Producción en red: REAOLCEI
Estudio de género sobre la intención emprendedora en la universidad tecnológica El Retoño, México
Gender study on entrepreneurial intention at the Technological university “El Retoño”, Mexico
Estudio de género sobre la intención emprendedora en la universidad tecnológica El Retoño, México
Telos, vol. 24, núm. 3, pp. 749-769, 2022
Universidad Privada Dr. Rafael Belloso Chacín
Recepción: 02 Mayo 2022
Aprobación: 03 Agosto 2022
Publicación: 04 Septiembre 2022
Resumen: En los últimos años, tanto la gestión del conocimiento como la sostenibilidad a nivel cadena de suministro han captado el interés de la comunidad científica debido a su potencial para generar una ventaja competitiva en las organizaciones, por lo que su adopción en conjunto podría incrementar los beneficios no solamente para las organizaciones, sino también a las personas y al planeta. Por tanto, se planteó como objetivo de estudio examinar el estado de la investigación en torno a la relación entre la gestión del conocimiento y la sostenibilidad a nivel de la cadena de suministro; la metodología empleada fue la revisión estructurada de literatura en cuyo proceso se revisaron artículos publicados a partir de 1980 hasta marzo de 2019 para someterse al análisis cualitativo de contenido; los resultados pueden ser útiles para la comunidad académica y al sector empresarial al identificar líneas de investigación futura y marcos que direccionen su acción, respectivamente. Los hallazgos posicionan la gestión del conocimiento como impulsor de la sostenibilidad en el contexto de la cadena de suministro y se refuerza la necesidad de contar con más investigaciones que indaguen sobre su relación y efecto. El valor de la investigación reside en la identificación de su estado actual, sus habilitadores y líneas de investigación futuras.
Palabras clave: Gestión del conocimiento, cadena de suministro, sostenibilidad, revisión de literatura, gestión.
Abstract: In recent years, both knowledge management and sustainability at the supply chain level have attracted the scientific community's interest because of their potential to generate a competitive advantage in organizations, so their adoption together could increase benefits not only for organizations but also for people's planet. Therefore, the study's objective was to examine the research state on the relation between knowledge management and sustainability at the supply chain level. The methodology used was a structured literature review, during which articles published from 1980 to March 2019 were reviewed for qualitative analysis of content; the results may be useful for the academic community and the business sector in identifying lines of future research and frameworks to guide their action, respectively. The findings position knowledge management as a driver of sustainability in the supply chain context and reinforce the need for more research to investigate its relationship and effect on business performance. The value of the research lies in the contribution to understanding both constructs and identifying their current state, drivers, and future lines of research.
Keywords: knowledge management, sustainability, supply chain, literature review, management.
Introducción
Las universidades son las encargadas de proveer al mercado laboral de especialistas, sin embargo, ¿qué pasa cuando el mercado se encuentra saturado de profesionistas y el desempleo juvenil sigue en aumento? investigadores universitarios actualmente promueven estudios dentro de las universidades para encontrar soluciones que permitan a los egresados integrarse productivamente a la sociedad, además de ser fuente de proyectos y mejoras para el emprendimiento. Algunas universidades apuestan a la llamada universidad emprendedora en donde además de cubrir el currículo establecido, se fomentan prácticas y experiencias para iniciar y conformar empresas competitivas.
Las prácticas de emprendimiento pretenden minimizar el desempleo de los profesionistas egresados al crearles alternativas laborales (Jiménez Sáez y Arroyo Vázquez, 2009), además de que les ofrece el descubrimiento de “su vocación e interés” (Soria-Barreto et al., 2016:32). De ahí la importancia de los estudios centrados en que el emprendimiento puede ser enseñado, analizando tanto el rol de los profesores como el de la academia (Soria-Barreto et al., 2017) y mostrando que la educación emprendedora genera un deseo en los alumnos para emprender (Wilson et al., 2007; Lima et al., 2015 y Soria-Barreto et al., 2016). Esto permite enriquecer los programas de educación con enfoques emprendedores, que generen en los estudiantes competencias empresariales que les permitan desarrollar habilidades que puedan ser utilizadas al término de su carrera, incorporándose a una empresa o en la creación de una.
Según Soria-Barreto et al., (2016) en el ámbito del emprendimiento existe poca literatura respecto a estudios de género de los alumnos y la diferencia de la intención a emprender o su comportamiento ante el emprendimiento, es por esto que se realiza un estudio sobre la intención emprendedora en la Universidad Tecnológica “el Retoño” (UTR), la primera universidad tecnológica bilingüe de México, indagando el comportamiento de los alumnos, buscando relaciones entre la intención emprendedora y sí existen diferencias en cuanto al género, tomando en consideración las carreras que ofrece la universidad, esto con miras a determinar si las estrategias implementadas en la institución han sido efectivas, y tener en claro el curso de acción a seguir para incentivar el emprendimiento de acuerdo a los requerimiento de cada género, considerando la valiosa oportunidad que ofrece el entorno universitario y de esa manera apoyar al desarrollo regional.
Revisión de la Literatura
El emprendimiento es un fenómeno complejo e interesante, ambiguo y cambiante, y es razonable creer que esto también caracterizará las definiciones utilizadas en la investigación (Low y McMillan, 1998). Por ende, la exploración sobre el rol del emprendimiento en el proceso de desarrollo se encuentra incompleta y merece más atención (Naudé, 2010). Una de las distinciones recurrentes en el campo de la búsqueda de las competencias del emprendedor son las habilidades empresariales (Smith y Morse, 2005) y la función empresarial que implica el descubrimiento, evaluación, explotación de oportunidades, nuevas estrategias, formas de organización y nuevas formas de liderar a las empresas (Shane y Venkataraman, 2000).
