Abstract: The aim of the present research was to know the shelf life of dehydrated tropical fruits based on an indirect type solar dryer, which was designed and developed under the conditions of Calceta, Bolívar canton of Manabí province, Ecuador. Due to the banana fruit physical and chemical characteristics exhibited during the process of dehydration by radiation, satisfactory results were obtained, superior to those obtained in fruits of mamey and pineapple. For example, moisture in banana with 80.22% dropped to 10.35%; in relation to protein ratio, which had achieved an increasing from 1.27% in its fresh state to 2.18% and in fiber contents from 0.88% in its fresh state to 2.41%. The microbiological analyzes determined the shelf life of the estimated products at 106, 109 and 174 days, respectively, for mamey, banana and pineapple fruits. Conversely, the attributes measured according to the scale of the sensory evaluation, the average of the treatments and their properties, such as sweetness, appearance, color and taste, can be demonstrated that the banana fruit considers better attributes as color with 4.38; sweet 4.58; aspect 4.68; and taste 4.75. In banana fruit, the R2 statistic indicates 56.339% of the variability in DM PL. The correlation coefficient is equal to 0.750593, indicating a moderately strong relationship among the evaluated variables.
Key words: AbsorptionAbsorption,convective multi-flash drying process (CMDF)convective multi-flash drying process (CMDF),fruit dehydrationfruit dehydration,fruit postharvestfruit postharvest,solar energysolar energy,water activitywater activity.
Resumen: El objetivo de la presente investigación fue el de conocer la vida útil de frutas tropicales deshidratadas basado en un secador solar que fue diseñado y desarrollado bajo las condiciones de Calceta, cantón Bolívar de la provincia Manabí, Ecuador. Debido a las características físicas y químicas del banano, exhibidas durante el proceso de deshidratación por radiación, se contó con resultados satisfactorios, superiores a los obtenidos en frutos de mamey y piña. Por ejemplo, la humedad en banano con 80.22% bajó a 10.35%; en lo referente a la relación de proteína aumentó desde 1.27% en su estado fresco a 2.18% y en contenidos de fibras desde 0.88% en su estado fresco a un 2.41%. Los análisis microbiológicos determinaron la vida útil de los productos estimándose en 106, 109 y 174 días respectivamente para mamey, banano y piña. En cuanto a los atributos medidos según escala de la evaluación sensorial, la media de los tratamientos y sus propiedades, como dulce, aspecto, color y sabor, se puede demostrar que el banano contempla mejores atributos como color con 4.38; dulce 4.58; aspecto 4.68; y sabor 4.75. En banano, el estadístico R2 indica un 56.339% de la variabilidad en DM PL. El coeficiente de correlación es igual a 0.750593, indicando una relación moderadamente fuerte entre las variables.
Palabras clave: Absorción, actividad de agua, deshidratación de frutas, energía solar, postcosecha de frutas, secado convectivo multi-flash (SCMF).
Artículos originales
Design, development and performance of solar dryer for pineapple (Ananas comosus (L.) Merr.), mamey (Mammea americana L.) and banana (Musaparadisiaca L.) fruit drying
Diseño, desarrollo y desempeño de un secador solar para el secado de frutos de piña (Ananas comosus (L.) Merr.), mamey (Mammea americana L.) y banano (Musa paradisiaca L.)
Received: 05 November 2016
Accepted: 01 July 2017
In Calceta, Bolívar canton of the Manabí province-Ecuador, fruit production as pineapple (Ananas comosus (L.) Merr.), mamey (Mammea americana L.) and banana (Musa paradisiaca L.) is abundant, but the useful life of these is short. The banana production, for example, is high and also has a substantial loss after harvesting. Conservation technologies have been used in the agroindustry, among which is the dehydration with hot air (Hernández, Flores, Acosta & Barbosa, 2014; Hernández, Martínez, Quinto, Cuevas, Acosta & Aguilar, 2010; García, Justinovich, Angel & Heredia, 2015)
