OTROS TEMAS
Crecimiento municipal en Colombia: el papel de las externalidades espaciales, el capital humano y el capital físico1
Growth in Colombian Municipalities: The Role of Spatial Externalities, the Human Capital and Physical Capital
O crescimento Municipal na Colômbia: o papel das externalidades espaciais, capital humano e capital físico
Crecimiento municipal en Colombia: el papel de las externalidades espaciales, el capital humano y el capital físico1
Sociedad y economía, núm. 31, 2016
Universidad del Valle
Recepción: 25 Febrero 2016
Aprobación: 06 Mayo 2016
Resumen: En el presente trabajo se realiza un análisis del crecimiento económico municipal en Colombia, en el período 1993-2012. El objetivo es evaluar la existencia de convergencia teniendo en cuenta las externalidades del capital humano y el capital físico. Siguiendo el análisis propuesto por Mankiw, Romer y Weil (1992), se estiman las ecuaciones de convergencia aumentadas con capital humano. Se sigue la propuesta de Ertur y Koch (2006, 2007), quienes incluyen las externalidades tecnológicas en el análisis del modelo que considera solamente el capital físico (Solow 1956), y en el modelo aumentado con el capital humano. Los resultados indican que cuando no se tienen en cuenta los efectos de los spillovers, existe evidencia de convergencia. Esta, sin embargo, desaparece cuando dichos efectos son añadidos al modelo.
Palabras clave: crecimiento económico, convergencia, externalidades espaciales.
Abstract: In this paper we analyse economic growth in Colombian municipalities during the period 1993-2012. The aim is to evaluate the existence of convergence taking into account the externalities of physical and human capital. According to Mankiw Romer & Weil (1992), we estimate convergence equations that are augmented with human capital. We follow the methodology proposed by Ertur and Koch (2006, 2007), who include technological externalities in the analysis of the model which solely considers physical capital (Solow 1956), and the augmented model with human capital. The results show that when spillovers are not taken into account, there is evidence of convergence; however such evidence disappears when these effects are added to the model.
Keywords: economic growth, convergence, spatial externalities.
Resumo: Neste trabalho se faz uma análise do crescimento econômico municipal na Colômbia, no período 1993-2012. O objetivo é avaliar a existência de convergência considerando as externalidades do capital humano e capital físico. Seguindo a análise proposta por Mankiw, Romer e Weil (1992), são estimadas as equações de convergência aumentada com o capital humano. Também se incorpora a proposta de Ertur e Koch (2006, 2007), que inclui externalidades tecnológicas no modelo de análise, considerando somente o capital físico (Solow 1956), e o modelo ampliado com capital humano. Os resultados indicam que quando não se tem em consideração o efeito de spillovers existe evidência de convergência. Isto, no entanto, desaparece quando estes efeitos são adicionados ao modelo.
Palavras-chave: crescimento econômico, convergência, externalidades espaciais.
1. Introducción
Colombia es un país que presenta altos índices de desigualdad económica en el contexto internacional. En el 2012 el índice Gini fue aproximadamente de 0,54, situando a Colombia como uno de los países más desiguales del continente. Por otro lado, dentro del país se presentan marcadas diferencias económicas regionales, originadas en diferentes factores de tipo geográfico, económico e institucional (Bonet y Meisel 1999; Bonet y Meisel 2006; Galvis y Meisel 2012; Meisel 2014). Esta desigualdad regional se refleja en que más de una cuarta parte del PIB se produce en una única ciudad, la capital del país.
El modelo propuesto por Mankiw, Romer y Weil (1992) puede ayudar a entender la razón detrás de las diferencias regionales. En su estudio, se analiza el crecimiento de los países en función de su acumulación de capital humano y físico, y se encuentra que estas variables explican en gran medida las diferencias internacionales en la riqueza económica. En el presente trabajo seguiremos la línea propuesta inicialmente por los autores mencionados y tendremos en cuenta diferencias en el capital tanto humano como físico de los municipios colombianos, como posibles determinantes de su desempeño económico.
Además de los contrastes en la generación de valor agregado en el país, también se pueden notar patrones en su distribución espacial. Por ejemplo, existen zonas que son relativamente pobres, las cuales comparten iguales características en sus alrededores. Asimismo, las zonas prósperas presentan municipios ricos con vecinos en condiciones similares. Esto se puede ver mejor mediante la estimación del índice de Moran, estadístico que permite evaluar la presencia de autocorrelación espacial entre los municipios colombianos. Estrada y Moreno (2014) lo calculan al índice de pobreza multidimensional (IPM) observado en el censo del 2005, y encuentran un valor de 0,60 estadísticamente significativo. Esto implica que en Colombia hay una autocorrelación espacial positiva en la pobreza municipal. Teniendo esto en cuenta, el aspecto espacial puede ser un factor de relevancia en el estudio de la dinámica de generación de valor agregado en los municipios colombianos o en su crecimiento económico.
Este trabajo realiza un análisis del crecimiento económico municipal para el período 1993-2012, utilizando un enfoque espacial. Se estiman inicialmente las ecuaciones de convergencia aumentadas con capital humano y se llevan a cabo pruebas de autocorrelación espacial, para evaluar la presencia de efectos espaciales. Dado que este fenómeno puede afectar los resultados de las estimaciones, se incorporan dichos efectos en las ecuaciones de convergencia. Para ello se sigue la propuesta de Ertur y Koch (2006; 2007), quienes incluyen las externalidades tecnológicas en el análisis del modelo que considera solamente el capital físico (Solow 1956) y en el modelo aumentado con capital humano.
El presente documento avanza en aspectos como: la incorporación de efectos espaciales a la ecuación de convergencia; la inclusión de las externalidades del conocimiento a través de los spillovers y la interpretación de los resultados del modelo estructural empleando los efectos directos e indirectos, algo que ha sido ignorado regularmente en este tipo de modelos. La segunda sección contiene una revisión de la literatura referente a los aspectos espaciales y su relación con el crecimiento económico, así como algunos estudios aplicados para el caso colombiano. La tercera sección expone el marco teórico implementado,y la cuarta describe el conjunto de datos que se usaron en la aplicación empírica.La quinta sección muestra los resultados del modelo y la sexta termina con unasconclusiones generales.
2. Antecedentes
Existen diversos estudios que examinan la existencia de convergencia económica y social regional en el caso colombiano. El primer trabajo realizado en Colombia sobre esta temática fue el de Cárdenas, Pontón y Trujillo (1993). Mediante un análisis de regresión de corte transversal para los departamentos de Colombia, concluyen que entre 1950 y 1989 hubo un proceso de convergencia económica regional, con tasas de convergencia mucho más altas que las halladas en escenarios internacionales. Bonet y Meisel (1999) utilizan diversas medidas de dispersión y muestran que hubo convergencia económica entre 1926 y 1960. Sin embargo, esos resultados se revierten en el período 1960 a 1995.