La investigación académica continuamente brinda evidencia empírica de las dificultades basadas en el género que enfrentan las mujeres que intentan establecer y mantener un negocio (Kariv, 2011). El estudio del emprendimiento en los últimos años ha mostrado hallazgos que indican que puede ser enseñado, brindando una opción laboral válida tanto para hombres como para mujeres, las habilidades del emprendimiento le son necesarias a los empresarios, aunados a las consideraciones constantes de riesgo (Sinell et al., 2015). Así mismo, la aversión a los riesgos suele ser asociada particularmente con la creación de las empresas (Canning et al., 2012), es por esto que el modelo de educación empresarial en algunas universidades se encuentra alineado con las competencias, buscando desarrollar habilidades blandas en los alumnos (Haase y Lautenschläger, 2011), para enfrentar ese y todos los eventos asociados con el proceso del emprendimiento.
Se ha encontrado que los estudios universitarios afectan positivamente al emprendimiento (Taylor y Newcomer, 2005; Elizundia Cisneros, 2015), la experiencia profesional apoya a los alumnos (Albort-Morant y Oghazi, 2016) y muestra que los emprendedores con estudios universitarios presentan mejor desempeño empresarial, es por esto que los estudios en las universidades “juegan un papel clave porque los estudiantes reciben capacitación en la creación de empresas” (Albort-Morant y Oghazi, 2016:4), así mismo el entorno universitario contribuye al emprendimiento de los alumnos (Guerrero et al., 2016).
Por consiguiente, los cursos con visión educativa al emprendimiento en universidades han aumentado, no obstante, el grueso de los alumnos que muestran mayor interés es el de los hombres (Elizundia Cisneros, 2015), algunos estudios muestran que para las mujeres el emprendimiento está asociado con áreas que consideran problemáticas, por ejemplo, las finanzas, las matemáticas, y el temor al fracaso (Amatucci y Crawley, 2011; Moudrý y Thaichon, 2020). Wieland et al. (2019) mostraron que las mujeres se sienten menos competentes en aspectos asociados con la tecnología, por otro lado, la investigación de Da Fonseca Oliveira et al. (2015) informó que otro impedimento para el emprendimiento femenino es la falta de confianza en sí mismas, lo cual se puede compensar con el contacto con mujeres emprendedoras, ya que estas promoverán y darán una visión positiva del emprendimiento.
Pese a lo anterior, el número de mujeres emprendedoras va en aumento (Özsungur, 2019), sin embargo, existe poca investigación del emprendimiento de género (Elizundia Cisneros, 2015), esto a pesar de que se ha encontrado que el nivel de educación, principalmente en los estudios universitarios son un factor que predomina en las mujeres emprendedoras (Coleman y Robb, 2010, Özsungur, 2019). Algunos académicos han sugerido incorporar una metodología que enseñe la educación empresarial basada en identificar oportunidades y brindar experiencia a los alumnos (Armuña et al., 2020), sin embargo, es importante encontrar las principales diferencias de género en el emprendimiento, para aumentar la efectividad de esta.
Las mujeres empresarias en los últimos años han mostrado que el éxito tiene que ser respaldado por factores como los apoyos de instituciones financieras, gubernamentales y de educación (Elizundia Cisneros, 2015; Sequeira et al., 2016), es importante el soporte en situaciones críticas que las aliente a comenzar una carrera empresarial, considerando medidas importantes en la toma de decisiones ante el riesgo (Ramadani et al., 2015). Se ha demostrado que la falta de educación influye en la toma de decisiones de riesgo aumentando los niveles de fracaso en las mujeres que deciden emprender (Özsungur, 2019).
El emprendimiento es considerado como fuente de desarrollo económico y social, por lo tanto, el emprendimiento en mujeres es un importante recurso que debe ser estudiado (Ramadani et al., 2015), algunas corporaciones ya han detectado el beneficio del emprendimiento realizado por el género femenino y es por ello que han creado programas de fomento y de educación a mujeres (Elizundia Cisneros, 2015), algunas otras buscan estratégicamente incrementar la participación de las mujeres, no únicamente por el papel que juegan en el mercado laboral sino por el impacto que han generado (Helfat et al., 2006).
Hipótesis
Esta investigación empírica analizó la IE de los estudiantes pertenecientes a la UTR uno de los objetivos fue analizar la existencia de diferencias por género.
Intención emprendedora en el cuatrimestre propedéutico septiembre – diciembre 2019.
H0s-d Los hombres que estudian en la UTR muestran un nivel de IE igual o mayor que las mujeres en el cuatrimestre septiembre – diciembre 2019.
Intención emprendedora en el cuatrimestre mayo – agosto 2020.
Cambio en la intención emprendedora de las mujeres cinco meses después.
H0s-a: El nivel de la IE de las mujeres de la UTR que ingresaron en el cuatrimestre septiembre- diciembre 2019 es igual o menor al mostrado en el cuatrimestre mayo - agosto 2020.
H1s-a: El nivel de la IE de las mujeres de la UTR que ingresaron en el cuatrimestre septiembre- diciembre 2019 se incrementó en el cuatrimestre mayo - agosto 2020.
Metodología
En esta sección se describen las bases teóricas y metodológicas del trabajo realizado. Primeramente, se presenta la estructura del instrumento aplicado, posteriormente la metodología seguida durante la aplicación del instrumento y recolección de datos, y finalmente, se presentan los métodos estadísticos utilizados para el análisis de la información.
Instrumento
Se utilizó el instrumento diseñado y validado por Saadin y Daskin (2015), cuya intención fue medir la IE en estudiantes de las carreras de hotelería en Malasia. Los reactivos del instrumento están agrupados en 4 secciones: intención emprendedora (IE), deseabilidad percibida (DP), normas sociales (NS) y factibilidad percibida (FP); hace uso de una escala tipo Likert de 5 niveles de conformidad (Sullivan et al., 2013). Para un mejor manejo de las variables se empleó la nomenclatura que se muestra en la Tabla 1.
| Intención emprendedora | 10 | IE |
| Deseabilidad percibida | 5 | DP |
| Normas sociales | 4 | NS |
| Factibilidad percibida | 6 | FP |
Recolección de la información
El instrumento utilizado fue aplicado al total de la población de la UTR de nuevo ingreso en el cuatrimestre septiembre - diciembre 2019, integrada por un total de 377 alumnos, y a la población estudiantil del cuatrimestre mayo-agosto 2020, siendo un total de 693 alumnos. El formulario fue aplicado de manera electrónica.
