Resumen:
El objetivo de este trabajo es analizar el papel de la Inversión Extranjera Directa (IED) y el Crédito Bancario al Sector Industrial (CBSI) como factores de expansión del sector productivo en México durante el periodo 1995-2020, en la transición de una economía con alta protección arancelaria a una economía abierta, bajo el postulado teórico generalmente aceptado de que la represión financiera impedía el libre flujo de la inversión; escenario desfavorable para una industria que empezaba a reconfigurarse en el marco de un modelo secundario exportador. Se empleó un modelo de cambio de régimen de Markov y un modelo de Vectores de Corrección de Error (VECM). Los modelos seleccionados no reflejan relación alguna de causalidad del sector financiero al sector real o viceversa.
Clasificación JEL: B50, G0, E01, N1
Palabras clave: Crédito Bancario al Sector Industrial (CBSI), restricción financiera, Inversión Extranjera Directa (IED), Markov-Switching.
Abstract: This article seeks to analyze the role of Foreign Direct Investment (FDI) and bank credit to the industrial sector as expansion factors for the productive sector in Mexico from 1995 to 2020. During this period, Mexico was transitioning from an economy with high tariff protection to an open economy, under the generally accepted theoretical postulate that financial repression impeded the free flow of investment. This scenario was unfavorable for an industry that was beginning to reconfigure itself within the framework of a secondary export model. Analysis was conducted using a Markov regime switching model and an Error Correction Vector Model (ECVM). The selected models do not reveal any causal relationship from the financial sector to the real sector or vice versa.
Key Words: Bank Credit to the Industrial Sector (BCIS), financial constraint, Foreign Direct Investment (FDI), Markov-Switching.
Artículos
Sector financiero y crecimiento liderado por las exportaciones. El caso de México, 1995-2020
Financial sector and export-led growth: Mexico, 1995-2020
Recepción: 19 Julio 2021
Aprobación: 02 Febrero 2022
El crecimiento liderado por las exportaciones representa un nuevo consenso que se aplica en países en desarrollo. El argumento se centra en los beneficios económicos de la apertura mediante la innovación tecnológica, que promueve la creación de nuevos productos y la competencia en mercados internacionales. El éxito de las economías del sureste asiático orientadas a la exportación conocidas en la década de los setenta como Nuevas Economías Industrializadas,1 era la referencia típica de esta afirmación; esta estrategia destinada a aumentar la capacidad productiva centrándose en los mercados externos parecía viable en otras economías. Empero, a partir de la Gran Recesión afloraron contradicciones del crecimiento liderado por exportaciones originadas por la contracción de la demanda en países desarrollados, lo cual operó negativamente en el dinamismo de los mercados emergentes por su alta dependencia de este motor de crecimiento (Palley, 2012, p. 142).
Satisfacer la demanda externa puede ser visto como una forma de producir nuevos bienes en sectores con un fuerte crecimiento y productividad (ganancias de eficiencia productiva). Este crecimiento no es sólo un resultado de la hipótesis tradicional de convergencia (Barro y Sala-I Martin, 1991 y 1992; Quah, 1993 y 1996; Aghion y Howitt, 2009), ya que está relacionado estrechamente con el comercio y la apertura comercial. De lo que se desprende la necesidad de definir estrategias para transferir capital y recursos humanos a los sectores caracterizados por su orientación a los mercados externos, lo que genera desequilibrios estructurales (GafFard y Saraceno, 2008, pp. 1062-1063). En efecto, la redistribución de la inversión entre los sectores se da en doble movimiento de destrucción de capacidad productiva en ciertos espacios y creación en otros.
Resolver estos desequilibrios implica la viabilidad de movilizar recursos financieros para atender la demanda de crédito que tal redireccionamiento de la capacidad productiva conlleva. El punto clave es que una vez definida la política industrial neoexportadora, la viabilidad del desplazamiento de recursos que ello implica debe estar sustentada en una política monetaria y crediticia ad hoc. De ahí el origen del problema de la restricción al financiamiento, en este caso, de un modelo de crecimiento liderado por exportaciones. Al final del camino, si la estrategia es exitosa, la economía se habrá reconducido a un nuevo equilibrio, luego del cambio estructural y ruptura del anterior statu quo, que implica la reasignación de inversión, así como un sistema crediticio eficiente que respalde las necesidades de financiamiento del nuevo modelo de crecimiento.
Un aterrizaje suave de la estrategia neoexportadora depende, en gran medida, de los saldos disponibles para inversión en conjunto con un sistema crediticio eficiente para movilizarlos hacia nuevos sectores de demanda de financiamiento. Es en este punto que cobran relevancia las condiciones concretas del espacio analítico de interés, es decir, el de una economía con un nivel medio de industrialización. Esto significa el análisis del financiamiento interno, hecho para el cual, desde hace cinco décadas se planteó la inoperancia del supuesto de mercados perfectos de las teorías convencionales sobre procesos monetarios y financieros con una sola tasa de interés o mercados estructurados por plazos de tasas, cuando lo que operaba era un mercado fragmentado de tasas reales de interés; o aun se partía de una sustitución perfecta entre saldos monetarios reales y capital físico, y donde lo conveniente era abordar estas variables desde un enfoque de complementariedad (McKinnon, 1973, p. 3).
