Artículos
Recepción: 28 Abril 2014
Recibido del documento revisado: 13 Marzo 2019
Aprobación: 15 Marzo 2019
DOI: https://doi.org/10.15446/cuad.econ.v39n79.43049
RESUMEN:
El objetivo de este artículo es analizar el efecto de la actividad económica sobre la variación de los homicidios por departamentos en Colombia y su correlación con otros tipos de delito. Para este fin, se realiza la estimación de un modelo de datos de panel con variables instrumentales, y se muestra que un aumento de la actividad económica en promedio reduce los homicidios. Adicionalmente, los homicidios están correlacionados negativamente con los crímenes contra la propiedad. Esta evidencia sugiere que los criminales sostienen su actividad delictiva a lo largo del ciclo económico sustituyendo distintos tipos de crimen.
JEL: C33, C36, R10.
Palabras clave: homicidios, actividad económica, datos de panel, variables instrumentales.
ABSTRACT:
The objective of this paper is to analyze the effect of economic activity on the variation of homicides by regions in Colombia and its correlation with other types of crime. To this end, a panel data model is estimated with instrumental variables, showing that an increase in economic activity reduces the number of homicides. Moreover, the number of homicides is negatively correlated with crimes against property. This evidence suggests that criminals sustain their illegal activity throughout the economic cycle substituting across different types of crime.
JEL: C33, C36, R10.
Keywords: murders, economic activity, data panel, instrumental variables.
RÉSUMÉ:
L'objectif de cet article est d'analyser l'effet de l'activité économique sur la variation des homicides par départements en Colombie et leur relation avec d'autres types de délit. Pour cela, on utilise un modèle de données de panel avec des variables instrumentales, et cela montre qu'en moyenne une augmentation de l'activité économique réduit les homicides. En outre, les homicides sont liés négativement aux délits contre la propriété. Ce résultat suggère que les délinquants entretiennent leur activité délictuelle en fonction du cycle économique en substituant divers types de délits.
JEL: C33, C36, R10.
Mots-clés: homicides, activité économique, données de panel, variables instrumentales.
RESUMO:
O objetivo deste artigo é analisar o efeito da atividade econômica sobre a variação dos homicídios por departamentos em Colômbia e sua correlação com outros tipos de delito. Para este fim, realiza-se a estimação de um modelo de dados de painel com variáveis instrumentais, e mostra-se que um aumento da atividade econômica em média reduz os homicídios. Adicionalmente, os homicídios estão correlacionados negativamente com os crimes contra a propriedade. Esta evidência sugere que os criminosos sustentam sua atividade criminosa ao longo do ciclo econômico substituindo distintos tipos de crimes.
JEL: C33, C36, R10.
Palavras-chave: homicídios, atividade econômica, dados de painel, variáveis instrumentais.
INTRODUCCIÓN
La actividad criminal ha estado en el centro del debate académico desde los históricos trabajos de Beccaria (1764) y Bentham (1789), quienes iniciaron la teoría de la disuasión que fue formalizada más tarde por Becker (1968). Sus postulados se han complementado con diversas disciplinas con el fin no solo de comprender sus principales causas, sino también con el objeto de proponer e implementar, según el contexto, estrategias y políticas que permitan su reducción (Eide, 2000).
Los estudios teóricos del crimen se pueden clasificar básicamente en dos enfoques. En primer lugar, están las teorías que explican la criminalidad tomando como marco de referencia el estado psicológico del delincuente, así como el ambiente social y familiar que le rodea. Entre estas se destacan: (i) la teoría de la desorganización social, (ii) la teoría de la tensión y (iii) la teoría de la inercia criminal (Eide, 2000; Fajnzylber, Lederman y Loayza, 2002; Cotte, 2008). En segundo lugar, se encuentra la línea teórica de la economía del crimen que estudia los incentivos económicos que llevan a un individuo racional a decidir, una vez compara costos y beneficios, cuándo le conviene o no delinquir (Becker, 1968; Ehrlich, 1973). Se suman a este enfoque, las teorías del efecto motivacional y del efecto oportunidad que guían los estudios que analizan únicamente la actividad económica como determinante del crimen (Cook y Zarkin, 1985; Cantor y Land, 1985).
Los esfuerzos por comprender la influencia de la actividad económica sobre el comportamiento de las tasas de criminalidad han tomado nuevas perspectivas, tanto en el análisis teórico como metodológico. Lo anterior, con el fin de proponer e implementar políticas públicas que permitan enfrentar el crimen de una forma eficaz dentro de un contexto de interdependencia entre las economías y de tasas de criminalidad crecientes (UNOCD, 2011; Finklea 2011). Sin embargo, en la medición del crimen no existe una sola medida que refleje por completo todos los tipos de delitos y es, por lo general, el homicidio la que se toma como variable proxy del crimen (Dammert, 2000; FLACSO BID, 2010).
En este último aspecto, las tasas de homicidios más altas del mundo las presenta Latinoamérica, siendo Colombia, junto con El Salvador, Guatemala, Venezuela y Brasil, uno de los países con las tasas de homicidios más altas de la región (UNOCD, 2010). Autores como Montenegro y Posada (1994), Sarmiento y Becerra (1998), Bejarano (1999) y Rubio (1997, 1999) analizan el crimen en Colombia agregando los delitos (hurto, extorsión, estafa, homicidio, entre otros) en una variable que han denominado violencia, es decir, estos estudios suponen que todos los delitos tienen el mismo comportamiento y que, por lo tanto, están explicados por los mismos factores determinantes. En este artículo, vamos en otra vía y discutimos que la agregación del crimen en Colombia crea un sesgo. Este sesgo proviene de comprender que los delitos en el país no se comportan igual en el tiempo ni en diferentes regiones y, por lo tanto, es un sofisma hablar de una violencia o crimen generalizado cuando unos delitos suben y otros bajan.
De este modo, este artículo tiene dos grandes contribuciones: la primera es la estimación del efecto negativo que tiene la actividad económica sobre los homicidios; con lo cual se puede considerar que la actividad económica es uno de los mecanismos que influye en uno de los delitos más atroces: el homicidio común. La segunda contribución consiste en introducir e iniciar la discusión sobre un sesgo derivado de la agregación de los delitos, el crimen o la violencia, que históricamente se han tratado como uno solo. Aquí mostramos evidencia sobre el comportamiento heterogéneo de los delitos con el homicidio por departamentos y en el tiempo.
Esta relación inversa entre la variación de los homicidios y otros delitos, al parecer, podría ser explicada por la actividad económica del país. Es decir que, en momentos de auge económico, los delincuentes tienen mayores probabilidades de cometer delitos contra la propiedad e incurrir en otras actividades criminales menores, mientras que, en periodos de desaceleración económica es difícil cometer este tipo de delitos menores; ante lo cual, los delincuentes se ven obligados a usar más violencia y, por tanto, se produce un aumento en los homicidios. En consecuencia, se podría afirmar que uno de los mecanismos que dispara o contiene la actividad criminal es la prosperidad de la actividad económica.
Teniendo en cuenta este último punto, el objetivo de este documento es analizar el efecto de la actividad económica sobre los homicidios por departamentos para el caso colombiano. Con este fin, se emplea información departamental para el periodo 2001-2010, incluyendo efectos fijos en la estimación con la idea de controlar la heterogeneidad no observable de los departamentos y del tiempo. Igualmente, se trata el problema de endogeneidad utilizando dos metodologías, el método de variables instrumentales (VI) y el método generalizado de momentos (GMM), este último también con VI, y tomando como instrumento la actividad económica latinoamericana. Finalmente, garantizamos que la actividad económica latinoamericana esté correlacionada con la actividad económica regional en Colombia (supuesto de relevancia) y no correlacionada con la variación regional de los homicidios (supuesto de exogeneidad).
El documento está organizado de la siguiente manera. Posterior a esta introducción, la sección 2 presenta una revisión de literatura y el modelo económico sobre el crimen. En la sección 3, se enseñan algunas estadísticas del comportamiento de los homicidios y los delitos contra la propiedad; la relación entre los homicidios y la actividad económica, y la relación espacial de los homicidios. La sección 4 corresponde a los datos y la estrategia empírica, y la sección 5 expone los principales resultados de las estimaciones. Finalmente, se presentan las conclusiones y las referencias bibliográficas.
LITERATURA
En esta sección se presenta la revisión de literatura más reciente sobre el análisis económico del crimen. En primer lugar, se presenta una recopilación de algunos trabajos internacionales para luego pasar a la literatura en Colombia. Al final de la sección se presenta un modelo económico con los postulados de Becker-Ehrlich sobre el crimen y los enfoques de un efecto motivacional y un efecto propiedad.
A nivel internacional, son varios los estudios que realizan una revisión de la literatura relevante, seminal y actualizada sobre el tema de la violencia desde el punto de vista económico. Chalfin y McCrary (2017) revisan la literatura de los últimos veinte años y concluyen que existe evidencia considerable de que el crimen responde a la existencia de oportunidades legítimas y atractivas en el mercado laboral y que hay mucha menos evidencia de que el crimen responda a la severidad de las sanciones penales. Otros trabajos recientes que recopilan gran parte de la literatura del análisis del crimen desde la perspectiva económica son Durlauf y Nagin (2011), Nagin (2013) y Draca y Machin (2015).
La literatura internacional continúa siendo creciente y los trabajos empíricos en los que se utilizan unidades de análisis regional son numerosos. Así, entre los estudios empíricos que toman las ciudades como unidad de análisis se encuentra, por ejemplo, el estudio de Cornwell y Trumbull (1994). Estos autores estiman el efecto de distintas medidas de disuasión sobre la tasa de crimen para los diferentes condados de Carolina del Norte en Estados Unidos. Su objetivo es resolver el problema de endogeneidad existente entre las medidas policiales y el crimen, pues argumentan que estudios previos solo se enfocan en las técnicas econométricas usuales con datos de corte transversal, sin tener en cuenta la heterogeneidad no observada. Asimismo, Baltagi (2006), replicando el ejercicio de Cornwell y Trumbull (1994), concluye que las inferencias serán correctas en la medida que se trate el problema de endogeneidad. El trabajo más reciente del efecto de las medidas policiales sobre el crimen lo llevan a cabo Chalfin y McCrary (2018), quienes utilizan datos de panel de 1960 a 2010 para las principales ciudades estadounidenses. Sus resultados confirman lo hallado por Cornwell y Trumbull (1994); es decir, que la fuerza policial reduce el crimen, y agregan que el efecto es mayor en los crímenes violentos que en los delitos contra la propiedad.