Análisis Estadístico
Para verificar la validez de la consistencia del instrumento aplicado se empleó el coeficiente del Alfa de Cronbach (Cronbach, 1951) y la prueba estadística no paramétrica de correlación de Spearman; ambas pruebas se realizaron en cada una de las secciones del mismo para determinar el peso de cada una del instrumento aplicado se obtuvo el promedio de las respuestas obtenidas en cada una de las secciones (sección 1 promedio de las variables IE_1- IE_10, referentes a la intención emprendedora; sección 2 promedio de las variables DP_1-DP_5 correspondientes a la deseabilidad percibida; sección 3 promedio de las variables NS_1-NS_4 para normas sociales; sección 4 promedio de las variables FP_1-FP_6 relacionadas con factibilidad percibida). Se empleó el software estadístico R versión 4.0.0., tanto para los análisis estadísticos como para la generación de los gráficos.
Para verificar la factibilidad sobre la aplicación de los análisis estadísticos paramétricos o no-paramétricos, se calcularon los promedios de las cuatro secciones del instrumento por estudiante. A dichos promedios se les probó si seguían una distribución normal multivariada utilizando las pruebas de Anderson-Darling y Cramer-von Mises (Paulson et al., 1987) implementadas en el paquete mvnTest de R (Pya et al., 2016).
Dado que dicha normalidad no estuvo ni cercana a cumplirse, se optó por utilizar pruebas no paramétricas. De haberse cumplido dicho supuesto de normalidad multivariado, la prueba conocida como MANOVA con medidas repetidas hubiera respondido a los tres juegos de hipótesis planteados. Dado que no existe en la literatura una prueba no paramétrica similar al MANOVA con medidas repetidas, se optó por dividir el análisis estadístico en dos partes. Primeramente, y para probar los primeros dos juegos de hipótesis, se realizó el análisis estático por cuatrimestre para comparar las respuestas de las mujeres respecto a las de los hombres, para lo que se utilizó la prueba de aproximación al valor F presentada en Bathke, et al. (2008) e implementada en el paquete npmv de R (Burchett et al., 2017). En cuanto a sí existe o no un cambio en la IE de las mujeres después de cinco meses (hipótesis H0s-a y H1s-a), se utilizó la versión no paramétrica del ANOVA de medidas repetidas implementado en la paquetería rstatix de R (Kassambara, 2020), ésta es la prueba de Friedman para medidas repetidas (Scheff, 2016) por género y por sección del instrumento. Se fijó un nivel de significancia de α = 0.05.
Resultados
El total de los individuos encuestados en el cuatrimestre septiembre-diciembre 2019 fueron 376, siendo 366 pruebas válidas, de las cuales 174 fueron mujeres y 192 hombres. Durante el cuatrimestre mayo-agosto 2020 el total de la población fue de 693 individuos, siendo 536 pruebas válidas, conformadas por 275 mujeres y 261 hombres. Cabe resaltar que 166 individuos fueron recurrentes en ambos estudios.
Los valores del Alfa de Cronbach para medir la consistencia de cada una de las secciones del instrumento empleado tienen valores por encima de 0.76, por lo tanto son aceptables (Nunnally y Bernstein, 1994), en cuanto a los valores de la consistencia de cada uno de las afirmaciones del instrumento se encuentran por encima del 0.75 a excepción de 3 valores en el cuatrimestre de propedéutico (septiembre - diciembre 2019). Dichos valores corresponden a la sección de DP, específicamente a las afirmaciones: A mis amigos les gustaría verme iniciar mi propio negocio, A mis parientes les gustaría verme abrir mi propio negocio y A mi familia directa (padres y hermanos) les gustaría verme abrir mi propio negocio. Los resultados de dicho coeficiente se muestran en la Tabla 2.
| 0.95 | 0.93 | ||||
| IE_1 | Probablemente tendré un negocio algún día | 0.94 | 0.93 | ||
| IE_2 | Soy capaz de tomar decisiones que tendrán éxito en mi negocio | 0.94 | 0.93 | ||
| IE_3 | Haré todos los esfuerzos necesarios para abrir mi negocio | 0.94 | 0.92 | ||
| IE_4 | Me arriesgaré a abrir un negocio porque quiero ser mi propio jefe | 0.94 | 0.93 | ||
| IE_5 | Me veo a mi mismo como un empresario exitoso | 0.94 | 0.93 | ||
| IE_6 | Tengo el plan de abrir un negocio en el futuro cercano | 0.94 | 0.93 | ||
| IE_7 | Mi objetivo es convertirme en emprendedor | 0.94 | 0.92 | ||
| IE_8 | Haré lo que sea necesario para abrir un negocio | 0.94 | 0.92 | ||
| IE_9 | Estoy listo para hacer lo que sea para convertirme en emprendedor | 0.94 | 0.93 | ||
| IE_10 | Mi personalidad refleja la de un emprendedor | 0.94 | 0.93 | ||
| 0.76 | 0.81 | ||||
| DP_1 | Prefiero un negocio a una carrera profesional prometedora | 0.81 | 0.82 | ||
| DP_2 | El éxito futuro radica en abrir mi propio negocio | 0.74 | 0.79 | ||
| DP_3 | A mis amigos les gustaría verme iniciar mi propio negocio | 0.69 | 0.76 | ||
| DP_4 | A mis parientes les gustaría verme abrir mi propio negocio | 0.67 | 0.74 | ||
| DP_5 | A mi familia directa (padres y hermanos) le gustaría verme abrir mi propio negocio | 0.67 | 0.75 | ||
| 0.84 | 0.82 | ||||
| NS_1 | El poseer un negocio es apreciado por la comunidad | 0.82 | 0.82 | ||
| NS_2 | El poseer un negocio es apreciado por la familia directa (padres y hermanos) | 0.78 | 0.76 | ||
| NS_3 | El poseer un negocio es apreciado por los parientes | 0.79 | 0.75 | ||
| NS_4 | El poseer un negocio es apreciado por los amigos | 0.78 | 0.77 | ||
| 0.82 | 0.8 | ||||
| FP_1 | Yo puedo administrar un equipo. | 0.8 | 0.77 | ||
| FP_2 | Mis habilidades y capacidades me ayudan para abrir un negocio | 0.76 | 0.75 | ||
| FP_3 | Confío en mi para iniciar un negocio | 0.77 | 0.76 | ||
| FP_4 | Tengo acceso a información para convertirme en emprendedor | 0.78 | 0.77 | ||
| FP_5 | Tengo una buena red de contactos para convertirme en emprendedor | 0.79 | 0.78 | ||
| FP_6 | Es fácil abrir un negocio. | 0.84 | 0.8 |
Los resultados de la correlación entre las variables, utilizando la prueba no paramétrica de Spearman, de ambos períodos, se muestra en las Figuras 1 a 4. En dichas figuras se resalta en gris aquellas correlaciones mayores a 0.50.




