Recepción: 01 Marzo 2018
Aprobación: 27 Septiembre 2018
DOI: https://doi.org/10.22185/24487147.2019.99.09
Resumen: Es una regularidad que conforme la mujer avanza en sus logros académicos, la brecha de género en participación laboral disminuye, pero no se elimina, y eso da pie a cuestionar sobre la persistencia de los roles de género aun en mujeres con estudios profesionales. El documento plantea la hipótesis de que los roles de género aplican en todos los niveles académicos, aunque con menor peso en mujeres con carrera profesional. Para contrastar la hipótesis, se utilizan datos de la ENOE y se estima un modelo Logit multinivel con efectos mixtos, que controla los efectos de la heterogeneidad ocasionada por las diferencias entre especialidades y regiones. El ejercicio permite fijar las características sociodemográficas de la mujer en cada nivel educativo, al tiempo que únicamente varía el estatus de pareja, los resultados indican que las probabilidades de participación laboral siempre son superiores en las mujeres solteras sobre las casadas, lo que apoya la hipótesis sobre la persistencia de los roles de género.
Palabras clave: Participación de la mujer, profesionistas, modelo multinivel, México.
Abstract: There is an empirical regularity which what as the woman advances in her academic achievements, the gender gap in labor participation decreases, but not disappears, that raises the question about the persistence of gender roles even in women with professional studies. The document proposes the hypothesis that the gender roles apply at all academic levels, although with less weight in women with professional careers. To test the hypothesis, ENOE data are used and a multilevel Logit model with mixed effects is estimated, which controls the effects of the heterogeneity caused by differences from specialties and regions. The exercise maintains fixed the sociodemographic characteristics of women in each educational level, while only varies couple status, results indicate that probabilities of labor participation are always higher in single women than married, which supports the hypothesis about the persistence of gender roles.
Keywords: Women’s participation, professionals, multilevel model, Mexico.
Introducción
En México durante las últimas décadas la participación laboral de la mujer tuvo aumentos significativos. Rendón y Maldonado (2004) reportaron que en 1970 la participación de mujeres de 25-44 años era 14 por ciento, para 2000 aumentó a cerca de 40 por ciento. Por su parte, Aguayo y Lamelas (2011) indican que la tasa general de participación de la mujer creció de 17.6 por ciento en 1970 a 39.5 por ciento en 2005. Cálculos propios con datos del tercer trimestre de 2016 de la Encuesta Nacional de Ocupación y Empleo (ENOE) indican una tasa general de participación de 52.7 por ciento mientras que en el grupo de 25-54 años el porcentaje es 56.5 por ciento.1
Algunas investigaciones reportan como principales causas del aumento en la participación laboral de la mujer en México, la mayor formación escolar así como cambios demográficos y culturales, entre los que destacan la disminución de la fecundidad, aumentos en la edad del matrimonio, en las tasas de divorcio, de separación y de madres solteras, así como cambios en la posición social de la mujer, en el estilo de vida en pareja y en las decisiones sobre el uso del tiempo de los integrantes del hogar (Fussel y Zenteno, 1998; Cerrutti y Zenteno, 1999; Cerrutti, 2000; Rendón y Maldonado, 2004; Aguayo y Lamelas, 2011; Duval y Orraca, 2011; Huffman y Van Gameren, 2011; Sánchez, Herrera y Perrotini, 2015 y Arias 2016). También se argumenta que ante las dificultades económicas cada vez son más los hogares que buscan ingresos adicionales con la incorporación de la mujer al trabajo remunerado (Fussel y Zenteno, 1998; Cerrutti, 2000; Arias, 2016).
No obstante, a pesar del aumento de la participación laboral de la mujer, en México persiste una amplia brecha de género puesto que en 2016 la tasa general de participación de los hombres fue 92.7 por ciento, y en el grupo de 25 a 54 años de 96.4 por ciento, lo cual contrasta de manera significativa con la participación de la mujer. La brecha de participación laboral por género también ocurre en países desarrollados, aunque en dimensiones más bajas que en México, para revisar mayores detalles sobre las diferencias entre países consulte OECD (2017).
Las explicaciones de por qué la mujer participa menos que el hombre en el mercado laboral tienen cierta tradición en estudios sobre género y trabajo. El modelo neoclásico de asignación del tiempo en el hogar (Becker, 1965), utilizado ampliamente en los trabajos empíricos propone que, en el supuesto de poca formación educativa de la mujer, el óptimo económico del hogar implica que ésta dedique la mayor parte del tiempo a las actividades domésticas, mientras que el hombre al trabajo remunerado. La teoría de la segmentación laboral (Doeringer y Piore, 1971; Barron y Norris, 1991) considera que cuando la mujer es vista por los empleadores como fuerza laboral secundaria (de baja calificación, alta rotación y poco interesada en recibir capacitación), es proclive a obtener empleos escasamente atractivos, de bajo salario, lo que desmotiva la participación laboral. Por su parte, la perspectiva que enfatiza el papel tradicional y social de los roles de género propone que éstos hacen la diferencia en el comportamiento laboral entre hombres y mujeres (Castaño, 1999; Serret, 2008); resultado de ello es que, por norma cultural y socialmente aceptada, la mujer generalmente asume un papel subordinado, dedicando gran parte del tiempo al trabajo doméstico y al cuidado de los hijos, limitando así sus posibilidades para trabajar fuera del hogar.
Focalizando al caso de mujeres con estudios profesionales, acorde con el modelo neoclásico y la teoría de la segmentación, la formación educativa debe ser determinante en la participación laboral. Bajo el modelo neoclásico significa que la dedicación al hogar tiene un alto costo de oportunidad, por lo que la mujer con estudios profesionales buscaría tener mayor participación laboral. Con la teoría de la segmentación laboral, dada la calificación de la mujer con estudios especializados, no aplicaría que sea considerada como fuerza de trabajo secundaria, por lo que los empleos potenciales en principio serían más atractivos. Por su parte, la perspectiva de los roles de género no establece si el nivel educativo podría anular o atenuar el resultado dominante del hombre en la distribución del tiempo de sus integrantes entre el trabajo remunerado y las actividades del hogar.
A raíz de la discusión, este documento tiene como objetivo contrastar la importancia de la educación en la participación laboral de las mujeres con estudios profesionales en México. Se postula que los factores relacionados con roles de género persisten, aunque se esperaría que tuvieran menor peso ya que el interés por construir trayectoria profesional, las mejores oportunidades de empleo, mayor salario potencial y la satisfacción en el empleo, en principio hacen que aumente su poder de negociación dentro del hogar, además que la dedicación de tiempo al trabajo doméstico tenga elevados costos de oportunidad y por consecuencia motive su participación laboral.
Al respecto, la información del segundo trimestre de la ENOE 2016 revela que la participación laboral de las mujeres entre 25 y 54 años con algún año de estudios de licenciatura o de posgrado fue 76.4 por ciento, cifras muy superiores a 56.5 por ciento de las mujeres sin carrera. No obstante, aun entre las mujeres con los niveles de estudios más elevados se observan diferencias de participación dependiendo de la presencia de niños menores de 12 años, así como del estatus de vida en pareja (casadas o en unión libre). De este modo, las mujeres sin pareja (solteras, viudas, divorciadas o separadas) y sin presencia de menores tuvieron tasas de participación de 84.8 por ciento, mientras que para las mujeres con pareja y menores, la participación fue apenas de 54.2 por ciento.
Así que la evidencia descriptiva de 2016 apunta en dirección de la hipótesis que postula la importancia de la educación, pero también de la persistencia de los roles de género. Desde luego que para mejorar la precisión de esta afirmación es necesario controlar el efecto de factores que, de acuerdo con otras investigaciones, contribuyen a explicar la participación laboral de la mujer, así como el efecto de la heterogeneidad tanto entre profesiones como entre regiones (culturales, mercado laboral y estructura económica).
La estrategia metodológica para controlar estos efectos y valorar la persistencia de los roles de género en las decisiones de participación laboral de las mujeres con estudios profesionales, se basa en la estimación de un modelo Logit multinivel con efectos mixtos, con datos de la ENOE de 2012 a 2016. Con el modelo se estiman las probabilidades de participación laboral controlando la heterogeneidad ocasionada por las diferencias entre especialidades y regiones, para lo cual se consideran tres grupos: i) mujeres sin carrera ni especialidad; ii) con estudios técnicos en alguna especialidad y iii), con estudios profesionales de licenciatura y/o de posgrado en alguna especialidad. Los resultados corroboran la importancia de la educación profesional para aumentar la participación laboral, pero también favorecen la hipótesis que postula la persistencia de los roles de género.