Existen numerosos estudios cuya unidad de análisis es la del orden geográfico provincial o departamental. En contraste con la mayoría de estudios que se enfocan en las ciudades y en los efectos de las medidas de disuasión sobre el crimen, este tipo de estudios tienen diversas variables explicativas del crimen, entre las que se incluyen: la tasa de desempleo, medidas de desigualdad y pobreza, medidas sociodemográficas, de urbanización y cultura, e incluso el efecto del consumo de drogas. Con respecto a la medida del crimen, estos estudios analizan el efecto de cada una de las variables antes mencionadas sobre distintos tipos de delitos que van desde crímenes violentos hasta delitos contra la propiedad.
En este sentido, para Japón, Tsushima (1994) encuentra una relación positiva entre la tasa de desempleo y el homicidio, así como con el hurto. Las medidas de desigualdad empleadas tienen un efecto positivo y significativo sobre el hurto, pero la pobreza afecta solamente los homicidios. Además, se encuentra que el porcentaje de hombres jóvenes afecta positivamente el hurto, pero negativamente los homicidios. Entorf y Spengler (2000), por medio de un panel estático, concluyen que en Alemania las medidas de disuasión tienen un efecto positivo sobre el crimen, y las variables económicas y sociales ejercen una importante influencia sobre la criminalidad. Los autores resaltan que la población joven y desempleada incrementa la probabilidad de que se cometa un crimen. Igualmente, Núñez, Rivera, Villavicencio y Molina (2003), por medio de un panel de datos y estimación por efectos fijos, encuentran que en Chile la tasa de desempleo y la eficiencia de la fuerza policial explican los delitos de motivación económica, a saber, el robo, el tráfico de drogas y la estafa. Otros estudios con datos de panel que confirman la influencia de las variables económicas, demográficas y de disuasión sobre el crimen a nivel regional o provincial son Blackmore (2003) en Surafrica, Saridakis y Spengler (2009) en Grecia, y Lombardo y Falcone (2011) en Italia.
Otro tipo de estudios a nivel provincial o departamental emplean el método generalizado de momentos para datos de panel en su estimación, dado que esta técnica permite enfrentar los posibles problemas de endogeneidad empleando las variables explicativas rezagadas como variables instrumentales. De esta forma, Andrienko (2001), analiza para Rusia el efecto de distintas medidas económicas, sociodemográficas y de disuasión sobre el crimen; para ello, incluyen además aquellas variables que reflejan los antecedentes criminales de los infractores y el consumo de alcohol y drogas. Entre sus principales resultados, se muestra que el nivel educativo se relaciona negativamente con el crimen y que el incremento en el consumo de drogas y alcohol está relacionado con el aumento de distintos tipos de delitos. Borraz y González (2007), utilizando datos de panel de 1986 a 2006, encuentran que para el caso uruguayo las variables socioeconómicas empleadas no tienen ningún efecto sobre el crimen, mientras que la densidad poblacional y la tasa de urbanización tienen una relación positiva con este.
En términos de estudios cross-country, el trabajo más conocido es el de Fajnzylber, Lederman y Loayza (1998, 2000), quienes, por medio del método generalizado de momentos y reconociendo la dificultad de comparar tasas de criminalidad entre países, emplean las tasas de homicidio intencional y hurto como variables proxy para medir el crimen. Para el estudio, los autores emplean cinco enfoques de medición, siendo el modelo central aquel que tiene distintas medidas económicas y de desigualdad como covariantes. Los otros modelos corresponden a aquellos que consideran medidas de disuasión, producción y posesión de drogas, variables demográficas, culturales y religiosas. Su principal conclusión es que los países con mayor desigualdad económica son los que evidencian mayores tasas de criminalidad.
Con respecto a los trabajos que se enfocan en estudiar específicamente la relación entre la actividad económica y el crimen, la mayoría utiliza la tasa de desempleo como variable proxy de la actividad económica. Así, encuentran que la relación entre la actividad económica y los delitos contra la propiedad es inversa, mientras que la relación entre la actividad económica y los delitos contra la vida arrojan parámetros no significativos (Cook y Zarkin, 1985; Cantor y Land, 1985; Corman, Joyce y Lovitch, 1987; Raphael y Winter, 2001; Levitt, 2004; Garret y Ott, 2008).
Sin embargo, una reciente revisión bibliográfica de Finklea (2011) señala que, según diversos autores, existen mejores variables proxy de la actividad económica las cuales fluctúan más que la tasa de desempleo, como por ejemplo el Producto Interno Bruto (PIB) a nivel nacional y departamental. En este estudio, se resalta la investigación de Arvanites y Defina (2006), quienes afirman que mientras la tasa de desempleo puede estar correlacionada con distintas variables macroeconómicas, puede no reflejar cambios en otros indicadores económicos relevantes a la hora de analizar los determinantes del crimen, como lo son las horas de trabajo, el nivel de salarios, la movilidad laboral, la seguridad laboral, entre otras; proponiendo el PIB como una medida de actividad económica más útil para estudiar el crimen.
En Colombia, un conjunto de trabajos han analizado las causas y consecuencias de la violencia desde mediados de los años noventa, algunos de ellos son los de Echeverry y Partow (1998), Sarmiento (1999), Rubio (1999, 2000), Montenegro, Posada y Piraquive (2000), Gaviria (2000), Sánchez y Núñez (2001), González (2002), Barrera, (2004), Camara y Salama (2004), Sánchez, Solimano y Formisano (2005), Baron (2009, Bonilla (2009) y Sandoval (2018)). Algunos de estos trabajos agregan los crímenes en una variable llamada violencia, criminalidad o delincuencia. Como resultado, establecen que Colombia es un país que fue, es y será un país violento por naturaleza o por causas estructurales.
Uno de los primeros trabajos sobre el análisis de violencia en Colombia fue el de Gaitán (1995), quién utilizando métodos estadísticos y de regresión invalidó algunas hipótesis sobre la violencia colombiana, particularmente aquellas que la relacionan con la pobreza, la desigualdad y el carácter de los colombianos. Aun así, trabajos previos y posteriores como los de Camacho (1990) y Agudelo (2003) siguen asociando la violencia a factores como la intolerancia, al carácter de los colombianos y/o a factores epidemiológicos. Otro trabajo que invalida esta idea es el de Rubio (2000).
Finalmente, para el caso colombiano y específicamente del efecto que tiene la actividad económica sobre los homicidios, se encuentra el trabajo de Carranza, Dueñas y González (2011), quienes, empleando los homicidios y la actividad económica y estimando por medio de variables instrumentales y técnicas de cointegración, encuentran que existe una fuerte relación causal que va de la actividad económica a los homicidios. De otra parte, a nivel de ciudades, el estudio más reciente es el de Cotte (2008), quien por medio del método generalizado de momentos estima un panel dinámico para las siete ciudades principales del país. A partir de ahí, encuentra que la educación, los salarios y la posesión de drogas explican en gran parte la variación de la tasa de homicidios.
Para las cinco regiones colombianas, Amazónica, Andina, Caribe, Orinoquía y Pacífica, Mancera (2008) sigue el enfoque de Entorf y Spengler (2000) y Núñez et al. (2003), y estudia el efecto de distintas variables económicas y sociodemográ-ficas para varios tipos de delitos. El autor muestra que la pobreza y el desplazamiento forzado tienen una relación positiva con distintos delitos. Señala, además, que la tasa de desempleo tiene una relación positiva con los delitos de secuestro y terrorismo y que las oportunidades de ingreso legal tienen una relación inversa con los asesinatos y secuestros.
Otro tipo de estudios utilizan información de corte transversal a nivel departamental, por ejemplo, el de Martínez y Rocha (2003), el cual concluye que en Colombia los niveles de pobreza incentivan la criminalidad y van en contra del crecimiento económico de los departamentos. En contraste, Sánchez y Núñez (2001) señalan que, en las siete principales ciudades colombianas, las medidas de pobreza afectan muy poco el aumento de los homicidios.
MODELO ECONÓMICO
El primero en modelar el crimen desde el punto de vista de la teoría económica fue Becker (1968), cuyo modelo se relaciona directamente con lo que en la literatura se conoce como la teoría de la disuasión. Posteriormente, dicho modelo fue extendido por diversos autores con el fin de incorporar en el análisis de la criminalidad otros factores adicionales a la probabilidad de captura o severidad de las penas (Eide, 2000). Por consiguiente, el modelo clásico de la economía del crimen corresponde a la versión Becker-Ehrlich, donde básicamente el individuo debe asignar su tiempo entre actividades lícitas e ilícitas.
Según Ehrlich (1973), la asignación del tiempo de un individuo entre actividades legales e ilegales se puede modelar de forma simple tomando como marco de referencia la teoría de la elección bajo incertidumbre. De esta manera, un individuo puede participar en dos tipos de actividades: una ilegal (i ) y otra legal (l ), en ambos casos las ganancias son crecientes respecto al tiempo que se emplea en cada una t1 y tl. La actividad legal (l ) es segura, de forma tal que los retornos netos son devueltos con certeza y vienen representados por Wt(tt ). La actividad (i ) es riesgosa y por lo tanto los retornos netos están condicionados a: ( p. ) que representa la probabilidad de captura y castigo, y (1 - p. ) que se refiere a la probabilidad de éxito. Si el delincuente tiene éxito, su beneficio neto será igual a Wt(tt ), y en caso de ser capturado y castigado, sus retornos netos se reducirán en F.(t. ). Además, el individuo tiene en cualquier estado del mundo un valor fijo de sus activos igual a W׳.
Se supone que el individuo se comportará de tal forma que maximice la utilidad esperada.
Así, la función de utilidad en un estado del mundo s viene dada por:

Donde tc es el tiempo dedicado a actividades fuera del mercado. Existen, por lo tanto, dos estados del mundo que conforman el bien compuesto X:
Con probabilidad de éxito se tiene que,

Con probabilidad de fracaso se tiene que,

La utilidad esperada viene dada entonces por,

Donde, пs representa la probabilidad del estado s , que se reduce a

Las principales predicciones del modelo Becker-Ehrlich son: primero, las que tienen que ver con las medidas de disuasión, que implican que un aumento en la probabilidad de captura del individuo o una mayor severidad del castigo disminuyen los incentivos del individuo para delinquir. Y, segundo, en el caso de las actividades económicas, que la contracción de la actividad económica incide negativamente en las oportunidades de ingreso legal, promoviendo las actividades ilegales, y finalmente el uso de una violencia mayor.
Desde el punto de vista de los estudios que explican el crimen solo a partir de la actividad económica, el principal aporte teórico se encuentra en dos trabajos. Por un lado, Cantor y Land (1985) sugieren dos efectos distintos de la actividad económica sobre el crimen. En primer lugar, está el efecto de la motivación, que predice un comportamiento inverso entre el crimen y la actividad económica, argumentando que los incentivos del individuo son tales que lo motivan a cometer el acto delincuencial, esto coincide con los postulados de Becker. En segundo lugar, se encuentra el efecto oportunidad. Este enfoque predice una relación positiva entre el crimen y la actividad económica y señalan que, en épocas de recesión económica y altas tasas de desempleo, las oportunidades para cometer un acto delictivo disminuyen, o bien porque las posibles víctimas no tienen muchos bienes para robarles, o porque estas defenderán sus propiedades ante cualquier posible amenaza.
Por otra parte, Cook y Zarkin (1985) mencionan el enfoque de las oportunidades legítimas, en el que se propone que tasas de desempleo relativamente altas, junto al comportamiento de otros indicadores económicos en épocas de recesión, promueven el incremento en los actos criminales dado que el costo de oportunidad del tiempo gastado en actividades criminales o en la cárcel disminuye. Igualmente, coinciden con Cantor y Land (1985) con respecto a las oportunidades criminales, puesto que en el caso de los delitos contra la propiedad cabe esperar que en épocas de recesión este tipo de delitos disminuyan. No obstante, concluyen que no existen predicciones claras para afirmar si la relación entre los distintos delitos y la actividad económica será positiva o negativa. Además, señalan que cualquier intento teórico por incorporar todos los posibles resultados en un único modelo será objeto de prominentes errores de especificación, y que, por ende, es más enriquecedor un ejercicio empírico sobre el tema.
LOS HOMICIDIOS POR DEPARTAMENTOS EN COLOMBIA
En Colombia, la información de delitos se recoge para tres grandes unidades de análisis. La primera son las ciudades, la segunda son los departamentos y la tercera para el total nacional. Sin embargo, en este estudio, se utilizan los departamentos como unidad de análisis, incluyendo a Bogotá D.C. y eliminando al departamento de Vaupés del que no hay información confiable. La elección de la unidad de análisis departamental radica principalmente en la disponibilidad de la información de la actividad económica, en este caso del PIB real, el cual se mide solamente para los departamentos y la capital del país, Bogotá D.C. El cálculo del PIB no se realiza oficialmente para las ciudades. Además, la heterogeneidad de los departamentos no es tan grande como la de las ciudades colombianas.
En el gráfico 1 se puede observar el promedio de homicidios entre 2001 y 2017 para cada departamento, incluido el distrito capital, que con el Valle del Cauca, Antioquia y Norte de Santander presentan los valores medios más altos. En particular, se puede resaltar que en los primeros años del siglo XXI es el Valle del Cauca el departamento que mayor promedio de homicidios presenta con 1920, lo que representa algo más de cinco homicidios diarios. En general, el gráfico muestra que las regiones colombianas sufren una violencia homicida generalizada con pequeñas excepciones.