Con el fin de justificar la utilización de las técnicas no paramétricas propuestas, se realizaron pruebas de bondad de ajuste multivariadas. Los resultados de las pruebas de bondad de ajuste para la normalidad multivariada de Anderson-Darling y Cramer-von Mises para las respuestas promedio por sección se muestra en la Tabla 3.
| 3.27549 | 0.00030 | 2.26300 | 0.00440 |
| 0.54265 | 0.00020 | 0.31817 | 0.01463 |
Se puede observar de dichas pruebas que, utilizando un nivel de significancia de α = 0.05, las respuestas promedio por sección y por cuatrimestre no siguen una distribución Normal multivariada, por lo que se utilizaron pruebas no paramétricas.
Ante la falta de normalidad multivariada de los datos, se empleó la prueba de Friedman, que corresponde a la versión no paramétrica del ANOVA de medidas repetidas. Sin embargo, dicha prueba no considera el modelado de los efectos aleatorios (en el caso de este estudio, el tiempo) ni efectos anidados (género relacionado con el identificador del individuo), motivo por el cual el análisis se dividió en dos partes. En una primera etapa, se utilizó la prueba no paramétrica de aproximación al valor F, para determinar si existían diferencias estadísticamente significativas en la IE entre hombres y mujeres por cada cuatrimestre de aplicación. En una segunda etapa, con el fin de conocer la evolución de la IE de las mujeres y de los hombres después de cinco meses, se utilizó la prueba de Friedman para medidas repetidas por sección del instrumento.
Análisis estático por cuatrimestre y por género
Con el fin de conocer la IE por cuatrimestre de aplicación del instrumento, primeramente, se realiza un análisis descriptivo mediante diagramas de cajas y brazos, y posteriormente se utiliza la prueba de aproximación de F para conocer si existen diferencias significativas (de forma multivariada) en la forma de responder al instrumento entre mujeres y los hombres.
También, y con fines ilustrativos, las respuestas promedio del instrumento completo de cada uno de los participantes por género y por periodo de aplicación se muestran en la Figura 5.

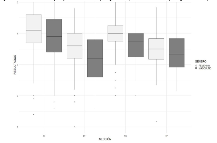
Los gráficos de cajas y brazos correspondientes a las respuestas por sección y género de los cuatrimestres que abarca el estudio se muestran a continuación: en la Figura 6 lo correspondiente al cuatrimestre Propedéutico septiembre – diciembre 2019 y en la Figura 7 los resultados generados en el cuatrimestre mayo-agosto 2020.

Se observa en la Figura 6 que, en términos generales, las respuestas brindadas por parte de las mujeres son mayores a las de los hombres en el mencionado cuatrimestre, ya que los gráficos de cajas y brazos de dicho género se encuentran por encima de los gráficos de los hombres.
En cuanto al segundo cuatrimestre en el que se realizó el estudio, el análisis descriptivo de los resultados por género y por cada sección del instrumento se muestran en la Figura 7.

| Propedéutico septiembre-diciembre 2019 | 4.9840 | 2.303 | 379.51 | 0.00500 |
| Cuatrimestre mayo –agosto 2020 | 3.5940 | 2.24 | 369.16 | 0.02400 |
Utilizando el nivel de significancia fijado anteriormente α = 0.05, se concluye que sí existe suficiente evidencia estadística para afirmar que las mujeres muestran una mayor intención emprendedora que los hombres (ver hipótesis H0s-d y H1s-d) en el cuatrimestre propedéutico de septiembre – diciembre 2019.
Análisis de la evolución de la intención emprendedora
Como fue mencionado anteriormente en la presente sección, la segunda parte del análisis corresponde al estudio de la evolución de la IE de las mujeres y de los hombres después de cinco meses. Respecto a la evolución de la IE de las mujeres, en la Figura 8 se muestran los gráficos de cajas y brazos de cada una de las secciones del instrumento, divididas por cuatrimestre de aplicación.

En dicha Figura 8 se observa que, en términos generales, la forma de responder de las mujeres en cada una de las secciones se ha conservado en cada cuatrimestre de aplicación. Los resultados respecto a los hombres de acuerdo a la evolución de su IE con respecto al tiempo del estudio se muestran en la Figura 9.

Para probar estadísticamente lo mostrado en las Figuras 8 y 9, se utilizó la prueba de Friedman para medidas repetidas para cada sección. Los resultados del estadístico y del valor-p se muestran en la Tabla 5. Al analizar los valores-p de cada una de las secciones, se observa que todos son mayores al valor de significancia anteriormente establecido, esto significando que las mujeres muestran el mismo nivel de IE en ambos periodos de aplicación del instrumento. En la misma tabla también se muestra el análisis respectivo a los hombres y todos los estudiantes. En general se puede observar que la IE no cambia entre los cuatrimestres estudiados (ver Figura 8 y Tabla 5). Existe un solo valor-p que es menor al nivel de significancia, el correspondiente a la Factibilidad percibida de todos los estudiantes, cabe hacer mención que el virus SARS-CoV-2 trajo consigo incertidumbre afectando el desarrollo económico y social. El entorno que atraviesan las organizaciones es uno de los desafíos que los estudiantes perciben, además del cierre de negocios tanto formales como informales. No es extraño que los estudiantes volteen a ver nuevos modelos de negocios sobre todo aquellos realizados por internet (Rosales, 2020).