La cuestión de fondo es la pertinencia de una teorización con supuestos fundamentales "idóneos para explicar el nexo entre los procesos monetarios y la acumulación de capital en el mundo subdesarrollado" (McKinnon, 1973, p. 3). Otro punto en el marco de un fuerte proteccionismo arancelario de la época, era plantear la conveniencia de abrir la economía pari passu a la liberalización del mercado de capitales para la absorción del financiamiento externo de las importaciones, que indujera el desmantelamiento del esquema proteccionista.
Todo ello en el marco de una represión financiera entendida como la débil profundidad del sistema bancario y una gran segmentación del acceso al crédito, concentrado en un reducido número de grandes empresas, limitando fuertemente los recursos al resto de una economía fragmentada en una multiplicidad de unidades micro y con prácticas poco eficientes de autofinanciamiento. De lo anterior, se esperaría que la Inversión Extranjera Directa (IED) y el Crédito Bancario al Sector Industrial (CBSI)2 fueran factores de expansión del sector productivo.
El presente trabajo se estructuró en cinco secciones, incluyendo la introducción: en la segunda, se analiza el vínculo entre apertura comercial y restricciones financieras recopilando las ideas seminales sobre el tema de McKinnon (1973) y Gurley y Shaw (1960); en la tercera, se abordan referencias de la caracterización y medición de las restricciones financieras y sus repercusiones en la economía mexicana; en la cuarta sección se expone la metodología empleada para el estudio de la dinámica entre el sector financiero y el sector real; en la quinta se presentan los resultados obtenidos para la economía mexicana en el periodo 1995-2020 y, finalmente, se presentan las conclusiones, mismas que sugieren que el financiamiento externo y el CBSI no contribuyeron al crecimiento del nivel de producción, al no mostrar alguna relación que permita inferir alguna causalidad del sector financiero al sector real en el periodo de estudio.
La apertura comercial es una forma de cambio estructural y, por lo tanto, puede asimilarse al progreso técnico puesto que conlleva destrucción de capacidad productiva, así como la construcción de algo nuevo para reemplazarla (Gaffard y Saraceno, 2008, p. 1063). En otras palabras, durante el proceso de cambio estructural se altera la coordinación entre las fases de construcción de capacidad productiva y su utilización, entre la inversión y el consumo, lo que caracteriza el equilibrio. Y si bien el producto que una economía es capaz de generar depende del trabajo y del tamaño del stock de capital, dado el estado de la técnica de producción, si se omite el trabajo, la capacidad de producción neta aumenta en la medida en que el incremento del stock de capital es destinado a inversión. Sin embargo, para realizar una asignación eficiente de la inversión son necesarios sistemas financieros ad hoc que lo posibiliten (Gurley y Shaw, 1960, p. 47).
En consecuencia, la restructuración de los sectores productivos para la especialización neoexportadora dependerá en gran medida de la apertura comercial y del libre flujo de capital. La restructuración puede tomar distintas formas "es probable que tenga impactos distributivos, tanto a corto plazo como consecuencia del ajuste de costos, como a largo plazo como resultado de cambios permanentes en las demandas relativas de los factores (productivos)", como lo señala Rodrik (1998, p. 6). En otros términos, los desequilibrios de la nueva estrategia son la otra cara de las ganancias de eficiencia productiva, que el autor enfatiza dramatizando como "¡sin dolor no hay ganancia!".
La construcción de una teoría unificada monetaria y financiera, así como el reconocimiento a Gurley y Shaw (1960), a quienes se agrega McKinnon (1973) como pioneros en el tema, es de larga data (Lucas, 1984; Williamson y Mahar, 1998; Lipsky, 2009; Aghion y Howitt, 2009). Se reconoce hoy día que su abordaje tiene dos aristas: la economía era, por lo general, referida al análisis del "sector real" (ingreso, producto, trabajo, riqueza) dejando de lado los aspectos financieros; y ello porque "el paradigma teórico básico se centra en los mecanismos fundamentales del proceso de crecimiento, en tanto que lo financiero es como la lubricación que reduce fricciones y por ende permite que la maquinaria funcione" (Aghion y Howitt, 2009, p. 129). El sistema financiero se reducía a segundo término hasta que Gurley y Shaw (1960, p. 515) establecieron que el desarrollo incluía tanto finanzas como bienes.3
El problema subyacente posterior fue compaginar el análisis microeconómico de financiamiento con el del volumen de inversión que podía proveer el sistema financiero. En particular, la naturaleza discontinua de las oportunidades de inversión disponible para cada empresa sugiere que para mantener elevados los rendimientos de los poseedores de los saldos monetarios, la rentabilidad promedio del capital físico en la economía no debe reducirse cuando el sistema financiero se torna más eficiente y el volumen de la inversión aumenta. Sin embargo, un sistema financiero basado en el autofinanciamiento es restrictivo, aunque se maneje de modo ideal. Es así que se define un máximo para la rentabilidad óptima de la tenencia de dinero (McKinnon, 1973, p. 77).