A continuación, se presenta el análisis gráfico del comportamiento de los homicidios y los delitos contra el patrimonio económico, tanto a nivel nacional como departamental, y de la relación entre la actividad económica y los homicidios. Se expone gráficamente la intuición de un comportamiento heterogéneo y disímil de los delitos que no favorece una agregación de estos o que sean tratados de forma agregada, o como una violencia sistémica (o aleatoria) como históricamente se ha hecho en el país. Por otra parte, en una sección posterior se presenta el análisis de la relación espacial de los homicidios en Colombia por departamentos y ciudades que muestra efectivamente que los delitos no son aleatorios, sino que están condicionados por algunos mecanismos que probablemente han sido históricamente omitidos por la mayoría de estudios previos.
Comportamiento de los homicidios y los delitos contra el patrimonio económico
Como se puede observar en el gráfico 2, construido con datos del total nacional, mientras los delitos contra la vida (representados por el total de homicidios) aumentan, los delitos contra el patrimonio económico (estafa, hurto, extorsión) disminuyen, y viceversa. Este mismo patrón parece darse cuando se analiza el comportamiento de los mismos delitos a nivel departamental. La hipótesis es sencilla, delitos como la estafa, el hurto (omitiendo el hurto a personas) y la extorción no necesitan la presencia física de la persona para cometerse; con lo cual, la vida de la víctima no corre riesgo, pero en cambio, delitos como el hurto a personas (o el fleteo) exige la presencia física de la víctima, por lo que, en una circunstancia de contracción de la actividad económica, el delincuente supone que debe garantizar el éxito de su actividad criminal y puede estar más dispuesto al uso de la violencia homicida para lograr su propósito. Otro argumento de la misma hipótesis es que, cuando un criminal da una orden, por ejemplo, de vender un bien, en momentos de auge económico, el bien probablemente será más fácil de vender (por lo menos a un precio mínimo). Sin embargo, en momentos de desaceleración económica, el bien probablemente no se pueda vender, con lo cual aparecerá el uso de una violencia superior, el homicidio o un ajuste de cuentas. En ambos casos, es la actividad económica el mecanismo determinante.

El gráfico 3 muestra que, por ejemplo, para el departamento del Cesar entre 2004 y 2006 mientras los homicidios disminuyen, los delitos contra el patrimonio económico aumentan. De 2007 a 2008 ocurre lo contrario, mientras los homicidios aumentan, los delitos contra la propiedad disminuyen, cambiando de nuevo ambos hasta 2010. Igualmente, para Cundinamarca, se puede apreciar que, de 2001 a 2006, los delitos contra la propiedad crecen ininterrumpidamente y los homicidios se reducen. En el caso del Magdalena, la gráfica muestra la relación inversa entre los dos tipos de delitos para toda la década. Mientras que, en el caso del Valle, de 2002 a 2010, el número de homicidios tiende a la baja y desde el 2002 hasta 2006 los delitos contra la propiedad aumentan, disminuyen hasta el 2008 y nuevamente se incrementan hasta 2010. Las regiones seleccionadas para este análisis son las que mayor fuerza visual muestran de nuestra hipótesis. Sin embargo, este es un análisis gráfico e intuitivo, pero soporta con gran validez la hipótesis de una violencia heterogénea y los hallazgos de los modelos econométricos estimados y que se presentan más adelante.

En suma, la relación inversa entre los homicidios y los delitos contra el patrimonio económico parece darse tanto en el total nacional como a nivel departamental.
Relación entre los homicidios y la actividad económica departamental
En este apartado, se analiza gráficamente cómo se relacionan los homicidios con la actividad económica a nivel departamental. Carranza et al. (2011), a partir de estudios con medidas del total nacional, determinan que los homicidios y la actividad económica en Colombia se relacionan de forma inversa. A nivel departamental, también parece confirmarse el efecto negativo de la actividad económica sobre los homicidios, tal y como se puede ver en el gráfico 4. Por ejemplo, para los departamentos del Cesar, Cundinamarca, Magdalena y Valle, la gráfica revela cómo mientras la actividad económica departamental va creciendo, el número de homicidios disminuye. A partir de estas observaciones surgen dos hipótesis: la primera es que los homicidios y los delitos contra la propiedad presentan una relación inversa en el orden departamental; y segundo, que la actividad económica se correlaciona negativamente con los homicidios.

Relación espacial de los homicidios
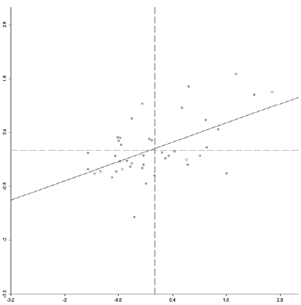
En esta sección se utilizan las herramientas de análisis espacial básico con el objetivo de observar la existencia de patrones espaciales de comportamiento en los homicidios por departamentos (y municipios). Asimismo, con el fin de mostrar por qué los departamentos son la unidad geográfica de estudio, se siguen las propuestas de análisis espacial de Krugman, Masahisa y Venables (2000), Anselin y Florax (2012) y Elhorst (2014), quienes destacan que esta metodología permite explorar los patrones más importantes que se encuentran en un grupo de datos geo-referenciados. Empezamos con el Índice de Moran1 para estimar la potencial existencia de una correlación espacial. La hipótesis nula por evaluar es la no autocorrelación espacial de los datos. Así, para analizar la distribución espacial de los homicidios se utilizan el mapa 1, el gráfico 5 y la tabla 1. En el mapa 1, los colores claros indican los municipios con bajas tasas de homicidios; mientras que los municipios con los colores más oscuros muestran mayores tasas. Así pues, es posible observar una fuerte relación en los homicidios por municipios, casi en forma de clusters, y menos fuerte entre los 32 departamentos de Colombia.
Del mismo modo, el gráfico 5 presenta el diagrama de dispersión asociado al estadístico índice de Moran. En el eje horizontal del diagrama se tienen las observaciones de la variable en unidades de desviaciones respecto a la media y en el eje vertical se tiene el promedio ponderado espacial y estandarizado de sus vecinos. La pendiente de la línea de regresión corresponde al coeficiente del índice de Moran y la significancia se simula por medio de técnicas de bootstrapping de forma aleatoria con 99 y 999 repeticiones. En la tabla 1 se muestran los valores del índice y del pseudo p-valor asociado a la significancia estadística.


