyceride as an energy source during bovine oocyte maturation and early embryo development. Mol. Reprod. Dev. 73: 1195-1201. 2006.
[14] GAD, A; HOELKER, M; BESENFELDER, U; HAVLICEK, V; CINAR, U; RINGS, F; HELD, E; DUNNING, K; DARRYL, R; ROBKER, R. Lipids and oocyte developmental competence: the role of fatty acids and b-oxidation. Soc. Reprod. Fertil.148: 1741–7899. 2014.
[15] GARDNER, D.; LANE, M. Culture of viable mammalian embryos in vitro. In: Principles of cloning. 2nd Ed. Academic Press, Pp 63-84. 2014.
[16] GEORGE, F; DANIAUX, C; GENICOT, G; VERHAEGHE, B; LAMBERT, P; DONNAY, I. Set up of a serum-free culture system for bovine embryos: embryo development and quality before and after transient transfer. Theriogenol. 69: 612-623. 2008.
[17] GHANEM, N; HA, A; FAKRUZZAMAN, M; BANG, J; LEE, S; KONG, I. Differential expression of selected candidate genes in bovine embryos produced in vitro and cultured with chemicals modulating lipid metabolism. Theriogenol. 82: 238-250. 2014.
[18] HARA, H; HWANG, I; KAGAWA, N; KUWAYAMA, M; HIRABAYASHI, M; HOCHI, S. High incidence of multiple aster formation in vitrified-warmed bovine oocytes after in vitro fertilization. Theriogenol. 77: 908-915. 2012.
[19] HILL, B; KUEHNER, L. Bovine donor cholesterol, embryo colour and embryo freezability. Theriogenol. 49: 168. 1998. [Abstract].
[20] HOLM, P; BOOTH, P; SCHMIDT, M; GREVE, T; CALLESEN. High bovine blastocyst development in a static in vitro production system using SOFaa medium supplemented with sodium citrate and myo-inositol with or without serum proteins. Theriogenol. 52:683. 1999.
[21] HOLM, P; BOOTH, P; CALLESEN, H. Kinetics of early in vitro development of bovine in vivo- and in vitro-derived zygotes produced and/or cultured in chemically defined or serum-containing media. Reprod. 123:553-565. 2002.
[22] KIMMEL, A; BRASAEMLE, D; MCANDREWS-HILL, M; SZTALRYD, C; LONDOS, C. Adoption of PERILIPIN as a unifying nomenclature for the mammalian PAT-family of intracellular lipid storage droplet proteins. J. Lipid. Res. 51: 468–71. 2010.
[23] LEESE, H. The formation and function of oviduct fluid. J. Reprod. Fertil. 82: 843–856. 1988.
[24] LEIVAS, F; BRUM, D; FIALHO, S; SALIBA, W; ALVIM, M; BERNARDI, M; RUBIN, M; SILVA, C. Fetal calf serum enhances in vitro production of Bos taurus indicus embryos. Theriogenol. 75: 429–433. 2011.
[25] LEQUARRE, A; GRISART, B; MOREAU, B; SCHUURBIERS, N; MASSIP, A; DESSY, F. Glucose Metabolism During Bovine Preimplantation Development: Analysis of Gene Expression in Single Oocytes and Embryos. Mol. Reprod. Dev. 48:216–226. 1997.
[26] LIM, K; JANG, G; KO, K; LEE, W; PARK, H; KIM, J; LEE, S; HWANG, W; LEE, B; KANG, S. Improved in vitro bovine embryo development and increase defficiency in producing viable calves using defined media. Theriogenol. 67: 293-302. 2007.
[27] LONERGAN, P. Bovine embryo culture in the presence or absence of serum: implications for blastocyst development, cryotolerance, and messenger RNA expression. Biol. Reprod. 68: 236-243. 2003.
[28] MCEVOY, T; COULL, G; BROADBENT, P; HUTCHINSON, J; SPEAKE, B. Fatty acid composition of lipids in immature cattle, pig and sheep oocytes with intact zona pellucida. J. Reprod. Fert. 118: 163–170. 2000.