De ahí que las autoridades monetarias deban fijar, en una economía subdesarrollada, una tasa real de rentabilidad de la tenencia del dinero inferior a la que podrían devengar las inversiones en capital físico intramarginal de algunas empresas; toda vez que el efecto que se produce por la existencia de activos que compiten por los saldos monetarios reduce el flujo de inversiones de un rendimiento más bajo que se encuentran dentro del margen de otras firmas. Situación por la cual las instituciones financieras al otorgar créditos eliminan el límite del autofinanciamiento, lo que permite colocar de manera más eficaz los ahorros de los agentes (McKinnon, 1973, p. 78).
En este sentido es que Gurley y Shaw (1960, p. 47) señalan que el sistema financiero puede estimular el ahorro y la inversión en usos eficientes o pueden retardar el ahorro y desviarlo hacia usos ineficientes; el ahorro de los consumidores, junto con cualquier ahorro comercial, se dirige a aumentos en los saldos monetarios reales y necesariamente fluye al sector financiero a través de los bancos y así estarán disponibles para su uso como inversión.
Por la existencia de complementariedad entre el capital físico, los saldos monetarios reales y el dinero fiduciario, cuya emisión no guarda relación alguna con la expansión del crédito bancario para las inversiones, el autofinanciamiento expresa que en economías subdesarrolladas los mercados de capitales no operan de manera eficiente (McKinnon, 1973, pp. 83-84); problema que se subsanaría con la liberalización del sector financiero a fin de canalizar fondos externos de financiamiento con perspectivas de altas tasas de rentabilidad en oportunidades de inversión de diversa magnitud, dadas por la ineficiencia del autofinanciamiento.
Por consiguiente, el sistema monetario local deviene más costoso al sostenerse en el crédito bancario con el fin de promover y atraer el ahorro externo con tasas de interés competitivas en el mercado internacional de capitales (McKinnon, 1973, p. 83). El postulado implícito es el de escasez de ahorro interno en economías hoy llamadas emergentes y la abundancia del mismo en las desarrolladas.
Sin embargo, en las economías en desarrollo el crédito bancario es poco dinámico en cuanto a profundizar su radio de acción, derivado de que el grueso del acceso al financiamiento se constriñe a actividades especializadas de importación y exportación,4 operaciones en gran escala de la minería, grandes empresas de manufacturas y de servicios, empresas internacionales y organismos gubernamentales; en tanto el gran número de micro, pequeñas y medianas empresas difícilmente cumplen los parámetros crediticios bancarios.5 Este fenómeno es denominado por McKinnon (1973, pp. 83-84) como "represión financiera", siendo ésta una incapacidad de la banca para obtener tasas de retorno redituables, que se refleja en un bajo rendimiento para sus depositantes y en algunos casos negativo en términos reales. Es por esto que un incremento de la eficiencia del crédito bancario es condición necesaria para paliar la magnitud real del sector monetario y mitigar así la represión financiera.
Desde una perspectiva ortodoxa, el capital es considerado una mercancía más en la economía, que al formar parte de los planes de compra y venta de todos los agentes presentes en el sistema, se le toma como uno de los mercados más eficientes para asignar recursos. De ahí que algunos autores planteen la necesidad de desregular el sistema financiero, puesto que fomenta el crecimiento del nivel de producción, contribuyendo así al aumento del bienestar social.
En este sentido McKinnon (1973) y Shaw (1973) estiman que economías con encaje legal, tasas de interés reguladas, ineficiente canalización del crédito y nulo crecimiento de los intermediarios financieros no podrían proporcionar acceso a préstamos, ni ofrecer incentivos para ahorrar y acumular capital; por lo cual, la asignación de recursos que realizaran sería ineficiente. Concluyendo que a partir de la liberalización financiera, la determinación de los niveles de inversión y ahorro traería consigo una mayor eficiencia en la asignación de la inversión que incentiva el crecimiento económico.
Por su parte, Williamson y Mahar (1998, pp. 2-3) indican que una plena liberalización involucra de manera importante al gobierno; el cual debe permitir la entrada a los servicios financieros a toda empresa que satisfaga criterios específicos con base en consideraciones prudenciales relativas al capital, las habilidades y la reputación de la misma. Sin embargo, los bancos deben tener autonomía para decidir cómo manejar sus recursos, y a su vez el gobierno debe retirarse de la propiedad de instituciones financieras y eliminar el control de los flujos internacionales de capital. A la plena liberalización financiera se agrega la eliminación de los controles de crédito y desregulación de las tasas de interés. Empero, es importante destacar que para estos autores autonomía bancaria y regulación no están disociadas, pues se entiende a la primera como supervisión prudencial ejercida por el banco central.6
Finalmente, la cuestión central que debaten en su origen McKinnon (1973), Gurley y Shaw (1960), es incorporar los tópicos financieros al tema del crecimiento económico. El debate actual es de otra naturaleza: se busca determinar si el aspecto financiero causa crecimiento en la misma dimensión que el sector real; y no negar la importancia de ambos factores en el crecimiento. En última instancia, el papel de un sistema financiero eficiente ya no se concibe sólo como un mecanismo que agiliza la asignación de recursos como una suerte de lubricante de las rigidices del sector real.