Concentrándose en medidas de dispersión en vez de la ecuación de convergencia, en el ámbito empírico internacional el trabajo de Quah (1996; 1997) planteó que el test de convergencia derivado de la metodología propuesta por Barro et al. (1991) no representa una evaluación confiable de convergencia, en relación con la evolución de la distribución del ingreso en el tiempo.
Teniendo en cuenta lo anterior, Birchenall y Murcia (1997) realizan un análisis de Kernel a la distribución del ingreso per cápita departamental para el caso colombiano durante el periodo 1960-1994. Los autores concluyen que ha habido persistencia en las brechas de los niveles de ingreso per cápita departamentales durante el período de estudio; es decir, que la distribución del ingreso departamental se ha mantenido.
Bonet y Meisel (2006) emplean el mismo enfoque metodológico, pero esta vez usando los datos del ingreso per cápita en lugar del PIB, que es lo que tradicionalmente se había empleado en los ejercicios empíricos en Colombia, para el período 1975 2000. De acuerdo con los resultados de su trabajo, en vez de convergencia, lo que los autores encuentran es un proceso de polarización en el ingreso per cápita de los departamentos colombianos.
Utilizando datos del PIB departamental más recientes, González (2011) estima un modelo de regresión con datos panel siguiendo la metodología de Barro et al. (1991) para los departamentos colombianos durante el período 1975-2005. El autor encuentra que, si bien hay evidencia de convergencia económica condicional por departamento, las tasas de convergencia son mucho menores que las estimadas por los trabajos anteriores. Siguiendo a Quah (1996), observa la distribución del ingreso per cápita departamental y encuentra rasgos de persistencia y polarización interdepartamental a lo largo del período. Finalmente, concluye que en Colombia se está dando un proceso de convergencia entre grupos departamentales muy distintos entre sí. En otras palabras, el autor documenta la presencia de “clubes de convergencia” en las regiones del país.
La existencia de externalidades generadas por la acumulación de los factores productivos ha sido un tema poco estudiado para el caso colombiano. En particular, cabría esperar que este tipo de efectos generasen impactos espaciales, fenómeno que en la literatura económica se conoce como efecto de derrame o spillover.
En una comparación entre países que se enfoca en dichos efectos, Ramírez y Loboguerrero (2002) plantean un modelo teórico donde el nivel de producción de cada país en un momento determinado del tiempo depende de una variable que mide el desempeño económico de los países vecinos. Las autoras realizan la estimación de modelos de crecimiento y de niveles del ingreso encontrando una alta dependencia espacial en las ecuaciones de niveles del ingreso.
Siguiendo la línea propuesta por Lucas (1988), Gaviria (2005) plantea un modelo de crecimiento endógeno donde la acumulación de capital humano genera externalidades positivas en la economía, mediante su impacto sobre la productividad del capital físico. El autor encuentra que la elasticidad estimada del producto frente al capital humano no solamente es muy alta (frente a otros estudios donde la presencia de externalidades no se tiene en cuenta), sino que además se mantiene constante frente a cambios en las especificaciones del modelo. Los spillovers no son modelados a partir de efectos espaciales.
Ignorar la dependencia espacial en los ejercicios de convergencia puede generar diferencias en los resultados empíricos. Abreu, De Groot y Florax (2005) señalan que la mayoría de los estudios sobre crecimiento y convergencia se han enfocado básicamente en la estimación estándar de modelos de econometría espacial, sin tener en cuenta la teoría económica subyacente en la derivación de los modelos, o consideraciones de política económica. Colombia no ha sido la excepción. Específicamente, se ha dejado de lado el tratamiento de la existencia de dependencia espacial y sus efectos sobre las tendencias de convergencia de las unidades localizadas en el espacio. En la literatura especializada se ha documentado que esta omisión podría estar generando sesgo e ineficiencia en las estimaciones (Anselin and Bera 1998).
Sánchez y Núñez (2000) realizan un primer acercamiento en este sentido, al medir el impacto que tienen características geográficas como la calidad de los suelos o la distancia a los mercados domésticos sobre el nivel del ingreso municipal y su crecimiento. Encuentran que más de 30% de la variación tanto del ingreso per cápita municipal como de su crecimiento se puede explicar por características geográficas.
Royuela y García (2015) realizan un análisis espacial para los departamentos de Colombia durante el período entre 1975 y 2005. Los autores extrapolan el uso de la metodología para evaluar la convergencia en variables económicas al uso de variables sociales, tales como las tasas de alfabetismo, expectativa de vida y estadísticas de criminalidad como la tasa de homicidios. Sus resultados muestran que se puede hablar de convergencia en dichas variables sociales, pero no de convergencia económica, medida usando el PIB per cápita departamental.
En este trabajo se busca examinar si en Colombia, un país con marcadas diferencias inter e intradepartamentales, las características espaciales han sido determinantes en la existencia (o no) de convergencia en las tasas de crecimiento económico. Para ello se utiliza el modelo propuesto por Ertur y Koch (2006, 2007) donde la presencia de spillovers en la creación de tecnología genera un efecto de correlación espacial entre las observaciones. Es decir, que se consideran los efectos de derrame en el crecimiento de los vecinos y la interdependencia tecnológica tanto en la inversión en capital físico como en capital humano.
El marco teórico implementado por este documento se originó en aportes recientes de literatura internacional sobre crecimiento económico. Los aportes principales del trabajo inician por la aplicación de ese marco teórico, el cual permite llevar a cabo ejercicios novedosos para el caso colombiano, que pueden resumirse en: (1) se modela la existencia de spillovers en la generación de tecnología. Esta proviene de un modelo que se fundamenta en la teoría económica; (2) se evalúa la existencia de efectos espaciales, para luego integrarlos a la ecuación de regresión; (3) se estiman los efectos directos e indirectos en un modelo de regresión no lineal, lo cual permite interpretar correctamente el significado de los impactos; y (4) se estudia el crecimiento económico de los municipios, realizando un análisis más exhaustivo de la existencia de efectos espaciales en un país con marcadas diferencias regionales.
3. Marco teórico y metodológico
La existencia de efectos de “derrame” o spillovers en la acumulación de los factores, en particular en la formación del capital humano, ha sido documentada en la literatura internacional como una de las posibles fuentes de crecimiento económico (Galvis and Meisel 2013). El primero en proponer este tipo de efectos fue Romer (1986), quien argumentó que cada empresa, al tomar la decisión de invertir en capital físico, genera una serie de conocimientos técnicos que las demás empresas pueden aprovechar en su proceso de producción. Sin embargo, la especificación que utiliza Romer (1986) implicaba una tasa de crecimiento con efectos de escala, característica que no se encuentra sustentada por la literatura empírica.
El modelo del que parte este trabajo, siguiendo a Ertur y Koch (2006; 2007), tiene en cuenta una función de producción Cobb-Douglas con rendimientos constantes a escala:

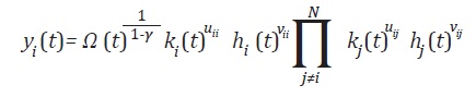
Donde Yi(t) corresponde al producto de la unidad i en el tiempo t, Ki (t) es el capital físico, Hi (t) el capital humano, Li (t) es el nivel de empleo y Ai (t) es el parámetro tecnológico, que sigue la forma funcional:

Se asume que un componente del progreso tecnológico es exógeno (Solow 1956) tal que Ω(t)=Ω(0) eμt, siendo μ su tasa de crecimiento. El término ki indica que la tecnología se incrementa con la acumulación de capital físico por trabajador con ki (t)=Ki (t)/Li(t). Este último término involucra externalidades del conocimiento (Romer 1986), ya que la inversión en capital físico incrementa el stock tecnológico, pero además la tecnología de las unidades cercanas. También se incorpora el nivel de capital humano por trabajador hi (t)=Hi (t)/Li (t), como un factor que incrementa la tecnología, teniendo en cuenta la propuesta de Lucas (1988) en relación con las externalidades del capital humano. Los parámetros ΦK y ϕH representan las participaciones de los factores en la función de producción de tecnología municipal. Cabe puntualizar que estos aparecen también dentro del término Aj , lo cual genera la externalidad.
La variable wij captura la relación de cercanía o vecindad entre las observaciones. Por esta razón, el parámetro γ indica el grado de importancia de la interdependencia tecnológica en el espacio; es decir, representa la elasticidad de la tecnología local frente a las tecnologías de los municipios vecinos. El concepto de vecindad se formaliza a través de la matriz de pesos espaciales W, cuyas filas se encuentran normalizadas y para la cual cada término wij viene dado por:


Expresando la ecuación (1) en términos de producto por trabajador y reemplazando la expresión del componente tecnológico se obtiene el ingreso per cápita en función de los factores de producción y las externalidades del capital (para mayor detalle ver Ertur y Koch 2006; 2007):


Los componentes wij (r) representan el elemento de la fila i y la columna j de la matriz de pesos elevada a la potencia r. Esto permite capturar los efectos sobre el nivel de ingreso de la inversión en capital humano y capital físico de los vecinos de cada municipio.
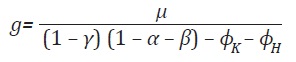
En el modelo también se supone, siguiendo la tradición de Mankiw, Romer y Weil (1992), que el capital se deprecia a una tasa constante δ, y que el crecimiento poblacional es exógeno, dado por ni. Estos parámetros entran en las ecuaciones de la dinámica de crecimiento del capital físico y humano per cápita:


Donde sH y sK son la proporción del producto invertido en capital humano y físico, respectivamente. El crecimiento de estos factores es el mismo en el estado estacionario y viene dado por g:

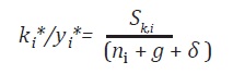
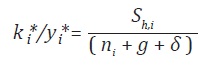
En estado estacionario también se cumple que las relaciones entre capital físico y producto, y entre capital humano y producto son constantes. Estas se representan por:


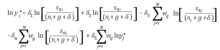
Reemplazando las ecuaciones 9 y 10 en la ecuación 5, se obtiene el ingreso por trabajador en el estado estacionario:

Donde los coeficientes δi representan:

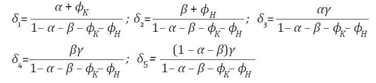
Ertur y Koch (2006) muestran que la especificación para la ecuación de convergencia a estimar es la siguiente:

De acuerdo con la especificación obtenida en la ecuación de crecimiento económico, esta se refiere a un modelo tipo Durbin espacial (SDM). La especificación general es:

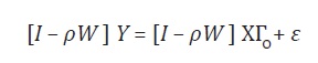
Esta formulación puede ser derivada de un modelo con efectos espaciales en el término de error (SEM). Ello es posible cuando se cumple la hipótesis del “factor común” (common factor hypothesis, en el sentido de Burridge (1981)). Esta hipótesis es simplemente H0: Γ1=-ρΓ0. Siguiendo a Anselin y Rey (1991, 117) se puede mostrar que si se cumple esta restricción, la ecuación 13 puede ser reescrita como:

Reorganizando los términos empleando el factor común:

Premultiplicando por [I – ρW]-1, se obtiene:

Esta nueva especificación es la forma general de un SEM, con efectos espaciales en el término de error y sin efectos globales que representen externalidades sobre la variable dependiente, como sí los captura el SDM.
Es posible mostrar que la hipótesis del factor común es equivalente a una prueba conjunta en la cual los parámetros ϕk y ϕh son iguales a cero (Ertur and Koch 2006). Ello implicaría que las elasticidades del componente tecnológico a los factores capital físico y capital humano son iguales a cero. Por esta razón, la distinción entre un modelo SEM y un SDM es importante para evaluar si esos factores son significativos en el componente tecnológico (ecuación 2).
4. Datos
La base de datos empleada para la realización de este trabajo es de tipo corte transversal y fue creada tomando información de diferentes fuentes. En muchos casos se utilizó como referencia lo realizado por los estudios de Sánchez y Núñez (2000) y Galvis y Meisel (2001), debido a la naturaleza desagregada del estudio y a las similitudes entre los temas a trabajar. El cuadro 1 compara las variables de ingresos, capital humano y capital físico utilizados por los anteriores estudios en el ámbito municipal en Colombia.
| Estudio | Ingreso | Capital humano | Capital físico | Geográficas |
| Sánchez | Estimación | Coberturas primaria | Proporción de | Densidad de ríos |
| y Núñez | de PIB con la | y secundaria, | hogares con | y vías, calidad |
| (2000) | participación tributaria del municipio (ICA y predial) | porcentaje fuerza laboral universitaria, promedio de los años de escolaridad, índices de pobreza y miseria. | electricidad, índice de calidad y disponibilidad de vías. | de la tierra, disponibilidad de agua, pendiente del terreno y vías. |
| Galvis y | Depósitos | Cobertura secundaria, | Porcentaje | Precipitación, |
| Meisel | bancarios per | porcentaje de | hogares con | altitud, distancia a |
| (2001) | cápita reales | universitarios, promedio ICFES | servicios públicos, líneas teléfono por mil habitantes | Bogotá, región. |
Comparación de las variables usadas en estudios municipales de crecimiento económico
Fuente: elaboración de los autores.En este trabajo se realiza una estimación del PIB municipal utilizando la información recopilada por las ejecuciones presupuestales municipales, en particular de los años 1993 y 2012. Estos archivos se encuentran publicados en la página del Departamento Nacional de Planeación (DNP) y se puede obtener información desde 1984 hasta el presente. Se calculó la participación de cada municipio en el recaudo tributario dentro de su departamento para ambos años, y estos porcentajes se multiplicaron por el PIB de su respectivo departamento (a precios constantes del 2005). Es decir, se distribuye el PIB departamental dentro de cada uno de sus municipios de acuerdo a su respectiva participación en el recaudo tributario departamental. Los cálculos obtenidos con esta metodología arrojan resultados similares a los que entrega el DANE en el cálculo de su indicador de importancia municipal para 2012 (anexo 1).
La literatura empírica ha empleado diversas variables como medidas del capital físico. Sin embargo, las opciones disponibles se reducen para estudios con unidades de estudio más desagregadas más aún en el caso de países en desarrollo con limitada generación de estadísticas regionales. Para el caso colombiano, muy pocos trabajos han analizado las dinámicas que existen por municipios.
Para medir el capital físico en cada municipio, el presente estudio emplea tres variables (cuadro 2). La primera es la densidad de líneas telefónicas por cada 100 habitantes en 1997, información publicada por la División de Telecomunicaciones e Informática del DNP. La segunda es el porcentaje de viviendas con acceso a los servicios públicos básicos (electricidad, acueducto y alcantarillado), también conocido como el Equipamiento Urbano, obtenida del censo realizado en 1993. Y la tercera es un indicador construido por los autores que pondera para 1995 la cantidad de kilómetros de carreteras por habitante y kilómetro cuadrado de extensión municipal. Para este fin se consiguieron cinco medidas de infraestructura vial municipal: la cantidad de kilómetros de carreteras principales pavimentadas y no pavimentadas, carreteras secundarias pavimentadas y sin pavimentar, y las vías terciarias o también llamadas carreteables (anexo 2).

