Espacio del Divulgador

Recepción: 02 Julio 2014
Aprobación: 20 Mayo 2015
Resumen: Para determinar niveles óptimo técnico (not) y óptimo económico (noe) del alimento concentrado y forraje en producción de leche, se construyó un modelo econométrico polinomial. La información provino de un rancho lechero, ubicado en Temascaltepec, Estado de México, durante agosto-septiembre 2013, dividido en cinco periodos de 15 días cada uno. El rancho dispuso 65 vacas pardo suizo, sólo se utilizaron 10 (pv 628 ± 72 kilogramos) con diferente número de partos y tiempo de lactación. Para concentrado y forraje, el not y noe, fueron 104.4 y 148.4; 78.5 y 109 kg; el productor utilizó 97.2 y 169 kg de esos insumos, con ganancia de $792.9. El noe es recomendación técnico-económica que los productores deben adoptar para maximizar su ganancia monetaria.
Palabras clave: óptimos económicos, isocuanta, leche, concentrado, forraje.
Abstract: To determine optimal technical levels (tol) and economic optimum (eol) of the concentrate and forage production of milk, a polynomial econometric model was constructed. The information came from a dairy farm, located in Temascaltepec, State of Mexico, during August-September 2013, divided into five periods of 15 days each. The ranch ordered 65 Brown Swiss cows, only 10 were used (lw 628 ± 72 kilograms) with different number of births and lactation period. For the concentrate and forage production of milk, the tol and eol were 104.4 and 148.4; 78.5 and 109 kg; the farmer used 97.2 and 169 kg of these inputs, with a gain of $ 792.9. The noe is a technical and economic recommendation that farmers must take to maximize their monetary gain.
Keywords: economic optimum, isoquant, milk, concentrated fodder.
Introducción
La leche, en sus distintas presentaciones, es esencial en la alimentación humana, dado que provee compuestos importantes (proteína, grasa) que permiten balancear requerimientos nutricionales de las personas de todas las edades (Hernández et al., 2011; Fadul-Pacheco et al., 2013; Rebollar et al., 2014). Sin embargo, es en su producción donde intervienen una serie de situaciones como cantidad y calidad de insumos que se utilizan, tipo de materia prima, sistema de producción, combinación de factores de producción, comercialización o distribución, cercanía a grandes mercados consumidores, apoyos gubernamentales a este sector, etc. (Rebollar, 2014). Cuando todos esos factores se conjugan de forma óptima, el resultado puede ser un producto de calidad asociado a un costo mínimo.
La fuente oficial señala que en México la producción nacional de leche ha sido creciente. Por ejemplo, durante 1990-2000, la tcma (Tasa de Crecimiento Media Anual) alcanzó un crecimiento de 4.2%, al pasar de 6.1 mil millones a 9.3 mil millones de litros (l); para 2001-2012 de 1.3%, al pasar de 9.5 mil millones a 10.9 mil millones de l; con una ligera disminución en 2013 (10.83 mil millones de l). Se observa que aunque la tcma fue menor en el último periodo en relación con el de 1990-2000, no fue así con el volumen absoluto obtenido. En sí, de 1990 a 2012, la producción nacional del líquido se sostuvo en un crecimiento relativo cercano a 2.8% (siap, 2014).
En 2001, 2012, incluso 2013, Jalisco, Coahuila, Durango, Chihuahua y Veracruz aportaron 53.2 y 55.3% al total nacional de la producción del líquido, donde se observó una mejora relativa al final del periodo. En adición, para el mismo periodo, la entidad mexiquense ocupó la posición número seis, sólo después de Puebla (siap, 2014).
En relación con el comercio exterior, en 2012 México exportó 16.5 millones de l; fueron marzo y junio los meses de mayor dinámica en ventas externas del líquido, en tanto que las importaciones se ubicaron en 66.6 millones de l; agosto y octubre fueron los meses de mayor dinamismo en compras de este líquido (siap, 2014), donde se observó un fuerte contraste entre estas dos variables del comercio exterior, con predominancia en importaciones.
En esta actividad se hacen presentes distintas modalidades de producción, según su sistema tecnológico. Así, se tiene al sistema especializado, semiespecializado, doble propósito y el familiar o de traspatio (Gallardo, 2004; Yamamoto et al., 2006; Posadas Domínguez et al., 2013). Al primero, corresponde 50.6% de la producción total de leche, proveniente de razas Holstein, Pardo-Suizo y Jersey. En un sistema completamente estabulado y la alimentación basada en dietas de forraje de corte y alimento concentrado, la leche se destina a plantas industrializadoras. El segundo contribuye con 21.3%, predomina el ganado Holstein y Pardo-Suizo en condiciones de semiestabulación, pequeñas extensiones de terreno, mantiene un nivel medio de tecnología, la ordeña es mecánica o manual y se dispone, en ocasiones, de sistema de