Así, para Levine (2005, p. 870), el punto es que, si lo financiero explica el crecimiento, es menester explicar cómo el desarrollo financiero opera en las decisiones de asignación de recursos, de tal forma que impulse el crecimiento de la productividad y no limitarlo al análisis del ahorro como tal. En una amplia gama de estudios empíricos, se encontró una fuerte conexión entre sistema financiero y crecimiento económico de largo plazo (Levine, 2005, p. 921); sobre todo que la teoría y evidencia empírica no muestran que el sistema financiero únicamente responde a la actividad económica o que el desarrollo financiero es sólo un agregado del crecimiento económico.
En México, como lo exponen Venegas et al. (2009, p. 256), las reformas financieras se dieron en la segunda mitad de los años setenta, en coincidencia con la construcción del Índice de Precios y Cotizaciones de la Bolsa Mexicana de Valores, y de manera paralela con la entrada en el mercado de bonos gubernamentales negociables, la apertura de la banca, la reducción en los requisitos de las reservas de los bancos, la no intervención sobre ciertas tasas de interés, la apertura de la cuenta de capitales, así como la devaluación del peso; todo lo anterior permitió sustituir la intermediación nacional de los depósitos con operaciones internacionales entre la mitad de la década de los setenta e inicios de la década de los ochenta.
Su finalidad fue inducir un funcionamiento con menos fricciones en los mercados de capital y dinero, así como incidir en una mayor eficiencia y competitividad y favorecer una mayor integración con los mercados financieros internacionales. Por lo tanto, el proceso de desregulación se centró en la eliminación paulatina de los controles del crédito y de las restricciones impuestas al sector financiero, con lo que se promovió la entrada de inversión externa de portafolio. Esta decisión trató de promover nuevos mecanismos de financia-miento para el desarrollo del sector público y privado (Cabello, 1999, p. 216).
Si se consultan referencias en secuencia histórica posterior, se constatarán resultados disímbolos al respecto. Bandiera et al. (2000), por ejemplo, señalan que la represión financiera mostró un efecto positivo, pero pequeño para el desarrollo del sistema financiero al incentivar la tasa de interés sobre el ahorro, al encontrar una relación negativa de largo plazo entre ahorro y liberalización financiera en México. En este sentido, una década después, Venegas et al. (2009, p. 280) encontraron evidencia empírica que sugiere que el desarrollo financiero presentó una influencia positiva, aunque pequeña en el crecimiento económico en México en el periodo 1961-2007 y que la represión financiera tiende a disminuir el crecimiento, siendo este efecto inversamente proporcional al desarrollo financiero. Sin embargo, no encontraron efectos de corto plazo entre la represión, el desarrollo financiero y el nivel de actividad económica.
De aquí también se desprende una consideración de gran importancia, de acuerdo con Kindelberger (2012, pp. 233-295), en referencia a la mayoría de las economías a nivel mundial. En los últimos cien años el aumento del suministro de crédito lo generó la banca y provocó una multiplicidad de nuevos instrumentos financieros que favorecieron un desarrollo sistemático para la reducción de costos de transacciones como la retención de liquidez y los saldos monetarios.
En línea con esta consideración, De la Cruz y Alcántara (2011, pp. 32-33) mostraron que el total del crédito otorgado por la banca comercial tiende a aumentar el nivel de producción; no obstante, al desagregar el destino del crédito de manera sectorial, sólo el destinado al consumo y los servicios tiene una influencia positiva en la actividad económica en México; a su vez encuentran una relación de causalidad bidireccional entre el crédito al consumo y el nivel de producción, al prevalecer una estrecha interacción de los procesos de bancarización que incentivan la demanda agregada, aunque la esfera financiera tiene una débil relación con la generación de valor agregado del país. En tanto, Clavellina (2013, pp. 31-32) ofrece evidencia empírica que sugiere una causalidad negativa del crédito total en la determinación del producto, que podría ser explicado por la baja calidad en la intermediación financiera; lo cual desencadena la obtención de resultados no óptimos que afectan el desempeño de la economía mexicana al orientar gran parte de sus recursos a actividades improductivas como el consumo y el sector público.