El documento se compone de seis secciones, en la siguiente se revisan antecedentes acerca de teorías y factores determinantes de la participación laboral de la mujer. Luego se presenta evidencia actual para México, con énfasis en las mujeres con estudios profesionales. La cuarta sección incluye la especificación del modelo, descripción de variables y datos. En la quinta se presentan, analizan y discuten los resultados de estimación y al final se concluye con algunas reflexiones y alcances de la investigación.
Antecedentes
La evidencia presentada por Hausmann et al. (2009) y Ganguli et al. (2014), indica que a nivel mundial han aumentado los niveles de escolaridad; además, que la mayoría de los países desarrollados y algunos en desarrollo, han eliminado la brecha de escolaridad por género. Sin embargo, a pesar de estos avances, coinciden en señalar que no se ha eliminado la brecha de participación laboral entre hombres y mujeres, aunque ésta haya disminuido en el largo plazo.
Las explicaciones sobre el gradiente en la participación por género han sido tratadas en diversos estudios que toman como base el modelo neoclásico de asignación del tiempo del hogar, introducido por Becker (1965); donde, ante el supuesto de menor educación formal de la mujer, y bajo el principio de maximización de utilidad, el hogar determina como óptimo que la mujer dedique la mayor parte del tiempo a las actividades domésticas, mientras que el marido las dedica al mercado laboral.
Otros estudios se apoyan en la teoría de la segmentación del mercado laboral (Doeringer y Piore, 1971; Barron y Norris, 1991), para la cual, en tanto que la mujer sea considerada por los empleadores como parte de la fuerza laboral secundaria, definida por ser de baja calificación, poco interesada en recibir capacitación y con alta rotación laboral, estará propensa a obtener empleos poco atractivos y de baja remuneración, lo cual desincentiva su participación laboral.
Por su parte, bajo el enfoque de los roles de género, se considera que los roles tradicional y socialmente asignados son un elemento diferenciador en el comportamiento económico de hombres y mujeres (Castaño, 1999; Serret, 2008). De esa manera, la mujer asume un papel subordinado, considerándose social y culturalmente normal su dedicación al trabajo doméstico y al cuidado de los hijos, lo que disminuye sus posibilidades de participación en el mercado laboral.
Resultados de diversas investigaciones indican que la decisión de participar en el mercado laboral por parte de una mujer, con o sin hijos, casada, en unión libre o soltera, está relacionada con el papel de la mujer en la educación y cuidado de los hijos (Knaul y Parker, 1996; Acosta et al., 2006; Domínguez y Brown, 2013; Sánchez et al., 2015); la presencia de adultos mayores o familiares con algún problema de salud que requieren cuidados (Shimizutani et al., 2008; Trong y Brian, 2014; Vecchio, 2015; Sánchez et al., 2015); el tiempo asignado a la producción doméstica (Gammage y Orozco, 2008; Lührmann y Weiss, 2010; Sánchez et al., 2015); la ausencia o insuficiencia de ingreso en el hogar debido a las condiciones económicas, que obligan la incorporación laboral de la mujer como trabajador secundario (Cerrutti, 2000); o lo señalado por Goldin (2006) para quien la decisión de trabajar en ocasiones es una decisión conjunta, donde la mujer actúa como trabajador “añadido”, que depende del resultado laboral obtenido por el marido. Todo esto conjugado con el nivel educativo de la mujer, puesto que cada una de las asignaciones de tiempo representan costos de oportunidad frente a la decisión de trabajar.
Concentrándonos al caso de México, las tasas de participación laboral de la mujer también han aumentado, aunque continúan por debajo de las observadas incluso en países de similar desarrollo. Rendón y Maldonado (2004) señalan que en las últimas dos décadas del siglo veinte se experimentó en México un sustancial incremento en las tasas de participación: para el 2000 reportan tasas que rondan 40 por ciento en los grupos de edad de 25-44 años; esto en comparación a 14 por ciento que en promedio prevalecía para esos grupos en 1970. Por su parte, Aguayo y Lamelas (2011) reportaron que de 1970 a 1995, la tasa general de participación de la mujer pasó de 17.6 a 34.5 por ciento; también, que durante 1995-2005 la tasa no mejoró sustancialmente, ubicándose en 39.5 por ciento. Los autores enfatizan que, a pesar del avance, las cifras de la mujer están muy por debajo de 77.7 por ciento de participación en los hombres; también, que son bajas en comparación con Brasil y Argentina, donde la participación de la mujer es superior a 48 por ciento.
Rendón y Maldonado (2004) atribuyen el incremento de la participación laboral de la mujer mexicana a factores con efecto de largo plazo, entre los que sobresalen el aumento en los niveles de escolaridad; los cambios culturales favorables a la participación femenina; la disminución de la fecundidad y el aumento de la edad promedio del matrimonio, así como al creciente número de mujeres jefas de hogar originado por la mayor tasa de divorcios y de madres solteras. Para Duval y Orraca (2011) el aumento de la participación laboral de la mujer se debe también al crecimiento de los salarios, a la disponibilidad de bienes que sustituyen trabajo doméstico, así como a los cambios en el estilo de vida de las parejas. Fussel y Zenteno (1998), así como Cerrutti (2000), añaden que las crecientes dificultades económicas que enfrentan los hogares aceleraron la incorporación de la mujer al trabajo remunerado. Aguayo y Lamelas (2011) también enfatizan en la importancia del incremento en los niveles de educación; sin embargo, señalan que la persistencia de las diferencias con los hombres se debe al predominio de los roles de género, donde el trabajo doméstico y los referentes al cuidado, por lo general son desempeñados por la mujer.
Con respecto de los factores determinantes de la participación laboral de las mujeres profesionistas en México, no identificamos trabajos enfocados a ese caso específico. Aunque es preciso señalar que los estudios dedicados al caso general de la mujer coinciden al indicar efectos positivos del nivel de escolaridad sobre la participación laboral. Una parte de estos estudios se enfocan en determinar los factores que inciden en la participación de las mujeres casadas, y coinciden con la evidencia para otros países, donde la probabilidad de participación aumenta con la educación y el salario potencial, y disminuye con el salario del marido y el número de hijos. En este grupo se encuentran trabajos realizados desde hace más de dos décadas, como los de Smith (1981), Anderson y Dimon (1988) y Wong y Levine (1992).
Trabajos más recientes, como el de Duval y Orraca (2011), encontraron que en el sector formal la participación laboral de las mujeres con estudios medios y superiores es incluso mayor que la de hombres. Asimismo, que en el sector informal la participación laboral de la mujer aumenta con la escolaridad; que en su juventud las mujeres con estudios superiores son más propensas a trabajar en la informalidad, propensión que disminuye significativamente con la edad. Por su parte, Aguayo y Lamelas (2011) estimaron que, con respecto de la escolaridad promedio, la elasticidad de participación de las mujeres casi duplica (1.21) a la de hombres (0.77).
Por su parte, Huffman y Van Gameren (2011) utilizan un enfoque donde la oferta laboral de los hogares es analizada como una decisión interactuada más que una decisión individual-aislada. Proponen que la participación laboral de la mujer casada depende de la decisión que al respecto ha tomado previamente el marido. En su estudio encontraron que la participación de la mujer es menos probable si el cónyuge trabaja. También reportaron que en las mujeres con mayor escolaridad y experiencia aumenta la probabilidad de trabajar y que la presencia de hijos menores de seis años la disminuye. Estos resultados son congruentes con los de Cerrutti y Zenteno (1999), quienes encontraron que la participación de la mujer está vinculada no solo a las características individuales y familiares, sino a las condiciones laborales del jefe del hogar.