enfriamiento; los niveles de producción son menores al sistema tecnificado. El tercero participa con 18.3% y se caracteriza por predominancia de razas cebuinas y sus cruzas; en este sistema el ganado sirve para la producción de carne como de leche. El manejo del hato se da en forma extensiva confinándose en corrales sólo durante la noche, su alimentación se basa en el pastoreo y con un mínimo de complementos en alimentos balanceados; la ordeña es manual. El de traspatio participa en 9.8% y se limita a pequeñas extensiones de terreno; cuando se ubican cerca de la vivienda se denomina de traspatio. Las razas varían desde Holstein y Suizo-Americano y sus cruzas. La alimentación se basa en el pastoreo o suministro de forrajes y esquilmos provenientes de los que se producen en la misma granja.
Independientemente del sistema de producción, bajo el cual provenga la leche, la actividad requerirá siempre de la utilización de insumos fijos y variables en diferentes grados de utilización, según el tipo de sistema de producción que se trate (Rebollar et al., 2014). Las diferentes combinaciones en que tales insumos se utilicen conllevará a la eficiencia técnica y eficiencia económica; la primera trata de un proceso de producción que no utilice más insumos de los necesarios para obtener un nivel determinado de producción, dada la tecnología existente; la segunda es cuando una empresa (agropecuaria) emplea los recursos en una proporción tal que el costo por unidad de producción es el mínimo posible (Leroy y Meiners, 1990), donde el productor podría elegir entre obtener la máxima producción, la máxima ganancia, en dinero, o decidir continuar cómo va.
Por lo anterior, el objetivo de este trabajo fue determinar los niveles óptimo técnico o de máxima producción de leche y óptimo económico o nivel de máxima ganancia en dinero, de utilización de dos insumos variables: concentrado y forraje en la alimentación de vacas lecheras Pardo-Suizo en una región del sur del Estado de México y realizar la comparación con los niveles de alimentación que utilizó el productor; asimismo, encontrar la combinación de tales insumos que genere la máxima producción de leche al mínimo costo de producción. En las condiciones planteadas, la hipótesis principal supone que la máxima producción de leche, con la utilización de los dos insumos variables, no necesariamente implica obtener la máxima ganancia en dinero y que la cantidad de esos insumos que producen la máxima ganancia en dinero es inferior a la que genera la máxima producción del líquido.
1. Materiales y métodos
La investigación se realizó de agosto a septiembre de 2013, en el municipio de Temascaltepec, al sur del Estado de México, la altitud promedio es 1 740 msnm, clima templado subhúmedo, temperatura media anual entre 18 y 22 °C y precipitación de 800 a 1 600 mm (Borboa, 1999). La información de campo provino de 10 vacas, propiedad de un rancho lechero ubicado en la comunidad de Telpintla.
Las vacas estaban en producción, con diferente número de partos y tiempo de lactancia y con un peso vivo (pv) de 628.0 ± 72.0 kg. Las instalaciones son tipo semitecnificado, con corral de alojamiento pavimentado, dos bebederos de pileta, dos comederos de canoa, una sala de ordeña para seis vacas y ordeñadora portátil con capacidad de dos vacas simultáneamente.
La ordeña se realizó de forma mecánica enfatizando los cuidados necesarios para evitar contagio por mastitis. La leche se colocó en una cubeta de plástico y el peso del lácteo se midió en una báscula de reloj. El precio de venta de la leche fue 5.0 $/l.
La alimentación en todos los periodos se basó en asignaciones de concentrado y forraje. El forraje se ofreció diariamente por la mañana con asignaciones de 3.9 kg de maíz (planta completa y 90% de materia seca) por vaca y 4.2 kg de heno de alfalfa en comederos. Por la tarde, se asignó 4.0 kg de materia seca (ms) de Rye grass verde por vaca, al tiempo que se disminuyó la cantidad de concentrado en 1.0 kg/vaca y se sustituyó por un kilogramo de heno de alfalfa, durante quince días; es decir, en ese periodo no se modificó la cantidad concentrado-forraje asignada por animal, por lo que cada día se ofreció la misma cantidad. Al final de cada periodo (15 d), se registró el total acumulado tanto de forraje y concentrado consumidos, como la producción obtenida de leche en litros. A partir del segundo periodo, se sustituyó en la alimentación, un kilogramo de heno de alfalfa por un kilogramo de concentrado.
La información de campo (cuadro 1) que se utilizó para obtener la función de isocuanta permite apreciar que, de acuerdo con la teoría y bajo el sistema de producción que se menciona, se mantiene, en promedio una relación 60/40% de forraje-concentrado en la asignación de alimento diaria a los animales.

