Artículos
Actitudes, hábitos y barreras en el consumo de bebidas empacadas en plásticos en Medellín: análisis mediante modelos multivariados
Attitudes, habits and barriers in the consumption of plastic-packaged beverages in Medellin: a multivariate analysis
Actitudes, hábitos y barreras en el consumo de bebidas empacadas en plásticos en Medellín: análisis mediante modelos multivariados
Sociedad y Economía, núm. 36, 2019
Facultad de Ciencias Sociales y Económicas- Universidad del Valle
Recepción: 14 Diciembre 2017
Aprobación: 26 Octubre 2018
Resumen : Las actitudes o intenciones frente al problema ambiental derivado del consumo no siempre son consistentes con los hábitos o comportamientos pro ambientales. En este trabajo se estima la relación causal entre las actitudes, las barreras y los hábitos de las personas que consumen productos empacados en plásticos (PET) en la ciudad de Medellín. Se estimaron modelos de regresión de Poisson y modelos de ecuaciones estructurales con base en la información capturada a una muestra de 300 consumidores. Dentro de los resultados se observa un comportamiento que evidencia falta de conciencia ambientalista, ya que se aumenta el consumo de envases plásticos en quienes afirman que la contaminación no afecta su vida personal. Por otro lado, a quienes les preocupa la contaminación, la elección de productos se condiciona por la diferencia en el precio. También, se evidencia desconocimiento de los encuestados sobre el tipo de envase más amigable con el medio ambiente.
Palabras clave: actitudes, hábitos, consumo responsable, empaques plásticos, modelos estadísticos multivariados.
Abstract : The habits or behaviors of consumption regarding the environmental problem caused by consumption are not always consistent with environmentalist attitudes. In this paper, the causal relationship between the attitudes, barriers and habits of consumers of PET products in the city of Medellin is estimated. The analysis was conducted using Poisson regression models and Structural Equation Modeling based on the information captured from a sample of 300 consumers. The findings indicate a lack of environmental awareness, since the consumption of PET products increases in people who claim that contamination does not affect their personal life. On the other hand, for those who are concerned about pollution, the choice of products is influenced by differences in the price. In addition to this, a lack of knowledge regarding which is the friendliest packaging to the environment was also evidenced.
Keywords: attitudes, habits, barriers, responsible consumption, PET products, multivariate statistics.
1.Introducción
Los productos plásticos tienen una diversidad de aplicaciones que van desde objetos de vestido, elementos de maquinarias e implementos médicos hasta el empaque de productos de consumo, principalmente para conservar los alimentos (Andrady & Neal, 2009; Thompson, Moore, vom Saal y Swan, 2009; Papong et al., 2014), como es el caso de los empaques en polietileno tereftalato o tereftalato de polietileno (PET), poliéster o dacrón, descubierto a principios de la década de 1940 y que, tras la Segunda Guerra Mundial, se convirtió en la fibra sintética más producida en el mundo (Andrady & Neal, 2009; Gleick, 2010). El PET entró al mercado de refrescos en 1977, y en 1990 se aumentó su uso cuando una firma multinacional introdujo el agua embotellada en este material (Gleick, 2010).
El empaque PET se ha encargado de sustituir en gran medida al vidrio y al metal (Andrady & Neal, 2009; Welle, 2011), creciendo su demanda a tasas del 15% anual (Frigione, 2010), configurando un crecimiento exponencial en los últimos sesenta años; efectivamente entre 1950 y 2009 se pasó de 0,5 a 260 millones de toneladas. A este alarmante crecimiento, se le suma que solo 14% de la producción de plástico para empacar es reciclado globalmente, además de que 30% nunca será reutilizado ( World Economic Forum & Ellen Mac Arthur Foundation, 2017). Gran cantidad de los desechos de PET permanecen sin usarse, y se convierten en los más abundantes residuos sólidos urbanos (Frigione, 2010). En su generalidad, las botellas de PET son 100% reciclables, pero el problema radica en que no están siendo efectivamente recicladas (Gleick, 2010).
Diversos autores han demostrado que la alta producción de alimentos trae consigo un aumento de residuos de empaques como botellas, láminas y cajas (Simon, Ben Amor & Földényi, 2016). Por ejemplo, una persona consume anualmente 85 litros de agua embotellada (Ferrier, 2001); y para producir 1 litro se requiere de 3 litros de agua común (Van der Linden, 2015), Así, el consumo de bebidas en botellas de PET trae consigo dos problemas complementarios: la acumulación de desechos y la presión sobre el recurso hídrico.
Frente a la acumulación de desechos, se ha generado una gran variedad de investigaciones internacionales, pero muy pocos han sido llevados a cabo en Latinoamérica y Colombia, donde no existen estadísticas sobre reciclaje, entre otras razones porque aún es una actividad del sector informal caracterizada por escasa tecnología, como es el caso de la incineración o transformación de residuos en materias primas para usos alternativos. La literatura académica que aborda los estudios aplicados sobre actitudes, hábitos, barreras, consumo responsable de las personas frente a la utilización de productos PET es incipiente y relativamente reciente. La revisión adelantada muestra que la mayor parte de la literatura se concentra en el producto final que se encuentra dentro del empaque, principalmente agua embotellada, más que en el uso que se hace del recipiente como tal (Gleick, 2010; Ferrier, 2001; Van der Linden, 2015).
Desde el punto de vista de estudios sobre los hábitos, actitudes y comportamientos hacia productos PET, la literatura se enfoca más hacia el consumo de empaques ecoamigables. Para el caso colombiano, Muñetón, Vanegas, Valencia y Restrepo (2017b) encuentran la existencia de una brecha cognitiva entre lo que el consumidor declara hacer frente a los productos PET y su comportamiento efectivo frente a estos. En otros trabajos documentados, se encuentra que existen relaciones positivas entre las creencias, las consecuencias y las actitudes para pagar más por los envases ecológicos, mediado por el nivel de conocimiento de la persona (Mishra, Jain & Motiani, 2017). A estos elementos, se le suman las normas personales y la preocupación ambiental (Prakash & Pathak, 2017); lo cual va en la línea de lo expresado por Van der Linden (2015), donde se señala que la provisión de información inducida por las normas genera elementos persuasivos en la reducción de la intención de compra en el caso del agua embotellada. No obstante, otros trabajos plantean que más que la evaluación racional y fundamentada en la compra de productos amigables con el medioambiente, las emociones son el factor clave para cambiar el comportamiento de compra (Koenig-Lewis, Palmer, Dermody y Urbye, 2014).
De acuerdo con el contexto anterior, el objetivo del artículo es evaluar empíricamente la percepción que tienen los consumidores de productos PET en la ciudad de Medellín, en cuanto a las actitudes, hábitos y barreras de uso cotidiano y, además presenta un enfoque de medición sobre el producto PET como tal, dado que el foco de las investigaciones gira en torno al producto empacado más que sobre el empaque como tal. De esta forma, tomando como base los problemas identificados en los estudios empíricos previos, la evaluación utilizó ecuaciones estructurales y modelos de regresión de Poisson. Es así como este trabajo provee nuevos enfoques y evidencia empírica, lo que constituye una aproximación novedosa a la investigación en este campo de estudio, tanto internacional como nacional, contribuyendo tanto a la literatura teórica como empírica al proponer un enfoque metodológico de medición contextualizado.