Otras investigaciones han analizado la importancia de la heterogeneidad de los mercados laborales locales. Fussel y Zenteno (1998) exploraron la determinación de la participación laboral de la mujer, y encontraron que las características de las economías urbanas interactúan con las características individuales y del hogar. Lo cual coincide con Garduño-Rivera (2013), quien argumenta que los coeficientes de participación laboral de la mujer están determinados no solo por variables relacionadas a los individuos y hogares, sino por el nivel de actividad económica de industrias que tradicionalmente son intensivas en trabajo femenino (hotelera y maquila), así como por heterogeneidades no observables de los municipios. De forma similar, Wong y Levine (1992) encontraron que en las áreas urbanas las tasas de participación son mayores porque en estas se ubican actividades que tradicionalmente absorben más empleo de mujeres. Por su parte, Aguayo y Lamelas (2011) encontraron que las brechas de participación entre hombres y mujeres son mayores en regiones donde predominan actividades primarias; disminuyen en aquellas con especialidad industrial, y son más bajas en las regiones especializadas en el sector terciario. Es necesario destacar que no solo son importantes las diferencias regionales de la estructura económica y de los mercados laborales, sino que también hay heterogeneidad en lo que Courdorier y Gómez-Galvarriato (2004: 63) señalan como “estigmas sociales distintos a nivel regional en torno a la participación laboral de la mujer”.
En cuanto al análisis del mercado laboral de los profesionistas en México, otros estudios lo han abordado, aunque no profundizan sobre la participación laboral de las mujeres. Al respecto, son interesantes los hallazgos de Hernández (2004), quien pone en evidencia la excesiva saturación en la oferta de egresados en 14 de 45 carreras universitarias, lo que desde luego afecta las posibilidades de participación laboral en general y en particular de las mujeres. El autor también muestra que la reducción de las remuneraciones reales, ocurridas durante los noventa, se acentúa en los grupos con bajos niveles de escolaridad, siendo los profesionistas los que vieron reducir en menor cuantía sus salarios. Por su parte, Burgos y López (2010), estudian la situación laboral de los profesionistas (sin distinguir por género) y encuentran una gran heterogeneidad entre carreras en los egresados de una universidad pública (Universidad de Sonora), además, que una proporción considerable de profesionistas trabajan en condiciones inadecuadas.
Hasta donde se ha visto, tanto en general como para el caso de México, la formación educativa es un determinante importante de la participación laboral de la mujer, aunque ello no excluye la interacción con la perspectiva de los roles de género, bajo la cual se establece una posición dominante del hombre, al menos en lo que refiere a la asignación de roles que involucran el uso del tiempo, donde por lo general la mujer dedica mayor tiempo al trabajo doméstico y al cuidado de los hijos; mientras el hombre los dedica al trabajo en el mercado laboral.
Situación laboral actual de las mujeres profesionistas en México
La literatura revisada indica que la asignación de roles por género, que involucra el uso del tiempo por un lado entre actividades dedicadas a la producción doméstica y al cuidado familiar, y por otro el dedicado al mercado laboral, es determinante en la brecha de participación laboral entre hombres y mujeres.
En esta investigación se plantea que esa posición tiene mayor peso en hogares donde la mujer tiene poca formación educativa. En el caso de mujeres con estudios profesionales se propone que su incorporación laboral depende en menor medida de los roles de género y está más orientada a la construcción de sus carreras laborales y en ese sentido, la dedicación al hogar en sustitución de trabajo remunerado les representa altos costos de oportunidad frente a opciones de empleo con buenas perspectivas de ingreso y satisfacción laboral. Además, la posibilidad de un mejor ingreso familiar permitiría obtener asistencia externa para el cuidado de los hijos y del hogar,2 así como el acceso a un estilo de vida catalogado como de clase media o de clase alta, resultados que ejercen un efecto demostración que estimula al resto de mujeres a trabajar.
En esta sección se presentan algunos hechos estilizados que contextualizan el estado de la situación acerca de la participación laboral de las mujeres profesionistas en México, además de aportar evidencia descriptiva en torno a la hipótesis planteada. Para ello se utiliza información de la Encuesta Nacional de Ocupación y Empleo (ENOE) correspondiente al segundo trimestre de 2016.
La Figura 1 muestra la disparidad en la participación laboral entre hombres y mujeres de 25 a 54 años por nivel de escolaridad. Dentro de cada grupo lo que se analiza es la proporción en la PEA y en el empleo. Con ambos indicadores se corrobora que la brecha de participación por género es muy amplia en personas sin carrera y va disminuyendo conforme mejora la preparación escolar. Así, en el grupo de quienes no obtuvieron ninguna carrera, la participación de los hombres en la PEA es 43.7 por ciento mayor que las mujeres; en participación en el empleo la brecha es 44.8 por ciento.

Subiendo en la escala de preparación escolar, la brecha disminuye, pero no se elimina: en individuos con carrera básica3 las brechas en ambos indicadores son 32.2 y 30.8 por ciento respectivamente; en técnico superior son 33.9 y 32 por ciento; en licenciatura 20.2 y 19 por ciento y en posgrado 7.3 y 7.5 por ciento.
En adelante el enfoque es hacia mujeres, considerando únicamente la participación en el empleo ya que la participación en la PEA tiene el mismo comportamiento, aunque ligeramente escalada hacia arriba, la Figura 2 muestra que las mujeres con pareja (casada o en unión libre), cualquiera que sea la formación académica, con o sin presencia de niños en el hogar, tienen menor participación laboral que las mujeres sin pareja (soltera, viuda, separada o divorciada) con o sin menores. En general, la brecha por vínculo de pareja se mantiene similar hasta el nivel de técnico superior, pero disminuye de manera significativa en los niveles de licenciatura y de posgrado.

Analizando al grupo de mujeres con presencia de menores en los distintos niveles de formación se observa que las mujeres sin carrera y sin pareja tienen una participación laboral que supera en 34.2 por ciento a las mujeres del mismo grupo con pareja; en carrera básica la participación de las mujeres sin pareja supera en 26.7 por ciento a las que viven en pareja; en carrera técnica superior la diferencia favorable a las mujeres sin pareja es de 35 por ciento; en licenciatura la brecha por vínculo de unión disminuye a 18.8 por ciento y en posgrado a 9.4 por ciento.
En el grupo sin niños menores, las mujeres sin carrera y sin pareja tienen una participación laboral que supera en 16.6 por ciento a las mujeres sin carrera y con pareja; la brecha dentro del mismo grupo, pero con carrera básica, es de 15.9 por ciento; para técnicos superiores es 16.9 por ciento; disminuye a cuatro por ciento en licenciatura y en posgrado inclusive se revierte a dos por ciento.
La evidencia muestra que las diferencias ante distintas situaciones por vínculo de unión y presencia de niños menores, a simple vista apoyan la hipótesis de persistencia de los roles de género, la cual establece una relación tradicional, cultural y socialmente aceptada, de dominancia del hombre en el sentido de que la vida en pareja y la presencia de niños orilla a que la mujer dedique mayor tiempo al hogar y menos al mercado laboral. No obstante, aun cuando la importancia de los roles de género persiste en todos los niveles de formación educativa, las brechas de participación laboral disminuyen de manera significativa en licenciatura y posgrado. De ahí pues el interés por profundizar en el análisis de la persistencia, enfatizando en el caso de las mujeres con formación profesional.
Para visualizar un mejor perfil de las profesiones con énfasis de género a continuación se tomaron en cuenta las personas mayores de 24 años con algún grado de estudios en los niveles de licenciatura y posgrado y que actualmente no estudian. Además, se consideraron siete campos de formación (Anexo 1): Educación y Docencia (Educ); Artes y Humanidades (A y H); Ciencias Sociales, Económico Administrativas y Derecho (CS-Adm-D); Ingenierías mecánica-eléctrica, industriales y de la construcción (Ing-Con); Agrícola, Agropecuario y Veterinaria (Ag-Vet); Medicina y otras del área de la salud (Salud) y, Área de Servicios (Servicios).
De los ocho campos de estudios, solamente en dos son mayoría las mujeres: en educación y docencia 68.5 por ciento de los ocupados son mujeres; en salud la proporción de mujeres es cercana a 61 por ciento (Figura 3). En otros campos la mayoría son hombres, aunque también hay presencia importante de mujeres en artes y humanidades (49.8 por ciento); sociales, económico, administrativas y derecho (46.4 por ciento) y naturales y exactas (41.1 por ciento). Donde hay menos proporción de mujeres es en agro-veterinaria (15.7 por ciento) y en ingenierías y construcción (16.5 por ciento). Es importante tener en cuenta la distribución por género dentro de cada campo de formación ya que algunas podrían ser vistas como de mayor aceptación social y cultural hacia la mujer, por ejemplo, educación, pero en otras podría ser lo contrario, por ejemplo, agricultura, ingenierías y construcción.