El precio del concentrado y forraje fue 4.12 y 3.0 $/kg. La composición del concentrado y el aporte estimado se presentan en el cuadro 2.

1.1. Modelo estadístico
Con los datos obtenidos por vaca, de consumo de concentrado, consumo de forraje y producción de leche durante el periodo de análisis, para obtener el mejor ajuste de la función de producción con dos insumos variables (isocuanta), se utilizó un modelo de regresión polinomial de segundo grado que describe la relación funcional de Y (variable dependiente) respecto a Xi(variable independiente) (Gujarati y Porter, 2009; Wooldridge, 2010).
El análisis de resultados consideró solo la isocuanta que se estimó con la información promedio.
Modelo estadístico:

Donde: define a Y la variable dependiente (producción de leche en l); βi son los parámetros de la función, para i = 1, 2, 3, 4; X1 la variable independiente (cantidad de alimento concentrado, en kg), X2 es la variable independiente (cantidad de forraje en kg) y εies el error aleatorio, estadístico o estocástico. El producto total (Y) se obtuvo con la suma de la producción diaria durante quince días o por cada periodo, como unidad de tiempo que conformó cada uno de los periodos.
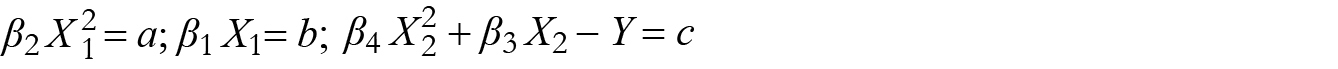
Una vez calculada la isocuanta (Leroy y Meiners, 1990; Varian, 2006; Nicholson, 2007), se obtuvo el nivel óptimo técnico (not) de utilización, tanto del concentrado (insumo variable X1) como del forraje (insumo variable X2); con la derivada parcial de la función de producción, respecto a X1, luego de X2, igualadas a cero, que se conoce también como producto marginal (PMgX1 y PMgX2) (Leroy y Meiners, 1990; Nicholson, 2007; Rebollar et al., 2014). Esto es:
Condición matemática para el not (Nicholson; 2007; Rebollar et al., 2014):