Estadísticas descriptivas de las variables municipale
Fuente: Cálculos de los autores.Por otro lado, la medición del capital humano municipal en Colombia ha tenido distintos enfoques. Sánchez y Núñez (2000) utilizan la tasa de cobertura en educación primaria y secundaria, mientras que Galvis y Meisel (2001) emplean el porcentaje de la población con estudios universitarios del mismo año. Teniendo esto en cuenta, se obtuvieron las proporciones de la población de cada municipio con educación primaria completa, secundaria completa y con educación superior, utilizando la información recopilada por el censo de 1993, el año inicial del estudio.
Para la estimación del modelo se decidió emplear el método de análisis factorial, y sintetizar el comportamiento del capital humano por un lado y del capital físico por el otro. De esta manera, cada una de las variables factor construida resumirá el comportamiento de sus respectivas variables de capital. Este método produce una nueva variable de capital, mediante una combinación lineal del grupo de variables seleccionadas, tanto para el capital humano como para el físico. Esto se hace de tal forma que la nueva variable o factor recoja la mayor parte de la información del conjunto original o, en otras palabras, que se mantenga la máxima variación estadística posible4.
La última variable a calcular corresponde a la tasa de crecimiento de la población municipal entre 1993 y 2012. Esto se realizó utilizando en cada municipio la población en edad de trabajar (PET) de los archivos de proyecciones poblacionales del DANE.
Para la construcción de la matriz de pesos se tuvieron en cuenta varias alternativas, como la contigüidad o las distancias. En algunos casos como los de contigüidad, las pruebas sobre las restricciones teóricas no se cumplen, por lo que se ignoraron los resultados obtenidos a partir de esta especificación de la matriz W. La matriz construida a partir de distancias entre las unidades geográficas da mayor ponderación a las que están ubicados sobre las cordilleras, ya que hay mayor densidad de municipios alrededor de estas. Las zonas en los departamentos de la zona oriental o en la Costa Caribe tienen menor densidad de municipios por área, con lo cual tienen menor ponderación en los resultados de los análisis espaciales.
La literatura empírica del tema ha utilizado muchas definiciones de “vecindad”, que se dividen en dos grupos. Hay conceptos de vecindad que son discretos, entre los cuales se encuentran los de contigüidad espacial, como por ejemplo compartir una parte de sus fronteras. Pero también hay definiciones de vecindad “continua”, como por ejemplo los modelos gravitacionales donde la vecindad se mide inversamente proporcional a la distancia entre municipios. Ya que lo ideal es que las observaciones tengan igual preponderancia, se decidió emplear una matriz de pesos basada en los vecinos más cercanos, también conocida como KNN. Los estudios que han empleado esta metodología varían en cuanto a la proporción del número de observaciones que suelen utilizarse como vecinos5. Para el presente trabajo, se decidió utilizar el número de municipios promedio por departamento en Colombia, que son 35. Esto con el fin de que se capture el alcance de las externalidades espaciales que se dan incluso en una escala departamental. En términos absolutos es un número un poco elevado en comparación con otros estudios; sin embargo, en términos relativos (porcentaje de vecinos como proporción del número de observaciones) es un valor intermedio al implementado en la literatura.
Las estadísticas descriptivas de todas las variables municipales recopiladas se presentan en el cuadro 2. La base de datos final cuenta con 893 municipios de un total de 1123; el resto de los municipios no presentaban información de carreteras o líneas de teléfono, o de la variable dependiente, por lo que terminaron siendo filtrados de la muestra.
5. Estimación del modelo
En esta sección se realiza la estimación de los modelos tipo Solow de convergencia no condicionada y de convergencia condicionada de acuerdo con Mankiw, Romer y Weil (1992). Luego se evalúa la presencia de efectos espaciales y se estiman modelos que incluyan dichos efectos. Posteriormente se calcula un modelo para el nivel de ingreso, el cual permite derivar los parámetros estructurales del sistema. Finalmente, se utiliza el modelo de ingresos municipales para calcular los parámetros estructurales del modelo, siguiendo la propuesta de Ertur y Koch (2007).
5.1 Crecimiento económico y convergencia por municipios
En la primera columna del cuadro 3 se presentan los resultados de la regresión entre el crecimiento económico del período y el logaritmo natural del ingreso inicial en 1993. El coeficiente que acompaña al ingreso inicial es negativo y significativo, por lo que se concluye que hay evidencia de convergencia no condicionada en Colombia a escala municipal. Esto significa que en los 20 años de duración del estudio los municipios más pobres crecieron en promedio más rápido que los más prósperos, independientemente de sus condiciones particulares. Se estima una velocidad de convergencia λ cercana a 2%, lo que implicaría una vida media (el tiempo que le tomaría a los municipios cerrar la mitad de la brecha frente al estado estacionario) de más de 30 años.