Por medio de la estimación de ecuaciones de cointegración y de ciclo común en México, Portal y Feitó (2014, p. 92) lograron determinar la existencia de una relación positiva de largo plazo entre los créditos sectoriales otorgados por la banca comercial y el nivel de actividad del sector secundario y terciario; lo que sugeriría que la asignación de créditos por la banca comercial hacia los sectores de actividad económica incidirían de manera positiva en el crecimiento de estos sectores en el periodo 1995-2012.
Aunado a esto, Landa (2019, p. 50) identificó en la economía mexicana la existencia de una relación inversa en torno de la amplitud de la banca comercial, cuestión que emana de la alta focalización del crédito y la insuficiencia de la tasa de ahorro; así como la presencia de ganancias que son impulsadas por el mercado de valores, lo que sugiere que la suficiencia de liquidez que provee el segmento bursátil se relacione con la estabilidad financiera y la tasa de expansión del producto.
A pesar de las políticas de liberación del mercado financiero a finales de la década de los ochenta como eliminación del encaje legal, no selectividad en las políticas de crédito, liberación de las tasas de interés activas y pasivas, operación de la banca internacional, autorización de grupos financieros y privatización de la banca comercial, entre otras políticas, en 1994 Venegas et al. (2009, pp. 256-258) constaban que nuevos grupos financiero-empresariales en sus segmentos más grandes controlaban 50% de los activos. Hoy en día, los siete bancos más grandes controlan 78.34% de los activos en el sistema, de estos cinco son extranjeros y concentran 62.85% del sector.7
En cuanto a profundidad del sistema bancario (bancarización),8 México es referido como un país en rezago en comparación a otros países latinoamericanos: el 27% de su población tiene una cuenta bancaria y aproximadamente 90% de las transacciones diarias en el país se realizan en efectivo (Herrera, 2019, 12 de marzo); el crédito al sector privado no financiero es de alrededor del 42% del Producto Interno Bruto (PIB), muy por debajo del promedio de los cinco países más grandes de América Latina (72% del PIB), y más lejos aún del promedio de 143% de los países emergentes (Savedra, 2019, 12 de agosto). En particular, la razón de financiamiento total al PIB al sector privado no financiero en 2019 en México fue cercano al 40%, en comparación del registrado para Chile superior al 170% (Banco de México [BdeM], 2019).
Al respecto, Téllez y Venegas (2019) encontraron, a partir de distintas especificaciones de datos panel, que los determinantes de la profundización del sistema financiero de manera intrarregional en México son: el estado de derecho o las instituciones; la regulación y competencia bancaria; el trabajo formal, así como la propensión al ahorro y educación financiera. Por lo tanto, el bajo grado de intermediación financiera se condiciona, como lo señalan Herman y Klemm (2017), a los aspectos estructurales del sector; si bien existe un crecimiento del crédito impulsado por el aumento de la oferta en la última década, parece existir cierto retraso de los ciclos crediticios con respecto a los ciclos económicos.
Asimismo, Fukuda (2019) con el uso de Vectores de Corrección de Error (VECM) encuentra evidencia empírica que sugiere que la globalización y pro-fundización financiera en México, entendida como la proporción del crédito interno al sector privado que otorgan los bancos, tiene una influencia negativa sobre el crecimiento económico. De acuerdo con López y Basilio (2016, pp. 227-228), por la desregulación del sistema financiero se generó la contracción del crédito destinado a actividades productivas, y se exhibió el carácter especulativo y rentista de la banca comercial, que obstruye la intermediación entre actividades productivas y financiamiento.
En síntesis, en términos teóricos se asume que la dinámica del nivel de actividad económica, el CBSI y la IED no deberían presentar distintos comportamientos en las fases de recuperación y contracción de la economía; al considerar que la asignación que se da en el sector financiero es eficiente y los recursos que son canalizados del exterior fomentan el crecimiento del nivel de producción. No obstante, en el caso de economías como la mexicana, la dinámica del crédito bancario tiene una restricción estructural al estar orientada mayormente a actividades asociadas a la importación y exportación. Aunado a que los datos antes referidos reflejan una situación de represión y fragmentación financiera, que las políticas de liberalización debieron abatir luego de cuatro décadas de estar operando.
A fin de dilucidar estas interrogantes es que se estudiará la dinámica entre el sector financiero y el sector real en un primer momento, mediante la metodología de cambio de régimen de Markov para analizar las relaciones de corto y largo plazo que presentan el CBSI, la IED y el nivel de producción, en términos de la fase del ciclo económico en la que se encuentran y la probabilidad de quedarse en ella; y en un segundo momento un modelo VCEM para estudiar cómo reaccionan estas variables al equilibrio de largo plazo.
Para capturar la dinámica que tiene el nivel de actividad económica, la IED y el CBSI, se utilizaron dos modelos: el primero es un modelo de probabilidad de cambio de régimen de Markov (Markov-Switching), con el cual se obtiene la duración promedio de las contracciones y recuperaciones para determinar si las variables descritas anteriormente pueden llegar a sincronizarse dentro del periodo de estudio.