En la distribución de cada género entre las distintas profesiones, la mayor concentración tanto de hombres como de mujeres se da en sociales, económico, administrativas y derecho (CS-Adm-D), concentrando casi la mitad de los y las profesionistas. En el caso de mujeres, la segunda mayoría se da en educación (21.8 por ciento); mientras que en hombres en ingenierías y construcción (30.9 por ciento) (Figura 3).

En párrafos precedentes se ha visto que, controlando alternativamente por otras variables relacionadas con los roles de género, a mayor nivel de estudios se observa mayor participación laboral de las mujeres. En el caso de mujeres con altos niveles de estudios, la Figura 4 apoya esa regularidad en todos los campos de especialidad profesional para las personas entre 25 y 54 años: aun cuando se observa cierta heterogeneidad, cualquiera que sea el campo de estudios, la brecha de género persiste y es menor en posgrado que en licenciatura. Lo cual proporciona evidencia favorable a la hipótesis planteada. No obstante, para mejorar la precisión de esta afirmación, es necesario controlar de manera simultánea el efecto de factores diferentes tanto a la situación profesional como al estatus de vida en pareja con o sin hijos, lo que se realiza en las secciones siguientes.

Métodos, variables y datos
La evidencia descriptiva de la sección precedente muestra que la participación laboral de la mujer aumenta con la formación educativa. Es palpable cómo la brecha de género se reduce a rangos mínimos cuando la mujer realiza estudios profesionales de licenciatura y de posgrado. Los hechos también indican que para un mismo nivel de escolaridad persiste un gradiente que podría estar asociado a los roles de género ya que las mujeres con relación de pareja y con niños menores presentan menor frecuencia de participación laboral.
Desde luego que la situación profesional y los aspectos relacionados con los roles de género no son los únicos factores que podrían influir sobre la participación laboral de la mujer. Es necesario tomar en cuenta otros elementos individuales relacionados con el ciclo de vida, el efecto de eventos coyunturales, así como de las heterogeneidades de los mercados laborales tanto de las especialidades de estudio como de las regiones.
Con el propósito de considerar el efecto de la heterogeneidad, para cada grupo de mujeres con algún año de estudios profesionales, se estiman modelos Logit de efectos mixtos en tres niveles: el primer nivel lo conforman las personas; el segundo nivel está representado por 24 especialidades (Tabla A1 del anexo) y, el tercer nivel lo constituyen las 32 entidades federativas. En las mujeres con estudios técnicos y sin carrera se estima un modelo de dos niveles, donde el primer nivel es el individual y el segundo las 32 entidades.
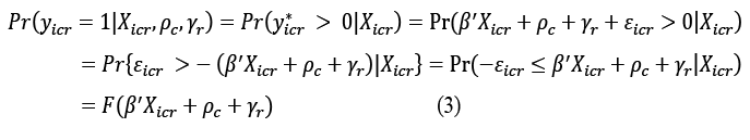
Los modelos se formulan como respuesta latente, donde es una variable latente que corresponde a la persona “i” con estudios en el campo de especialidad “c” y residencia en la región “r”. Esta variable representa la diferencia en la percepción de satisfacción que proporcionan las opciones referidas a trabajar (yicr = 1) o no hacerlo (yicr = 0). Se considera que cuando la diferencia es positiva, la persona elige trabajar (yicr = 1); lo contrario si la diferencia no es mayor a cero. Se supone que la variable latente es función lineal de un vector de variables individuales, Xicr, con coeficientes fijos, β (primer nivel); de un intercepto aleatorio que varía entre especialidades, ρc (segundo nivel) y de otro que varía entre regiones, γr, (tercer nivel), ambos con distribución normal y media cero, además de una perturbación aleatoria, εicr, tal que E(εicr│Xicr, ρc, γr) = 0. Así, para el caso de mujeres con algún año de estudios de carrera profesional, la variable latente se expresa como:
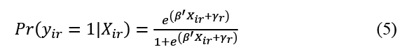
[1]Mientras que para mujeres sin carrera y con algún año de carrera técnica se expresa como:
[2]Es importante destacar que si no se consideran los efectos aleatorios por grupo (ρc y γr) se estaría suponiendo que las observaciones de cada persona son independientes dentro de cada especialidad y región, lo cual sería cuestionable ya que en esos ámbitos existen factores comunes que afectan de manera similar a las integrantes de cada grupo. En el caso de las profesiones, estudios como los de Hernández (2004) y Burgos y López (2010) han puesto en relieve la heterogeneidad en la inserción laboral de los egresados dependiendo de la carrera que estos hayan concluido. En ese sentido, la correlación intraclase es diferente de cero, es decir, la estructura de correlación entre las observaciones de un mismo grupo podría ser más parecida entre sí en comparación con las de otros grupos. Adicionalmente, se espera que las condiciones de los mercados laborales (remuneraciones, capital humano, estructura poblacional y estructura productiva) específicas a cada combinación de especialidad y región sean heterogéneas. Lo cual es congruente con lo señalado en la literatura cuando se reconoce no sólo el efecto de la heterogeneidad de las estructuras económicas y mercados laborales sino también de los estigmas sociales y culturales regionales que inciden en la participación laboral de la mujer (Fussel y Zenteno, 1998; Garduño-Rivera, 2013; Wong y Levine, 1992; Aguayo y Lamelas, 2011; Courdorier y Gómez-Galvarriato, 2004). En ese sentido, no controlar el efecto de la heterogeneidad en el modelo significaría la posibilidad de sesgo en las estimaciones.
Considerando la heterogeneidad, para los casos de mujeres con algún año de estudios profesionales, se propone que la probabilidad condicional asociada a la opción es representada como:
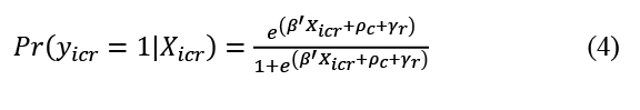
[3]Donde F(·) es la función de densidad acumulativa de -εicr. En el caso de un modelo Logit, F(·) es la función logística, por lo tanto, los modelos a estimar para mujeres con algún año de estudios profesionales están representados por la siguiente ecuación:
[4]Aplicando el mismo procedimiento a mujeres sin carrera y con algún año de estudios técnicos, la ecuación a estimar es:
[5]En las ecuaciones (4) y (5), la parte fija de los modelos representa los promedios poblacionales, mientras que los efectos aleatorios, en atención a la heterogeneidad, ubican la línea de regresión al nivel correspondiente de cada especialidad y entidad, según sea el caso.
La variable dependiente es indicativa y asume el valor de la unidad (yi = 1) si la persona decide participar en el mercado laboral (trabaja o busca activamente trabajar) y el valor de cero (yi = 0) si no trabaja ni busca trabajar (note que se incluye solo el primer subíndice para representar la variable en cualquiera de las ecuaciones 4 y 5). El vector X incluye variables referentes tanto a características individuales como de las regiones y/o especialidades, así como variables que recogen efectos fijos temporales. Enseguida se describen las variables explicativas, así como el efecto esperado de cada una sobre la probabilidad de que el individuo “i” participe en el mercado laboral.
Las características individuales relacionadas con el ciclo de vida y con los roles de género incluyen las variables que se desprenden de la literatura, mismas que describen a continuación (entre paréntesis se muestra la variable tal como aparece en los cuadros de resultados). La edad (Edad) considera a las mujeres entre 25 y 54 años en tres variables binarias de acuerdo con la pertenencia a los grupos de 25 a 34 años, de 35 a 44 y de 45 a 54 años. Se espera que conforme aumenta la edad la probabilidad de participación en el mercado laboral sea menor. Las diferencias en el comportamiento debidas al estatus de pareja se analizan realizando regresiones por separado tanto para las mujeres casadas o en unión libre como para mujeres sin pareja (solteras, divorciadas, separadas o viudas). La presencia de menores en el hogar se representa con dos variables binarias (dmen5 y dmen6a12), la primera indica la presencia de niños menores de cinco años y la segunda de entre 6 y 12 años. La presencia de adultos mayores de 70 años se incluye también como variable binaria (dmay70). Las últimas tres variables (dmen5, dmen6a12 y dmay70), junto con la estrategia de realizar regresiones separadas, pretenden incorporar el efecto de los roles de género. Con la estimación por separado se espera que las probabilidades sean menores en el caso de mujeres con pareja, también, que los coeficientes de las tres variables sean negativos, indicando que, si dominan los roles de género, las mujeres en hogares que requieren el cuidado de menores o de adultos mayores tendrán menor probabilidad de participar en el mercado laboral.