El nivel óptimo económico (noe) se obtuvo al igualar el PMg (de los dos insumos variables) a la relación de precios de cada insumo y del producto, es decir, al cociente del precio del concentrado (PX1), del forraje (PX2) y del precio de la leche o precio del producto (Py). Condición matemática para el noe (Rebollar et al., 2011; Rebollar et al., 2014):

Por último, se obtuvieron el costo total (ct), ingreso total (it) y ganancia (it-ct), del not y noe al nivel de utilización de cada uno de los insumos variables (X1 y X2).
Para generar la curva isocuanta, a partir de los valores de X1 y de X2 correspondientes al not, se obtuvieron distintos valores por arriba y por debajo de los del not asumiendo como dado el nivel de máxima producción y el valor de uno de los insumos variables con el objetivo de encontrar el valor del otro insumo, pero manteniéndose en el mismo valor de Y; es decir, de la isocuanta. Para ello, se utilizó la forma algebraica general siguiente:

Al reordenar e igualar a cero:

Tal igualdad se soluciona por el método de la fórmula general, donde:

Dado el valor de X2, o de X1, la expresión permite hallar cualquier valor de X (el insumo variable) dentro de la misma curva isocuanta.
La información de campo se procesó con la utilización del sas (Statistical Analysis System) (2009), versión para Windows en español con el procedimiento glm (General Model Lineal).
El análisis prospectivo se realizó al considerar el costo de oportunidad de insumos que se utilizaron y el producto obtenido. El costo de oportunidad se considera a la situación en que el productor utiliza una combinación de insumos diferente a la óptima y se mide en la ganancia. Un segundo elemento prospectivo, en los agronegocios, es el riesgo. El riesgo se midió como la probabilidad de que el productor obtenga la ganancia máxima, dados los insumos utilizados. Ambos análisis permiten medir la sustentabilidad del productor. Richardson y Mapp (1976) fueron pioneros en introducir el riesgo en decisiones de inversión de negocios utilizando simulación estocástica para generar flujos de efectivo probabilísticos. La simulación estocástica es el método preferido de múltiples fuentes de riesgo e incertidumbre de modelado y permite la evaluación del riesgo de estocásticas variables ambientales, variables de entrada, variables tecnológicas y las opciones de escenario alternativo (Higgins, 2008).
2. Resultados y discusión
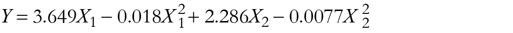
Se obtuvo una isocuanta aditiva: el signo del coeficiente del factor cuadrático en cada uno de los insumos (X1 y X2), fue el esperado, se ajustó a la teoría microeconómica de la producción y dio evidencia de significancia económica del modelo. Esa condición, que se consideró necesaria y suficiente, permite generar dos puntos de inflexión de la curva de la función de producción: not y noe (Leroy y Meiners, 1990; Rebollar et al., 2014). La isocuanta estimada fue:

La significancia estadística del modelo (cuadro 3) presenta el valor de los principales conceptos inherentes al modelo estadístico estimado (coeficiente del estimador, el error estándar de cada estimador y t calculada).

El modelo fue significativo desde el punto de vista estadístico por las razones siguientes: la significancia global del modelo (Fc) (Gujarati y Porter, 2009) tuvo un valor superior a 2.0, el coeficiente de determinación (R2) es mayor a 0.80; el error estándar, asociado a cada uno de las variables independientes, en su mayoría, es mayor a la unidad (Rebollar et al., 2008; Gujarati y Porter, 2009; Rebollar et al., 2014).
Al 95% de confiabilidad, la F calculada (Fc) fue 36 581.0 (Pr > 0.0039), suficientemente grande como para rechazar la hipótesis nula de que al menos uno de los estimadores sea igual a cero (Gujarati y Porter, 2009). En adición, el efecto (R2) de las variables independientes sobre la dependiente (producción de leche), fue 0.992, es decir, que 99.2% de la fuente de variación total para este modelo, de un 100%, se explicó tanto por la utilización de concentrado, como del forraje.
2. 1. El nivel óptimo técnico
El nivel óptimo técnico (not), o punto de máxima producción, es un punto de inflexión de la curva del producto total o de la función de producción, donde la pendiente es cero (Leroy y Meiners, 1990; Nicholson, 2007; Rebollar et al., 2014). Representa la eficiencia técnica de la utilización del insumo variable. En ese punto debe cumplirse la condición de primer orden; es decir, la primera derivada de la función igualada a cero. Así, de la función isocuanta estimada, el PMgX1 (producto marginal del insumo X1, correspondiente al alimento concentrado), es:

El valor de X1 que maximiza la producción de leche fue 101.36 kg de concentrado por periodo. De forma similar, el PMgX2 que maximiza la producción de leche fue X2 = 148.44 kg de forraje por periodo. Valores inferiores o superiores a 101.36 y 148.44 arrojan un nivel de producción total que ya no se considera óptimo. Por tanto, al sustituir los valores de X1 y X2 en la función isocuanta estimada, el resultado es Y = 354.6 litros de leche, por periodo, que representa la combinación de estos dos insumos variables para el nivel óptimo técnico.
2. 2. El nivel óptimo económico
El nivel óptimo económico (noe), o nivel de máxima ganancia en dinero, es un punto que se localiza en la curva de la función de producción, generalmente poco antes del punto de inflexión del not. Con mayor frecuencia se ubica dentro del espacio de curva que corresponde a la etapa dos de la producción (Leroy y Meiners, 1990; Rebollar et al., 2011; Rebollar et al., 2014). En el noe la ganancia en dinero que percibe o percibiría el empresario, en este caso el productor de leche es mayor en relación con la que se obtiene con el not. Así, dados los precios de los dos insumos y precio del producto, se puede calcular el valor de X1 y de X2 que garantizan la obtención del noe para cada uno de ellos.
La igualdad matemática para obtener el noe es PMgX1 = $4.12/$5.00 de donde se obtiene $5.00 (3.649 - 0.036X1) = $4.12, obteniéndose X1 = 78.47 kg de concentrado consumido por periodo. De forma similar (2.286 - 0.0154X2 ) = $3.00/$5.00, obteniéndose X2 = 109.48 kg de forraje consumido por periodo. Al sustituir los valores de X1 y X2 en la función de la isocuanta, se obtuvo Y = 333.48 l de leche por periodo, que corresponden al nivel óptimo económico.
Cabe añadir que la familia de curvas de producto total y las curvas isocuantas contienen la misma información técnica de producción sobre la relación insumo y producto. La característica intrínseca de la isocuanta es que la producción se mantiene constante, en tanto varían los dos insumos (Leroy y Meiners, 1990).
3. Costos, ingresos y ganancias al not y noe
Para este caso, ct se obtuvo al multiplicar el precio del insumo variable por la cantidad utilizada de ese insumo; así el ct1 = PX1 * X1. it se obtuvo al multiplicar el precio del producto (leche) por la cantidad producida o vendida, esto es it = Py* Y. La ganancia (g) es la diferencia entre it y ct (Rebollar et al., 2014).
El ct, it y g para cada uno de los óptimos (not y noe) (cuadro 4) permite ver que hubo diferencias en relación con sus niveles de utilización, sobre todo al comparar tales resultados con lo que el productor utilizó en la realidad. Al not la combinación de concentrado y forraje se tradujo en 354.6 l de leche promedio en el periodo de observación; el productor obtuvo 340.1 l promedio, pero con un ct superior en 5.2% con relación al not, resultado de utilizar una combinación de insumos que no fue la óptima. Se observa que el productor incurrió en mayores costos totales. En consecuencia, su ganancia en dinero fue menor, comparada con la de los dos óptimos.