Siguiendo esta idea, Hamilton (1994, pp. 677-684) señala que si un proceso cambió en el pasado, claramente también podría volver a cambiar en el futuro, y esta perspectiva debe tenerse en cuenta al elaborar un pronóstico. Además, el cambio de régimen no debe considerarse como el resultado de un evento determinista perfectamente previsible. Por el contrario, el cambio de régimen es, en sí mismo, una variable aleatoria. Por lo tanto, un modelo de series de tiempo completo incluiría una descripción de la ley de probabilidad que gobierna la forma del cambio μ1, μ2.
Estas observaciones sugieren que se podría considerar que el proceso está influenciado por una variable aleatoria no observada , que se llamará estado o régimen en el que se encontraba el proceso en la fecha = 1, entonces el proceso está en el régimen 1, mientras que . = 2 significa que el proceso está en el régimen 2, por ende será equivalentemente escribirlo como:
donde puede ser μ1 cuando = 1 y μ2 cuando = 2. Para 10 cual será necesaria una descripción del proceso de series de tiempo para la variable no observada ; dado que sólo toma valores discretos (en este caso es 1 o 2). El modelo propuesto para una variable aleatoria de valor discreto es una cadena de Markov, en la que supondrá que st sea una variable aleatoria que puede asumir sólo un valor entero 1, 2, ...., N . Suponiendo que la probabilidad de que st sea igual a un valor particular j depende del pasado únicamente a través del valor más reciente st-1:
De acuerdo con Mejía (2000, pp. 392-395), el estado st no se observa directamente, por lo tanto, la probabilidad de que el proceso esté en el estado 1 en la fecha t, se condiciona a los datos observados hasta la fecha t. Este algoritmo puede considerarse como una formalización de la identificación estadística de puntos de inflexión en una serie de tiempo con el filtro y, en particular, las probabilidades más suaves utilizadas para identificar periodos de contracción y expansión.
El segundo modelo es VECM y, de acuerdo con Pesaran (2015), permite caracterizar la trayectoria de las variables en torno a su equilibrio de largo plazo, si bien existen distintas especificaciones dinámicas para representar estos equilibrios como es el caso del modelo autorregresivo con rezagos distribuidos (ARDL), el cual va a ser efectivo, independientemente de si los regresores son integrados de orden I(0) o I(1)o están cointegrados entre sí; por lo tanto, se puede incluir el rezago apropiado para cada variable (Pesaran et al., 2001). El ADRL al ser una sola ecuación que depende de sus propios rezagos y de los de las variables explicativas que cuando menos deben ser débilmente exógenas (Enders, 2014), llevó a optar por el VECM, pues este último permite estudiar la dinámica entre las tres variables al ser un sistema de ecuaciones múltiples.
Ahora bien, si las variables se encuentran cointegradas (es decir, tienen una relación de largo plazo), van a compartir las mismas tendencias estocásticas y, por lo tanto, no pueden alejarse en demasía; es así que la representación de corrección de errores reacciona a la desviación del equilibrio a largo plazo (Enders, 2014). Para incorporar el concepto de cointegración, se siguió la propuesta de Kilian y Lütkepohl (2017), y se representó en su forma reducida a la ecuación VECM como:
donde yt-1 es el vector de las variables en niveles (no estacionarías) y Π es una matriz no singular de rango r. Por tanto, el rango de Π se denomina rango de cointegración del proceso yt ; y si esta matriz de K x K de rango r puede descomponerse como un producto de dos matrices, la ecuación VECM (Kilian y Lütkepohl, 2017) puede reescribirse de la siguiente forma:
donde ß' es la matriz de cointegración y a es la matriz de la velocidad de ajuste, 10 cual hace explícito el término de corrección de error (aß'yt_1 ). En otras palabras, si es posible descomponer la matriz de Πγt-1 , el uso de los modelos VECM como lo expone Loría (2007, p. 275) permite combinar la "teoría económica (al encontrar relaciones estables de largo plazo que establece la teoría) y el ajuste estadístico del desequilibrio que puede existir en el corto plazo".
En esta sección se analizan las principales regularidades empíricas que caracterizan al ciclo económico en México, el CBSI y la IED con datos trimestrales en el periodo 1995-2020,9 mismos que fueron desestacionalizados y ajustados a precios de 2013; en el caso de la IED se desestacionalizó la serie y se construyó un índice con base 2013. Se evaluaron los patrones cíclicos del PIB y el CBSI, a través de la metodología propuesta por Hamilton (2018); a su vez para determinar si las variables descritas anteriormente pueden llegar a sincronizarse dentro de las contracciones y recuperaciones, se elaboró un modelo de probabilidad de cambio de régimen de Markov con la metodología descrita por Hamilton (1994), con la cual se obtiene la duración promedio de cada uno de los estados. Adicionalmente, se empleó un modelo VECM para determinar si el CBSI, la IED y el PIB tienen alguna relación en el largo plazo.