Este manuscrito se encuentra organizado de la siguiente manera. La segunda sección presenta el estado del arte de estudios aplicados de la ciencia del comportamiento en el tema ambiental y particularmente, sobre el PET. La tercera sección muestra la metodología y las técnicas de estimación usadas en el estudio. En la cuarta sección, se exponen los resultados enfocados en el comportamiento de la población, sus hábitos, actitudes y barreras. Para finalizar, se esbozan las conclusiones.
2.Elementos teóricos y estudios empíricos sobre el consumo responsable de productos PET
A continuación, se presenta la síntesis de los trabajos relacionados con el tema de estudio. Sin embargo, antes de pasar a la síntesis se presentan las ideas conceptuales que soportan la discusión.
Desde la teoría de la ciencia del comportamiento se conceptualiza al ‘consumidor ecológicamente consciente’ como aquel individuo que pretende proteger el medio ambiente con su conducta, aunado a que expresa preocupación por las posibles consecuencias públicas de sus actos privados (Gonçalves, Laurenço y Silva, 2016). Además, sugiere la presencia de sesgos cognitivos en la toma de decisiones, mostrando evidencias de barreras que no permiten establecer una relación causal entre la conciencia y la acción, reafirmando los hallazgos de Draskovic, Temperley y Pavicic (2009), frente a la existencia de una brecha entre las actitudes y el comportamiento efectivo del consumidor. Estos autores discuten algunas premisas del comportamiento planeado para evidenciar que la intención, motivaciones o planes se constituyen como variable principal del comportamiento (Ajzen,1991). No obstante, algunos estudios critican el bajo nivel de predicción del comportamiento que tiene la intención (Liobikienė, Mandravickaitė & Bernatonienė, 2016; Sniehotta, Presseau & Araújo-Soares, 2014), pero sin relaciones causales probadas de la brecha cognitiva a la hora de tomar decisiones.
Por tanto, el problema de buscar la coherencia entre conciencia y hábito se ha tornado en un reto para las organizaciones públicas y privadas, que deberán comprender las limitaciones y las fallas humanas para procesar información; y, en consecuencia, a partir de su identificación, actuar sobre lo más adecuado en el plano y bienestar individual. Una postura que deberá pasar de la prohibición del acto a la comprensión de la elección humana, hacia una ciencia aplicada del comportamiento (Muñetón, Martínez-Ruiz & Loaiza, 2017a). Los problemas que causan la brecha entre actitudes y hábitos se pueden asociar con diferentes fallas cognitivas presentes al momento de la decisión (Muñetón et al., 2017b). Así, los principales fallos han sido asociados con percepciones inmediatas surgidas en el momento de la elección, los sentimientos, las creencias infundadas, la exposición a volúmenes de información que superan la capacidad de procesamiento de información del cerebro, los sesgos derivados por quien entrega la información (autoridad), las formas como se presenta la información, la gran aversión a las pérdidas, los sesgos de selección, la inconsistencia intertemporal en la decisión, entre otras.
2.1. Estudios sobre botellas plásticas o PET
La literatura específica sobre PET se enfoca en temas técnicos de producción, riesgos asociados para la salud, y manejo y gestión de residuos. El tema del comportamiento humano sobre este tipo concreto de botellas es escaso, máxime cuando el manejo adecuado de los productos plásticos por parte de los consumidores requiere de su compromiso con el reciclaje o la existencia de incentivos económicos para incrementar las tasas de recolección (Hopewell, Dvorak y Kosior, 2009). Algunos trabajos aplicados, como por ejemplo las actitudes hacia los productos empaquetados que utilizan plástico, muestran que las campañas publicitarias y la influencia social hacen que los consumidores jóvenes estén más conscientes y preocupados, influyendo así en las actitudes hacia la cuestión ambiental (Chib, Chiew, Kumar, Choon y Ale, 2009). Situación similar también fue encontrada para el mercado de bolsas plásticas donde la presión social, la conciencia ambiental respecto a su uso, la actitud positiva para su prohibición y la reducción en su uso fueron vistas como determinantes para moderar el consumo (Arı & Yılmaz, 2017). Klaiman, Ortega y Garnache (2016) muestran, que en promedio, los consumidores de productos empacados en plástico tienen una mayor probabilidad a pagar más, que aquellos consumidores de productos empacados en cartón, vidrio y aluminio.
Aunque, en estos estudios se muestra que los consumidores son muy conscientes de los diferentes materiales de envasado y sus características, las preferencias por un material particular (cartón y PET) están moderadas por factores como la edad, el lugar de consumo, la ocasión y la categoría de producto, pero en la vida real la conveniencia del empaque parece ser el principal motivador sobre las preferencias de la elección del tipo de material del envase, dando lugar a una brecha entre las actitudes y el comportamiento efectivo (Draskovic et al., 2009). Por su parte, Alauddin, Shah & Hasan (2014) argumentan que las empresas que producen bebidas y/o alimentos envasados en plástico son los principales grupos de fabricación que deben adquirir conciencia sobre la comercialización ecológica porque el envase está directamente relacionado con el medio ambiente. De la misma manera, los consumidores tienen la segunda responsabilidad más importante, y es ser conscientes sobre el consumo verde. Propuesta similar se argumenta en el trabajo de Klaiman et al. (2016), donde se expone que el aumento considerable de productos empaquetados ha llevado a las empresas productoras a tomar responsabilidad en el ciclo de vida completo del producto.
2.2.Estudios sobre bebidas embotelladas
En la otra orilla de los trabajos aplicados se encuentran aquellos que estudian la percepción de los consumidores de bebidas empacadas en envases plásticos. Para la población americana, Mackey, Davis, Crozes y Boulos (2003) evalúan las características demográficas y de las empresas prestadoras del servicio como factores determinantes en la elección de bebidas embotelladas cuando las personas están en casa comparado con beber agua del grifo o con filtros. En su análisis encuentran que la edad es la más significativa, mientras que el género y el nivel educativo no lo fueron; en tanto que, los usuarios de empresas públicas y de mayor tamaño tienen una percepción más alta de la calidad, seguridad y salubridad del agua de grifo. Por su parte, para este mismo país, Onufrak, Park, Sharkey y Sherry (2014) reportan que existe cierto nivel de desacuerdo con la seguridad del agua corriente y la creencia de que el agua embotellada es más segura, actitudes que son más comunes entre adultos jóvenes, de bajo nivel socio-económico y grupos étnicos no-blancos; y que, además, están relacionadas con una mayor probabilidad en el aumento del consumo de bebidas endulzadas con azúcar en personas de origen hispánico. En la misma línea, Hu, Morton & Mahler (2011), exploran los factores demográficos y sociales asociados con los usuarios de agua embotellada en los Estados Unidos y la relación entre su uso y las percepciones de la calidad del abastecimiento local de agua, encontrando que los consumidores estadounidenses son más propensos a reportar el agua embotellada como su fuente principal de agua potable cuando perciben que el agua potable no es segura. Además, aquellos que dan calificaciones inferiores a la calidad de sus aguas subterráneas son más propensos a comprar regularmente agua embotellada para beber como su fuente de agua potable primaria.
Para el caso de Australia y Nueva Zelandia, Ragusa y Crampton (2016) elaboran una investigación sociológica sobre las percepciones del agua potable en general y el agua embotellada específicamente, y revelan que 77% de los encuestados pensaba en la calidad de su agua potable; 64% señaló problemas específicos adversos y 82% reportó preocupaciones con el agua del grifo. Sin embargo, aunque 64% bebe agua embotellada, solo 28% cree que es mejor que el agua del grifo y 63% considera que es un desperdicio de dinero. Solo 21% lo toma por “conveniencia” y los patrones de consumo varían significativamente según el género, mostrando que los hombres y las generaciones más jóvenes compran la mayor cantidad de agua embotellada. El análisis cualitativo refutó los estereotipos que asocian el agua embotellada con un símbolo de estatus o elección de estilo de vida.