| 3.5000 | 0.0612 | 0.5590 | 0.4550 | 0.0282 | 0.8670 | 4.6300 | 0.0314 |
| 1.1739 | 0.2786 | 0.5625 | 0.4532 | 0.2500 | 0.6170 | 1.8615 | 0.1724 |
| 2.3902 | 0.1221 | 0.1111 | 0.7388 | 0.4615 | 0.4969 | 2.7770 | 0.0950 |
Discusión
La educación para el emprendimiento tiene un impacto positivo para disminuir la pobreza, siempre y cuando se seleccione a las personas idóneas y se les brinde la capacitación correcta (Sequeira et al., 2016), ofreciendo ambientes en donde se pueda promover el emprendimiento, tanto públicos como privados (Sieger, et al., 2021) y considerando las diferencias de género, de contexto e incluso de país, de igual forma se deben tomar en cuenta todas las variables que puedan fortalecerlo o minimizarlo (Elizundia Cisneros, 2015).
El emprendimiento femenino está influenciado por rasgos de personalidad, y factores sociales y económicos (Cantú Cavada et al., 2017). Kobeissi (2010), encontró que entre mayor sea la diferencia salarial debido al género mayor será el nivel de mujeres empresarias, de igual forma si sufren discriminación, puesto que el emprendimiento es una forma para evitarlo.
Debido a la actitud tradicional conservadora, a la tendencia de aversión del riesgo y a la falta de cooperación de los miembros de su familia, la emprendedoras mexicanas se ven desalentadas en el proceso de crear su propia empresa, regularmente las mujeres se ven motivadas a emprender debido a la necesidad y no tanto a la oportunidad (Cantú Cavada et al., 2017), la tendencia es que realicen actividades comerciales o de servicios, y que conformen pequeños negocios tanto por los ingresos generados como por el número de trabajadores (Robichaud et al., 2016), de tal forma que consigan los ingresos necesarios para sus hogares y de igual forma mejoren las relaciones familiares (Rosales, 2015 citado por Contreras et al., 2020), de tal forma que Paredes Hernández et al., (2019) afirman que el emprendimiento en México para las mujeres es una forma de sobrevivencia más que una manera de entrar en contacto con el entorno de los negocios o con las características personales para llevarlos a cabo.
El cambio en la estructura familiar y las tradiciones han ofrecido mayores oportunidades a las mujeres para ejercer el emprendimiento (Cantú Cavada et al., 2017), pese a que son consideradas como un grupo vulnerable y limitado, cada vez más aumenta el número de emprendedoras (Contreras et al., 2020), lo cual se refleja a lo largo del mundo (Allen, et al., 2006 citados por Cantú Cavada et al., 2017) Hoy en día las mujeres son más independientes y en muchos casos son jefas de familia, viéndose obligadas a la manutención de la misma (Guerrero Ramos et al., 2013), tienen oportunidades de preparación académica y profesional similares a las de los hombres, de tal forma que el número de mujeres que laboran fuera de casa se ha de tal forma que de 1985 a la fecha se ha incrementado en más del 50% (Cantú Cavada et al., 2017), así mismo el nivel educativo es superior que en el pasado (SEDLAC, 2016 citado por Robichaud et al., 2016). Se tienen evidencias de que las mujeres emprendedoras son capaces de realizar mayor trabajo empresarial que los hombres (Rajagopal, 2012), atendiendo el cuidado de la familia (Navarro y Camacho 2011 citado por Paredes Hernández et al., 2019).
En el estudio cualitativo realizado por Cantú Cavada et al. (2017), en donde se realizaron entrevistas a emprendedoras y especialistas en emprendimiento, se encontró que más de la mitad de las emprendedoras reciben apoyo por parte de sus familiares y/o amigos, ya sea como mentores o colaboradores, las principales motivaciones para emprender fueron el ser independiente, la necesidad de ser autosuficiente, el deseo de logros, el deseo de ser su propio jefe, el impulso empresarial y el tener un plan de vida que les permita equilibrar las actividades laborales y familiares.
En el ámbito rural las mujeres emprendedoras han desarrollado alternativas de trabajo diferentes a las actividades domésticas liberándose de la dominación masculina (Acosta González et al., 2017), transformándose en agentes de conservación ambiental, empleando procesos de producción sustentables (Contreras et al., 2020), desarrollando un trabajo colectivo y organizado, empoderando a otras mujeres y logrando beneficios igualitarios (Clark Muntean y Ozkazanc-Pan, 2016).
En el estudio realizado en zonas urbanas (Robichaud et al., 2016) encontró que las motivaciones de las mujeres para emprender, en orden de importancia, son extrínsecas, intrínsecas, por la necesidad de independencia y por metas relacionadas con la seguridad. También determinaron que ambos géneros son motivadores principales para emprender son de tipo extrínseco, siendo los mismos: 1) El incrementar sus ingresos, 2) por su propia satisfacción y crecimiento, 3) para aumentar las ventas y las ganancias y 4) por crear su propio trabajo. Concluyen que el emprendimiento femenino es influenciado por otras razones además de las financieras, como son la satisfacción personal, los logros y la necesidad de autonomía e independencia.
Los motivos por los cuales las mujeres que emprenden después de los 30 años son: 1) por ser una alternativa de ingresos y apoyo económico familiar (Elizundia, 2014 citado por (Paredes Hernández et al., 2019), 2) por disponer de mayor tiempo debido a que sus hijos son independientes (Briseño et al., 2016: Pinzón, et al., 2014 citados por Paredes Hernández et al., 2019) y 3) por tener objetivos claros y por la mayor responsabilidad de tomar decisiones (Liquidano-Rodriguez y Carlos Ornelas, 2014).
