Resumen: Dado los factores económicos y sociales derivados del cultivo del café, la trascendencia de Estados Unidos como su principal consumidor y considerando la participación en el mercado mundial como reflejo de competitividad, se tiene como finalidad realizar un análisis comparativo en las exportaciones de café de Colombia, Guatemala y México al mercado estadounidense usando indicadores como cuotas de exportación (cmx) e importación (cmi), especialización de Balassa y el indicador de comercio intraproducto. Los resultados muestran que Colombia ha perdido competitividad de manera gradual, espacio que han ido ganando México y Guatemala; sobre todo a partir de 2012, relacionado con los efectos de la enfermedad de la roya en el cafeto.
Palabras clave:cafécafé,competitividadcompetitividad,indicadoresindicadores,mercado estadounidensemercado estadounidense,royaroya.
Abstract: Considering the importance of economic and social factors derivates of coffee growing, the importance of the United States as its main consumer and considering the world market share to be a competitiveness reflex, this paper aims a comparative analysis of the same one in the exports of coffee of Colombia, Guatemala and Mexico to the American market using indicators such as: export quotas (cmx) and import quates (cmi), Specialization of Balassa and the Indicator of Commerce Intra - Product. The results show that Colombia has lost competitiveness in a gradual way, space that Mexico and Guatemala have been gaining; especially since the year 2012 related to the effects of the illness of the roya in the coffee tree.
Keywords: coffee, competitiveness, indicators, american market, roya.
Ciencias Sociales
Competitividad de las exportaciones de café de Colombia, Guatemala y México hacia el mercado estadounidense (2001-2014)
Competitiveness of the Exports of Coffee of Colombia, Guatemala and Mexico Towards the American Market (2001-2014)