The energy from the sunlight can be utilized for drying of food products. Solar drying of fruits and vegetable is an ancient food preservation technology. Drying is very important and essential process for preservation of agricultural products. Solar drying has a number of advantages as solar energy is non-polluting, free, abundant renewable energy source. But several practical difficulties arise and it should be overcome (Zotarelli, Almeida & Borges, 2011; Hernández, Flores, Acosta & Barbosa, 2014).
The water contained in fruits represents 80% of its weight, a determining factor for its early microbial decomposition (Coa, Zhang, Mujumdar, Xiao & Sun, 2007).
The quality of a conventional dehydrated product is lower than the fresh products from which it comes, with an impact on color, texture and other characteristics. Dehydrated fruits with hot air reach water activity levels ranging between 0.6 and 0.8; these levels maintain their sensory properties and show good resistance to microbial attack (García, Justinovich, Angel & Heredia, 2015; Coa, Zhang, Mujumdar, Xiao & Sun, 2007).
Fruits with a high content of sugars and acids adapt easily to the dehydration process (Ochoa, 2016; Cañizares, Bonafine & Laverde, 2007; Torres, Sánchez & Cayón, 2017). Therefore, CMFD- Convective Multi Flash- Drying, is a process that can be applied for the crispy fruits production and is an alternative to the lyophilization process (Zotarelli, Almeida & Borges, 2011).
Given these concerns, the aim of this research was to design and develop an experimental setup for solar dryer and to conduct the drying experiments to preserve food, extend shelf life, as well as organoleptic and nutritional characteristics with the sample product of pineapple, mamey and banana in Calceta, Bolívar canton of the Manabí province-Ecuador.
The research was carried out between the months of February to April 2013, in the Student avenue of Calceta, Bolívar canton, province of Manabí-Ecuador in the following coordinates: south Latitude 00° 5034.22־", west latitude 80°10״09.2׳, average altitude of 22 m.a.s.l., with relative humidity of 90%, temperature of 32.8°C and wind speed of 8 m.s-1, until November, the relative humidity is 86.7%, temperature of 26°C and wind speed of 1.8 m.s-1. (INAMHI, 2016).
Dryer consists of solar flat plate air heater of 1mm, insulated drying chamber provided with chimney for exhaust air. Figure 1, shows the schematic view of the experimental setup. Gross dimension of the solar collector is 0.5 m x 0.5m x 1m and height of 0.7m. The solar air heater consists of V-corrugated absorption plate painted with matt black color, wood was used as insulation on the sides and top, a glass plate sealed with silicone, inclined at 15°, at one end of the collector, a fan hole and on the sides, a photovoltaic plate that provided solar energy. In fact, both the collector and the dehydrator were painted white on the outlet and inlet, covered with aluminum sheet; in the inlet, there were five trays and distributed with a distance of 15 cm among them. The tray was made from an aluminium wire mesh and fixed to the frame inside the drying chamber. Outlet air from collector enters into the drying chamber at the bottom. Then it flows in the upward direction through the drying material. The chamber was insulated from all sides except the top. The chamber was proved with chimney for exhaust air. The height of the chimney was 0.25m. These are the aspects that contemplate the construction of the solar dehydrator for fruits (Sivipaucar, Curo, Huancahuari, Llantoy & Valderrama, 2008; Condori, Echazú & Saravia, 2006; García, Justinovich, Angel & Heredia, 2015).