La isocuanta equivalente a 333.5 l de leche, corresponde al noe y proviene de utilizar 78.5 kg de concentrado y 109.5 kg de forraje; esa combinación de insumos representa la mayor ganancia en dinero, esto es, $1 015.7, superior en 11.6% en relación con la del not y en 28.1% a lo que obtuvo el productor en campo, por lo que hay evidencia de que la máxima producción de leche en ese periodo no representó la máxima ganancia en dinero para el productor.
Desde el punto de vista biológico, la combinación de concentrado y forraje al noe es posible debido a que es lo mínimo que debe consumir una unidad animal en producción de leche. En adición, otras combinaciones de concentrado y forraje que dan el mismo nivel de producción (cuadro 5) giran en torno al not, pero no son de mínimo costo; sin embargo, podrían considerarse como viables para el productor. En esa isocuanta se localiza tanto el not, noe y el productor. Las hileras que se encuentran en letra negrita son cantidades de insumo correspondientes al noe y al nivel óptimo técnico.

Análisis prospectivo
La función de la isocuanta permite realizar escenarios de política de precios de insumos diferentes a de este trabajo. Valores diferentes modifican por completo los resultados. Así, al asumir nuevos valores de X1 , X2 y precio de la leche (Py), por ejemplo, PX1 = 5.0 $/kg, PX2 = 3.5 $/kg y Py= 7.0 $/l, el nuevo escenario de costos, ingresos y ganancias inherentes al not, noe y al nivel del productor, se aprecia en el cuadro 6.

Se observa que la ganancia que se percibiría al noe y el not es superior a la que pudo haber percibido el productor, ante escenarios de precios diferentes a los del modelo. Los resultados aún constituyen una recomendación técnico económica, aunado a que se demuestra la hipótesis de que la ganancia en dinero del not es inferior a la del noe. En las condiciones que se plantearon, los resultados generados, sobretodo el modelo estimado, sirve para pronosticar comportamientos de costos, ingresos y ganancia ante situaciones de volatilidad de precios de los insumos.
El escenario del productor implica que por cada litro de leche producido tiene una conversión de 0.3 kg de concentrado y 0.5 de forraje. Espinoza (2005) encontró 0.47 kg/l en productores de subsistencia. El costo económico privado del productor fue 0.8 $/l respecto al noe y 0.3 $/l en el not; así, el costo social por litro de leche producido fue 4.01 $/l y 3.44 $/l. En términos de eficiencia, el productor pudo haber producido 36% más si trabaja en el noe y 12% en el not; es decir, está utilizando 36 y 12% más de recursos (naturales, humanos y monetarios) de los que debería. El ingreso neto tiene un costo de oportunidad de 0.8 $/l respecto al noe y 0.3 $/l del not; asimismo, significa que puede producir 26.6 % y 10.6 % más litros de leche; la producción marginal sería 422.37 y 392.0 l/vaca.
El modelo se simuló con 500 iteraciones y se realizó al considerar los dos insumos (forraje y suplemento) y el ingreso. El costo promedio fue 863.7 $/periodo, utilidad promedio 909.3 $/periodo. Sin embargo, el costo total fluctúa en un rango de 832 a 886 $/periodo y la utilidad 887 a 941$/periodo en los próximos cinco años (gráfica 1).