Recepción: 10 Julio 2015
Aprobación: 03 Diciembre 2015
La Organización para la Cooperación y Desarrollo Económico (ocde) define la competitividad como: “el grado en el cual un país […] puede producir bienes y servicios que superen el test de los mercados internacionales, incrementando en forma sostenida los ingresos reales de su población” (ocde, 2015). La mayor competitividad de un producto en el mercado internacional puede expresarse en términos del crecimiento de sus exportaciones y el aumento de su participación en el mercado (De Pablo y Giacinti, 2011). Por lo tanto, la competitividad incluye la rentabilidad y la capacidad exitosa de un país al participar en el mercado internacional; sin embargo, puede verse afectada por los medios de producción con que cuente el país, la calidad del bien y su grado de diferenciación, entre otros.
Después del petróleo, el café (coffea) es el producto de mayor comercialización mundial. Existen diversos países productores de café, donde destacan aquellos cuyo clima es principalmente cálido; así, Brasil es el primer productor mundial que junto con Vietnam, Colombia, Indonesia y Etiopía controlan 60% de la producción total, lo que obliga al resto de los países productores a ser seguidores de precios; la demanda principal se concentra en la Unión Europea, Estados Unidos y Japón.
El café es un producto básico comercializado tanto en mercados de materias primas como de futuros; de estos últimos, destaca su cotización en la bolsa de valores de Londres y Nueva York.
Para muchos países en desarrollo, el sector cafetalero tiene gran impacto en los ámbitos económico y social, ya que las exportaciones del café son primordiales para el aporte de divisas y la generación de ingresos derivados de los empleos directos e indirectos generados en esta cadena productiva.
Los precios de este producto enfrentan gran volatilidad debido a efectos de especulación afectando principalmente al productor directo y beneficiando a los intermediarios; sin embargo, existen países como Brasil que se han visto beneficiados por este efecto al modernizar su producción y obtener mayores divisas; no obstante, otros productores de América Latina como Colombia, Guatemala y México han resentido el alza de los precios en sus finanzas como consecuencia del descenso de sus ventas al exterior (Fuentes, 2012).
Dada la importancia de los factores económicos, sociales y ambientales que genera el cultivo del café para los países productores, además de la trascendencia de Estados Unidos en su consumo y partiendo del efecto de la globalización y la participación en el mercado mundial del aromático, se tiene como finalidad realizar un análisis comparativo de la competitividad de las exportaciones de café hacia el mercado estadounidense provenientes de sus principales proveedores en América Latina: Colombia, Guatemala y México.
Originario de Etiopía, en el continente africano, el café se ha dispersado por el mundo comenzando su propagación en Arabia donde, de acuerdo con la International Coffee Organization (ico), los árabes en un afán por controlar su cultivo impusieron una prohibición de la exportación de granos fértiles de café; sin embargo, en 1616, los holandeses burlaron la restricción trasladando semillas viables de café hacia la isla de Java, de donde llevaron plantas al Jardín Botánico de Ámsterdam, de ahí a Francia y las colonias de ambos países (ico, 2015).
Mientras el consumo de café se extendía por Europa, como parte de su expansión por el Nuevo Mundo, todos aquellos países europeos con posesión de territorios en América optaron por difundir su cultivo en el nuevo continente; así, los portugueses fueron quienes introdujeron el café a Brasil, país que se volvió el principal exportador mundial. Por su parte, los holandeses llevaron el cafeto a América Central y Sudamérica, y en 1730 los británicos introdujeron el café a Jamaica (García y Rodríguez, 2014).
Vázquez (2011) indica que en 1796 Juan Antonio Gómez hizo lo propio en México, específicamente en la región de Córdoba, Veracruz y en 1846 se comenzó su cultivo en el estado de Chiapas.
Las características del cafeto, del género coffea, varían de acuerdo con la especie (alrededor de 60), siendo la arábica (coffea arabica) la especie de mayor producción en el mundo seguida por la especie robusta (coffea canephora); su cultivo comercial se ciñe principalmente a las franjas tropicales ubicadas entre los trópicos de Cáncer y Capricornio. Las variables que tienen mayor peso en la producción del cafeto son la densidad de la siembra, edad del plantío, variedad, condiciones agroclimáticas y el manejo agronómico (Bedoya y Raquel, 2014).
Rústico: se planta a la sombra de los árboles de la selva tropical con escaso uso de insumos.
Policultivo tradicional: es sembrado bajo el bosque original.
Policultivo comercial: los árboles que conformaban en un principio el paisaje son reemplazados por otras especies que se emplean como sombrío.
Sombrío de una sola especie: las especies destinadas como sombrío son leguminosas.
Monocultivo sin sombra: al no emplearse especies para generar sombra, se hace mayor uso de insumos y fertilizantes (Rojas et al., 2012).
De acuerdo con el Fondo Regional de Tecnología Agropecuaria (Fontagro, 2015), el cultivo de café en América Latina emplea un sistema de producción combinado y destaca como principal productor de la especie arábica.
La actividad cafetalera a escala mundial involucra aproximadamente 70 países y 120 millones de personas (amecafé, 2015). Sin embargo, 75% de la producción proviene únicamente de 10 países, entre los cuales destacan Brasil, Vietnam, Indonesia y Colombia; para estos países significa más de 20% de la generación de sus divisas (Rendón, 2013).
La superficie mundial cosechada promedio es de 10 497 000 ha, mientras que el rendimiento promedio es de 691 kg/ha (Flores, 2015).
De la producción mundial, 61.7% son de la especie arábiga y el resto de la robusta. En el periodo 2011-2012, se exportaron 107.81 millones de sacos (60 kg); sin embargo, 90% de las exportaciones mundiales de café es materia prima con bajo valor agregado (Icafe, 2015)
Respecto al consumo mundial de café, dos tercios de la población lo consume. Se tiene calculado que se consumen alrededor de 25 mil tazas por segundo (amecafé, 2015). Los países de mayor consumo son Estados Unidos (15.9%), Brasil (14.1%), Alemania (6.8%) y Japón (5.1%) (Icafe, 2015).
El caso particular de Estados Unidos demuestra que tan sólo en 2009 captó 18.8% de las importaciones brutas mundiales reflejado en un consumo de 4.09 kg por persona. Sus principales proveedores son Brasil, Colombia, Vietnam, Indonesia, México y Guatemala (Trade Map, 2015).
La zona oriente de Colombia es el señalamiento principal de la introducción del café en la región, que para 1835 tenía ya la primera producción comercial. No obstante, la consolidación del café como producto de exportación se dio a partir de la segunda mitad del siglo xix cuando la producción anual de café pasó de 60 000 a casi 600 000 sacos, destaca el producto proveniente de los departamentos de Santander y Cundinamarca (fnc, 2015).
La importancia macroeconómica como social para Colombia prevalece, de acuerdo con la Federación Nacional de Cafeteros de Colombia (fnc) 563 000 familias encuentran su sustento económico directo en la caficultura; las plantaciones de café en el país se desarrollan bajo diferentes sistemas de cultivo, desde aquellos tradicionales con bajos rendimientos hasta aquellos tecnificados con gran variedad de insumos. Las cosechas principales se dan en dos periodos de tiempo, principalmente entre septiembre y diciembre y posteriormente entre abril y junio (fnc, 2015).
Según datos de la Promotora de Comercio Exterior de Costa Rica (Procomer, 2015), la producción cafetera en Colombia ha mermado como consecuencia de efectos climáticos y, por consecuencia, sus exportaciones han disminuido un 18% coincidiendo con las cifras dadas por la fnc; además el Instituto del Café de Costa Rica señala una reducción en la producción cafetalera de Colombia como resultado de las condiciones desfavorables del cambio climático (gráfica 1).