Regresiones de convergencia económica sin efectos espaciales
Fuente: Cálculos de los autoresSin embargo, la teoría económica ha mostrado que el estado estacionario de las observaciones depende de características particulares a estos, como sus tasas de ahorro. Esto se conoce en la literatura como la hipótesis de convergencia condicional. Se realiza la estimación de dicho modelo, también conocido como el modelo “Solow de libro de texto” de convergencia (Mankiw, Romer and Weil 1992). Los resultados se presentan en la segunda columna del cuadro 3.
De acuerdo con la formulación teórica del modelo de Mankiw, Romer y Weil (1992), una vez se encuentra la especificación del modelo reducido se debe evaluar si la suma de los coeficientes que acompañan las variables de capital y la tasa de crecimiento de la población es igual a cero. En términos empíricos dicha condición se conoce como la restricción de sobreidentificación. Dinopoulos y Thompson muestran que cuando no se cumple dicha restricción, los parámetros estructurales del modelo se deben calcular con base en la versión no restringida, la cual produce dos pares de valores para alfa y beta que son inconsistentes (2002, 255). Por lo anterior, en este ejercicio se presenta en primer lugar el modelo no restringido y luego el modelo con la restricción teórica sobre los coeficientes, ubicado en la tercera columna del cuadro 3, para evaluar si los datos empleados respaldan la hipótesis sobre dicha restricción o no. El método usado para realizar esta evaluación emplea el cálculo del estadístico F de Wald. Se encuentra que como sucede en la literatura empírica, no se rechaza la hipótesis nula; esto es, la restricción teórica se mantiene.
Los resultados de los modelos condicionados muestran evidencia de convergencia, ya que el coeficiente del ingreso inicial es negativo y estadísticamente significativo al 1% en ambos modelos. Estos resultados parecen mostrar evidencia estadística de que en Colombia los municipios más pobres en 1993 crecieron a un ritmo más acelerado. Los efectos del capital físico y del capital humano tienen los signos esperados, pero no son significativos. La tasa de crecimiento de la población es significativa al 10% y aparece con el signo esperado.
El presente trabajo parte de que estos modelos de regresión pueden presentar problemas de especificación debido a la omisión de variables independientes, que relacionan espacialmente a las observaciones. Para evaluar la existencia de autocorrelación espacial en el término del error, se calcula el estadístico I de Moran a los residuos de la ecuación de Solow, en su versión para los residuos del modelo de regresión, según se muestra en el cuadro 3. La hipótesis nula en este caso es que no existe autocorrelación espacial en los residuos. La probabilidad del estadístico de Moran muestra que se rechaza la hipótesis nula y se concluye que existe autocorrelación espacial en los residuos. Vale la pena anotar que con el estadístico de Moran la hipótesis alternativa corresponde a la existencia de correlación espacial, pero dicha correlación puede ser derivada de un proceso SDM cuando hay externalidades espaciales globales, o de un proceso tipo SEM cuando solo hay efectos locales. En este último la dependencia espacial se modela a través de un proceso autorregresivo en el término del error.
El principal planteamiento del modelo teórico propuesto por Ertur y Koch (2007) es la existencia de dependencia espacial en la tecnología municipal, originada por las externalidades del capital físico y humano. Con el fin de probar la presencia de externalidades en la generación de tecnología, se sigue la metodología implementada por estos autores y se estiman los modelos tipo SDM y SEM (cuadro 4).

Estimación por MV de SDM
Fuente: Cálculos de los autores.Esta última especificación es una versión restringida del modelo SDM, según se demuestra en LeSage y Pace (2009), donde se impone la restricción de que los factores de producción de una unidad productiva no tienen influencia alguna en las observaciones vecinas. Esta restricción se evalúa probando la hipótesis nula que H0: Γ1=-ρΓ0 en la ecuación 13, lo cual se lleva a cabo mediante una prueba de razón de verosimilitudes. Por otro lado, ambas versiones (SDM y SEM) se estiman inicialmente con la restricción de sobreidentificación. A continuación, se presenta la estimación de los modelos SDM no restringido y SDM restringido, realizada con el método de máxima verosimilitud (MV).
De las estimaciones presentadas en el cuadro 4 se pueden resaltar, en primer lugar, que todos los coeficientes (con excepción del rezago espacial de la tasa de crecimiento poblacional en el modelo no restringido) tienen signos esperados. Adicionalmente, los rezagos espaciales de las variables independientes explican de manera significativa el crecimiento económico, lo cual representa un primer indicio de la dependencia, que se manifiesta a través de la presencia de spillovers espaciales.
Otros aspectos relevantes son que el coeficiente de autocorrelación espacial ρ (el coeficiente que acompaña el rezago de la variable dependiente) es positivo y significativo en ambas especificaciones del modelo, lo cual muestra de manera más contundente la presencia de relaciones espaciales. Finalmente, se puede observar que el coeficiente de la variable de ingreso inicial, ln(y1993), es negativo en ambas estimaciones, aunque no significativo en el modelo no restringido. Sin embargo, su rezago espacial sí es significativo y con signo positivo en ambos modelos. Por último, se calcula el estadístico de razón de verosimilitudes y se encuentra que se rechaza la hipótesis nula al 5%. Esto significa que la restricción teórica de sobreidentificación de los coeficientes no se cumple, al contrario de lo encontrado en la literatura empírica de crecimiento.
A continuación se realiza la estimación del modelo en su versión SEM, donde la dependencia espacial se incorpora mediante el rezago del error (We), en lugar de la variable dependiente. Las estimaciones con y sin la restricción teórica se resumen en el cuadro 5

Estimación por MV de SEM
Fuente: Cálculos de los autoresEl modelo SEM no contempla la posibilidad de que el crecimiento de los municipios sea influenciado por las variables del modelo rezagadas en el espacio (los “efectos vecindad”). En esta especificación los efectos espaciales se dan por medio del término de error, mediante un proceso espacial autorregresivo. Por esta razón, se comparan las versiones SDM y SEM mediante el estadístico de razón de verosimilitudes, para así conocer la naturaleza espacial observada en los datos. Como el modelo SEM representa una versión restringida del modelo SDM y en ambos casos se puede observar que la restricción se rechaza al 1%, se puede concluir que los procesos de crecimiento económico municipales dependen significativamente de las condiciones de sus vecinos.
Sin embargo, el algoritmo para la estimación del modelo SDM presenta algunos problemas. Para obtener las varianzas de los coeficientes se debe realizar el cálculo de la matriz hessiana, procedimiento que se realiza mediante aproximaciones numéricas debido al número de observaciones de la muestra. Como resultado de este procedimiento se obtuvo una matriz cuya diagonal contiene algunos elementos negativos. Esto significa que existirían varianzas negativas, por lo que podrían existir inexactitudes en la inferencia estadística realizada sobre los coeficientes del modelo.
Para evitar llevar a cabo la inferencia de manera errónea se usó un procedimiento de estimación alternativo basado en métodos bayesianos. Se emplea el método de Monte Carlo por cadenas de Markov (MCMC)6, como es sugerido por LeSage y Pace (2009). Esta metodología tiene la ventaja de no depender del cálculo de la matriz hessiana para realizar las pruebas de significancia sobre los coeficientes. Otra ventaja derivada de la estimación bayesiana MCMC es la corrección de los efectos generados por problemas asociados a la presencia de outliers en la muestra de los datos y de heterocedasticidad. La estimación se realiza definiendo un prior que considere la posible existencia de heterocedasticidad. Los resultados de la estimación del modelo SDM se muestran en el cuadro 6.