Conclusiones
La isocuanta con el nivel de producción más alto no fue la que generó la mayor ganancia en dinero para el productor. Al comparar las combinaciones de insumos tanto al not como al noe con las cantidades que el productor utilizó, la combinación de menor costo y mayor ganancia fue al noe: el productor obtuvo menor ganancia en dinero. En el último de los casos, el productor podría utilizar la combinación que se genera con el not debido a que percibiría una ganancia en dinero mayor, lo que se traduce en recomendación técnico económica de utilidad a todos aquellos productores lecheros que operen bajo un sistema de producción similar.
Referencias
Borboa, R. A. (1999). Temascaltepec. Monografía Municipal. Toluca: Instituto Mexiquense de Cultura.
Fadul-Pacheco, L., Wattiaux, A. M., Espinoza-Ortega, A., Sánchez-Vera, E., Arriaga-Jordán, C. M. (2013). Evaluation of sustainability of smallholder dairy production systems in the highlands of Mexico during the rainy season. Agroecology Sustainable Food Systems, 37(8): 882-901.
Gallardo, N. J. L. (2004). Situación actual de la producción de leche de bovino en México. Sagarpa. Coordinación General de Ganadería. Disponible en: http://w4.siap.gob.mx/sispro/portales/pecuarios/lechebovino/situacion/descripcion.pdf . Consultado el 2 de enero de 2014.
Gujarati, D., y Porter, D. (2009). Econometría. México: McGraw-Hill.
Hernández, M. C., Hernández, M. A., Villegas de Gante, A. Z., Aguirre, M. E. (2011). El proceso socio-técnico de producción de queso añejo de Zacazonapan, Estado de México. Revista Mexicana de Ciencias Pecuarias, 2(2): 161-176.
Higgins, L. M., James, W. R. y Joe, L. (2008). Outlaw. The potential impact of a Texas high plains ethanol plant on local water supplies. Annual meeting of the American Agricultural Economics Association. Orlando, FL.
Leroy, M. R. y Meiners, E. R. (1990). Microeconomía. México: McGraw-Hill.
Nicholson, W. (2007). Teoría microeconómica. Principios básicos y ampliaciones. México: cengage Learning.
nrc (Nutrient Requirements of Beef Cattle) (2001). Washington, D. C. National Academy Press.
Posadas-Domínguez, R. R. Arriaga-Jordán, C. M. Martínez-Castañeda (2013). Contribution of family labour to the profitability and competitiveness of small-scale dairy production systems in central Mexico. Tropical Animal Health and Production, 46(1): 235-240.
Rebollar, R. S., Hernández, M J., Rojo, R. R., González, R. F. J., Mejía, H. P., Cardoso, J. D. (2008). Óptimos económicos en corderos pelibuey engordados en corral. Universidad y Ciencia, 24(1): 67-73.
Rebollar, R. S., Posadas, D. R. R., Hernández, M. J., González, R. F. J., Guzmán, S. E., Rojo, R. R. (2011). Technical and economics optimal in feedlot cattle. Tropical and Subtropical Agroecosystems, 14(2): 413-420.
Rebollar, R. S., Gómez, T. G., Hernández, M. J., Callejas, J. N. y Guzmán, S. E. (2014). Óptimos económicos en cortes de carne de cerdo. Agronomía Mesoamericana, 25(1): 161-168.
Richardson, J. W., y Mapp. H. P. (1976). Use of probabilistic cash flows in analyzing investments under conditions of risk and uncertainty. Southern Journal of Agricultural Economics, 8(2):19-24.
siap (Sistema de Información Agroalimentaria y Pesquera) (2014). Ganadería. Bovinos leche. Disponible en: http://www.siap.gob.mx/ ?option=com_content&view=article&id=181&Itemid=426.
sas (Statical Analysis System) (2009). sas/stat® 9.2 User´s Guide SAS Institute Inc, Cary, n. c. u.s.a.
Varian, R. H. (2006). Microeconomía intermedia. Madrid: Antoni Bosch.
Wooldridge, M. J. (2010). Introducción a la econometría. Un enfoque moderno. México: Cengage Learning.
Yamamoto, W., Ap Dewi, I., Ibrahim, M. (2006). Effects of silvopastoral areas on milk production at dual-porpuse farms at the semi humid old agricultural frontier in central Nicaragua. Agricultural Systems, 94: 368-367.
Notas de autor
srebollarr@uaemex.mx
Enlace alternativo
http://cienciaergosum.uaemex.mx/index.php/ergosum/article/view/1299 (html)