Este estudio mostró que la deseabilidad percibida en el caso de las mujeres es superior, lo cual sugiere que existen similitudes con mujeres de otros países (Kumara, 2012; Dissanayake, 2013 y Saadin, y Daskin, 2015), estos resultados nos permiten comprender que la Intención a Emprender en las estudiantes universitarias en México es similar que en otras partes de mundo, sin embargo, el éxito de su emprendimiento puede ser determinado por otros factores como el financiamiento (Elizundia Cisneros, 2015) o la toma de decisiones en situaciones de riesgo (Ramadani, et al., 2015; Özsungur, 2019). Es por ello que ante las desventajas en el emprendimiento femenino se deben llevaron a cabo programas tanto gubernamentales como de la iniciativa privada que promuevan el emprendimiento en México (Cantú Cavada et al., 2017), así como el apoyo de las universidades por medio de las incubadoras, o por medio de políticas internacionales para el apoyo de mujeres emprendedoras en zonas rurales alrededor del mundo (agenda 2030 de la Organización de las Naciones Unidas) (Contreras et al., 2020). Cualquier medida que impulse el crecimiento de las pequeñas empresas incidirá en el poder adquisitivo de los pequeños empresarios y de sus familias (Robichaud et al., 2016), y servirá de ejemplo a seguir para que futuros emprendedores y emprendedoras creen nuevas fuentes de trabajo.
Conclusiones
El estudio realizado en la UTR nace por la necesidad de determinar el grado de Intención Emprendedora por parte de los estudiantes, ya que el emprendimiento no ha sido suficientemente estudiado en las universidades mexicanas por género y específicamente en el estado de Aguascalientes, lo cual es necesario para determinar la eficiencia de las estrategias hasta hoy aplicadas dentro de la institución, haciendo énfasis en la percepción que se tiene de acuerdo al género, de esa forma se brindará información que sea útil y efectiva para la formación de los futuros emprendedores y emprendedoras del estado.
En cuanto al análisis de la intención emprendedora por cuatrimestre, se rechazaron las hipótesis H0s-d y H0ma-a, lo que significa que las mujeres muestran mayores niveles de Intención Emprendedora que los hombres, lo que sugiere el análisis con otras variables como nivel socioeconómico, escolaridad y profesión de los padres, además de determinar si los estudiantes son hijos de migrantes o no, por lo menos en el caso de México.
Por otra parte, los estudiantes de esta muestra vivieron la pandemia de COVD-19 y después de 5 meses de esta, los resultados mostraron que no hubo una disminución en su intención a emprender, es decir, en cuanto a la evolución de la intención emprendedora en los cuatrimestres estudiados se concluye que no ha habido cambio, sin embargo, cabe resaltar que los estudiantes perciben la incertidumbre generada por la pandemia, la cual ha influido negativamente en la percepción que se tiene para generar nuevas empresas, lo cual compromete a la UTR a seguir trabajando en programas y capacitaciones para incrementar el grado de intención emprendedora de sus estudiantes haciendo hincapié en las diferencias de acuerdo con el género.
Cada vez más estudios como este muestran cómo los estudiantes están interesados en conocer mejores prácticas para emprender y la intención de comenzar un negocio. El emprendimiento en las mujeres, específicamente, debe analizarse más a detalle, ya que el desarrollo económico del país se ve beneficiado por la incursión de empresarias, por otro lado, los programas y los talleres impartidos por mentores en las universidades deben considerar la diferencia de género para determinar posibles alternativas o áreas de apoyo específicas, además de documentarse, de esta manera las universidades tendrán programas validados con éxito, que impulsen el crecimiento de nuevos negocios liderados por hombres y mujeres profesionistas que además les permitan sobrevivir en un mercado cada vez más globalizado y por ende más competitivo.
Referencias bibliográficas
Acosta González, Beicy Viviana; Zambrano Vargas, Sandra y Suárez Pineda, Marlén (2017). Emprendimiento Femenino Y Ruralidad En Boyacá, Colombia. Criterio Libre, 15(26), Colombia. (Pp. 215–236). https://doi.org/10.18041/1900-0642/criteriolibre.2017v15n26.1048
Albort-Morant, Gema y Oghazi, Pejvak (2016). How useful are incubators for new entrepreneurs?. Journal of Business Research, 69(6), USA. (Pp.2125-2129). https://doi.org/10.1016/j.jbusres.2015.12.019
Amatucci, Frances y Crawley, Daria (2011). Financial self‐efficacy among women entrepreneurs. International Journal of Gender and Entrepreneurship, 3(1), Reino Unido (Pp. 23-37). https://doi.org/10.1108/17566261111114962
Armuña, Cristina; Ramos, Sergio; Juan, Jesús, Feijóo, Claudio y Arenal, Alberto (2020). From stand-up to start-up: exploring entrepreneurship competences and STEM women’s intention. International Entrepreneurship and Management Journal, 16(1), USA. (Pp. 69-92). https://doi.org/10.1007/s11365-019-00627-z
Bathke, Arne C.; Harrar, Solomon W. y Madden, Laurence V. (2008). How to compare small multivariate samples using nonparametric tests to compare small multivariate samples using nonparametric tests. Computational Statistics & Data Analysis, 52(11), Paises Bajos. (Pp. 4951-4965). https://doi.org/10.1016/j.csda.2008.04.006
Burchett, Woodrow W.; Ellis, Amanda R.; Harrar, Solomon W. y Bathke Arne C. (2017). Nonparametric Inference for Multivariate Data: The R Package npmv. Journal of Statistical Software, 76(1), USA. (Pp.1-18). https://doi.org/10.18637/jss.v076.i04