Estimaciones mediante método bayesiano MCMC
Fuente: Cálculos de los autores.Con esta nueva aproximación ya no es posible utilizar razones de verosimilitud para comparar los diferentes modelos. El estadístico utilizado para este fin es la probabilidad posterior del modelo (PMP)7. Dicho estadístico representa el soporte que dan los datos a alguno de los modelos evaluados. Se calcula usando la regla de Bayes, donde PMP es igual al prior del modelo, p(M), multiplicado por la probabilidad de los datos dado el modelo, p(y|M). De esta manera se selecciona el modelo con el que se maximice la PMP (Koop, Poirier, and Tobias 2007).
Esta prueba se realiza a las estimaciones por MCMC para evaluar la validez de la restricción teórica y se encuentra que se mantiene (estadístico PMP1 del cuadro 6). Por otro lado, nuevamente se evalúa la existencia de externalidades globales en el proceso de crecimiento económico municipal. Esto se hace comparando los modelos SDM con sus respectivas versiones SEM mediante estadísticos de PMP, y se halla que las versiones SDM prevalecen (estadísticos PMP2 y PMP3 del cuadro 6). Por lo tanto, los rezagos espaciales de las variables del modelo (PIB inicial, capital físico, capital humano y tasa de crecimiento) contribuyen a explicar de manera conjunta parte del crecimiento económico municipal en Colombia.
Nótese que las conclusiones derivadas de la estimación bayesiana no difieren de la realizada por MV. La variable de ingreso inicial mantiene su significancia en el restringido y pasa a ser significativa en el no restringido. En ambos casos mantiene su signo negativo. Por otro lado, las variables de capital físico y humano son significativas y con signo positivo, como se esperaba. Sus rezagos espaciales son negativos y difieren en su significancia. Por último, se resalta la consistencia en la estimación del coeficiente que acompaña el rezago espacial de la variable dependiente. En ambas estimaciones y para las dos versiones del modelo aparece significativo y cercano a un valor de 0,7. Este resultado indica que el crecimiento de un municipio está altamente correlacionado con el crecimiento de sus vecinos.
La velocidad de convergencia estimada del modelo es cercana al 4%, lo cual representa un valor muy elevado en comparación con las estimaciones de la literatura internacional. Sin embargo, Islam (1995) encuentra velocidades de convergencia elevadas internacionales: entre 5% y 10%. El autor explica que los trabajos anteriores tenían un problema de variable omitida, la cual al correlacionarse con el nivel de ingreso inicial de manera positiva generaba un sesgo de su respectivo coeficiente hacia arriba. Este sesgo era el que generaba las velocidades de convergencia tan bajas en los trabajos de Mankiw, Romer y Weil (1992) y Barro et al. (1991).
Para el estudio de la convergencia en Colombia ha sucedido algo similar, ya que existe una correlación positiva entre el nivel de ingreso inicial de un municipio y el de sus vecinos: municipios más cercanos tienden a tener ingresos similares. Al incluir su rezago espacial, el coeficiente del ingreso inicial reduce su sesgo hacia arriba, lo que genera una estimación de λ más elevada. Esto podría explicar el cambio en λ de 2% en el modelo de Solow a 3,6% en el modelo con rezagos.
Sin embargo, se considera que el análisis de convergencia en este modelo no debe estar centrado en su velocidad, ya que la estimación del parámetro λ solo depende del coeficiente del ingreso inicial, mas no de su rezago espacial. De esta manera, se estaría ignorando el efecto espacial que genera la existencia de externalidades en el modelo.
Por otro lado, interpretar los coeficientes de la regresión como los efectos de las variables sobre el crecimiento es un error. Esto debido a la no linealidad de los parámetros, ya que la variable dependiente aparece rezagada en el modelo y el modelo reducido estaría premultiplicado por (I-ρW)-1.
Para poder interpretar el efecto que tiene el ingreso inicial sobre el crecimiento municipal de manera apropiada, se examina lo que en la literatura se conoce como los efectos directos, indirectos y totales (LeSage and Pace 2009), que no solo consideran los impactos de un aumento en una variable sobre una determinada observación i (un dato en el espacio), sino de los efectos que se obtienen como resultado de la retroalimentación espacial o feedback. Específicamente, si los vecinos j reciben impactos provenientes de i, estos también causarán efectos sobre i de manera recursiva, los cuales se resumen en el efecto indirecto.
Para estimar la velocidad de convergencia se deberían tener en cuenta los dos componentes; uno que la favorece (directo) y otro que, a la manera de las fuerzas centrífugas, la repele (indirecto). En otras palabras, el carácter espacial del estudio genera dos fuerzas que afectan el crecimiento económico de cada municipio. La primera de estas es el efecto directo, que representa el impacto del ingreso inicial de la misma observación. Y la segunda es el efecto indirecto, que es el efecto del ingreso de los vecinos. Es por esta razón que no tiene mucho sentido el análisis de la velocidad de convergencia capturado por el parámetro λ, ya que ignora los efectos indirectos. Esta omisión es señalada por Ertur y Koch (2006; 2007), quienes calcularon esos indicadores directamente de los parámetros del modelo.
A continuación se calculan los efectos directos, indirectos y totales del ingreso inicial sobre la tasa de crecimiento en el modelo SDM restringido y se presentan en el cuadro 7. En este caso la significancia estadística de los efectos se evalúa mediante la construcción del “intervalo creíble” de los coeficientes estimados8. Utilizando un intervalo al 10% se concluiría que la variable ingreso inicial Ln(y1993) es significativa si el cero no se encuentra contenido entre el percentil 5 y el percentil 95.