Para captar la capacidad económica del hogar, exenta del ingreso de la mujer, se incluye como variable el monto de ingresos mensuales, a precios de 2012, generados por otros integrantes del hogar (ing_otrint), en este rubro se contabiliza el ingreso del marido en caso de la mujer con pareja, pero también la aportación que realizan otros miembros del hogar. Se espera que en la medida que los hogares dispongan de mayores ingresos familiares, menor será el apremio para que la mujer contribuya con ingresos adicionales, por lo que, disminuye la probabilidad de participar en el mercado laboral.
También, se supone que los hogares analizan el costo de oportunidad de que la mujer trabaje, esto en contraposición a ocuparse de las actividades domésticas, por ello se incluye como variable explicativa el monto, a precios de 2012, de ingresos laborales potenciales de la mujer acorde con su nivel de estudios, especialidad y características de la economía local (ingsem_c). La variable se incluye como desviación de la media y fue estimada econométricamente con información de la ENOE en los trimestres correspondientes a los modelos principales. Se espera que, a mayor ingreso potencial de la mujer, mayor sea el costo de oportunidad de ocuparse de tiempo completo en actividades del hogar, con lo cual aumenta la probabilidad de participación en el mercado laboral y, por consecuencia, el coeficiente asociado a la variable deberá ser positivo.
Para cada grupo de mujeres con algún año de estudios especializados se incluyó una variable que refleja el grado de feminización de las especialidades, esta refiere a la proporción de mujeres en cada especialidad por región (pmujp_h), la variable pretende reflejar la receptividad de la mujer por campo de especialidad en el mercado laboral. Se propone que cuando la proporción de mujeres en alguna especialidad es baja (por ejemplo, servicios de seguridad), tiene menor receptividad que otra con alta proporción de mujeres (por ejemplo, formación docente). Por lo tanto, a mayor proporción de mujeres por especialidad y región, se espera mayor probabilidad de participar en el mercado laboral.
En el grupo de mujeres sin carrera se incluye una variable que mide los años de escolaridad (años_esc), esto para reflejar el efecto del capital humano. Se considera que a mayor escolaridad mayor es el capital humano y, al suponer que las empresas prefieren personal con mayor capital humano, se propone que la probabilidad de participar en el mercado laboral de una mujer sin carrera aumenta con los años de escolaridad. Por lo tanto, el coeficiente asociado a la variable debe ser positivo.
Los dos grupos de mujeres con carrera consideran a quienes actualmente no estudian, pero estudiaron algún año en nivel técnico o profesional, independientemente de si la hayan o no concluido. Para considerar la posibilidad de que los empleadores premien la culminación de una carrera, en ambos casos se incluyen variables binarias que indican si la carrera fue concluida (noconcl para el nivel técnico y Lic_conc para licenciatura). Se plantea que quienes culminan sus estudios tienen mayor receptividad en las empresas, por lo que, se espera que el signo de la variable noconcl sea negativo y el de sea Lic_conc sea positivo, indicando, respectivamente, menor y mayor probabilidad de participar en el mercado laboral.
Para controlar el efecto del tamaño de los mercados laborales locales, se consideraron cuatro variables binarias que indican el tamaño de la localidad donde la mujer tiene su residencia (t_loc): 100 mil o más habitantes; de 15 mil a 99,999 habitantes; de 2,500 a 14,999 y, menos de 2,500 habitantes. Se plantea que, a menor tamaño del mercado laboral menores podrían ser las oportunidades de empleo, por ello se espera que las probabilidades de participación sean también más bajas. Finalmente, con el propósito de controlar los posibles efectos coyunturales que varían en el tiempo, se consideraron indicadores binarios correspondientes a cada año de la muestra.
A continuación, se resumen las características de la base de datos. La ENOE se levanta cada trimestre y tiene representatividad nacional, estatal y para un conjunto de 32 ciudades. El actual formato de la encuesta se viene utilizando desde enero de 2005.4 Para garantizar uniformidad, en este trabajo el análisis se realiza desde el tercer trimestre de 2012, cuando la ENOE modifica la clave asignada a la descripción de carreras. Otra característica de la encuesta es que las personas seleccionadas en la muestra reciben un seguimiento durante cinco trimestres consecutivos, así que, para evitar repetir los casos de participación laboral, los periodos utilizados se distancian entre sí por cinco trimestres: tercero de 2012, cuarto de 2013, primero de 2015 y segundo de 2016.
El análisis econométrico se concentró en mujeres entre 25 y 54 años que no se encontraban estudiando a la fecha de la entrevista. Fueron consideradas como participantes en el mercado laboral si estaban ocupadas o desocupadas y dispuestas a trabajar y, en ese caso, la variable dependiente toma el valor de la unidad, de lo contrario se consideró que no participan en el mercado laboral y la variable toma el valor de cero. Durante esos periodos, los tamaños muestrales y la proporción de mujeres que participan en el mercado laboral, por grupo de edad y nivel de estudios, se presentan en la Tabla 1. Es interesante destacar dos regularidades: i) en todos los años 72.4 por ciento de las mujeres de 25-54 años no tenían estudios especializados y solamente alrededor de una quinta parte habían completado al menos un año de estudios profesionales y, ii) independientemente de cuál sea el grupo de edad, es confirmatorio que al aumentar el nivel de estudios también aumenta la proporción de participación laboral.

En el Anexo 2, se resumen las características del resto de variables utilizadas en los modelos. Interesa resaltar las principales tendencias: el ingreso medio de otros integrantes del hogar, así como el ingreso potencial promedio de la mujer es mayor conforme al nivel de estudios; la proporción de casadas o en unión libre va en relación inversa al nivel de estudios; la proporción de niños menores es mayor en el caso de mujeres sin estudios especializados; tres de cada cuatro mujeres con estudios técnicos o profesionales viven en localidades de 100 mil o más habitantes; lo cual contrasta con mujeres sin estudios especializados, quienes aproximadamente una de cada dos viven en ese tipo de localidades, mientras que cerca de una quinta parte vive en localidades con menos de 2,500 habitantes.
Estimación y resultados
Los resultados correspondientes a los coeficientes de regresión se resumen en la Tabla 2, mayores detalles de las estimaciones pueden ser revisados en los anexos 2 y 3. Para cada nivel de estudios se estimaron dos ecuaciones, una para mujeres casadas (o en unión libre) y otra para mujeres sin pareja (solteras, viudas, divorciadas o separadas). El modelo que controla la heterogeneidad regional (ecuación 3) se utilizó tanto para las mujeres sin carrera (columnas 1 y 2) como para las que tenían algún año de estudios técnicos (columnas 3 y 4). Para las mujeres con algún año de estudios de carrera profesional se utilizó el modelo que controla los efectos aleatorios provenientes de las diferencias regionales y de las especialidades (ecuación 4, columnas 5 y 6).
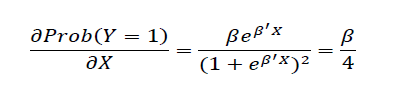
Para analizar los resultados, el signo del coeficiente proporciona la dirección del efecto de cada variable sobre la probabilidad de participación laboral de la mujer por nivel de estudios y estatus de vida en pareja; además, se aplica la “regla de cuatro” que consiste en dividir el valor del coeficiente entre cuatro y que, de acuerdo con Gelman y Hill (2015) es una buena aproximación del máximo valor de la pendiente de la curva logística, lo cual significa que a partir de ese punto refleja el efecto ceteris paribus ocasionado por el cambio en una unidad de la variable independiente sobre la probabilidad de participación. Siguiendo a Gelman y Hill (2015: 82), la curva logística tiene mayor pendiente en su centro, donde la proyección lineal βʹ X = 0, por lo que, en ese punto
[6]Luego, tomando la derivada con respecto a X (efecto marginal) y evaluándola en ese punto, se tiene que
[7]En esos términos, la Tabla 2 muestra evidencia de que, independientemente del estatus de pareja y del nivel de estudios, las mujeres del grupo de mayor edad (45-54) disminuyen su probabilidad de participación en el mercado laboral.