Rivera (2012) indica que la fnc decide qué es lo que se exporta y bajo qué condiciones. Dicha política de comercialización debe ser aprobada por el Comité Nacional; así, las decisiones han permitido que el café colombiano sea un producto estratégico de exportación. Del total de las exportaciones de café, la Federación realiza 30% de ellas. Las empresas trasnacionales se encargan de 40%, mientras que las cooperativas de caficultores 8% y el resto de las exportaciones la tramitan pequeñas firmas locales.
Diferenciando su café, Colombia se ha logrado posicionar en el mercado mundial, específicamente en el mercado estadounidense, incluso colocándolo a precios mayores que el proveniente de Brasil (Rendón, 2013) (gráfica 2).

Desde 1880, el café se ha convertido en el producto agrícola de mayor exportación de Guatemala y sobrelleva eventos negativos como el sucedido en 1929 cuando, como efecto de la Gran Depresión, las exportaciones se redujeron (Anacafé, 2015).
De los 22 departamentos que conforman el territorio guatemalteco, San Marcos y Santa Rosa son los que destacan en el área dedicada a la producción de café; los países a los que se exporta principalmente son Estados Unidos y Japón (gráfica 3).

Según Rivera et al. (2013) señalan que el café se cultiva en una superficie de 760 000 ha distribuidas principalmente en las cadenas montañosas del centro y sur del país. De los doce estados productores de la República Mexicana (Chiapas, Veracruz, Puebla, Oaxaca, Guerrero, Hidalgo, San Luis Potosí, Nayarit, Colima, Jalisco, Querétaro y Tabasco) destacan los primeros cuatro que concentran casi 92% de la producción. Por lo tanto, la caficultura en México involucra directamente a 404 municipios, 4 572 localidades y 510 544 productores (Flores, 2015).
De los productores mexicanos, 95% posee menos de 5 ha destinadas al cultivo del aromático; de ellos, 78% depende prioritariamente de las ventas del café (Sagarpa, 2015).
La Asociación Mexicana de la Cadena Productiva del Café a. c. (amecafé) reporta una producción anual de 4.2 millones de sacos (de 60 kg), cuya comercialización representa 7.1% del pib Agrícola y 4.3% del pib de la Industria de Alimentos (amecafé, 2015).
México produce un promedio de 4 millones de sacos de café: 96% de la variedad arábiga y el resto de café robusta; sin embargo, la producción de la especie arábiga ha disminuido en la última década a consecuencia, entre otros, de la caída del precio internacional, el descenso del rendimiento, el agotamiento de la planta y la proliferación de la plaga (shcp, 2015).
El consumo interno de café es de 2.7 millones de sacos equivalente a un consumo per cápita de 1.43 kg, lo que significa un aumento de 35% entre los años 2005 y 2010, previéndose que en 2015 el consumo sea de 1.85 kg (siddo, 2015). Los estados de mayor consumo son San Luis Potosí, Zacatecas, Nuevo León, Tamaulipas y Coahuila en donde en promedio se consumen tres tazas de café diarias (amecafé, 2015).
Respecto a la comercialización del café en el exterior, se tienen registros de Miguel Lerdo de Tejada de exportaciones de café proveniente de Veracruz en 1802, 1803 y 1805 (Cafés de México, 2015).
Los principales países destino de las exportaciones de café de México son Estado Unidos, España, Bélgica y Canadá; el valor de las exportaciones representa una entrada de divisas de casi USD$900 millones (amecafé, 2015) (gráfica 4).