Efectos directos, indirectos y totales del ingreso inicial
Fuente: Cálculos de los autores.En el cuadro 7 se puede observar que el efecto directo es negativo y significativo, ya que el intervalo dado por los percentiles 1 y 99 no incluyen al cero. El signo negativo, además, indica que municipios con menores ingresos han tenido mayores tasas de crecimiento que los más prósperos. Por otro lado, el efecto indirecto aparece con signo positivo y significativo al 10%, lo que significa que los ingresos del vecindario afectan positivamente el crecimiento económico de los municipios. El cambio de signos se debe a que en este efecto se concentran las interacciones espaciales, presentes en el proceso de creación de tecnología, donde las externalidades de los factores de producción generan un efecto de “derrame”. El hecho de que este último efecto sea positivo y significativo revela una segunda fuerza en el proceso de convergencia, opuesta a la generada por el efecto directo, que generalmente ha sido ignorada en la literatura empírica colombiana. Si se es más estricto en la inferencia y se consideran los percentiles 1 y 99, se tendría que los resultados apuntan a la existencia de convergencia, de acuerdo al efecto directo, pero que no existe convergencia, según el efecto indirecto. En el efecto total tampoco se respaldaría la hipótesis de la convergencia.
Vale la pena anotar que al estimar e interpretar únicamente los efectos directos, algunos estudios anteriores han llegado a la conclusión de que en Colombia hay evidencia de convergencia económica. En este estudio se encuentra que, dado el comportamiento espacial que se observa en la distribución de la riqueza en el país, tiene importancia la posición geográfica de las observaciones.
La suma de estas dos fuerzas representará el efecto total del ingreso inicial sobre las tasas de crecimiento municipal. Se encuentra que, en el balance, el efecto indirecto prevalece sobre el directo y, con ello, el efecto total no resulta significativo, ya que hay cambios de signo en los valores que toman los coeficientes, lo cual implica que el intervalo contiene el cero. La evidencia señala que no se puede rechazar la hipótesis de no convergencia. Esto se puede ver en el cuadro 7, donde el efecto total presenta cambio de signo entre el percentil 5 y el percentil 95.
Los resultados encontrados están en línea con trabajos previos que no han documentado la existencia de un proceso de convergencia. Tal es el caso de Meisel (2014), Galvis y Meisel (2012) y Bonet y Meisel (2007). El hallazgo de convergencia condicional de González (2011) para los departamentos del país conduce a concluir la presencia de “clubes de convergencia”, lo cual implica que departamentos distintos convergen a puntos distintos. Al modelar las externalidades en el proceso de acumulación de los capitales, el presente documento incorpora los efectos de dependencia espacial entre los municipios colombianos y es precisamente este efecto el que termina incidiendo en un proceso de convergencia condicional no significativa entre las regiones del país.
Por último, uno de los principales aportes del presente trabajo es la aproximación municipal al estudio de convergencia económica regional. En la literatura empírica estudios similares han sido desarrollados en su mayoría utilizando un enfoque mucho más agregado: el departamental. Por este motivo y por razones de consistencia, se llevaron a cabo estimaciones para los departamentos9. Los resultados de este aparte son consistentes con los hallados para los municipios, donde se encuentra que no hay evidencia que sustente la hipótesis de convergencia económica regional. Con ello se puede concluir que en este caso la agregación espacial no determina las conclusiones del estudio.
5.2 Parámetros estructurales del modelo
En esta sección se estimará la ecuación 11, donde el ingreso municipal es una función de las variables de capital y crecimiento de la población. Esto se hace siguiendo la metodología de Ertur y Koch (2007), donde de esta ecuación se recuperan los parámetros estructurales del modelo presentes en las ecuaciones 1 y 2. Hay que anotar que la ecuación 11 representa un modelo en el cual la restricción de sobreidentificación está implícita, por lo que en este caso se estima la versión restringida del modelo y se comparan las alternativas con externalidades espaciales globales (SDM) y sin externalidades (SEM). Los resultados de la comparación de las alternativas [SDM; SEM] muestran que los datos dan mayor soporte a la escogencia del modelo SDM, pues las PMP correspondientes son [1; 0].
Los parámetros estructurales se obtienen de los coeficientes estimados para el modelo SDM restringido y la inferencia estadística se realiza a partir de la distribución del vector de parámetros que arroja el método bayesiano, el cual se realiza con 1000 iteraciones. Estas estimaciones se presentan en el cuadro 8.