Los casos más desfavorables son en mujeres con mayor nivel de estudios y los menos severos en mujeres sin carrera. Aplicando la “regla de cuatro”, en comparación con la categoría base (25-34 años), la menor reducción de probabilidad del grupo 45-54 se observa en mujeres sin carrera y sin pareja, con 2.4 por ciento; mientras que la máxima caída se da en mujeres con carrera técnica y sin pareja (18.2 por ciento). También se observa que las mujeres de los niveles técnico o profesional (sin importar el estatus de pareja), logran la mayor probabilidad de participación cuando son más jóvenes (25-34 años); lo cual difiere del grupo de mujeres sin carrera donde la mayor probabilidad se logra en edades entre 35 y 44 años. En general, los resultados parecen indicar que el mercado laboral no es neutral a la edad y da preferencia a las más jóvenes; esto a pesar de que las mujeres de entre 45 y 54 años en teoría ya habrían concluido la crianza de hijos menores.

Los resultados sobre el efecto de la presencia de menores coinciden en general con hallazgos de otras investigaciones (Knaul y Parker, 1996; Acosta et al., 2006; Huffman y Van Gameren, 2011; Domínguez y Brown, 2013; Sánchez et al., 2015). En la Tabla 2 es evidente que, con independencia del nivel de estudios y del estatus de pareja, la probabilidad de participación laboral disminuye cuando hay menores de 6 a 12 años (con la excepción de mujeres solteras sin carrera o con estudios técnicos), pero disminuye aún más cuando los niños tienen menos de seis años. De la Tabla 2 se deduce que la presencia de menores de 0-5 años disminuyen las probabilidades de participación entre 9.1 por ciento (mujeres con carrera profesional con pareja) y 5.9 por ciento (mujeres sin pareja sin carrera o con carrera técnica). Por su parte, cuando hay niños de 6-12 años las probabilidades disminuyen entre 3.1 y 4.8 por ciento, esto con las excepciones de mujeres sin pareja (sin carrera o con estudios técnicos), donde en el primer caso la probabilidad de participación inclusive aumenta en 2.9 por ciento, mientras que en el segundo no hay diferencia significativa con relación a la no presencia de menores de 6-12. Estos últimos resultados, lejos de ser anomalía podrían reflejar para el caso de mujeres con bajos niveles educativos que, ante la ausencia de pareja, hay mayor necesidad de ingresos laborales, por lo que la participación es una decisión menos difícil cuando los niños ya no son tan pequeños.
Estos resultados que refieren a la relación inversa entre la presencia de menores y la probabilidad de participar en el mercado laboral tienen una interpretación que sintoniza con la importancia de los roles de género toda vez que el cuidado de los hijos forma parte de los roles cultural y socialmente atribuidos a la mujer. Situación que, a juzgar por los resultados, en general se cumple para todos los niveles educativos, inclusive para el más alto grado profesional, sobre todo cuando los niños son más pequeños (0-5 años).
Respecto del efecto de la presencia de adultos mayores sobre las decisiones de participación laboral de las mujeres, trabajos como el de Sánchez et al. (2015) encuentran que en hogares donde hay personas mayores que necesitan algún tipo de asistencia, la oferta laboral de la mujer es más baja. Sin embargo, en el presente trabajo solamente es posible identificar la presencia, pero no si el adulto requiere cuidados o, por el contrario, también contribuye en las actividades del hogar en tareas como el cuidado o acompañamiento de niños pequeños. Por lo tanto, el efecto sobre la participación laboral de la mujer sería negativo si predomina la necesidad de cuidado para el adulto mayor y sería positivo si el adulto contribuye al cuidado o al acompañamiento de menores. De acuerdo con los resultados de la regresión, en todos los niveles de estudio de mujeres sin pareja, los efectos son negativos (Tabla 2); calculándose que cuando hay adultos de 70 años y más la probabilidad de participación de la mujer disminuye entre 7.8 y 5.2 por ciento. En contraste, en las mujeres con unión de pareja, cuando hay adultos mayores la probabilidad de participación aumenta entre 2.4 y 4.4 por ciento. Estos hallazgos son sugerentes y motivan una exploración más profunda, lo cual escapa de los objetivos actuales.
En cuanto a la importancia del avance educativo de la mujer, es interesante observar cómo en cada nivel los mayores logros repercuten positivamente en la inserción laboral. Dentro del conjunto de mujeres sin pareja, las que no completaron sus estudios técnicos en comparación a quienes concluyeron, disminuyen la probabilidad de participación laboral en 12.7 por ciento; quienes completaron una licenciatura o equivalente aumentan en 8.2 por ciento la probabilidad sobre quienes truncaron la carrera y, tener algún año de posgrado la aumenta en 14.3 por ciento. Por su parte, dentro del conjunto de mujeres casadas o en unión libre, las que no concluyeron una carrera técnica disminuyen la probabilidad de participación en 5.3 por ciento con respecto de quienes si concluyeron; completar estudios de licenciatura aumenta en 3.4 por ciento la probabilidad sobre las que truncaron y cursar algún año de posgrado aumenta la probabilidad en 15.1 por ciento.
Los resultados contribuyen a generalizar la evidencia de que el avance en los logros educativos es una de las claves para aumentar la participación laboral de la mujer. Entre las posibles explicaciones sería interesante explorar las siguientes: es probable que la especialización en niveles técnicos y profesionales tenga mejor receptividad por parte de las empresas; que la mujer profesionista enfrente menores barreras sociales y culturales hacia su incorporación laboral; que su mayor aporte al ingreso familiar facilite la provisión externa de servicios al hogar e incremente el costo de oportunidad que implicaría la actividad doméstica. No obstante, a pesar de la importancia de estos resultados, en México aún es mayoría la proporción de mujeres entre 25 y 54 años que no realizaron ningún año de especialidad técnica o superior (72.4 por ciento); solamente 23 por ciento estudiaron al menos un año en el nivel profesional y el resto algún año en nivel técnico de alguna especialidad. Desafortunadamente, la tendencia no parece mejorar de manera significativa puesto que, en el promedio de los años analizados (2012-2016), 58.7 por ciento de las jóvenes entre 18 y 24 años no estudian ni alcanzaron algún nivel de especialización técnica o profesional; 17.3 por ciento se encuentra estudiando un nivel igual o inferior a preparatoria; 15.2 por ciento estudia una carrera profesional y menos de uno por ciento una carrera técnica.
Es importante matizar que entre las mujeres que no realizaron estudios técnicos o superiores, el aumento de la escolaridad también tiene efectos positivos sobre la participación laboral. Aplicando la “regla de cuatro” se deduce que, en el valor más alto de la pendiente de la curva logística, un año adicional de estudios permite aumentar la probabilidad en 2.1 y 0.7 por ciento en mujeres solteras y con pareja, respetivamente.
Con respecto de la posible receptividad de la mujer por campo de especialidad en el mercado laboral (pmujp_h), se encuentra que es significativa sólo a nivel de estudios profesionales y los efectos más sobresalientes se observan en mujeres con pareja. Significa que, a medida que una especialidad aumenta la proporción de mujeres sobre hombres, mayor será la probabilidad de incorporación al mercado laboral. De acuerdo con los resultados, para las mujeres sin pareja, a partir del valor máximo de la pendiente, el aumento de un punto porcentual de la proporción de mujeres provoca que la probabilidad de participación aumente 9.3 por ciento; mientras que en las mujeres con pareja el efecto aumenta a 15.8 por ciento. Implica que la percepción sobre la receptividad de mujeres en el mercado laboral es más importante para mujeres casadas o en unión libre que para las mujeres sin pareja. En otras palabras, habría menor resistencia a la participación laboral de las mujeres casadas en la medida que su campo de especialidad esté bien representado por mujeres.
Al analizar el efecto de la contribución al ingreso de otros integrantes del hogar (ing_otrint), los resultados coinciden en parte con la evidencia de otros estudios que señalan el empeoramiento de las condiciones económicas como una de las causas del aumento de la incorporación laboral de la mujer, aunque debe señalarse que los estudios previos se han referido más al caso de mujeres casadas (Smith, 1981; Anderson y Dimon, 1988; Wong y Levine, 1992; Fussel y Zenteno, 1998 y Cerrutti, 2000). En términos de la variable incluida en el modelo, significaría que cuanto mayor sea el ingreso de otros integrantes, menor sería el apremio para que la mujer contribuya con ingresos laborales, lo cual efectivamente se confirma empíricamente, aunque con dos matices: a partir de la mayor pendiente de la curva logística el efecto de cada mil pesos mensuales adicionales aportados por otros integrantes provocan disminuciones muy pequeñas en la probabilidad de participación laboral (apenas entre 0.1 y 0.2 por ciento) y; en las mujeres profesionistas sin pareja el resultado es inverso, es decir, el aumento del ingreso de otros miembros implica un aumento de la participación laboral, aunque el porcentaje es reducido (0.2 por ciento).