Canning, Jessica; Haque, Miriam y Wang, Yimeng (2012). Women at the wheel: Do female executives drive start-up success. Dow Jones, USA. (Pp.1-37) https://content.money.com/wp-content/uploads/2015/03/womenpe_report_final.pdf
Cantú Cavada, Martha; Bobek, Vito y Maček, Anita (2017). Motivation factors for female entrepreneurship in Mexico. Entrepreneurial Business and Economics Review, 5(3), Poland, (Pp.133–148). https://doi.org/10.15678/EBER.2017.050307
Clark Muntean, Susan y Ozkazanc-Pan, Banu (2016). Feminist perspectives on social entrepreneurship: critique and new directions. International Journal of Gender and Entrepreneurship, 8(3), Reino Unido. (Pp. 221–241). https://doi.org/10.1108/IJGE-10-2014-0034
Coleman, Susan y Robb, Alicia (2010). Sources of funding for new women-owned firms. Western New England Law Review, 32(3), USA. (Pp. 497-514). https://digitalcommons.law.wne.edu/lawreview/vol32/iss3/4
Contreras, Paola; Vargas, Elva; Cruz, Graciela y Serrano, Rocío. (2020). Emprendimientos femeninos: de lo económico a lo sustentable. Revista Espacios, 41(31), Venezuela (Pp. 225–237). https://www.revistaespacios.com/a20v41n31/20413118.html
Cronbach, Lee Joseph (1951). Coefficient alpha and the internal structure of tests. Psychometrika, 16(3), USA, (Pp.297-334). https://doi.org/10.1007/BF02310555
Da Fonseca Oliveira, Belkis Maria; Moriano, Juan Antonio; Laguía, Ana y Salazar Soares, Vasco Jorge (2015). El perfil psicosocial del emprendedor: un estudio desde la perspectiva de género, Anuario de Psicología, 45(3), España. (Pp. 301-315). https://www.redalyc.org/pdf/970/97044008004.pdf
Dissanayake, D.M.N.S.W. (2013). The impact of perceived desirability and perceived feasibility on entrepreneurial intention among undergraduate students in Sri Lanka: An extended model. The Kelaniya Journal of Management, 2(1), Sri Lanka. (Pp. 39-57). http://dx.doi.org/10.2139/ssrn.2312589
Elizundia Cisneros, María Eugenia (2015). Desempeño de nuevos negocios: perspectiva de género. Contaduría y administración, 60(2), México (Pp. 468-485). https://doi.org/10.1016/S0186-1042(15)30010-3
Guerrero, Maribel; Urbano, David y Fayolle, Alain (2016). Entrepreneurial activity and regional competitiveness: evidence from European entrepreneurial universities. The Journal of Technology Transfer, 41(1), USA. (Pp. 105-131). https://doi.org/10.1007/s10961-014-9377-4
Guerrero Ramos, Liliana; Canibe Cruz, Francisco; Armenteros Acosta, Maria del Carmen; López Chavarría, Sandra y Reyna García, Gabriela Margarita (2013). Construcción de un perfil de las mujeres emprendedoras en Torreón, Coahuila, México. Revista Internacional Administración & Finanzas, 6(4), USA. (Pp.19–37). http://search.ebscohost.com/login.aspx?direct=true&db=buh&AN=82233634&site=ehost-live
Haase, Heiko y Lautenschläger, Arndt (2011). The ‘teachability dilemma’of entrepreneurship. International entrepreneurship and management journal, 7(2), USA. (Pp. 145-162). https://doi.org/10.1007/s11365-010-0150-3
Helfat, Constance E.; Harris, Dawn y Wolfson, Paul J. (2006). The pipeline to the top: Women and men in the top executive ranks of US corporations. Academy of Management Perspectives, 20(4), USA. (Pp. 42-64). https://doi.org/10.5465/amp.2006.23270306
Jiménez Sáez, Fernando y Arroyo Vázquez, Monica (2009). El fomento del emprendedurismo universitario a través de un modelo integrador. XIII seminario Latino-Iberoamericano de Gestión Tecnológica: “Innovación para el desarrollo sostenible”, Cartagena de Indias, Colombia. http://hdl.handle.net/10261/20580
Kassambara, Alboukadel (2020). rstatix: Pipe-Friendly Framework for Basic Statistical Tests. R package version 0.6.0. Disponible en: https://cran.r-project.org/web/packages/rstatix/index.2020
Kariv, Dafna (2011). Entrepreneurial orientations of women business founders from a push/pull perspective: Canadians versus non-Canadians—A multinational assessment. Journal of Small Business & Entrepreneurship, 24(3), Canada (Pp. 397-425). https://doi.org/10.1080/08276331.2011.10593546
Kobeissi, Nada (2010). Gender factors and female entrepreneurship: International evidence and policy implications. Journal of International Entrepreneurship, 8(1), Holanda (Pp.1–35). https://doi.org/10.1007/s10843-010-0045-y
Kumara, Samantha (2012). Undergraduates’ intention towards entrepreneurship: empirical evidence from Sri Lanka. Journal of Enterprising Culture, 20(1), Singapur. (Pp. 105-118). https://doi.org/10.1142/S0218495812500057
Lima, Edmilson; Lopes, Rose; Nassif, Vania Maria Jorge y da Silva, Dirceu (2015). Opportunities to improve entrepreneurship education: Contributions considering Brazilian challenges. Journal of Small Business Management, 53(4), Reino Unido. (Pp. 1033-1051). https://doi.org/10.1111/jsbm.12110
Liquidano-Rodriguez, Ma. Carmen y Carlos Ornelas, Carmen Estela (2014). Desafíos de la mujer empresaria y su relación con factores culturales familiares. Revista Global de Negocios, 2(2), (Pp. 1–12).
Low, Murray B. y MacMillan, Ian C. (1988). Entrepreneurship: Past research and future challenges. Journal of Management, 14(2), USA. (Pp. 139-161). https://doi.org/10.1177/014920638801400202
Moudrý, Dann y Thaichon, Park (2020). Enrichment for retail businesses: How female entrepreneurs and masculine traits enhance business success. Journal of Retailing and Consumer Services, 54, Reino Unido. (Pp. 102068). https://doi.org/10.1016/j.jretconser.2020.102068
Naudé, Wim (2010). Entrepreneurship, developing countries, and development economics: new approaches and insights. Small Business Economics, 34(1), Países Bajos. (Pp.1-12). https://doi.org/10.1007/s11187-009-9198-2
Nunnally, Jum C. y Bernstein, I. H. (1994). Book Review: Psychometric theory (tercera edición.). Editorial McGraw-Hill. Estados Unidos de América.