In the equipment design, temperature measurements were taken in different stages of the dehydration process as follows: air preheating chamber or solar collector, the dehydration chamber or air outlet. Thermodynamic calculations were carried out based on meteorological variables such as: ambient temperature, wind speed, solar radiation, relative humidity and air temperature, determining the types of processes that occur during the fruits dehydration (CONELEC, 2008;Ochoa, 2016; Sivipaucar, Curo, Huancahuari, Llantoy & Valderrama, 2008; Condori, Echazú & Saravia, 2006).
Assumed area = (1.8* 1.0) m. = 1.80m2; Global radiation on average per day= 1353 W.m-2. Instantaneous global components of solar radiation were measured using a solar power meter (TenmarTM207) with an accuracy of ± 10W.m2. Temperature readings were recorded on an hourly basis starting from 8:00 AM - 6:00 PM. RTD were fixed at inlet and outlet of the collector (Tin, Tout), in open air for measuring ambient temperature (Tamb). (Berrueta, Limón, Fernández & Soto, 2003; Gamboa, Ibáñez, Meléndez, Paredes & Siche, 2014).
The volume of the drying chamber was determined (cabinet type oven). Subsequently, the average density of the products to be dried was 200 Kg.m-3, with a mass of 4 kg; 4/200 = 0.02 m3, being 10 times more, a value close to 0.20 nr5, was obtained.
Experiments were conducted to study the drying characteristics of banana, pineapple and mamey. It is known that was sterilized at 180° C for 60 minutes, the fruit chopping was carried out in an aseptic place previously washed with neutral soap. In addition, the fruit was submerged into water with ascorbic acid to avoid oxidation and subsequently, was introduced into the drying chamber with direction to the north with the objective that the collector received the solar rays from east to west (Gamboa, Ibáñez, Meléndez, Paredes & Siche, 2014Berrueta, Limón, Fernández & Soto, 2003, Condori, M., Echazú, R. & Saravia, L. (2006). Three replications were made for each fruit with a duration of three to five days for each replicate. Each day, the samples were covered with aluminum sheet and hermetically sealed for storage. Finally, nine dehydrated fruit samples were obtained.
A completely random design was used with three replicates for each treatment. Each experimental unit consisting of four kilograms of dehydrated fruit, the results were tabulated using infostatTM and StarGraphics 5.1TM software to calculate linear regression and variance. To identify significant difference among treatments and statistical significance for all comparisons was made at p<0.05. Tukey's multiple range test was used to compare the mean values of treatments.
The bromatological analysis were carried out in two laboratories of the ULEAM- Universidad Laica Eloy Alfaro de Manabí, Manta-Ecuador, the respective analysis of humidity, ash, proteins and fibers, from which 250 g of each sample were used, are shown in Table 1.