De acuerdo con la tabla 1, esta aproximación espacial parece indicar que la distribución espacial de los homicidios no se comporta de manera aleatoria entre municipios, sino que, por el contrario, parece existir algún tipo de dependencia, lo cual no se presenta para los departamentos pues la estimación del p-valor no resulta significativo al 90, 95 y 99 por ciento de confianza. Por consiguiente, se rechazó la hipótesis nula de autocorrelación espacial por departamentos. De esta forma, comprobamos la no omisión de factores espaciales asociados al efecto que tiene la actividad económica sobre la variación de los homicidios por departamentos.

ESTRATEGIA EMPÍRICA
La información utilizada para los delitos proviene de la Revista de Criminalidad de la Policía Nacional de Colombia, Policía Nacional (2001-2017). Para las características departamentales, la información fue obtenida del Departamento Administrativo Nacional de Estadística (DANE). Con el fin de analizar el efecto que tiene la actividad económica sobre la variación de los homicidios, se emplea un modelo de datos de panel con efectos fijos, estimado por medio del método de Mínimos Cuadrados Ordinarios (MCO), método de Variables Instrumentales (VI) y Método Generalizado de Momentos (GMM) con instrumentos.
La especificación del modelo general a estimar es:

Donde, yit es el logaritmo de los homicidios departamentales (i);Yt es un vector de observaciones de 1 χ g2, con g2 variables endógenas incluidas como variables explicativas; X,es un vector de observaciones de 1 χ k,, con k, variables exógenas; Zit= [YitXit ], con Xit= [XlitX2it ],donde X2it es un vector de 1 χ k2 , con k2 variables instrumentales; γ es un vector de coeficientes de g2 χ 1; β es un vector de coeficientes de k1 χ 1, y δ es un vector de coeficientes de K χ 1 donde K=g2 + k1. μ1. es el componente de efectos fijos, y vit es el error idiosincrático.
En este tipo de estudios no se puede suponer que las observaciones estén distribuidas de forma independiente a lo largo del tiempo, ya que pueden existir factores no observados (heterogeneidad no observada). Estos factores no observados pueden ser de dos tipos: unos constantes y otros que cambian en el tiempo. Esto se controla en este trabajo con el estimador de efectos fijos para los departamentos (i ) y el tiempo (t).
Con el fin de corregir la endogeneidad entre los homicidios y la actividad económica, se emplea como variable instrumental el PIB latinoamericano, el cual debe satisfacer dos condiciones. Primero, la condición de relevancia, es decir, que la variable instrumental esté correlacionada, en este caso, con la actividad económica departamental. Y segundo, la condición de exogeneidad, según la cual el instrumento no está correlacionado con los homicidios departamentales, en otras palabras, con vit .
Según Carranza et al. (2011), la variación de la actividad económica en los países suramericanos, particularmente latinoamericanos, está correlacionada con la variación de la actividad económica colombiana, pero no directamente con la variación en el número de homicidios; se cumple así los requerimientos para que el PIB latinoamericano sea instrumento de la actividad económica departamental. Además, el comportamiento de la actividad económica de los departamentos sigue la tendencia de la actividad económica nacional, con lo cual se puede ver, una vez más, cómo la variación de la actividad económica latinoamericana está correlacionada con la actividad económica departamental.
De acuerdo con lo anterior, el modelo de variables instrumentales será:

Donde, yit es el logaritmo natural del número de homicidios del departamento i en el periodo t; Xit es el logaritmo natural del PIB real del departamento i en el periodo t; Cit es el vector de controles; Zit es el logaritmo del PIB real latinoamericano; μi es el componente de efectos fijos, por medio del cual se tiene en cuenta la heterogeneidad no observable de los departamentos, y vit es el componente aleatorio, también conocido como término de error idiosincrático.
PRINCIPALES RESULTADOS
En esta sección se presentan las estadísticas descriptivas de las variables utilizadas en el análisis, así como la estimación de las elasticidades del homicidio con respecto a los delitos contra el patrimonio económico para cada departamento y las estimaciones econométricas con datos de panel por Mínimos Cuadrados Ordinarios (MCO), por el método de Variables Instrumentales (VI) y el Método Generalizado de Momentos (GMM).
La tabla 2 reporta las estadísticas descriptivas del panel de datos en niveles y en logaritmos, entre las que se muestran, además de las medidas convencionales (media, desviación estándar, mínimo y máximo), la dispersión de la media entre grupos % (between) e intragrupos (within) con respecto a la media global 3c. Donde la media intragrupos se calcula como:


En el caso de las variables en niveles, el promedio de homicidios es de 484 muertes y la desviación estándar es de casi 450, mientras que el máximo de homicidios cometidos es de 2264, cifra que corresponde a la ciudad de Bogotá D.C., en el período entre los años 2001 y 2010. Respecto a los delitos contra el patrimonio económico, el hurto agravado a personas es el que presenta la media más alta con 1060 víctimas, seguido por el hurto agravado a residencias con casi 426, el hurto a entidades comerciales con 331,6 y el hurto de automotores con 219,4.
La cifra más alta de hurto agravado a personas es de 16676 víctimas y el máximo del hurto a residencias es de 5765. En lo que respecta a las entidades comerciales, se reporta un máximo de 5722 casos y en el caso de hurto de automotores un máximo de 6923. Los delitos con los promedios más bajos son estafa y extorsión con 95,56 y 43,3, respectivamente. El mayor número de estafas en el periodo de estudio es de 1388 y los casos de extorsión alcanzan un máximo de 600. Cuando se calcula el total de los delitos contra el patrimonio económico, se encuentra que el promedio de actos delincuenciales en la muestra de datos departamentales es de 3052,6, con una desviación estándar de 5816,5 y un máximo de 40361.
Al transformar las variables empleando logaritmos, se encuentra que la media de homicidios es de 5,50, con una desviación estándar de 1,57 y un máximo de 7,72. La desviación de la media entre grupos es de 1,51 y la de la media intragrupos es de 0,51, lo cual refleja que las variables en escala logarítmica tienen desviaciones con respecto a la media global más bajas que cuando están medidas en niveles. Asimismo, el hurto agravado a residencias, a personas, a entidades comerciales y de automotores continúan con los promedios más altos y sus medidas de dispersión también mejoran con respecto a las medidas en niveles. Los delitos agregados muestran una media de 7,12, una desviación estándar de 1,93 y un máximo de 10,60. La desviación de la media entre grupos con respecto a la media global es de 1,29 y la desviación de la media intragrupos es de 0,56.
La tabla 3 presenta las correlaciones entre el homicidio y cada tipo de delito contra el patrimonio económico por cada departamento. Estas correlaciones corresponden a un modelo de regresión simple cuya especificación es:


Donde, Ln(Homt ) es el logaritmo natural del número de homicidios del departamento en el momento t; Ln( Xt ) es el logaritmo natural de cada tipo de delito contra el patrimonio económico del departamento en el momento t y st es el término de error. Esta especificación del modelo permite comprender mejor la correlación entre los diferentes tipos de delitos frente a los homicidios. Al analizar por cada tipo de delito, se puede observar que el mayor número de relaciones negativas se da para el hurto agravado a personas, con 18 casos; hurto a entidades comerciales, con 16 casos; hurto a residencias, con 16 casos; estafa, con 16 casos, y hurto de motocicletas, con 14 casos. Un número de casos menor, pero relevante, se da con la extorsión y el hurto agravado de automotores.
En cuanto a los departamentos, la mayoría presenta relaciones negativas entre el homicidio y algún tipo de delito contra el patrimonio económico en más de tres oportunidades. En este sentido, Guainía es el único departamento que presenta una relación inversa en los ocho casos; seguida de Arauca, Magdalena y Valle, con siete casos; Boyacá, Caquetá, Cesar, La Guajira y Meta, con seis casos; Casanare, Chocó, Guaviare y Huila, con cinco casos; Caldas, Córdoba y San Andrés, con cuatros casos, y Nariño, Putumayo y Sucre, con tres casos.
En términos de la relación entre los homicidios y el agregado de los delitos contra el patrimonio económico, cabe resaltar que en 18 departamentos la relación es negativa, lo cual señala que, en más de la mitad de los departamentos del país, se confirma la relación inversa entre la violencia homicida y los delitos contra la propiedad. Lo anterior, concuerda con nuestra hipótesis de una violencia heterogénea que no se puede agregar por un sesgo de agregación en delitos, crimen o violencia total. De acuerdo con los anteriores resultados, la relación inversa que se da entre los homicidios y los delitos contra la propiedad, tomando en cuenta las medidas del total nacional, se da también en el caso de los departamentos. Esto implica que, cuando este tipo de delitos aumenta, el número de homicidios baja y viceversa.
A partir de la tabla 4 se pueden observar los resultados de las estimaciones del modelo de datos de panel. Las primeras tres especificaciones corresponden al método de mínimos cuadrados ordinarios (MCO). En este orden, el primer modelo muestra cómo, sin incluir la actividad económica, ni efectos fijos, el único delito contra el patrimonio económico que resulta tener una relación inversa con los homicidios corresponde a los hurtos a entidades comerciales, un delito a la propiedad. Por el contrario, el hurto a automotores, el hurto a entidades financieras y el hurto calificado a residencias tienen signo positivo. Con respecto a los delitos relacionados con las personas, a saber, el hurto agravado a personas, la extorsión y la estafa, todos presentan signo negativo, pero no son estadísticamente significativos.

El segundo modelo incluye la actividad económica como variable explicativa y, además, se controla la heterogeneidad no observable por medio de efectos fijos. Como en el primer caso, se siguen manteniendo los signos de los delitos contra la propiedad y los relacionados con personas, sin ser significativos. En este caso, el coeficiente asociado al logaritmo natural del PIB tiene signo positivo y es significativo estadísticamente. Este resultado refleja que, sin instrumentalizar la actividad económica, la relación entre los homicidios y la actividad económica es positiva. En el tercer modelo, se controla únicamente por los delitos contra el patrimonio económico, excluyendo los delitos relacionados con las personas (hurto agravado, extorsión y estafa). Como en el caso del segundo modelo, la relación entre la actividad económica y los homicidios aparece como positiva y significativa, y de nuevo, el único delito que se relaciona inversamente con el número de homicidios es el hurto agravado a entidades comerciales.
Los últimos dos modelos se estiman por el método de variables instrumentales (IV), la única diferencia entre ambas especificaciones tiene que ver con que la heterogeneidad no observable se controla solo en el quinto modelo. En este sentido, la cuarta especificación muestra que la relación entre los homicidios y la actividad económica es negativa, contrario al resultado de los tres primeros casos. Además, el hurto a entidades comerciales no es el único delito que presenta signo negativo, como se evidenció en los primeros tres casos, sino que el hurto calificado a residencias y la estafa presentan también signo negativo, pero, una vez más, ninguno es significativo estadísticamente. En el último caso, el parámetro estimado asociado al PIB real sigue manteniendo el signo negativo y es significativo con un 99 por ciento de confianza.
De acuerdo con los anteriores resultados, se evidencia la existencia de un efecto positivo de la actividad económica sobre los homicidios. Adicionalmente, solo cuando se tienen en cuenta los instrumentos, se encuentra que la actividad económica se relaciona inversamente con los homicidios, al servir como mecanismo de intercambio de algunos delitos por homicidios.
Por lo tanto, es importante resaltar el resultado en el cual la actividad económica tiene un efecto negativo y significativo sobre los homicidios cuando se corrige el problema de endogeneidad de la actividad económica por el método de variables instrumentales. Para profundizar en esta cuestión, cabe emplear otro tipo de metodologías de estimación basadas en el Método Generalizado de Momentos (GMM). Según Arellano y Bond (1991), esta metodología permite la estimación de un panel dinámico para el cual se utilizan variables instrumentales basadas en los rezagos y las diferencias de todas las variables del modelo. Así, las posibles variables instrumentales y sus rezagos se obtienen del método desarrollado por Hansen (1982). Según Cameron y Trivedi (2005) y Wooldridge (2010), la especificación del modelo sería:

Donde, yit es el logaritmo natural de los homicidios del departamento i en el año t; xt es un vector de variables exógenas, y wt es un vector de variables predeterminadas o endógenas, en este caso específicamente el logaritmo natural del PIB. Para Arellano y Bover (1995), los errores idiosincráticos μΗ están correlacionados con y¡ t -j, y para evitar esta correlación, se debe estimar también el modelo en primeras diferencias de la siguiente forma:

De acuerdo con Blundell y Bond (1998), en este caso, Ayi־í-1 también está correlacionado con Δμit por lo que se hace necesario utilizar instrumentos de las variables para que la estimación sea insesgada. Así, el estimador de Arellano-Bover/ Blundell-Bond estima la relación de los homicidios con la actividad económica utilizando la información de ambas ecuaciones en niveles y diferencias.
De acuerdo con Blundell y Bond (1998), Blundell, Bond y Windmeijer (2000) y Windmeijer (2005), para garantizar las propiedades estadísticas deseables del estimador, es necesario suponer que no existe autocorrelación en el error idiosincrático y que no existe correlación entre el efecto del panel (heterogeneidad no observada) y la primera diferencia de la primera observación de la variable dependiente.
En la tabla 5 se presentan los resultados del modelo estimado empleando el estimador (GMM) de Arellano-Bover/Blundell-Bond. Estos resultados muestran que el efecto de la actividad económica sobre la variación de los homicidios continúa siendo negativo y significativo en el caso en el que se corrige el problema de endogeneidad utilizando nuevamente el instrumento del logaritmo del PIB latinoamericano y los rezagos del LN(PIB). Adicionalmente, en la misma tabla, las pruebas estadísticas de Arellano-Bond y Sargan muestran que el modelo está correctamente especificado. Cabe destacar que la persistencia (o inercia criminal) en los homicidios resulta ser significativa con un 99 por ciento de confianza, con lo cual los homicidios del periodo anterior (variable dependiente rezagada-Lag(1)) influyen en el número de homicidios que se comenten en el periodo t.