Ahora bien, el contexto y el territorio importan en la toma de decisiones. Chen et al. (2012), a través de un estudio longitudinal (2001 y 2011) en China, demuestran cambios en los patrones de consumo de agua; así, encuentran que el consumo de agua de la red doméstica se mantuvo relativamente estable en el período analizado, mientras el consumo del agua de botellas o de botellones disminuyó ligeramente, y el agua filtrada creció en una proporción similar a la disminución de la embotellada.
Para el caso de Canadá, McLeod, Bharadwaj y Waldner (2014) realizaron un estudio transversal, con modelos mixtos lineales generalizados, sobre los factores de riesgo asociados con las opciones para beber agua embotellada y agua corriente. El estudio proporcionó información de las relaciones entre los factores asociados con el abastecimiento de agua, la calidad del agua, la percepción del riesgo y el uso de agua embotellada. No consideraron otros factores como accesibilidad, conveniencia, marketing y residuos ambientales. La principal conclusión apunta a que una mejor comprensión de los factores involucrados en estas decisiones y las diferencias regionales son cruciales para canalizar los esfuerzos de salud pública en cuanto a la seguridad, las pruebas y el tratamiento del agua potable, así como la evaluación de los riesgos para la salud relacionados con el consumo de agua en zonas rurales.
Para el caso de Holanda, se encontró que el consumo masivo de agua embotellada contribuye a una serie de problemas ambientales como la contaminación, el cambio climático y el desperdicio de agua. Un estudio exploratorio que aborda las percepciones sobre el impacto de beber menos agua embotellada infiere una alta correlación entre el consumo y las creencias sobre la salud, el gusto, la calidad del agua, el estilo de vida, el medio ambiente y las alternativas percibidas, donde la fuerza de la creencia varía significativamente en función de la tasa de consumo Van der Linden (2015). De otro lado, Doria (2006) elabora una síntesis de los hallazgos en cuatro países acerca de las razones de elección del agua embotellada y exhibe diferentes factores que explican la decisión de una opción, frecuentemente más costosa y menos cómoda que el agua del grifo, encontrando que la insatisfacción con las características organolépticas del agua del grifo (especialmente el gusto) y las preocupaciones sobre la salud y el riesgo inclinan la balanza; no obstante, otros factores como las variables demográficas, la calidad percibida de la fuente de agua y la confianza en las empresas de agua del grifo tienen impacto en la decisión.
Ahora bien, Saylor, Prokopy y Amberg (2011) muestran para el caso de una comunidad universitaria diferencias significativas en el consumo de agua embotellada controlando por las características sociodemográficas de la muestra estudiada; así, las mujeres beben una proporción mayor que los hombres, igual sucede en el caso de los estudiantes que consumen más que los egresados, los administrativos y miembros de las facultades. El trabajo también reporta una creencia generalizada de que el reciclado elimina el impacto ambiental del agua embotellada; igualmente, se evidencia que las características de sabor y seguridad percibida son las principales barreras que enfrenta el consumidor al beber agua del grifo, en comparación con el agua embotellada. Un estudio similar fue llevado a cabo en México (Espinosa-García et al., 2015), donde se encuentra que un alto porcentaje de la población universitaria prefiere beber agua de botella frente a la de la red pública, por sus características organolépticas y por razones de salud. Esta última situación también fue puesta de relieve en otro contexto universitario, donde se destaca que, aunque la seguridad fue el aspecto más importante, los participantes fueron inconscientemente conscientes de otras cuestiones importantes relacionadas con el consumo de agua potable al compararla con la envasada en botellas de PET (Güngör-Demirci, Lee, Mirzaei y Younos, 2016).
Por su parte, Becker, Schmälzle, Flaisch, Renner y Schupp (2015) indagaron cómo la alteración tanto de las señales como de las recompensas brindadas a las personas, podría afectar los comportamientos frente a la eliminación de las botellas de agua reciclables. Utilizaron un modelo de teoría cognitiva social y realizaron dos intervenciones de 8 semanas. Luego de establecer una línea base, se colocaron señales educativas y se hicieron cambios ambientales buscando afectar tanto la conciencia como la cognición. Los resultados registraron que de una proporción de 73,2% de botellas de plástico y vidrio reciclables eliminadas en contenedores de basura se pasó a 26,8% en los contenedores de reciclaje y a 26,1% en los contenedores de basura después de las intervenciones. Las encuestas sugieren cambios cognitivos de apoyo. Las intervenciones que se utilizaron para apoyar y reforzar los comportamientos pro ambientales no solo reducirían los costos de la basura, sino que también mejoran la moral, el bienestar y la imagen pública. Se documenta cómo los hábitos de destrucción de desechos pueden ser cambiados hacia comportamientos positivos de reciclaje con el apoyo y diseño adecuado.
3.Enfoque metodológico
3.1. Características del cuestionario y de la muestra
Se realizó una encuesta a 300 personas mayores de 18 años de la ciudad de Medellín, usando la técnica muestral de bola de nieve. Las estimaciones estadísticas se afectan usualmente por algunos sesgos causados cuando existe correlación. El muestreo aleatorio puede proporcionar incorrelación en las respuestas, pero no siempre existen todos los recursos para realizarlo al no tener acceso a todos los elementos de la población; se recurre a muestreos no probabilísticos, como el muestreo de bola de nieve que se basa en una cadena de respuestas en las redes sociales, iniciando con uno o dos sujetos solamente y se expande a múltiples personas donde algunas no se conocen de hecho, por ello, puede no existir una alta correlación en las respuestas, lo cual conduce a introducir cierta aleatoriedad.
La difusión del instrumento se realizó por redes sociales y correo electrónico. La información se recolectó durante agosto y septiembre de 2016. La encuesta contó con 35 preguntas, distribuidas en cuatro bloques temáticos: aspectos sociodemográficos, actitudes, hábitos y barreras frente al consumo en envases de PET. En el caso particular de las actitudes, se indagó alrededor de las valoraciones subjetivas que fomentan comportamientos alineados con la sostenibilidad ambiental. Se pregunta, por ejemplo, por el comportamiento futuro y proyecciones del consumo amigable, así como por las preocupaciones con el medio ambiente, la apatía o el desinterés por los problemas que subyacen en la contaminación y la percepción sobre responsabilidad de la actuación. Las preguntas sobre hábitos pretendían identificar las bebidas consumidas en PET, sobre usos alternativos dados al empaque, las elecciones reales de los individuos en su quehacer cotidiano, el uso y consideración de la información incorporada en el proceso de elección de la compra y las razones que justifican tal comportamiento (precio, información, gusto, consciencia).
De los aspectos sociodemográficos de la muestra seleccionada, se observa que 55,7% son mujeres y 44,3% hombres; 23,7% están casados y 55,7% solteros, y 20,7% manifestaban tener otra condición. La composición familiar exhibe 55% sin hijos, 25,7% y 13,3% con uno y dos hijos, respectivamente, y 6% tres o más hijos. En cuanto a la educación, 25% de la muestra completó estudios de primaria y secundaria, 42% con formación técnica/tecnológica, el 25% estudios profesionales, y 7% posgrado. En cuanto a la actividad económica, 61,7% es dependiente laboralmente; 14,3% independiente, 14,0% estudiantes y 10% final dedicado al hogar, o estaba desempleado o jubilado. En lo relacionado con la percepción de los materiales usados para empaque y la amigabilidad con el medio ambiente, 15% eligió los contenedores de aluminio como más amigables, 16,7% los de plástico y 68,3% los de vidrio.