Özsungur, Fahri (2019). A research on women's entrepreneurship motivation: Sample of Adana Province. Women's Studies International Forum, 74, Reino Unido. (Pp. 114-126). https://doi.org/10.1016/j.wsif.2019.03.006
Paredes Hernández, Silvia Patricia; Castillo Leal, Marisela y Saavedra García, Maria Luisa (2019). Factores que influyen en el emprendimiento femenino en México. Suma de Negocios, 10(23), Colombia (Pp. 158–167). https://doi.org/10.14349/sumneg/2019.v10.n23.a
Paulson, A. S.; Roohan, P. y Sullo, Pasquelle (1987). Some empirical distribution function tests for multivariate normality. Journal of Statistical Computation and Simulation, 28(1), Reino Unido. (Pp. 15-30). https://doi.org/10.1080/00949658708811005
Pya, Natalya; Voinov, Vassilly; Makarov, Rashid y Voinov Yevgeniy (2016). mvnTest: Goodness of Fit Tests for Multivariate Normality. R package version 1.1-0. https://CRAN.R-project.org/package=mvnTest
Rajagopal. (2012). Challenges among women entrepreneurs in Mexico. International Journal of Entrepreneurship and Small Business, 15(3), Reino Unido. (Pp. 389–395). https://doi.org/10.1504/IJESB.2012.045686
Ramadani, Veland; Hisrich, Robert D. y Rashiti, Shqipe Gërguri (2015). Female entrepreneurs in transition economies: insights from Albania, Macedonia and Kosovo. World Review of Entrepreneurship. Management and Sustainable Development, 11(4), Reino Unido. (Pp. 391-413). https://www.inderscienceonline.com/doi/abs/10.1504/WREMSD.2015.07206
Robichaud, Yves; Cachon, Jean Charles; Barragán Codina, José; Davila Aguirre, Mario César y Lopez Lira Arjona, Alfonso (2016). Gender motives of mexican entrepreneurs in two large urban settings: an empirical study. Journal of Developmental Entrepreneurship, 21(3) Singapore. https://doi.org/10.1142/S1084946716500205
Saadin, Muhamad Nizam y Daskin, Mustafa (2015). Perceived desirability, feasibility, and social norms as antecedents on hospitality students’ entrepreneurial intention in Malaysia: does gender make a difference?. International Journal of Entrepreneurship and Small Business, 25(4), Reino Unido. (Pp. 456-474). https://www.inderscienceonline.com/doi/abs/10.1504/IJESB.2015.070218
, Stephen W. (2016). Fundamental Statistical Principles for the Neurobiologist. Academic Press, Pages. England.
Sieger, Philip; Raemy, Lea; Zellweger, Thomas; Fueglistaller, Urs y Hatak, Isabella. (2021). Global Student Entrepreneurship 2021: Insights From 58 Countries. St.Gallen/Bern: KMU-HSG/IMU-U.
Sequeira, Jennifer M., Gibbs, Sherrhonda R. y Juma, Norma A. (2016). Factors contributing to women’s venture success in developing countries: An exploratory analysis. Journal of developmental entrepreneurship, 21(1), Singapur. (Pp. 1650001). https://doi.org/10.1142/S1084946716500011
Shane, Scott y Venkataraman, S. (2000). The promise of entrepreneurship as a field of research. Academy of Management Review, 25(1), USA. (Pp. 217-226).
Sinell, Anna; Heidingsfelder, Marie y Schraudner, Martina (2015). Entrepreneurship and academic employment-more alike than you'd think. Journal of technology management & innovation, 10(3), Chile (Pp. 1-10). https://doi.org/10.5465/amr.2000.2791611
Smith, Brock y Morse, Eric (2005). Entrepreneurial competencies: Literature review and best practices. Small Business Policy Branch, 16(2), Canadá. (Pp. 92-111). https://www.academia.edu/5236382/Entrepreneurial_competencies_a_literature_review_and_development_agenda
Soria-Barreto, Karla; Honores-Marin, Guillermo; Gutiérrez-Zepeda, Paulina y Gutiérrez-Rodríguez, Julián (2017). Prior exposure and educational environment towards entrepreneurial intention, Journal of technology management & innovation, 12(2), Chile. (Pp. 45-58). http://dx.doi.org/10.4067/S0718-27242017000200006
Soria-Barreto, Karla; Zuniga-Jara, Sergio y Ruiz-Campo, Sofia (2016). Educación e intención emprendedora en estudiantes universitarios: un caso de estudio. Formación universitaria, 9(1), Chile. (Pp. 25-34). http://dx.doi.org/10.4067/S0718-50062016000100004
Sullivan, Gail M. y Artino, Anthony R. (2013). Analysing and Interpreting Data From Likert – Type Scales. Journal of Graduate Medical Education, 5(4), Polonia. (Pp. 541–542). https://doi.org/10.4300/JGME-5-4-18
Taylor, Sherrill y Newcomer, Julia (2005). Characteristics of women small business owners. International Handbook of Women and Small Business Entrepreneurship, 17(31). USA. (Pp. 17-43)
Wieland, Alice M; Kemmelmeier, Markus; Gupta, Vishal K. y McKelvey, William (2019). Gendered cognitions: a socio-cognitive model of how gender affects entrepreneurial preferences. Entrepreneurship & Regional Development, 31(3-4), Reino Unido. (Pp. 178-197). https://doi.org/10.1080/08985626.2018.1551787
Wilson, Fiona; Kickul, Jill y Marlino, Deborah (2007). Gender, entrepreneurial self–efficacy, and entrepreneurial career intentions: Implications for entrepreneurship education. Entrepreneurship theory and practice, 31(3), USA. (Pp. 387-406). https://doi.org/10.1111/j.1540-6520.2007.00179.x
Información adicional
Como citar:: Alvarado-Carrillo, Araceli; Valdivia-Velasco, Magali; De la Torre Gutiérrez, Héctor; Araiza Lozano, Miguel Ángel. (2022). Estudio de género sobre la intención emprendedora en la universidad tecnológica El Retoño, México. Telos: Revista de Estudios Interdisciplinarios en Ciencias Sociales, 24 (3), Venezuela. (Pp. 749-769)