CONCLUSIONES
En este artículo se analizó el efecto que tiene la actividad económica sobre la variación de los homicidios por departamentos en Colombia. La primera contribución es el análisis empírico de esta relación, el cual se realizó utilizando datos de panel controlando, por medio de efectos fijos, la heterogeneidad no observada de cada departamento y del tiempo. Lo anterior, se justifica en que la desagregación de la violencia homicida en esta unidad geográfica permite obtener resultados más enriquecedores que cuando se estudian las cifras del total nacional.
La segunda contribución se obtuvo tras un análisis gráfico, descriptivo y de regresión simple (elasticidades) entre los homicidios y cada tipo de delito contra el patrimonio económico en su dimensión departamental. Se encontró un hallazgo importante, que tanto el comportamiento de los delitos contra la propiedad como la violencia homicida no siguen la misma dirección; lo que significa que, mientras los delitos contra el patrimonio económico disminuyen, los homicidios aumentan, confirmándose así la existencia de una relación inversa entre ambos tipos de delitos. En este sentido, no se puede hablar en Colombia de criminalidad o violencia en términos generalizados ni agregados, error que se ha venido cometiendo en los últimos años.
Por otra parte, los delitos contra el patrimonio no son iguales. Según Chalfin y McCrary (2018), existen delitos contra el patrimonio que están fuertemente relacionados con la víctima; de ahí que no se pueda considerar igual un hurto a un automotor (a una residencia o a un establecimiento comercial), que puede ser realizado sin la presencia de la persona, a una estafa, una extorsión o un hurto agravado a una persona. Esta condición exige la agrupación de los delitos contra las personas en los que son más cercanos a ellas, como por ejemplo el hurto agravado a personas, la extorsión y la estafa.
Al emplear el método de estimación por variables instrumentales, los resultados permiten concluir que la actividad económica es un fuerte determinante de la variación de los homicidios. La relación entre ambos es inversa, lo que significa que los homicidios en el país están correlacionados negativamente con la actividad económica. En este último aspecto, es importante destacar que esta relación era positiva en la estimación por MCO.
Finalmente, es importante resaltar que al utilizar el estimador de efectos fijos, la instrumentalización del PIB y la estimación por GMM, se encontró un efecto de cambio en el signo de la actividad económica. Este hallazgo parece ser un hecho nuevo en la literatura sobre el tema al evidenciar que la actividad económica funciona como mecanismo de intercambio entre delitos. Así, cuando la actividad económica va bien, los delincuentes prefieren cometer delitos contra la propiedad y cuando la actividad económica va mal, prefieren cometer otros delitos o los mismos, pero utilizando la violencia homicida para garantizar el éxito de la actividad criminal. Así, en Colombia, una actividad económica productiva, competitiva, sana, boyante y prospera traerá como consecuencia una reducción significativa de los delitos más atroces como lo es el homicidio común.
REFERENCIAS
1. Agudelo, S. (2003). Momento y contexto de la violencia en Colombia. Revista cubana de salud pública, 29(1), 18-36.
2. Andrienko, Y. (2001). Explaining crime growth in Russia during transition: economic and criminometric approach. (Working Paper at CEFIR) Moscow. https://core.ac.uk/download/pdf/11869361.pdf
3. Anselin, L., & Florax, R. J. G. M. (Eds.). (2012). New directions in spatial econometrics. Springer Science & Business Media.
4. Arellano, M., & Bond, S. (1991). Some tests of specification for panel data: Monte Carlo evidence and an application to employment equations. The Review of Economic Studies, 58(2), 277-297. doi:10.2307/2297968
5. Arellano, M., & Bover, O. (1995). Another look at the instrumental variable estimation of error-components model. Journal of Econometrics, 68(1), 29-51. doi:10.1016/0304-4076(94)01642-D
6. Arvanites, T., & Defina, R. (2006). Business cycles and street crime. Criminology, 44(1), 139-164. doi:10.1111/j.1745-9125.2006.00045.x
7. Baltagi, B. (2006). Estimating an economic model of crime using panel data from North Carolina. Journal of Applied Econometrics, 21(4), 543-547. doi:10.1002/jae.861
8. Baron, J. D. (2009). El homicidio en los tiempos del Plan Colombia.. (Documentos de Trabajo Sobre Economía Regional y Urbana, núm. 115). Banco de la República. Recuperado de http://www.banrep.gov.co/sites/default/files/publicaciones/archivos/DTSER-115.pdf
9. Barrera, F. (2004). Crimen y castigo: doce años de historia en Colombia. Coyuntura Social, Fedesarrollo, 30, 65-85. Recuperado de https://www.repository.fedesarrollo.org.co/handle/11445/1074
10. Beccaria, C. (1764). On crimes and punishments. Oxford: Clarendon Press.
11. Becker, G. (1968). Crime and punishment: an economic approach. Journal of Political Economy, 76(2), 169-217.
12. Bejarano, J. (1999). Crimen e impunidad, precisiones sobre la violencia. Revista de Economía Institucional, 1(1) 131-136
13. Bentham, J. (1789). An introduction to the principles of morals and legislation. Oxford: Clarendon Press .
14. Blackmore, F. (2003). A panel data analysis of crime in South Africa. SAJEMS, 6(3), 439-458. doi:10.4102/sajems.v6i3.3299.
15. Blundell, R., & Bond, S. (1998). Initial conditions and moment restrictions in dynamic panel data models. Journal of Econometrics, 87(1), 115-143.
16. Blundell, R., Bond, S., & Windmeijer, F. (2000). Estimation in dynamic panel data models: improving in the performance of the standard GMM estimator. In Nonstationary panels, panel cointegration, and dynamic panels (Advances in Econometrics, Vol. 15). B. Baltagi, T. Fombi, & R. Carter Hill. (Eds.) (pp. 53-91). Emerald Group Publishing Limited, Bingley,
17. Bonilla, L. (2009). Revisión de la literatura económica reciente sobre las causas de la violencia homicida en Colombia. Documentos de Trabajo Sobre Economía Regional y Urbana; No.114.
18. Borraz, F., & González, N. (2007). Economic and socio-demographic determinants of crime in Uruguay. Well Being and Social Policy, 6, 45-73.
19. Camacho, Á. (1990). Colombia: ciudad y violencia. Revista Foro, 12, 22-32.
20. Camara, M., & Salama, P. (2004). Homicidios en América del Sur: ¿los pobres son peligrosos? Revista de Economía Institucional, 6(10), 159-181.
21. Cameron, A. C., & Trivedi, P. K. (2005). Microeconometrics: methods and applications. Cambridge University Press.
22. Cantor, D., & Land, K. (1985). Unemployment and crime rates in the Post-World War II United States: a theoretical and empirical analysis. American Sociological Review, 50(3), 317-332. doi:10.2307/2095542
23. Carranza, J. E., Dueñas, X., & González, C. G. (2011). Análisis empírico de la relación entre la actividad económica y la violencia homicida en Colombia. Estudios Gerenciales. Journal of Management and Economics for Iberoamerica, 27(119), 59-77.
24. Chalfin, A., & McCrary, J. (2017). Criminal deterrence: A review of the literature. Journal of Economic Literature, 55(1), 5-48. doi:10.1257/jel.20141147
25. Chalfin, A., & McCrary, J. (2018). Are US cities underpoliced? Theory and evidence. Review of Economics and Statistics, 100(1), 167-186. doi:10.1162/REST_a_00694
26. Cook, P. & Zarkin, G. (1985). Crime and the business cycle. The Journal of Legal Studies, 14(1), 115-128.