La respuesta a las hipótesis propuestas se deduce a partir de los resultados de la estimación del modelo de ecuaciones estructurales (MES), que están considerados como herramientas muy potentes para el estudio de relaciones causales en datos no experimentales, y a pesar de que su estructura es un poco compleja, dichos modelos no prueban la causalidad, sino que permiten seleccionar hipótesis relevantes y desechar aquellas no soportadas por la evidencia empírica. De esta manera, las teorías causales son susceptibles de ser estadísticamente rechazadas si se contradicen con los datos observados (Medrano & Muñoz-Navarro, 2017). Además, se validan resultados usando un modelo de regresión de Poisson, con el cual se da respuesta con más fortaleza a las hipótesis propuestas.
3.2.Modelos de regresión de Poisson
Las variables aleatorias suelen tener dos tipos de comportamiento, una discreta y una continua. Cuando es discreta, representando una cantidad de elementos o sucesos por intervalo de tiempo, una de las distribuciones probabilísticas que se ajustan es la de Poisson; es el caso del número de actividades por hora o el total de botellas de agua que una persona toma en una semana. Es posible hacer un análisis sobre el tipo de asociación que esta variable tiene con respecto a otras, por ejemplo, con un modelo de regresión de Poisson, cuya respuesta sigue esta distribución y permite establecer una función de enlace de estimación del modelo. Los procesos de estimación asociados se basan en máxima verosimilitud, técnica estadística que facilita obtener los parámetros que mejoran la probabilidad de certeza o precisión en las estimaciones (Valencia y Restrepo, 2014).
El modelo de regresión generalizado con respuesta de Poisson puede usarse tanto para determinar una posible asociación entre la variable respuesta y covariables, así como para facilitar la elaboración de pronóstico, en períodos futuros, usando estructuras de variables temporales (Kolasa, 2016; Chen & Lee, 2016). A partir del modelo estimado, es posible verificar si las covariables pueden mostrar asociación positiva o negativa con respecto a la variable respuesta, indicando si existen relaciones de proporcionalidad como, por ejemplo, que el aumento de una actividad lleve a la generación de más desperdicios. De esta manera, la variable respuesta que se estima con el modelo permite calcular scores de respuesta en escala continua. Si hubiera una sola variable explicativa X, la ecuación del modelo lineal generalizado de Poisson, con respuesta logarítmica, tendría la forma dada en (1):
La media satisface la relación exponencial: λ = exp(βx ). La ecuación permite relacionar la función linkln(λ) con la matriz de covariables X , λ es el valor medio a estimar del número de ocurrencias o productos, β es el vector de parámetros estimados del modelo de Poisson que se asocia a la matriz de diseño X.
Para este artículo, el número de bebidas en envase PET es la variable respuesta. Dentro de las variables explicativas se encuentran las variables categóricas siguientes:
1. X15: Considera mejor consumir bebidas en botella plástica que en otra alternativa, con la escala Likert asignada desde estar totalmente en desacuerdo hasta totalmente de acuerdo (desde A hasta E).
2. X16: No le importan los problemas de consumo, compra porque le gusta, con igual Escala Likert.
3. X18: La persona recicla el envase PET. Con categorías Sí, No, No consume.
Lo anterior conduce a una estructura de covariables indicadoras, o dicótomas (1 si se elige la categoría, 0 si no): con i=1….10, considerando que al estimar el intercepto en el modelo, se omite una categoría del modelo, lo que conduce a tener 10 variables indicadoras en el modelo y reescribir la ecuación del modelo en (2):
Donde βo es el término independiente de la ecuación y βi es el i-ésimo efecto de la variable indicadora de cada categoría de respuesta.
Siendo la variable respuesta la cantidad de botellas PET que se consumen, la explicación que cada efecto de las covariables consideradas en el modelo ejerce sobre dicha respuesta indica si se genera un incremento o decrecimiento de dicho número.
3.3. Modelos de ecuaciones estructurales (MES)
Este tipo de herramientas metodológicas hacen parte de la estadística multivariada, las cuales facilitan una reducción de la dimensionalidad de un conjunto de variables y establecen un modelo que en general permite medir la asociación entre variables observables y latentes, permitiendo analizar de forma simultánea relaciones de dependencia interrelacionadas entre las variables medidas y sus constructos latentes, así como modelos de regresión entre las variables latentes (Hair, Black, Babin, Anderson y Tatham, 2006). Estos modelos han sido utilizados en el campo de ciencias sociales (Buendía-Martínez y Carrasco, 2013) donde encuentran asociaciones entre variables poblacionales, o en el campo de análisis financiero (Valencia-Cárdenas y Restrepo-Morales, 2016), facilitando una explicación adecuada del grado de asociación entre indicadores no observados sobre la eficiencia financiera empresarial, así como en los negocios internacionales (Tabares, Anzo y Vanegas, 2016) explicando cómo las características empresariales determinan la internacionalización de las Pyme.
Por medio de los MES es posible estimar no solo variables latentes usando el análisis del factor confirmatorio (AFC), sino también encontrar los efectos existentes entre las variables explicativas y respuesta latente usando modelos de regresión, ya que permite describir el tipo de relación o de dependencia entre dichas variables, por medio de los valores estimados de los coeficientes de regresión, así como los efectos encontrados del análisis de covarianza entre las variables latentes.
Algunos tests de validación se utilizan para mostrar si hay convergencia en la estimación, así como un ajuste aceptable de las estructuras encontradas; entre estas se tiene la prueba de significancia chi cuadrado, cuyo valor p debe estar bajo el nivel de error 5%. Otro índice es el índice de ajuste comparativo (comparative fit index -CFI-), que debe ser cercano 0,9 aproximadamente (Hooper, Coughlan y Mullen, 2008). El componente del AFC facilita la estimación de los factores latentes por medio de la asociación de correlación o covarianza posible entre las variables observables. Los modelos de regresión entre las variables latentes permiten la detección de asociación entre variables endógenas y exógenas, con el fin de probar las hipótesis propuestas con antelación. El análisis de covarianza también permite detectar si existen asociaciones de covarianza o asociación importantes entre las variables latentes consideradas en el estudio.
Estos modelos pueden representar las relaciones entre variables observables, que son recolectadas por medio de instrumentos de encuesta aplicados a las unidades muestrales de la población, y los factores latentes usando diagramas causales. El diagrama causal es una representación gráfica de un MES que incorpora el tipo de relación entre la variable observable y la latente que se configure gracias a las hipótesis propuestas (Raykov & Marcoulides, 2006). Las variables observables son sistematizadas e ingresadas en el software, en este caso R, para establecer los análisis de covarianza que comprende el AFC, a partir de los cuales sea posible estimar los factores latentes necesarios para continuar con la estimación de análisis de regresión y análisis de covarianza (Fox, 2006; Raykov & Marcoulides, 2006), las variables observables se muestran en cuadrados, las latentes en círculos.
En cuanto al proceso de estimación de este tipo de modelos, se parte de las variables latentes estimadas con el AFC para conformar la estructura de asociación de regresión donde se interpretan los efectos existentes entre las variables latentes.