Al determinar las fases de recuperación y recesión del PIB y del CBSI, se procedió a utilizarlos para estudiar la amplitud y duración de cada una (véase Tabla 1). Para el caso del PIB en periodos de recesión, presentó una duración promedio de 8.99 trimestres, con una media del componente cíclico del -.05523 y una desviación estándar de 0.04020; para el CBSI en fases de recesión mostró una duración promedio de 24.90 trimestres con una media de -0.1355 y una desviación estándar de 0.12721; la IED en fases de recesión tuvo una duración promedio 1.899 trimestres con un media de -0.6276 y una desviación estándar de 0.2597. En fases de recuperación el PIB presentó una duración promedio de 25.93 trimestres y una media de 0.01921; en el caso de la IED la duración promedio fue de 28.28 trimestres con una media de 0.07562 y el CBSI mostró una duración promedio de 22.52 trimestres y una media del componente de 0.1384.

A partir de las regularidades empíricas encontradas, se podría inferir la existencia de asimetría dentro de las dos fases que caracterizaron al ciclo económico al no presentar ninguna de las tres series simetría en duración o amplitud en las fases de contracción. El PIB mostró una media del componente cíclico en términos absolutos inferior a la media del CBSI y al de la IED, situación que también se suscitó en los periodos de recuperación. La evidencia empírica sugiere de manera implícita una dinámica distinta, y para corroborarlo se modelan las fases a partir de cadenas de Markov para identificar las probabilidades de quedarse en el estado de recesión o recuperación de las tres series analizadas.
En la Figura 1 se presenta la probabilidad de transición del ciclo económico del PIB y del CBSI, se excluye la IED al encontrarse en recuperación la mayor parte del periodo de estudio. El CBSI tuvo tres fases de recesión: la primera de una amplitud prolongada en periodos de recesión se podría suponer que fue contemporánea al ciclo económico y en los episodios de recuperación que fue contracíclico; en la segunda y tercera fase fue contemporánea al ciclo de la economía mexicana; no obstante, estos resultados no permiten hacer alguna conjetura al mantenerse gran parte del periodo de análisis en recesión.

La evidencia reporta la existencia de conductas asimétricas en cada una de las fases del ciclo económico para el CBSI y la IED con respecto a su magnitud y duración, corroborándolo a través de los valores obtenidos de las matrices finales. La probabilidad de permanecer en la fase de recuperación y pasar en el siguiente periodo a ésta, en el caso del PIB es de 88.52%, para el CBSI de 82.04%, y para la IED se obtuvo un valor de 84.666%, demostrando con esto la existencia de una dinámica distinta entre PIB, CBSI y IED en las fases de recuperación en el ciclo económico. En las fases de recesión, la probabilidad de permanecer en ella en el siguiente periodo fue para el PIB de 67.42%, con menor probabilidad para la IED con un valor de 7.35%, y de 83.83% para el CBSI. La evidencia empírica permite demostrar la no existencia de sincronización entre la economía nacional, el CBSI y la IED en fases de recuperación o contracción.
Al no encontrar evidencia empírica que sugiera la existencia de alguna relación de sincronización entre las variables analizadas, se procedió a estimar un modelo VCEM para tratar de capturar los efectos que tiene el CBSI y la IED en el nivel de actividad económica, de lo que se esperaría una relación positiva entre la IED y el CBSI. Así, se corroboró el orden de integración de las series a partir de la prueba Dickey-Fuller Aumentada (ADF), Phillips-Perron (PP) y la prueba Kwiatkowski, Phillips, Schmidt y Shin (KPSS).
Al ser las tres series estacionarias10 en su primera diferencia, se procede a elegir el número óptimo de rezagos para presentar el modelo VECM que se va a estimar. De acuerdo con los criterios de información de Akaike, Hannan-Quinn y la predicción del error final, se concluye que se deben incluir dos rezagos en el modelo.11
Posteriormente, se verificó la existencia de cuando menos una ecuación cointegración, para lo cual se utilizó el contraste de Johansen; el valor propio y la traza confirman la existencia de cuando menos una ecuación cointegrante. En la Tabla 2 se presentan los resultados de esta prueba.

El modelo estimado a partir de la información obtenida del número óptimo de rezagos, el orden de integración de las series de tiempo y el test de Johansen es el siguiente:
donde Yi es el logaritmo del PIB, Cri es el logaritmo del CBSI e IEi es el logaritmo del índice de la IED. Los resultados de la estimación del modelo VECM (1) se presentan en las Tablas 3, 4 y 5. En el caso de la ecuación del PIB, el coeficiente del primer rezago de la IED y el CBSI presentan un signo negativo, sin ser estadísticamente significativos; sólo lo es el rezago de ella misma estadísticamente significativa. En el caso de la ecuación de la IED sólo el rezago de la misma resultó ser significativo; en cuanto a la ecuación del CBSI, el rezago del PIB es significativo como el rezago del crédito bancario.