Referente también al tema del ingreso, sin duda uno de los mayores efectos positivos sobre la probabilidad de participación laboral de la mujer lo constituye el nivel de ingreso potencial al que podría aspirar. Para las mujeres con pareja, los porcentajes de aumento en la probabilidad debidos al aumento en una desviación estándar del ingreso potencial son 19.7 por ciento (sin carrera), 30 por ciento (carrera técnica) y 24.2 por ciento (carrera profesional). En el caso de mujeres sin pareja, la probabilidad de participación de las que no tienen carrera no se influye por el ingreso potencial, en el resto de los casos los efectos son: 16.6 por ciento (carrera técnica) y 19.5 por ciento (carrera profesional).
En lo que sigue, para enfatizar las diferencias en la participación laboral relacionadas con los roles de género, se examinan gráficamente las probabilidades medias de participación de mujeres que comparten nivel de estudios y otras características sociodemográficas. Se focaliza únicamente en las características fijas y no en las aleatorias, por lo que las diferencias se cumplen dentro de cada especialidad y región. Para facilitar el análisis, los casos se limitaron a los siguientes valores invariantes: grupo de edad 25-34, cero ingresos de otros integrantes, sin adultos de 70 años o más y porcentaje cero de mujeres en la especialidad.5 Dados esos valores fijos, para cada nivel de estudios técnicos o profesionales en combinación con el estatus de pareja, se procedió a estimar y graficar las curvas de probabilidad a lo largo del rango de (-2, 2) desviaciones estándar del ingreso potencial, en cada caso comparando las siguientes situaciones excluyentes: sin menores, con menores de 0-5 y con menores de 6-12. Para las mujeres sin carrera se realiza lo propio, pero dibujando las gráficas en el rango (0, 12) años de escolaridad.
Los resultados de los ejercicios se ilustran en las figuras 5 a 10. En cada figura la gráfica del oeste representa a las mujeres solteras (solteras, viudas, divorciadas o separadas) y la del este a las casadas (o en unión libre). En todos los niveles de estudio lo primero que resalta es la gran diferencia de las curvas entre solteras y casadas. Para el caso de estudios técnicos o profesionales, si tomamos tres puntos de referencia en el rango de variación del ingreso potencial (-2, 0 y 2 desviaciones de la media) se descubren las siguientes regularidades: en los niveles de más bajo ingreso potencial, las probabilidades de participación de las mujeres solteras son mucho más elevadas que las de casadas; conforme aumenta el ingreso potencial la diferencia en probabilidades se va reduciendo pero aún se conservan considerables en el nivel medio del ingreso potencial y, las probabilidades tienden a igualarse cuando el ingreso es el más elevado.






La situación de las mujeres sin carrera es muy diferente. En principio, el ingreso potencial no resultó relevante en las mujeres casadas, puede ser que para ellas el ingreso potencial es tan bajo que no influye en sus decisiones de participación laboral. La Figura 10 muestra que, para los distintos años de escolaridad, existe una gran diferencia en las probabilidades de participación laboral entre las mujeres solteras y casadas. La diferencia es tan amplia que cuando las mujeres sin carrera se casan pareciera que tienen que bajar un gran escalón en la distribución de probabilidades de participación laboral.
Estos hallazgos son muy relevantes porque dan soporte a la hipótesis de que los roles de género son persistentes e independientes del nivel de estudios de la mujer: en cada caso, la diferencia entre el oeste y el este es únicamente el estatus de pareja ya que en ambas situaciones comparten las mismas características fijas. En el caso de las mujeres con estudios técnicos o profesionales, pareciera que el hecho de vivir en pareja establece el arreglo de que si las remuneraciones no son lo suficiente elevados es preferible que la mujer permanezca en el hogar y no participe en el mercado laboral o, en otras palabras, que el salario de reserva de las mujeres casadas es mucho más elevado que el de las solteras. En las mujeres sin carrera, la brecha entre casadas es muy elevada y no tienden a converger.
El análisis gráfico también permite confirmar dos resultados analizados previamente en esta misma sección: i) dentro de cada nivel de estudios y estatus de pareja hay diferencias de probabilidad que se explican por la presencia de niños y son más elevadas cuando éstos son más pequeños (0-5 años) y, ii) al ir disminuyendo la escala del logro académico, las curvas de probabilidad se ubican en niveles más cercanos al origen.
Conclusiones
La evidencia obtenida mediante un modelo Logit de efectos mixtos, estimado con datos de la ENOE 2012-2016, apoya la hipótesis sobre la persistencia de los roles de género. En el ejercicio empírico, una vez controlados los efectos de la heterogeneidad, para cada nivel educativo se mantuvieron las mismas características sociodemográficas al tiempo que se hacía variar únicamente el estatus de pareja, el resultado fue que la probabilidad de participación laboral es siempre superior en las mujeres solteras sobre las casadas. Lo que va en línea con los roles tradicionales, culturales y sociales atribuidos a la diferencia de género, bajo los cuales la mujer generalmente asume un papel subordinado, dedicando gran parte del tiempo al trabajo doméstico y al cuidado de los hijos, limitando así sus posibilidades para trabajar fuera del hogar.
En esa aseveración se logró identificar algunos matices: para los niveles de estudio técnicos y profesionales, las probabilidades de participación laboral entre casadas y solteras tienden a converger cuando los ingresos laborales potenciales son lo suficientemente elevados; en estos casos pareciera que vivir en pareja establece el arreglo de que si las remuneraciones no son suficientemente elevadas, la decisión es que la mujer no participe en el mercado laboral; lo cual significa que el salario de reserva de las casadas en general es mucho más elevado que el de las solteras; resultado que no está reñido con la noción del efecto sustitución del modelo de asignación del tiempo de Becker (1965).
El caso de las mujeres casadas sin estudios técnicos ni profesionales es menos favorable, pues además de observarse un gran escalón en la probabilidad de participación laboral, la diferencia es tan amplia que no hay margen para que las casadas converjan a los niveles de participación de las solteras. Ante este resultado, habría que verificar en futuras investigaciones si la situación de las mujeres casadas sin especialidad cae en lo que la teoría de la segmentación laboral considera como fuerza laboral secundaria, proclive a obtener empleos poco atractivos y de bajo salario, que desmotivan su participación laboral (Doeringer y Piore, 1971; Barron y Norris, 1991).
De cualquier forma, no debe soslayarse la importancia de los logros académicos que aterricen en alguna especialidad técnica o profesional, estos permiten aumentar la participación laboral de las mujeres y en la medida que se logre mejorar los ingresos laborales, hay posibilidades de reducir el gradiente de participación laboral entre solteras y casadas, y desde luego entre mujeres y hombres.
Además, el énfasis en la relevancia de la especialización de la mujer en algún campo de estudio hace interesante explorar otras explicaciones: es probable que la especialización tenga mejor receptividad por las empresas; que enfrente menores barreras sociales y culturales hacia su incorporación laboral; que el mayor aporte al ingreso familiar facilite la provisión externa de servicios al hogar e incremente el costo de oportunidad asociado a las actividades domésticas. Además, otro factor que aumenta la participación laboral de las mujeres con estudios profesionales, sobre todo de las casadas, es la mayor representatividad del género femenino en los diferentes campos de especialidad.
Sin embargo, a pesar de que el aumento en los logros educativos de la mujer es una de las claves para reducir la brecha de género en la participación laboral, en México aún es mayoría la proporción de mujeres entre 25 y 54 años que no realizaron ningún año de especialidad técnica o superior (72.4 por ciento); solamente 23 por ciento estudiaron al menos un año de licenciatura y el resto algún año en nivel técnico. La tendencia no parece mejorar significativamente puesto que 58.7 por ciento de las jóvenes entre 18 y 24 años no estudian ni alcanzaron algún nivel de especialización técnica o profesional; 17.3 por ciento está estudiando un grado igual o inferior a preparatoria; 15.2 por ciento estudia una carrera profesional y menos de uno por ciento una carrera técnica.