La ecuación (3) establece una posible asociación entre las variables latentes del modelo de regresión, con una variable principal y tres covariables latentes:
Relaciones del análisis del factor
La ecuación (4) representa la estructura de variables latentes exógenas, , y la (5) de latentes endógenas, , ambas en función de variables observables.
El tipo de relación se puede visualizar por medio de un diagrama causal, con el cual se observen las conexiones estimadas. El modelo de ecuaciones estructurales permite ajustar dicho conjunto de variables explicando cierto porcentaje de variabilidad conjunto (CFI) y el grado de significancia general con el estadístico de prueba chi-cuadrado. Los componentes de estos MES se resumen así: variables observadas, X (Tabla 1); variables latentes, (Tabla 2); y coeficientes de regresión, β. Para el caso del análisis, se seleccionón un grupo de variables observables (Tabla 1), agrupadas en seis factores latentes (Tabla 2).


La forma funcional de la relación de regresión para un modelo de ecuaciones estructurales asumiría la forma (6):
Donde ηi hace referencia a las variables latentes respuesta o dependientes: barreras de conocimiento, barreras de comportamiento y hábitos de consumo. ξi representa las variables latentes exógenas: actitudes de preocupación, actitudes de afectación, hábitos de reciclaje. βij representa los coeficientes estimados ζi y representa los términos de error. Las seis variables latentes consideradas se dividen en endógenas, que son las consideradas como variables respuesta, y las latentes exógenas, explicativas, estimadas con el AFC. El modelo buscará determinar si la variable latente más relevante del estudio muestra asociación significativa con una o varias áreas latentes adicionales.
4.Descripción de los resultados
La sección de resultados presenta las dos formas funcionales estadísticas utilizadas en la medición entre actitudes, hábitos y barreras de los jóvenes consumidores de bebidas empacadas en PET en la ciudad de Medellín. En primera instancia, se presenta un modelo de Poisson que mide los determinantes de la frecuencia de consumo, y después se expone un modelo de ecuaciones estructurales para evaluar el relacionamiento entre las dimensiones latentes propuestas.
4.1.Estimaciones del modelo de regresión de Poisson
El modelo de regresión de Poisson estimado determina el número promedio de bebidas en envase PET que se consumen, y cómo esto se ve afectado por otras posibles variables. Como variable de respuesta se tomó el número de bebidas en envase PET. De esta forma, se pretende explicar el hábito de consumo de botellas, o el número de botellas tipo PET, cuyo comportamiento se ajusta a una variable de tipo Poisson.
En este punto es necesario recordar cada una de las covariables consideradas para comprender los efectos; las covariables corresponden a:
1.X18: La persona recicla el envase PET.
2.X16: No le importan los problemas de consumo, compra porque le gusta.
3. X15: Considera mejor consumir bebidas en botella plástica que en otra alternativa.
Una vez realizado el ajuste del modelo, los resultados evidencian coherencias entre conciencia y hábitos y, se observan retos sobre la educación del consumidor (Tabla 3). Aquellos que reciclan, usando la botella para otros fines, disminuyen el consumo de productos empacadas en botellas PET, con un efecto de -0,333. El número de botellas consumidas disminuye para aquellos que afirman que no consumen o no usan este envase PET con un efecto de -3,1882.

Se aprecia que existe un mayor consumo de botellas PET cuando las personas perciben que los problemas del consumo no son asuntos que deben preocuparles y las compras se sustentan en el gusto por el producto. Igualmente, cuando los individuos afirman que es mejor consumir en botella plástica que en otro tipo de recipientes, el consumo de botellas PET aumenta para el efecto totalmente de acuerdo (0,21946); sin embargo, el efecto en la categoría algo en desacuerdo es alto también (0,244), lo cual indica un poco de ambigüedad o contradicción de comportamiento. Lo anterior permite describir dos grupos de personas diferentes, en el primero, quienes creen que PET es amigable, y el segundo, quienes saben que PET no es un envase muy recomendable, pero los consumen.
De esta forma, se observa que el consumo de botellas PET disminuye cuando la persona recicla o no consume, lo cual es consistente con la teoría del comportamiento planeado (Ajzen, 2011; Gonçalves et al., 2016), dado que relaciona la intención del individuo para llevar a cabo cierta conducta como variable dependiente. Por su lado, el consumo aumenta cuando el informante afirma que es mejor consumir en botella plástica con un efecto de 0,21946, lo que indica poca conciencia del problema o un desconocimiento de los efectos nocivos de estas botellas una vez que al percibir que es mejor consumir en envases PET, se replica el comportamiento de consumo.
4.2.Estimaciones modelos de ecuaciones estructurales
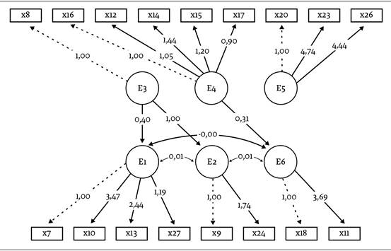
La Tabla 4 presenta los coeficientes del modelo de ecuaciones estructurales que ha sido estimado para comprobar la existencia de la asociación entre variables latentes asociadas. Este modelo comprende el análisis del factor confirmatorio y los modelos de regresión entre las latentes, tiene una consistencia que se refleja en el índice comparativo CFI de 94,6%, que al estar por encima de 70% indica un adecuado ajuste, así como el valor p de la prueba de Chi cuadrado, menor del 5%, indica la significancia de este. Así, se observa que las variables latentes estimadas (E1, E2, E3, E4, E5, E6), tienen asociaciones significativas al 6% según el valor p de la última columna (valor p<0.06), con las variables observadas, xij.

Así, los resultados indican que los modelos de regresión estimados entre las variables latentes son significativos, al nivel de 5% de significancia del error (Tabla 5). En este se aprecia que la forma de explicar la variable latente hábitos de consumo (E6) es significativa cuando se relaciona con las actitudes (E4); también se observa la significancia de actitudes en relación con las barreras de conocimiento (E1) y de comportamiento (E2), según la descripción dada a continuación. Considerando que las escalas Likert dadas inician con estar totalmente en desacuerdo y terminan con estar totalmente de acuerdo, puede afirmarse que a medida que son más negativas las actitudes (E4), más negativos son los hábitos (E6), debido al signo de su efecto (0,314). Por ejemplo, a medida que está en total acuerdo con que la contaminación no afecta su vida (x14 en E4), tiende más a aumentar el número de bebidas en botella plástica que consume (x18 en E6) lo cual es consistente con el modelo de regresión de Poisson, que fue encontrado de manera significativa previamente.

Lo anterior muestra que a medida que el informante manifiesta peores grados de preocupación (calificaciones de que no se afectan), o desprendimiento, peores son los hábitos de consumo mostrados, aumentando, por ejemplo, el consumo de envase PET. Así, la variable x11, la no preocupación por el consumo de plástico porque la persona está segura de que existe un buen sistema de reciclaje en el lugar de consumo, muestra una asociación que indica que al estar totalmente de acuerdo en que no se preocupa por el problema, aumenta el consumo de envases PET. Lo anterior representa actitudes inadecuadas ya que la falta de preocupación al reciclar caracteriza a quienes más cantidad de bebidas en envases PET consumen. En la Figura 1 se presentan los relacionamientos encontrados.