A pesar de que el precio del café se ve influido de manera directa por la interacción de su oferta y demanda, existen otras variables que contribuyen a intensificar la volatilidad en los precios, como la especulación, clima adverso y escasez en la producción (Pérez, 2006). Debido a que el café se negocia en la bolsa de Nueva York, el valor del dólar influye de igual manera en la determinación del precio (fnc, 2015).
En los países importadores la volatilidad de los precios dificulta el control de los costos de producción afectando las utilidades. Según la Secretaría de Agricultura, Ganadería, Desarrollo Rural, Pesca y Alimentación (Sagarpa), los precios se encuentran volátiles ante la sequía que enfrentan zonas productoras de Brasil, cuya producción se encuentra en floración lo que puede afectar su desarrollo (Sagarpa, 2015).
De acuerdo con los precios pagados al productor en Colombia, Guatemala y México, hasta 1993 los precios permanecieron bajos; sin embargo, crecieron rápidamente hasta 1995, año en el que los precios comenzaron su descenso hasta USD$49.09/lb para iniciar nuevamente su recuperación en 2003 que hasta la fecha se ha caracterizado por una relativa firmeza de los precios a pesar de algunas correcciones a la baja (gráfica 5).

Para efectos de este artículo, la información relacionada a los datos de producción, exportaciones e importaciones fueron tomadas de faostat (2015), la base de datos de la Organización de las Naciones Unidas para la Alimentación y la Agricultura (fao, por sus siglas en inglés), se consideraron los datos de ico, amecafé y las estadísticas comerciales para el desarrollo de negocios internacionales Trade Map. El periodo considerado fue 2001-2014. Los siguientes indicadores muestran la estimación de competitividad.
Consiste en comparar el valor de las exportaciones de un sector en un país determinado con el valor total de las exportaciones a nivel mundial de dicho sector
(1)Siendo Xijel valor de las exportaciones nacionales del sector i y Ximel valor de las exportaciones mundiales del sector i (US$).
De manera análoga, Omaña et al. (2014) presentan la cuota de importación al mercado estadounidense:
(2)Siendo Miel valor de las importaciones estadounidenses del sector i provenientes del país j y Mmi el valor de las importaciones estadounidenses del sector i (USD$).
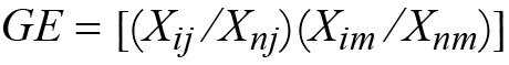
Tiene la finalidad de indicar la importancia de las exportaciones de un determinado producto que efectúa un país, frente a las exportaciones de este mismo producto en el resto del mundo.
García y Maldonado (2013) emplean las siguientes fórmulas:
(3)
(4)Donde X y M son las exportaciones e importaciones respectivamente, i señala el bien objeto de estudio, j es el país de análisis, n se refiere al total del comercio y m el valor con respecto al mundo.
El denominador representa la proporción en la que participa el país de las importaciones/exportaciones de otro país.
Omaña et al. (2014) señala los valores encontrados que varían entre 0 como valor mínimo y como valor máximo ∞. Un GE > 1 representa que la participación de las exportaciones del producto en las exportaciones totales del país es mayor que su participación en el comercio mundial, es decir, el país está exportando más del bien al mundo de lo que hace con el resto de sus productos.
Se emplea para calcular el balance comercial relativo entre dos países y permite analizar el grado de ventaja comparativa que existe. García y Maldonado (2013) señalan que es uno de los índices más adecuados para explicar la ventaja revelada entre dos socios comerciales.
(5)Donde Xijson las exportaciones del bien j realizadas por el país i y Mijson las importaciones del bien j realizadas por el país i. Al igual que otros indicadores, los resultados son expresados entre -1 y 1, siendo este último una señal de ventaja.
De acuerdo con el cuadro 1, la participación de Colombia, México y Guatemala en las exportaciones de café en el mundo han perdido competitividad en los últimos años. El caso particular de Colombia muestra una pérdida de 5.63%, mientras que México perdió poco más de dos puntos porcentuales; sin embargo, Colombia muestra la mayor participación en el mercado cafetalero internacional. Por su parte, las cuotas de exportación en Guatemala en 2001 eran de 6.04%, perdiendo 2.78% en el último año de estudio; es decir, aún con una mayor pérdida de competitividad comparado con México se mantuvo por encima de éste.
En orden descendente, Colombia mantiene la mayor competitividad en el mercado de importaciones de Estados Unidos de América, dado que un promedio de 16.90% del valor de las importaciones son originarias de Colombia, seguida de Guatemala que participa con 8.44% promedio y finalmente México apenas alcanza 5.1%. La explicación a este fenómeno puede centrarse en los pronósticos hechos por amecafé centradas en la producción cafetalera de México afectada directamente por la roya; esta situación inclina las preferencias por la variedad robusta, especie en la que México no es mayormente productor (cuadro 1).