It is known that the ash percentage in the case of pineapple (0.44%) increases to an average of 1.09, in the same way, mamey (0.25%) increases to 2.66%, in the case of banana from 1.12% to 2.80% which indicates that in banana fruit, the ashes percentage are higher (Table 2).

System efficiency vs fruits
Figure 2 and Table 3, compare the extracted moisture vs the radiation, the banana molecular structure facilitates a faster extraction of moisture, followed by pineapple and mamey, respectively, which shows that the equipment is more efficient for banana fruit.

Figure 3, shows the moisture variation as a function of solar radiation in the evaluated fruits: pineapple, mamey and banana, respectively.


At 15 and 30 days in the process of dehydration of the fruits evaluated, specifically in the replicas obtained, was determined in CFU.g-1 and the maximum allowed values were taken, as the microorganisms multiply exponentially, a mathematical model was used applying logarithms, By clearing the variable x as time, one has the values of useful life. According to the projections made, 106, 109 and 174 days are estimated for mamey, banana and pineapple, respectively (Figure 4).

The attributes determined were as follows: sweet, appearance, color and taste; these were calculated based on the Infostat software, which have allowed that the most relevant characteristics in the attributes are in their respective order for the banana, pineapple and mamey dehydrated fruits, respectively (Figure 5).

Regression analysis - Linear model Y = a + b*X
Dependent variable: Drying T°C
Independent variable: Plate T°C
The output shows the adjustment results to the linear model to describe the relationship between Drying T°C and Plate T°C. The equation of the adjusted model is as follows (Equation 1):
[Equation 1]Given the p-value according to ANOVA is lower than 0.01, there is a statistically significant relationship between Drying T°C and Plate T°C for a confidence level of 99%. The R2 statistic, indicates that the model explains 61.3763% of the variability in Drying T°C. The correlation coefficient is equal to 0.78343, indicating a moderately strong relationship among variables. The standard error of the estimate, shows the standard deviation of residuals being 2.51359.
Lineal model Y = a + b*X
Dependent variable: Drying T°C
Independent variable: Collector T°C
The output shows the adjustment results to the linear model to describe the relationship between Drying T°C and Collector T°C. The equation of the adjusted model is as follows (Equation 2):
[Equation 2]Given that p-value in the ANOVA is lower than 0.01, there is a statistically significant relationship between Drying T°C and Collector T°C for a confidence level of 99%. The R2 statistic indicates that the model explains 59.672% of the variability in Drying T°C. The correlation coefficient is equal to 0.772477, indicating a moderately strong relationship among variables (Figure 6).

Regression analysis - Pineapple Lineal model Y = a + b*X
Dependent variable: Decreasing moisture pineapple (DMP)
Independent variable: Solar radiation Pineapple (SRP)
The adjustment results to the linear model to describe the relationship between DMP and SRP. The equation of the adjusted model is as follows (Equation 3):
[Equation 3]Given the p-value in the ANOVA is less than 0.01, there is a statistically significant relationship between DMP and SRP for a confidence level of 99%. The R2 statistic, indicates that the model explains 48.0814% of the variability in DMP. The correlation coefficient is equal to 0.693408, indicating a moderately strong relationship among variables. The standard error of the estimate shows the standard deviation of the residuals, which is 23.4888 (Figure 7a).
Regression analysis - Mamey
Lineal model Y = a + b*X
Dependent variable: Decreasing moisture mamey (DMM)
Independent variable: Solar radiation mamey (SRM)
The adjustment results to the linear model to describe the relationship between DMM and SRM. The equation of the adjusted model is as follows (Equation 4):
[Equation 4]Given that p-value in ANOVA is lower than 0.01, there is a statistically significant relationship between DMM and SRM for a confidence level of 99%. The R2 statistic, indicates that the model explains 55.6423% of the variability in DMM. The correlation coefficient is equal to 0.745938, indicating a moderately strong relationship among variables. The standard error of the estimate shows the standard deviation of the residuals, which is 12.3989 (Figure 7b). The average absolute error (AAE) = 10.7287, is the average value of the residuals.
Lineal model Y = a + b*X
Dependent variable: Decreasing moisture banana (DMB)
Independent variable: Solar radiation banana (SRB)
The adjustment results to the linear model to describe the relationship between DMB and SRB. The equation of the adjusted model is as follows (Equation 5):
[Equation 5]Given that p-value in ANOVA is lower than 0.01, there is a statistically significant relationship between DMB and SRB for a confidence level of 99%. The R2 statistic, indicates that the model explains 56.339% of the variability in DMB. The correlation coefficient is equal to 0.750593, indicating a moderately strong relationship among variables. The standard error of the estimate, shows the standard deviation of the residuals, which is 35.5063 (Figure 7c). The average absolute error (AAE) = 24.6024, is the average value of the residuals.

The drying process through the psychometric chart reveals two independent processes, on the one hand, there is a sensible air heating in the collector, where the air that enters into the chamber is heated at the expense of solar radiation conserving its moisture constant. Subsequently, the air increases its humidity at the expense of the water evaporation from the products and cooling occurs. Taking the first drying process for banana as an example, we have the following averaged data: air temperature: 26°C; initial relative humidity: 72 %; air temperature at dryer inlet or collector outlet: 49°C; air temperature at the dryer outlet: 35.7°C; diameter of the air duct: 0.08 m; air velocity at the entrance: 16.6 m.s-1; moisture removed from the banana sample: 172.43 g of water.
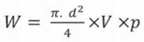
Given these concerns, the mass flow was determined by using Equation 6.
[Equation 6]Where:
d= diameter of the air duct; V, is the velocity of the air and p, is the density of the air, resulting in a value of 0.083 kg.s-1. From this data and knowing the moisture removed from the product, the amount of water that is absorbed per kg of air entering into the dryer in the analyzed period is determined using the Equation 7.
[Equation 7]Figure 8, shows the thermodynamic states from points 1, 2 and 3 corresponding to the air: environment, at the collector outlet and at the dryer outlet. The data taken from the Psychrometric Chart softwareTM, reflect the dry bulb temperature DB, relative humidity RH, absolute humidity AH, specific volume Vol, enthalpy Ent, vapor pressure VP, dew point DP and temperature of wet bulb WBT.