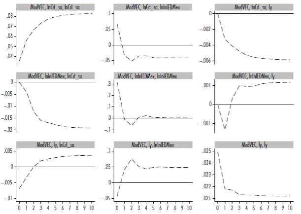
El modelo es estable, además, las pruebas de correlación serial y heterocedasticidad muestran que no hay problemas en el modelo; también se comprobó la estacionariedad de los errores de cada ecuación y se encontró que los residuos de las tres ecuaciones son estacionarios con tendencia y constante (véanse Tablas A3 y A4 del Anexo estadístico). Las funciones de impulso respuesta del modelo estimado se presentan en la Figura 2.

La evidencia empírica obtenida a través las funciones de impulso respuesta sugiere el efecto depresivo de un shock de dos desviaciones estándar en el CBSI sobre el crecimiento del nivel de producción, así como su efecto contractivo sobre la IED. Se aprecia, por otro lado, el efecto recesivo en el corto plazo de la IED sobre el PIB y el CBSI. En tanto, los shocks en el PIB tienen efectos contractivos en los IED y el CBSI en el corto plazo. A su vez, en la Tabla 6 se presenta la descomposición de varianza del PIB, de la que se puede concluir que en el periodo 10 la variabilidad del PIB es explicada por ella misma en un 85.53%, la IED un 7.91% y el CBSI en un 6.54%.

Aunado a lo anterior, se realizó la prueba de causalidad de Granger para determinar si los acontecimientos de periodos pasados pudieran proporcionar información de los sucesos que ocurren en la actualidad (véase Tabla 7). Es en ese sentido que los resultados obtenidos permiten rechazar la hipótesis nula, misma que establece que la tasa de crecimiento del PIB no origina, en el sentido Granger, a la tasa de crecimiento del CBSI; al mismo tiempo la tasa de crecimiento del CBSI causa a la tasa de crecimiento la IED; sin embargo, no se encontró relación de causalidad de la IED hacia el PIB o el CBSI al PIB, dado que el estadístico de prueba obtenido es no significativo.

La liberalización financiera y la apertura comercial se implementaron en línea con el Consenso de Washington, en un ajuste estructural para superar la crisis de la deuda de Latinoamérica en los años ochenta del siglo XX (Williamson, 1991).
Para la economía mexicana, bajo el marco anterior, se hizo una estimación de la relación que existe entre el CBSI, la IED y la actividad económica durante el periodo 1995-2020, a través de dos propuestas: la primera a partir de una representación de espacio de estados con un modelo de Markov-Switching, en la que se observó que la IED en México se encontró en recuperación la mayor parte del periodo de estudio; y en el caso de CBSI mostró tres fases de recesión: la primera de una amplitud prolongada que en periodos de recesión podría asumirse como contemporáneo al ciclo económico y en los episodios de recuperación como contracíclico; en tanto que en la segunda y tercera fases como contemporáneas al ciclo de la economía mexicana. Empero, estos resultados no permitieron hacer alguna conjetura sobre el comportamiento de esta serie al mantenerse gran parte del periodo de análisis en recesión.
En la segunda propuesta se utilizó un modelo VECM para determinar la dinámica entre el PIB, el CBSI y la IED. Fue a partir de la prueba de Johansen que se concluyó que existe una relación de largo plazo entre las variables. Las estimaciones realizadas sugieren, a través de las funciones impulso respuesta, que los shocks en la IED y el CBSI pueden generar una dinámica contractiva en el nivel de actividad económica; sin embargo, la descomposición de la varianza mostró que el CBSI y la IED explican alrededor del 14.50% de la variabilidad del PIB en el décimo periodo.
Aunado a esto, la prueba de causalidad en el sentido de Granger sugiere un comportamiento unidireccional entre el PIB y el CBSI o la IED, al no existir causalidad del crédito o la IED hacia al PIB; estos resultados sugieren que el CBSI o la IED no parecen fomentar la expansión del sector productivo después de la transición registrada por la economía mexicana a inicios de los años noventa. Cuestión que esboza la falta de profundización del crédito al estar ligada a actividades exportadoras de empresas de gran escala, cuando en el país las unidades económicas son en su absoluta mayoría micro, pequeñas y medianas empresas que difícilmente cumplen los parámetros crediticios bancarios.
Lo paradójico es que, si bien el proceso de liberalización que se dio a inicios de la década de los ochenta cumplió la gran parte de las directrices teóricas establecidas, su implementación no logró permear el sistema económico en su conjunto al subsistir de manera más aguda la fragmentación y represión financieras que se pretendía superar. Puesto que la evidencia empírica encontrada no sugiere que el financiamiento externo y el CBSI contribuyeran al crecimiento del nivel de producción, al no mostrar relación que permita inferir alguna causalidad del sector financiero al sector real en el periodo de estudio.
a) Pruebas de raíz unitaria de las series de tiempo y criterios de información para la estimación del modelo VECM


b) Prueba de diagnóstico (raíces inversas, correlación serial, homocedasticidad y estacionariedad de los errores de las ecuaciones)