Por otro lado, las actitudes de preocupación (E3) influyen en otras dos variables latentes: barreras de conocimiento (E1) y de comportamiento (E2), de forma directamente proporcional. Dichas actitudes se asocian con la calificación de la preocupación respecto a la contaminación que causan los plásticos (PET), de bajo a alto grado y el modelo indica que, a mayor preocupación (E3), las barreras (E1) también tienen alta valoración.
La variable latente E3 muestra un efecto positivo sobre E1 (0,399) (barreras de conocimiento), lo que sugiere una contradicción entre lo que conviene consumir y la preocupación frente a la contaminación. Al parecer, quienes se encuentran más preocupados frente a la contaminación de los plásticos creen estar informados sobre el problema que genera al medio ambiente, pero no tienen claridad frente a cuál es el envase más amigable, ya que en el caso de la pregunta x27 de E1, expresan que ‘no es fácil distinguir los envases amigables’.
En cuanto a la relación entre la actitud de preocupación (E3), asociada solo con x8, cuyo efecto es 1,005 sobre E2, implica que, al aumentar la preocupación, eligen un recipiente amigable (E2) si el precio no es muy diferente, lo cual lo relaciona con factores económicos. La asociación de covarianza encontrada confirma el comportamiento poco ambientalista, como se ve en la Tabla 6. E4 muestra un efecto negativo sobre actitudes de preocupación E3 (-0,102), o una relación inversamente proporcional, de donde puede afirmarse que a medida que las personas son más indiferentes con los problemas derivados de la contaminación (E4), se disminuye la preocupación por el medio ambiente, de forma significativa. Pero los hábitos de reciclaje E5 no tienen un efecto significativo sobre la preocupación E3, así que reciclar y preocuparse no están asociadas significativamente.

Con el modelo de ecuaciones estructurales se encuentran varios hechos; uno evidencia que a quienes contaminar les parece irrelevante para su vida, lo hacen en mayor grado o aumentan el consumo de este tipo de productos, aspecto que contradice lo que debería ocurrir o tener un grado de preocupación y no contaminar. Otro hecho está ligado al factor económico al elegir envases amigables, pues condicionan elegir envase amigable a ‘si no hay gran diferencia en el precio’. Otro hecho es la evidencia de usuarios con preocupación, pero con desconocimiento del mejor envase o la elección de las mejores alternativas amigables con el medio ambiente. Lo anterior hace relevante el incremento de posibilidades de capacitaciones y campañas ambientalistas para la mejora de la asociación entre actitud y hábito de consumo ambientalista.
5. Discusión
Los resultados negativos de las estrategias de reutilización de productos muestran, por ejemplo, la obligatoriedad en los países europeos de aplicar políticas de disposición de desechos, por medio de la implementación de planes de regulación de residuos jerarquizados, dando preferencia a la prevención y el reciclaje sobre la incineración y la acumulación (Simon et al., 2016; Yamaguchi & Takeuchi, 2016); como ejemplo relevante se tiene que en el 2011, se reciclaba aproximadamente 50% de las botellas PET producidas (Welle, 2013).
Es paradójico que en Estados Unidos en el 2012, dos terceras partes de la producción de las botellas terminó en vertederos o como basura en tierras, ríos y océanos y tan solo un tercio fue reciclado (Van der Linden, 2015). En China, es iniciativa de los individuos el reciclaje de las botellas PET motivados por la búsqueda de rendimientos económicos en un sector aún incipiente (Zhang & Wen, 2014). En Japón, se resalta que las políticas giran en torno al estudio de los factores que afectan el ambiente y se promueve la reducción de materiales desechables, a la vez que se sugiere tímidamente que los habitantes prefieran productos que incorporen el menor material de empaque disponible (Yamaguchi & Takeuchi, 2016).
Como argumenta Frigione (2010), es común que las botellas de PET vacías sean descartadas por el consumidor y se conviertan en desechos, por lo cual luego se dificulta su almacenamiento y eliminación. Por ello, es importante considerar como materia prima y no como basura los plásticos que ya han cumplido su primer uso; por lo tanto, se sugiere adoptar una perspectiva más cíclica en el uso de materiales, como lo señalan Thompson et al. (2009). No obstante el proceso de reutilización de materiales genera una cantidad menor de residuos, se requiere la inversión y el uso de factores productivos que no siempre es posible; por tanto, se recomienda recurrir a la generación de estrategias orientadas a la reducción en el consumo de botellas PET (Zhang & Wen, 2014) y a la mitigación de materiales en uso (Yamaguchi & Takeuchi, 2016). Se ha evidenciado que para minimizar el impacto ambiental generado por este tipo de plásticos luego de su uso típico, el PET se puede comprimir, triturar e incorporar a diferentes procesos de producción como materia prima. Algunos estudios han evidenciado su uso en el relleno para espumas de cojines y de limpieza, como fibras para la industria de la ropa y como refuerzo o aditivo para el concreto usado en construcción (Frigione, 2010; Simon et al., 2016; de Mello, Pezzin & Amico, 2009; Ferrier, 2001).
Se observa cómo, aunque es posible incrementar el grado de concientización personal alrededor del impacto generado al medioambiente por las prácticas de consumo del ser humano, se mantiene una brecha entre las actitudes declaradas y los comportamientos realizados. Así, estrategias educativas basadas en la transmisión de información -es decir, hacer que las personas interioricen el problema real para modificar actitudes y comportamiento- es cierto que pueden incrementar la consciencia de las personas respecto al impacto que sobre el medioambiente puede generar el consumo excesivo y el no reciclaje de botellas de PET, como lo plantean Ritter, Borchardt, Vaccaro y Pereira (2015), por lo que es plausible afirmar que una persona consciente del problema no garantiza una actuación acorde a ello (Dolnicar, Hurlimann & Grün, 2012; Jorgensen, Graymore & O’Toole, 2009; Russell & Fielding, 2010; Van der Linden, 2015).
No obstante, se aduce que llevar a las personas a notar la discrepancia entre actitud y comportamiento puede llevarlos a contribuir al ahorro del recurso (Jorgensen et al., 2009); aquí se presenta el reto de la política pública. Las tradicionales campañas informativas han sido muy criticadas por no llevar a menudo al cambio comportamental luego de proporcionar entendimiento a las personas acerca de los problemas medioambientales; se propone más atención al rol de las normas sociales y a las presiones sociales para promover un comportamiento en favor del medioambiente (Van der Linden, 2015).
Entre los diferentes países ha de variar el apoyo de los habitantes al reciclaje, y si bien puede ser alto en algunas naciones y las personas se muestran dispuestas a reciclar, a veces las etiquetas usadas para simbolizar los productos reciclables no resultan visibles, o uniformes, y el desconocimiento de lo que realmente sucederá con el material separado para reciclar puede afectar la participación de las personas (Thompson et al., 2009). Una de las opciones recomendadas para etiquetar los productos es el sistema semáforo, usando el verde para los de empaque reciclable y el rojo para aquellos que no lo son (Thompson et al., 2009). En Beijing, por ejemplo, se registra una alta voluntad por parte de los jóvenes, más que todo, para la protección del ambiente; pero tal vez lo que les impide adherirse a las campañas de reciclaje de PET (siendo más de la mitad de los encuestados los que no lo hacen) está más asociado a aspectos de esfuerzo y tiempo necesarios; o algunos simplemente pretenden dejar la labor de separación a otros (Zhang & Wen, 2014), a esos que en Colombia llamamos ‘recicladores’, y que tienen (así como en China y en otros países) esta actividad para sobrevivir. En este mismo estudio, entre los encuestados, aquellos que reciclaban PET eran significativamente más viejos, de menores ingresos económicos y, más probablemente, mujeres (Zhang & Wen, 2014).