Con el índice de especialización se busca evaluar la competitividad de las exportaciones y su evolución de acuerdo con la demanda del mercado estadounidense. Para calcularlo, es necesario contar con los datos de exportación e importación de toda la economía y de la industria caficultora en cada uno de los países.
De acuerdo con los resultados, aunque los tres países enfocan sus exportaciones al país del norte, no se obtuvieron ventajas comparativas al presentar baja competitividad; sin embargo, México y Guatemala han mantenido ventajas sobre todo a partir de 2014 con un índice promedio de -0.03 y -0.04 respectivamente y mejorando en los últimos años de estudio, mientras que Colombia ha perdido competitividad poco a poco con una índice promedio de -0.08 (gráfica 6).

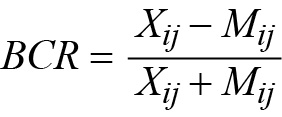
También conocido como Balanza Comercial Relativa (bcr). Refleja la relación de la balanza comercial neta y el flujo total de importaciones y exportaciones. Para los tres países, el comportamiento del índice fue positivo, esto refleja que se exporta más hacia Estados Unidos de lo que se importa de dicho país. Sin embargo, Colombia ha ido disminuyendo su participación lentamente hasta alcanzar 0.39 unidades (cuadro 2).

En el análisis de los índices de competitividad de la industria cafetalera de Guatemala, México y Colombia en el mercado estadounidense, se encontraron las siguientes conclusiones.
De los países de estudio, Colombia es el principal exportador; sin embargo, ha perdido competitividad de manera gradual, espacio que han ido ganando México y Guatemala, principalmente este último como lo muestra el bcr. El hecho de que Colombia siga siendo de los principales exportadores, a pesar de que los indicadores muestran lo contrario, puede explicarse en que la industria cafetalera de Colombia ha logrado que se reconozca la denominación de origen del producto, diferenciando y protegiendo de este modo su industria y favoreciendo su preferencia en el mercado estadounidense (Rendón, 2013).
La enfermedad de la roya del cafeto ha perjudicado seriamente la competitividad de las exportaciones de los tres países; sin embargo, actualmente en México se tiene registrada la más alta caída en producción como consecuencia y está afectando directamente el mercado de exportación y el ingreso de centenares de familias que dependen de manera directa e indirecta, además de disminuir considerablemente la competitividad del café mexicano en otras latitudes, específicamente en Estados Unidos, su principal país comprador (amecafé, 2015).
La competitividad del café de Guatemala se ha incrementado reportando mayores divisas para el país a pesar del descenso de los precios internacionales, igualmente se tiene contemplado el aumento en la producción pese a la roya. Estos factores permiten a la industria de dicho país mejorar su participación e incrementar su competitividad de manera lenta pero ventajosa tanto en el mercado mundial, como en el mercado estadounidense.
Hay que destacar que previo a esta investigación no se encontraron otras en el mismo tenor que permitan hacer comparaciones y encontrar posibles sesgos para enriquecer la discusión y favorecer a la industria.
El sector cafetalero, independientemente del país que se trate, presenta una problemática basada en dos ejes principales; por un lado, de manera intrínseca, la situación de la enfermedad propia del cultivo: la roya, y, por el otro, el precio internacional derivado de la interacción de oferta y demanda mundial.
Con los resultados encontrados, considerando la cantidad de divisas y el bienestar social que las exportaciones del café implican, se requiere tener en cuenta la posibilidad de incrementar el apoyo gubernamental no sólo para grandes productores con la finalidad contrarrestar los efectos causados por la enfermedad, sea en especie (fungicidas) o con apoyo de personal calificado en el área, además de simplificar el proceso de exportación. El estudio de la roya, sus implicaciones biológicas y su detección y control oportuno deberán ser materia de otras disciplinas como la botánica y la fitosanidad.
Debe considerarse que la competitividad también es el fruto de los controles administrativos y del conocimiento de las necesidades del mercado que se tenga, cuestión por la que habrá que contemplar la profesionalización de los involucrados en la cadena productiva y de comercialización para reorganizar el proceso y los objetivos para evitar que los intermediarios sean los únicos con ganancias en el proceso.
Se espera que en el futuro próximo se atienda la influencia de la demanda del mercado de productos sustitutos del café que puedan influir de manera negativa en su demanda y la búsqueda de su posicionamiento como alimento funcional.
Si bien la metodología es aceptada internacionalmente para evaluar la competitividad, se sugiere, por la amplitud de definiciones que existen en el tema, que en un futuro trabajo se consideren variables como innovación tecnológica, geografía y tratados comerciales.