El trabajo también confirmó parte de la evidencia empírica de otros estudios. Uno es sobre la relación inversa entre la presencia de menores y la probabilidad de que la mujer participe en el mercado laboral, la cual se cumple inclusive para el más alto grado profesional, sobre todo cuando los niños son pequeños (0-5 años).
Otro tiene que ver con la presencia en el hogar de adultos de 70 años o más. En este caso la base de datos no permite identificar si el adulto requiere cuidados o, por el contrario, también contribuye en las actividades del hogar. Es por lo que los resultados empíricos arrojaron resultados en dos direcciones: uno aplica a mujeres sin pareja, donde la presencia de adultos mayores tiene efecto negativo sobre la participación laboral; por el contrario, en los casos de mujeres casadas o en unión libre, el efecto es positivo. Los resultados abren dos posibilidades que motivan una exploración más profunda: donde el efecto es negativo es probable que predomine la necesidad de cuidado para el adulto mayor y, por el contrario, donde es positivo predomine la contribución del adulto a las actividades del hogar.
Los resultados en torno a la presencia de menores como de adultos mayores no escapan de una interpretación que sintoniza con los roles de género, toda vez que el cuidado de los hijos, de enfermos y de adultos mayores forma parte de los roles cultural y socialmente atribuidos a la mujer, lo cual restringe su participación laboral.
Otro resultado interesante muestra que el mercado laboral parece no ser neutral ante la edad de la mujer: en todos los niveles de estudio y estatus de pareja, la probabilidad de participación es significativamente menor en mujeres de mayor edad, que en teoría tendrían menos dificultades porque ya habrían completado la crianza de menores.
Agradecimientos
Esta investigación recibió apoyo del Fondo Inmujeres-Conacyt, proyecto 278257, bajo la Demanda 4. “Promoción del empoderamiento económico de las mujeres”.
Referencias
Acosta, E., Perticara, M. y Ramos, C., 2006, Empleo femenino: Oferta laboral y cuidado infantil, en Banco Interamericano de Desarrollo, Washington D.C.,
Aguayo, E. y Lamelas, N., 2011, “Educación y empleo: desigualdad de género en las regiones mexicanas. 2000-2005”, en Estudios Feministas, 19(3): 733-750.
Anderson, J.B, y Dimon, D, 1988, “Married women’s labor force participation in developing countries: the case of Mexico”, in Estudios Económicos, 13(1): 3-34.
Arias, P., 2016, “El trabajo femenino: del permiso a la obligación”, en Papeles de Población, 22(90): 197-228.
Barron, R.D. and Norris, G.M., 1991, “Sexual divisions and the dual labour market”, en Leonard D., Allen, S. (eds), Sexual Divisions Revisited, Palgrave Macmillan, London.
Becker, G., 1965, “A theory of the allocation of time”, en Economic Journal, 75(299): 493-517.
Burgos y López, 2010, “La situación del mercado laboral de profesionistas”, en Revista de la Educación Superior, 39(156): 19-33.
Castaño, C., 1999, “Economía y género”, en Política y Sociedad, 32: 23-42.
Cerrutti, M. y Zenteno, R., 1999, “Cambios en el papel económico de las mujeres entre las parejas mexicanas”, en Estudios Demográficos y Urbanos, 33,1(97): 65-95.
Cerrutti, M., 2000, “Economic reform, structural adjustment and female labor force participation in Buenos Aires, Argentina”, en World Development, 28(5): 879-891.
Cordourier, G. y Gómez-Galvarriato, A., 2004, “La evolución de la participación laboral de las mujeres en la industria: una visión de largo plazo”, en Economía Mexicana nueva época, 13(1): 63-104.
Doeringer, P. y Piore, M., 1971, Internal labor markets and manpower analysis. Lexintong, Mass., Heath Lexington Books.
Domínguez, L. y Brown, F., 2013, “Diferencias de género en la elección del sitio de trabajo en un contexto de crisis”, en Revista CEPAL, septiembre, 111: 83-102.
Duval, H. R. y Orraca, P., 2011, “Análisis por cohortes de la participación laboral en México (1987-2009)”, El Trimestre Económico, vol. 78 (2), núm. 310, abril-junio, pp. 343-375.
Fussel, M.E. y Zenteno, R., 1998, “Spatial differences in wage and non-wage female labor force participation in Mexico”, in Center for Demography and Ecology University of Wisconsin-Madison, CDE Working Paper núm. 97-10.
Gammage, S. y Orozco M., 2008, “El trabajo productivo no remunerado dentro del hogar: Guatemala y México”, en Serie Estudios y Perspectivas, 103, CEPAL/México.
Ganguli, I., Hausmann, R. y Viarengo, M., 2014, “La brecha educativa de género. ¿Hacia una mayor participación laboral de madres, esposas y mujeres en general?” en Revista Internacional del Trabajo, 133(2): 197-233.
Garduño-Rivera, R., 2013, “Factors that influence women’s economic participation in Mexico”, en Economía Mexicana nueva época, II: 541-564.
Gelman, A., y Hill, J., 2015, Data analysis using regression and multilevel/hierarchical models, Cambridge University Press, United Kingdom, 13th printing 2015.
Goldin, C., 2006, “The quiet revolution that transformed women’s employment, education, and family”, en American Economic Association Papers and Proceedings, 96(2): 1-21.
Hausmann, R., Ganguli, I. y Viarengo, M., 2009, “The dynamics of the gender gap: ¿How do countries rank in terms of making marriage and motherhood compatible with work?”, en Hausmann, R., Tyson, L.D. y Zahidi, S., Global Gender Gap Report 2009, Ginebra, World Economic Forum, pp. 27-29.
Hernández, E., 2004, “Panorama del mercado laboral de profesionistas en México”, en Economía UNAM, 1(2): 98-109.
Huffman, C., y Van Gameren, E., 2011, “La oferta laboral de los hogares en México. Modelos de interacción estratégica”, en El Trimestre Económico, 78-4(312): 869-911.
Knaul, F. y Parker, S., 1996, “Cuidado infantil y empleo femenino en México: evidencia descriptiva y consideraciones sobre las políticas”, en Estudios Demográficos y Urbanos, 11,3(33): 577-607.
Lührmann, M. y Weiss, M., 2010, “The effect of working time and labor force participation on unemployment: A new argument in an old debate”, en Economic Modelling, 27(1): 67–82.
OECD, 2017, Report on the implementation of the OECD gender recommendations-some progress on gender equality but much left to do, meeting of the OECD council at ministerial level, Paris, 7-8 June 2017, disponible en http://www.oecd.org/mcm/documents/C-MIN-2017-7-EN.pdf, recuperado el 28/02/2018.
Rendón, T. y Maldonado, V., 2004, “Feminización de la fuerza de trabajo en el México de principios de siglo”, en Economía Informa, marzo, 324: 48-55
Sánchez, A., Herrera, A. y Perrotini, I., 2015, “La participación laboral femenina y el uso del tiempo en el cuidado del hogar en México”, en Contaduría y Administración, 60(3): 651–662.
Serret, E., 2008, Qué es y para qué es la perspectiva de género, Colección Instituto de la Mujer Oaxaqueña Ediciones, serie Buenas Prácticas.
Shimizutani, S., Suzuk, W. y Noguchi, H., 2008, “The socialization of at-home elderly care and female labor market participation: micro-level evidence from Japan”, en Japan and the World Economy, 20(1): 82–96.
Smith, S.K., 1981, “Determinants of female Labor Force Participation and Family Size in Mexico City”, en Economic Development and Cultural Change, 30(1): 29-152.
Trong H. y Brian, L., 2014, “The effect of unpaid caregiving intensity on labour force participation: results from a multinomial endogenous treatment model”, en Social Science and Medicine, 100: 115-122.
Vecchio, N., 2015, “Labour force participation of families coping with a disabling condition”, en Economic Analysis and Policy, 45: 1–10.
Wong, R. y Levine, R.E., 1992, “The effect of household structure on women’s economic Activity and fertility: evidence from recent mothers in urban Mexico”, en Economic Development and Cultural Change, 41(1): 89-102.
Anexos




Notas
Notas de autor