Los impactos sobre el medioambiente no son preocupación central del consumidor al adquirir agua embotellada (cuando deberían serlo), como sí lo son la seguridad, la salud y el sabor (Van der Linden, 2015). No se trata, por ejemplo, solo de informar al consumidor que el agua embotellada no es más saludable, sino de enseñarle también las alternativas suficientes para el cambio comportamental, y más cuando lo que se trata de cambiar es un hábito (Van der Linden, 2015). Al respecto, los análisis presentados en el artículo sugieren una decidida labor de la política pública de implementar estrategias desde la ciencia del comportamiento (Muñetón et al., 2017a), tanto para quienes mantienen coherencia entre actitudes y hábitos como para aquellos que no.
6. Consideraciones finales
Se evidencia que los usuarios más preocupados manifiestan conciencia sobre el problema que genera el plástico y están informados sobre lo que le ocurre al medioambiente, pero no tienen claridad sobre cuál es el envase más amigable. Las disonancias podrían subyacer al desconocimiento de alternativas compatibles con el medioambiente y a la contradicción del consumidor que manifiesta preocupación, pero no ejerce acciones amigables con el ambiente. Además, otra contradicción se manifiesta en la existencia de otro grupo de personas, aquellos que creen saber que el PET no es amigable, pero a pesar de ello lo consumen.
Los encuestados manifiestan que es mejor consumir en envases PET sobre otras alternativas de menor impacto ambiental, dejando entrever poca conciencia del problema. Por último, quienes perciben afectación personal y social, en la práctica, no reciclan; así, se refuerza el círculo del hábito del desperdicio y se agudiza el problema.
Ante los resultados se sugieren algunas estrategias para avanzar en el consumo sostenible: en primer lugar, desarrollar campañas que faciliten distinguir aquellos tipos de envases amigables con el medioambiente, una vez que los encuestados manifiestan la poca disponibilidad de información en el mercado. También, implementar sistemas de reciclado eficientes, que garanticen al consumidor confianza y tranquilidad en el momento de consumir. Por último, implementar programas para llevar al consumidor a mejores decisiones, como el caso de la estrategia del nudge, documentada por Thaler & Sunstein (2008), la cual propone un refuerzo positivo y sugerencias indirectas para alcanzar una aceptación no forzada a través de influenciar sobre los motivos, los incentivos y el proceso decisional de individuos y grupos.
Para complementar las estrategias desde el punto de vista privado, se debe procurar que las empresas productoras tomen responsabilidad sobre el ciclo de vida completo del producto, como lo sugieren Klaiman et al. (2016). Desde lo público, el gobierno debe crear conciencia de que la solución del problema es competencia de todos los participantes, especialmente en los actores individuales, una vez que los resultados muestran la percepción de que son los gobiernos y las organizaciones internacionales las que deberían tomar medidas para proteger el medio ambiente. En este sentido, es imperativo aglomerar a todos los actores alrededor de la función de responsabilidad, ello incluye la producción responsable, el consumo responsable e incentivos gubernamentales para jalonar los cambios. Desde la perspectiva internacional, se nota una movilización para considerar la sostenibilidad como prioridad mundial a través de los objetivos de desarrollo sostenible para el 2030.
Por último, se abre una línea de investigación que apunta a indagar por qué los encuestados consideran mejor consumir bebidas en botella plástica que en otro tipo de alternativa; para develar los posibles factores explicativos, como: las propiedades organolépticas del agua del grifo, la percepción de riesgo, la confianza en las empresas que suministran el agua potable, entre otros. Además, vale la pena indagar, desde la lógica y la percepción, los motivos subyacentes al comportamiento, muchas veces adversos a los objetivos planeados o las intenciones de un mejor planeta.
Referencias
Alauddin, M., Shah, M. & Hasan, M. (2014). Current Practices of Green Marketing and Consumers. Attitude towards Green Consumption: A Case Study of Some Selected Plastic-Bottled Soft Drinks Producing Firms. European Journal of Business and Management, 6(4), 82-94.
Ajzen, I. (1991). The theory of planned behavior.Organizational Behavior and Human Decision Processes,50(2), 179-211.
Ajzen, I. (2011). The theory of planned behaviour: Reactions and reflections. Psychology and Health, 26(9), 1113-1127.
Andrady, A. & Neal, M. (2009). Applications and societal benefits of plastics. Philosophical Transactions of the Royal Society B, 364(1526), 1977-1984.
Arı, E. & Yılmaz, V. (2017). Consumer attitudes on the use of plastic and cloth bags. Environment, Development and Sustainability, 19(4), 1219-1234.
Becker, C., Schmälzle, R., Flaisch, T., Renner, B. & Schupp, H. (2015). Thirst and the state-dependent representation of incentive stimulus value in human motive circuitry.Social Cognitive and Affective Neuroscience,10(12), 1722-1729.
Buendía-Martínez, I. & Carrasco, I. (2013). Mujer, actividad emprendedora y desarrollo rural en América Latina y el Caribe. Cuadernos de Desarrollo Rural, 10(72), 21-45.
Chen, C. & Lee, S. (2016). Generalized Poisson Autoregressive Models for Time Series of Counts. Computational Statistics and Data Analysis, (99), 51-67.
Chen, H., Zhang, Y., Ma, L., Liu, F., Zheng, W., Shen, Q. & Qu, W. (2012). Change of water consumption and its potential influential factors in Shanghai: A cross-sectional study. BMC public health, 12(1), 1-9.
Chib, A., Chiew, H., Kumar, C., Choon, L. & Ale, K. (2009). Plastic: influencing pro-environmental attitudes among Singaporean youth. Environmental Education Research, 15(6), 679-696.
de Mello, D., Pezzin, S. & Amico, S. (2009). The effect of post-consumer PET particles on the performance of flexible polyurethane foams. Polymer Testing, 28(7), 702-708.
Dolnicar, S., Hurlimann, A. & Grün, B. (2012). Water conservation behavior in Australia. Journal of Environmental Management, 105, 44-52.
Doria, M. F. (2006). Bottled water versus tap water: understanding consumers’ preferences. Journal of Water and Health, 4(2), 271-276.
Draskovic, N., Temperley, J. & Pavicic, J. (2009). Comparative perception(s) of consumer goods packaging: Croatian consumers perspective(s). International Journal of Management Cases, 11(2), 154-163.
Espinosa-García, A., Díaz, C., González, F., Val-Segura, R., Malvaez, V. & Mazari, M. (2015). Drinking water quality in a Mexico City University community: Perception and preferences. EcoHealth, 12(1), 88-97.
Ferrier, C. (2001). Bottled Water: Understanding a Social Phenomenon. AMBIO: A Journal of the Human Environment, 30(2), 118-119.
Fox, J. (2006). Structural Equation Modeling With the sem Package in R. Structural Equation Modeling, 13(3), 465-486.
Frigione, M. (2010). Recycling of PET bottles as fine aggregate in concrete. Waste Management, 30(6), 1101-1106.
Gleick, P. (2010). Bottled and Sold. The Story behind Our Obsession with Bottled Water. Washington, DC, US: Island Press.
Gonçalves, H., Lourenço, T. & Silva, G. (2016). Green buying behavior and the theory of consumption values: A fuzzy-set approach. Journal of Business Research, 69(4), 1484-1491.