Parámetros estructurales del modelo
De los resultados del cuadro 8 se resaltan tres aspectos. En primer lugar, la participación del capital físico en la función de producción (α) resulta no significativa. La del capital humano (β) aparece positiva y significativa en un nivel cercano al 22%. En términos relativos, hay indicios de que este último factor es el más importante en la generación de riqueza económica municipal. En segundo lugar, en la función de producción tecnológica, el factor que mayor importancia tiene es el capital físico. El parámetro del capital humano resulta ser no significativo, lo cual indica una mayor importancia del capital físico en la difusión de tecnologías a escala municipal (carreteras, puentes, inversión en infraestructura básica, entre otros). En tercer lugar, el parámetro que mide la sensibilidad espacial (γ) resulta positivo y significativo, lo cual indica una vez más la presencia de dependencia espacial entre los municipios colombianos. En este caso, γ refleja la sensibilidad que tiene el nivel de tecnología de un municipio frente al de su vecindario. El valor positivo indica que aumentos en los factores de sus vecinos van a desencadenar un aumento de la tecnología local.
Dados los resultados anteriores, es importante estudiar no solo los elementos propios de cada unidad espacial, sino los que provienen de los efectos de retroalimentación a través de externalidades espaciales. Los factores de producción como el capital físico y el capital humano, al igual que las externalidades derivadas de su interacción en el espacio, son elementos clave para entender la dinámica de crecimiento y de generación de ingreso en los municipios de Colombia.
6. Conclusiones
En este trabajo se estudió la hipótesis de convergencia, utilizando un enfoque caracterizado por la presencia de dependencia espacial. Se encuentra evidencia empírica que señala la existencia de dos efectos. Por un lado, municipios más pobres tienden a crecer más que los más prósperos (efecto directo). Pero por el otro, municipios en vecindarios más pobres crecen menos que sus contrapartes mejor ubicadas (efecto indirecto). Estas dos fuerzas terminan contrarrestándose mutuamente y se concluye que en Colombia en los últimos 20 años no ha habido un proceso de convergencia económica: municipios más pobres no han crecido más que los más prósperos. Esto sucede, en particular, debido a la distribución desigual de la riqueza a lo largo del territorio nacional. Los municipios menos aventajados tienden a estar rodeados de otros con características similares.
Un aporte importante del presente trabajo es analizar la presencia de dependencia espacial en la tecnología de los municipios. En otras palabras, la tecnología local genera un impacto en la tecnología del vecindario municipal. Esta dependencia se origina debido a la existencia de externalidades en el proceso de acumulación de los factores de producción. El diseño de políticas de desarrollo regional debe tener en cuenta la presencia de externalidades espaciales, debido a que las inversiones en capital humano y físico pueden generar efectos positivos no solo de forma directa en los municipios que las realizan, sino también en los municipios contiguos. Por esta razón es importante que los municipios con mayores recursos se den a la tarea de desarrollar proyectos que beneficien también a los territorios aledaños, y explotar así las externalidades espaciales de la generación de capital humano y físico.
La reflexión final apunta a resaltar el papel de la inversión en capital físico y capital humano como motores de crecimiento de los municipios en Colombia. En Colombia se ha tendido a privilegiar la inversión en capital físico, quizá porque estos proyectos son más “visibles” que las de capital humano, que dan sus frutos de manera más tangible en el largo plazo. En este documento se muestra que ambos factores son importantes para el crecimiento económico municipal, por lo cual se deben seguir fortaleciendo las políticas encaminadas a mejorar la infraestructura física municipal, así como las que propenden por una mejor inversión en capital humano, no solo en su cantidad, sino en su calidad. El estudio de las externalidades generadas por la calidad de la educación, así como el desarrollo de modelos heterogéneos en el espacio, hace parte de la literatura económica que falta desarrollar para el caso colombiano.
Referencias
Abreu, Maria, Henri De Groot, and Raymond Florax (2005), «Space and Growth: A Survey of Empirical Evidence and Methods». Région et Développement, n° 21: 12-43.
Afifi, Abdelmonem (2003), Virginia Clark, and Susanne May. Computer-Aided Multivariate Analysis. Boca Ratón: CRC Press.
Anselin, Luc, and Anil Bera (1998). «Spatial Dependence in Linear Regression Models with an Introduction to Spatial Econometrics». In Handbook of Applied Economic Statistics, edited by Aman Ullah, and David Giles, 237-290. New York: Marcel Dekker, Inc.
Anselin, Luc, and Serge Rey (1991). «Properties of Tests for Spatial Dependence in Linear Regression Models». Geographical Analysis, Vol. 23, n° 2: 112-131.
Barro, Robert, Xavier Sala-i-Martín, Olivier Blanchard, and Robert Hall (1991). «Convergence Across States and Regions». Brookings Papers on Economic Activity, Vol. 1991 n° 1: 107-182.
Birchenall, Javier y Guillermo Murcia (1997). «Convergencia regional: una revisión del caso colombiano». Desarrollo y sociedad, n° 40: 274-308
Bonet, Jaime y Adolfo Meisel (1999). «La convergencia regional en Colombia: una visión de largo plazo, 1926-1995». Documentos de trabajo sobre economía regional, n° 8: 50.
Bonet, Jaime y Adolfo Meisel (2006). «Polarización del ingreso per cápita departamental en Colombia, 1975-2000». Documentos de trabajo sobre economía regional, n° 76: 32.
Burridge, Peter (1981). «Testing for a Common Factor in a Spatial Autoregression Model». Environment and Planning A, Vol. 13, n° 7: 795-800.
Cárdenas, Mauricio, Adriana Pontón, y Juan Pablo Trujillo (1993). «Convergencia y migraciones interdepartamentales en Colombia: 1950-1983». Coyuntura económica, Vol. 23, n° 1: 111-137.
Dinopoulos, Elias, and Peter Thompson (2002). «Reassessing the Empirical Validity of the Human-Capital Augmented Neoclassical Growth Model». In Economic Evolution, Learning, and Complexity, edited by Uwe Cantner, Horst Hanusch, and Steven Klepper, 245-264. Heidelberg: Springer.
Ertur, Cem, and Wilfried Koch (2006). Convergence, Human Capital and International Spillovers. Dijon: Laboratoire d’Economie et de Gestion.
Ertur, Cem, and Wilfried Koch (2007). «Growth, Technological Interdependence and Spatial Externalities: Theory and Evidence». Journal of Applied Econometrics, Vol. 22, n° 6: 1033-1062.
Ertur, Cem, Julie Le Gallo, and James LeSage (2007). «Local versus Global Convergence in Europe: A Bayesian Spatial Econometric Approach». The Review of Regional Studies, Vol. 37, n° 1: 82-208.
Estrada, Laura y Sandra Moreno (2014). «Análisis espacial de la pobreza multidimensional en Colombia a partir del censo de población de 2005». Revista IB Departamento Administrativo Nacional de Estadística-DANE, Vol. 3, n° 1: 205-228.
Galvis, Luis y Adolfo Meisel (2001). «El crecimiento económico de las ciudades colombianas y sus determinantes, 1973-1998». Coyuntura Económica, Vol. 31, n° 1: 69-90.
Galvis, Luis y Adolfo Meisel (2012). «Convergencia y trampas espaciales de pobreza en Colombia: Evidencia reciente». Documentos de trabajo sobre economía regional, n° 177: 26.
Galvis, Luis, and Adolfo Meisel (2013). «Regional Inequalities and Regional Policies in Colombia: The Experience of the Last Two Decades». In Regional Problems and Policies in Latin America, edited by Juan Cuadrado, and Patricio Aroca, 197-223. Berlin: Springer.
Gaviria, Mario (2005). «Capital humano, externalidades y crecimiento económico en Colombia» Ensayos de economía, Vol. 15, n° 27: 25-74.
González, Nestor (2011). ¿Otra vez? Una sencilla visión de la convergencia económica en los departamentos de Colombia: 1975-2005, n° 384. Bogotá: Archivos de economía Departamento Nacional de Planeación.
Islam, Nazrul (1995). «Growth Empirics: A Panel Data Approach». The Quarterly Journal of Economics, n° 110: 1127-1170.
Koop, Gary, Dale Poirier, and Justin Tobias (2007). Bayesian Econometric Methods. Cambridge: University Press.
LeSage, James, and Robert Pace (2009). Introduction to Spatial Econometrics. Boca Ratón: CRC Press.
Lucas, Robert (1988). «On the Mechanics of Economic Development». Journal of Monetary Economics, Vol. 22, n° 1: 3-42.
Mankiw, Gregory, David Romer, and David Weil (1992). «A Contribution to the Empirics of Economic Growth». The Quarterly Journal of Economics, n° 3541: 407-437.
Meisel, Adolfo (2014). «No Reversal of Fortune in the Long Run: Geography and Spatial Persistence of Prosperity in Colombia, 1500-2005». Revista de Historia Económica/Journal of Iberian and Latin American Economic History (New Series), Vol. 32, n° 3: 411-428.
Quah, Danny (1996). «Twin Peaks: Growth and Convergence in Models of Distribution Dynamics». The Economic Journal, Vol. 106, n° 437: 1045-1055.
Quah, Danny (1997). «Empirics for Growth and Distribution: Stratification, Polarization, and Convergence Clubs». Journal of Economic Growth, Vol. 2, n° 1: 27-59.
Ramírez, María, and Ana Loboguerrero (2002). Spatial Dependence and Economic Growth: Evidence from a Panel of Countries. Borradores de Economía, Working Paper n° 206. Bogotá: Banco de la República.
Romer, Paul (1986). «Increasing Returns and Long-Run Growth». The Journal of Political Economy, Vol. 94, n° 5: 1002-1037.
Royuela, Vicente, and Gustavo García (2015). «Economic and Social Convergence in Colombia». Regional Studies, Vol. 49, n° 2: 219-239.
Sánchez, Fabio y Jairo Nuñez (2000). «La geografía y el desarrollo económico en Colombia: una aproximación municipal». Desarrollo y Sociedad, n° 46: 43-98.
Seya, Hajime, Morito Tsutsumi, and Yoshiki Yamagata (2012). «Income Convergence in Japan: A Bayesian Spatial Durbin Model Approach». Economic Modelling, Vol. 29, n° 1: 60-71.
Solow, Robert (1956). «A Contribution to the Theory of Economic Growth». The Quarterly Journal of Economics, Vol. 70, n° 1: 65-94
Anexo 1. Relación entre el ingreso obtenido imputando con ingresos corrientes y el que entrega el DANE
La metodología empleada en este documento para obtener una medida del PIB municipal es similar a la empleada por el DANE en el cálculo de su indicador de importancia municipal para el 2012. De hecho, calculando la correlación entre el PIB empleado en este documento y el que entrega el DANE, se encuentra que es muy significativa, como se presenta en el gráfico 1.

Correlación entre estimaciones del PIB municipal calculado por el DANE y el imputado con los ingresos tributarios, 2012
Fuente: Cálculos de los autores con base en DANE y DNP.Anexo 2. Estadísticas del indicador de carreteras por municipio (kilómetros)

Notas
Notas de autor