[29] NAGANO, M.; KANG, S.; KOYAMA, K.; HUANG, W.; YANAGAWA, Y; TAKAHASHI, Y. In vitro maturation system for individual culture of bovine oocytes using microvolume multi-well plate. Jpn. J. Vet. Res. 61: 149-154. 2013.
[30] PARRISH, J. Bovine in vitro fertilization: In vitro oocyte maturation and sperm capacitation with heparin. Theriogenol. 81: 67-73. 2014.
[31] PLOURDE, D; VIGNEAULT, CH; LAFLAMME, I; BLONDIN, P; ROBERT, C. Cellular and molecular characterization of the impact of laboratory setup on bovine in vitro embryo production. Theriogenol. 77:1767-1778. 2012.
[32] RASBAND, W. Image J. U.S. National Institutes of Health, Bethesda, Maryland, USA, http://rsb.info.nih.gov/ij/, 1997-2011.
[33] RIZOS, D; WARD, F; DUFFY, P; BOLAND, M; LONERGAN, P. Consequences of bovine oocyte maturation, fertilization or early embryo development in vitro versus in vivo: implications for blastocyst yield and blastocyst quality. Mol. Reprod. Dev. 61: 234-248. 2002.
[34] RODRIGUEZ, B; MOLINA, J; VILLAMEDIANA, P. Sobrevivencia morfológica y progresión meiótica de ovocitos bovinos vitrificados. Cien. 12: 125-136. 2004.
[35] SASTRE, D; NOGUEIRA DA COSTA, N; ALVES DE SÁ, AL; BRAGA, SD; CHIARATTI, MR; ADONA, PR; GUEMRA, S; VIEIRA, F; DO SOCORRO DAMASCENO, S; SENA, L;MITIO, O; MELO DOS SANTOS, EJ; DOS SANTOS, M. Expression of PLIN2 and PLIN3 during oocyte maturation and early embryo development in cattle. Theriogenol. 81: 326–331. 2014.
[36] SPRÍCIGO, J; MORAIS, K; YANG, B; DODE, M. Effect of the exposure to methyl-β-cyclodextrin prior to chilling or vitrification on the viability of bovine immature oocytes. Cryobiol. 65: 319-325. 2012.
[37] STATISTICAL ANALYSIS SYSTEM INSTITUTE (SAS). SAS/STAT User’s Guide. Version 8.2. 2001.
[38] SUDANO, M; PASCHOAL, D; RASCADO, T; MAGALHÃES, L; CROCOMO, L; LIMA-NETO, J; LANDIM-ALVARENGA, F. Lipid content and apoptosis of in vitro-produced bovine embryos as determinants of susceptibility to vitrification. Theriogenol. 75:1211-1220. 2011.
[39] SUDANO, M; RASCADO, T; TATA, A; BELAZ, K; SANTOS, V; VALENTE, R; MESQUITA, F; FERREIRA, C; ARAÚJO, J; EBERLIN, M; LANDIM-ALVARENGA, F. Lipidome signatures in early bovine embryo development. Theriogenol. 86: 472-484. 2016.
[40] TAKAHASHI, T; INABA, Y; SOMFAI, T; KANEDA, M; GESHI, M; NAGAI, T; MANABE, N. Supplementation of culture medium with L-carnitine improves development and cryotolerance of bovine embryos produced in vitro. Reprod. Fertil. Dev. 25:589-599. 2013.
[41] WANG, F; TIAN, X; ZHANG, L; HE, C; JI, P; LI, Y. Beneficial effect of resveratrol onbovine oocyte maturation and subsequent embryonic development after in vitro fertilization. Fertil. Steril. 101: 577–586. 2014.
[42] WANG, W; KEEFE, D. Predicton of chromosome misalignment among in vitro human oocytes by spindle imaging with the polScope. Fertil. Steril. 5: 1077-1081. 2002.
[43] YANG, H; GALEA, A; SYTNYK, V; CROSSLEY, M. Controlling the size of lipid droplets: lipid and protein factors. Curr. Opin. Cell Biol. 24: 509–516. 2012.