Güngör-Demirci, G., Lee, J., Mirzaei, M. & Younos, T. (2016). How do people make a decision on bottled or tap water? Preference elicitation with nonparametric bootstrap simulations. Water and Environment Journal, 30(3-4 ), 243-252.
Hair, J., Black, W., Babin, B. J., Anderson, R. & Tatham, R. (2006). SEM: confirmatory factor analysis. Multivariate data analysis. Upper Saddle River, NJ, US: Pearson Prentice Hall.
Hooper, D., Coughlan, J. & Mullen, M. (2008). ‘Structural equation modelling: Guidelines for determining model fit’. Electronic Journal of Business Research Methods, 6(1), 53-60.
Hopewell, J., Dvorak, R. & Kosior, E. (2009). Plastics recycling: challenges and opportunities. Philosophical Transactions of the Royal Society of London B: Biological Sciences, 364(1526), 2115-2126.
Hu, Z., Morton, L. & Mahler, R. (2011). Bottled water: United States consumers and their perceptions of water quality.International Journal of Environmental Research and Public Health, 8(2), 565-578.
Jorgensen, B., Graymore, M. & O’Toole, K. (2009). Household water use behavior: An integrated model. Journal of Environmental Management, 91(1), 227-236.
Klaiman, K., Ortega, D. & Garnache, C. (2016). Consumer preferences and demand for packaging material and recyclability. Resources, Conservation and Recycling, (115), 1-8.
Koenig-Lewis, N., Palmer, A., Dermody, J. & Urbye, A. (2014). Consumers’ evaluations of ecological packaging-Rational and emotional approaches.Journal of Environmental Psychology,37, 94-105.
Kolasa, S. (2016). Evaluating predictive count data distributions in retail sales forecasting. International Journal of Forecasting, 32(3), 788-803.
Liobikienė, G., Mandravickaitė, J. & Bernatonienė, J. (2016). Theory of planned behavior approach to understand the green purchasing behavior in the EU: A cross-cultural study.Ecological Economics, (125), 38-46.
Mackey, E., Davis, J., Crozes, G. & Boulos, L. (2003). Consumer perceptions of tap water, bottled water, and filtration devices. Denver, CO, US: IWA Publishing.
Medrano, L. & Muñoz-Navarro, R. (2017). Aproximación Conceptual y Práctica a los Modelos de Ecuaciones Estructurales. Revista Digital de Investigación en Docencia Universitaria, 11(1), 219-239.
McLeod, L., Bharadwaj, L. & Waldner, C. (2014). Risk factors associated with the choice to drink bottled water and tap water in rural Saskatchewan. International Journal of Environmental Research and Public Health, 11(2), 1626-1646.
Mishra, P., Jain, T. & Motiani, M. (2017). Have Green, Pay More: An Empirical Investigation of Consumer’s Attitude Towards Green Packaging in an Emerging Economy. InEssays on Sustainability and Management(pp. 125-150). Singapore, Singapore: Springer.
Muñeton, G., Martínez-Ruiz, F. y Loaiza, O. (2017a). Toma de decisiones. Explicaciones desde la ciencia aplicada del comportamiento. Espacios, 38(13), 1-11.
Muñeton, G., Vanegas, J., Valencia, M. y Restrepo, J. (2017). Brechas entre hábito y actitud en el consumo de bebidas empacadas en PET, Medellín-Colombia. Producción + Limpia, 12(2), 118-130.
Onufrak, S., Park, S., Sharkey, J. & Sherry, B. (2014). The relationship of perceptions of tap water safety with intake of sugar-sweetened beverages and plain water among US adults. Public Health Nutrition, 17(01), 179-185.
Prakash, G. & Pathak, P. (2017). Intention to buy eco-friendly packaged products among young consumers of India: A study on developing nation.Journal of Cleaner Production,141, 385-393.
Papong, S., Malakul, P., Trungkavashirakun, R., Wenunun, P., Chom-in, T., Nithitanakul, M. & Sarobol, E. (2014). Comparative assessment of the environmental profile of PLA and PET drinking water bottles from a life cycle perspective. Journal of Cleaner Production, 65, 539-550.
Ragusa, A. & Crampton, A. (2016). To Buy or not to Buy? Perceptions of Bottled Drinking Water in Australia and New Zealand. Human Ecology, 44(5), 565-576.
Raykov, T. & Marcoulides, G. (2006). A first course in structural equation modeling. New York, US: Lawrence Erlbaum Associates.
Ritter, A., Borchardt, M., Vaccaro, G. & Pereira, G. (2015). Motivations for promoting the consumption of green products in an emerging country: exploring attitudes of Brazilian consumers. Journal of Cleaner Production, 106, 507-520.
Russell, S. & Fielding, K. (2010). Water demand management research: A psychological perspective. Water Resources Research, 46(5), 1-12.
Saylor, A., Prokopy, L. & Amberg, S. (2011). What’s wrong with the tap? Examining perceptions of tap water and bottled water at Purdue University. Environmental Management, 48(3), 588-601.
Simon, B., Ben Amor, M. & Földényi, R. (2016). Life cycle impact assessment of beverage packaging systems: focus on the collection of post-consumer bottles. Journal of Cleaner Production, 112, 238-248.
Sniehotta, F., Presseau, J. & Araújo-Soares, V. (2014) Time to retire the theory of planned behavior. Health Psychology Review, 8(1), 1-7.
Tabares, S., Anzo, E. & Vanegas, J. (2016). Internacionalización y Pymes: un análisis de las características gerenciales. Espacios, 37(27), 1-21.
Thaler, R. & Sunstein, C. (2008). Nudge. Improving Decisions about Health, Wealth, and Happiness. New Haven, CT, US: Yale University Press.
Thompson, R., Moore, C., vom Saal, F. & Swan, S. (2009). Plastics, the environment and human health: current consensus and future trends. Philosophical Transactions of the Royal Society B, 364(1526), 2153-2166.
Valencia, M., Ramírez, S., Tabares, J. y Velásquez, C. (2014). Métodos de pronósticos clásicos y bayesianos con aplicaciones. Recuperado de http://bdigital.unal.edu.co/12560/
Valencia-Cárdenas, M. & Restrepo-Morales, J. (2016). Evaluation of financial management using latent variables in stochastic frontier analysis. DYNA, 83(199), 35-40.
Van der Linden, S. (2015). Exploring Beliefs about Bottled Water and Intentions to Reduce Consumption: The Dual-Effect of Social Norm Activation and Persuasive Information. Environment and Behavior, 47(5), 526-550.
Welle, F. (2011). Twenty years of PET bottle to bottle recycling-An overview. Resources, Conservation and Recycling, 55(11), 865-875.
Welle, F. (2013). Is PET bottle-to-bottle recycling safe? Evaluation of post-consumer recycling processes according to the EFSA guidelines. Resources, Conservation and Recycling, 73, 41-45.
World Economic Forum & Ellen MacArthur Foundation. (2017). The New Plastics Economy: Catalysing action. Recuperado de http://www.ellenmacarthurfoundation.org/publications
Yamaguchi, K. & Takeuchi, K. (2016). Consumer preferences for reduced packaging under economic instruments and recycling policy. Waste Management, 48, 540-547.
Zhang, H. & Wen, Z. (2014). The consumption and recycling collection system of PET bottles: A case study of Beijing, China. Waste Management, 34, 987-998.
Notas