27. Corman, H., Joyce, T., & Lovitch, N. (1987). Crime, deterrence and the business cycle in New York City: A VAR Approach. The Review of Economics and Statistics, 69(4), 695-700. doi:10.2307/1935965
28. Cornwell, C., & Trumbull, W. (1994). Estimating the economic model of crime with panel data. The Review of Economics and Statistics, 76(2), 360-366. doi:10.2307/2109893
29. Cotte, A. (2012). Violence and economic development in Colombian cities: a dynamic panel data analysis. Journal of International Development, 24(7), 809-827. doi: 10.1002/jid.2819
30. Dammert, L. (2000). Violencia criminal y seguridad pública en América Latina: la situación en Argentina. CEPAL ECLAC. Publicaciones de las Naciones Unidas. Recuperado de https://repositorio.cepal.org/bitstream/handle/11362/5978/1/S00110938_es.pdf
31. Draca, M., & Machin, S. (2015). Crime and economic incentives. Annual Review of Economics, 7(1), 389-408.
32. Durlauf, S. N., & Nagin, D. S. (2011). Imprisonment and crime. Criminology & Public Policy, 10(1), 13-54. doi:10.1111/j.17459133.2010.00680.x
33. Echeverry, J. C., & Partow, Z (1998). Por qué la justicia no responde al crimen: el caso de la cocaína en Colombia. En M. Cárdenas & R. Steiner (Comp.), Corrupción, Crimen y justicia. Una perspectiva económica (pp. 127-151). Bogotá: Tercer Mundo-LACEA.
34. Ehrlich, I. (1973). Participation in illegitimate activities: a theoretical and empirical investigation. Journal of Political Economy, 81(3), 521-565.
35. Eide, E. (2000). Economics of criminal behavior. Encyclopedia of Law and Economics, pp. 345-389.
36. Elhorst, J. P. (2014). Spatial panel data models. En J.P. Elhorst. Spatial econometrics. From Cross-Sectional Data to Spatial Panels (pp. 37-93). Springer, Berlin, Heidelberg. doi:10.1007/978-3-642-40340-8_3
37. Entorf, H., & Spengler, H. (2000). Socioeconomic and demographic factors of crime in Germany: Evidence from Panel Data of the German States. International Review of Law and Economics, 20(1), 75-106. doi:10.1016/S0144-8188(00)00022-3
38. Fajnzylber, P., Lederman, D., & Loayza, N. (1998). Determinants of crime rates in Latin America and the world: An Empirical Assessment. World Bank.
39. Fajnzylber, P., Lederman, D., & Loayza, N. (2000). Crime and victimization: An Economic Perspective. Economía, 1, 219-302. doi:10.1353/eco.2000.0004
40. Fajnzylber, P., Lederman, D., & Loayza, N. (2002). What causes violent crime? European Economic Review, 46, 1323-1357.
41. Lombardo, R., & Falcone, M. (2011). Crime and economic performance: a cluster analysis of panel data on Italy's Nuts Three Regions. (Working Paper 201112) Universitá della Calabria, Dipartimento di Economia, Statistica e Finanza "Giovanni Anania".
42. Finklea, K. (2011). Economic downturns and crime. Congressional Research Service. Recuperado de https://fas.org/sgp/crs/misc/R40726.pdf
43. FLACSO, BID. (2010). Crimen e inseguridad: indicadores para las Américas. Proyecto Violencia y Criminalidad en América Latina y el Caribe.
44. Gaitán, F. (1995). Una indagación sobre las causas de la violencia en Colombia. En M. Deas & F. Gaitán. Dos ensayos especulativos sobre la violencia en Colombia. Fonade, Departamento Nacional de Planeación: Bogotá.
45. Garret, T., & Ott, L. (2008). City business cycles and crime. (Working Paper 2008-026B) Federal Reserve Bank of St. Louis.
46. Gaviria, A. (2000). Increasing returns and the evolution of violent crime: the case of Colombia. Journal of Development Economics, 61(1), 1-25.
47. González, C. G. (2002). Economía y violencia en la ciudad de Santiago de Cali. Revista Documentos de Coyuntura, 2(1), 30-45.
48. Hansen, L. P. (1982). Large sample properties of generalized method of moments estimators. Econometrica, 50(4), 1029-1054.
49. Krugman, P., Masahisa, F., & Venables, A. (2000). The spatial economy. MIT Press. Cambridge, Massachusetts.
50. Levitt, S. (2004). Understanding Why crime fell in the 1990s: four factors that explain the decline and six that do not. The Journal of Economic Perspectives, 18(1), 163-190.
51. Mancera, A. (2008). Factores socioeconómicos y demográficos de distintas categorías de delitos en Colombia. Revista de Economía del Caribe, 2(1), 202-231.
52. Martínez, H., & Rocha, R. (2003). Pobreza, crimen y crecimiento regional en Colombia. (Archivos de Economía núm. 230) Departamento de Planeación Nacional de Colombia.
53. Nagin, D. S. (2013). Deterrence: a review of the evidence by a criminologist for economists. Annual Review of Economics, 5(1), 83-105. doi:10.1146/annurev-economics-072412-131310
54. Núñez, J., Rivera, J., Villavicencio, X., & Molina, O. (2003). Determinantes socioeconómicos y demográficos del crimen en Chile: Evidencia desde un panel de datos de las regiones chilenas. Estudios de Economía, 30(1), 55-85.
55. Montenegro, A., & Posada, C.E. (1994). Criminalidad en Colombia. (Borradores de economía núm. 4). Banco de la República. Recuperado de http://repositorio.banrep.gov.co/handle/20.500.12134/5053
56. Montenegro, A., Posada, C. E., & Piraquive, G. (2000). Violencia, criminalidad y justicia: otra mirada desde la economía. Coyuntura Económica, 30(2), 85-132
57. Policía Nacional. (2001-2017). Revista de Criminalidad. Policía Nacional de Colombia.
58. Raphael, S., & Winter, R. (2001). Identifying the effect of unemployment on crime. Journal of Law and Economics, 44(1), 259-283.
59. Rubio, M. (1997). Criminalidad urbana en Colombia. (Documento de Trabajo núm. 2), Universidad de los Andes.
60. http://pdba.georgetown.edu/Security/citizensecurity/Colombia/evaluacione/criminalidadurbana.pdf
61. Rubio, M. (1999). Crimen e impunidad. Tercer Mundo Editores.
62. Rubio, M. (2000). Violencia y conflicto en los noventa. Coyuntura Social, 22, 151-186.
63. Sánchez, F., & Núñez, J. (2001). Determinantes del crimen violento en un país altamente violento: el caso de Colombia. Coyuntura Económica, 31(1), 91-116.
64. Sánchez, F., Solimano, A., & Formisano, M. (2005). Conflict, violence and crime in Colombia. Understanding Civil War, 2, 119-159.
65. Sandoval, L. E. (2018). Características socioeconómicas y persistencia especial de los homicidios en Colombia, 2000-2010. Estudios de economía, 45(1), 51-77. doi:10.4067/S0718-52862018000100051
66. Sarmiento, A. (1999). Violencia y equidad. Planeación y Desarrollo, 30(3), 47-80.
67. Sarmiento, A., & Becerra, L. (1998). Análisis de las relaciones entre violencia y equidad. (Documento de trabajo, Archivos de Economía núm.93). Departamento Nacional de Planeación. Recuperado de https://colaboracion.dnp.gov.co/CDT/Estudios%20Econmicos/93.pdf
68. Saridakis, G., & Spengler, H. (2009). Crime, Deterrence and unemployment in Greece: a panel data approach. (Discussion Papers of DIW Berlin 853). DIW Berlin, German Institute for Economic Research. Recuperado de https://ideas.repec.org/p/diw/diwwpp/dp853.html
69. Tsushima, M. (1994). Economic structure and crime: the case of Japan. The Journal of Socio-Economics, 25(4), 497-515.
70. UNOCD. (2010). International statistics on crime and justice. United Nations Publications. [United Nations Office on Drugs and Crime].
71. UNOCD. (2011). Monitoring the impact of economic crisis on crime. United Nations Publications. [United Nations Office on Drugs and Crime].
72. Windmeijer, F. (2005). A finite sample correction for the variance of linear efficient two-step GMM estimators. Journal of Econometrics, 126(1), 25-51. doi:10.1016/j.jeconom.2004.02.005
73. Wooldridge, J. (2010). Econometric analysis of cross section and panel data. MIT Press.
Notas
Notas de autor