The process 1-2 was the sensible heating in the solar collector while in the process 2-3 at the inlet dryer, was carried out the air humidification and its corresponding cooling was carried out through the water evaporation contained in the products.
From Table 1, is observed that the moisture percentage before and after dehydration in the case of pineapple was 86.36%, the moisture content decreases to an average of 21.14, in the same way, mamey with 79.30% decreased to 21.07%, in the case of banana, 80.22% to 10.35%; which coincides with previous studies carried out by Almada, Cáceres, Machaín & Pulfer (2005).
Some literature citations on the influence of Convective multi-flash drying process (CMFD) (Sivipaucar, Curo, Huancahuari, Llantoy & Valderrama, 2008 ), are correlated with dehydrated fruits, in this research, the banana samples were heated to 60 ° C by hot air and a vacuum pulse was applied. In fact, in the fruit dehydration through combination of convective drying and rapid evaporation in the banana processed by CMFD, presented moisture content of 0.293 g.g-1 (dry basis) after 3 hours of processing. The observed heating rate for the banana samples was only through conduction and solar radiation. They were heated to approximately 60°C and large amounts of free water (the banana moisture content by 76%), which agrees with previous studies carried out by: Gamboa, Ibáñez, Meléndez, Paredes & Siche (2014) and Sivipaucar, Curo, Huancahuari, Llantoy & Valderrama (2008).
After the CMFD (approximately 135 min of processing), the banana reached a moisture content of 0.29 ± 0.01 g.g-1; at the end of the process, the amounts were as follows: 0.276 ± 0.015, the fruits with intermediate moisture content presented a water activity which ranged from 0.65, 0.85 and 0.90, respectively. The fruit pulp, due to dehydration, loses water and gains up to 60.21 g of solid per 500 g of dough, especially due to water and natural constituents are transferred into the osmotic solution from the extracellular spaces, causing a clear improvement in the fruit taste and texture (Ortiz, Sánchez, Valdés Baena & Vallejo, 2008; Sivipaucar, Curo, Huancahuari, Llantoy & Valderrama, 2008).
In the present investigation, it was decided to sterilize at 180° C for 60 minutes in accordance with the guidelines established worldwide by medical research council, with a moisture content in banana of 80.22% in fresh fruit. In addition, the dehydrator efficiency was relevant, taking into account the similarity of the CMFD method (Zotarelli, Almeida & Borges, 2011) and the solar dryer, since both include the use of radiation (CONELEC, 2008), being from 300 to 900 W.m-2, the moisture percentage before and after dehydratation process, the banana fruit performed a decreasing from 80.22% to 10.35%, which indicates that after being subjected to 180°C for 60 minutes per day in a total of 15 to 30 days, the index was 0.12% related to 10.35%, that is to say 0.4 times lower compared to that obtained in banana fruit with the CMFD method.
CMFD is a very efficient dehydration technique for two main reasons: (i) during flash evaporation, part of the internal moisture is pulled to the fruit surface, which improves convective drying during the heating step and (ii) after flash evaporation, the fruit temperature drops to 15-20 C, which leads to a large temperature difference between the hot air and cooled fruit and to improved heat transfer to the product (Zotarelli, Almeida & Borges, 2011), which is very similar to the evaluated method in this research.
Bearing this in mind, this provides more accurate and reliable estimates of the shelf life of dehydrated fruits, specifically, between 15 and 30 days of dehydration process in replicas, the value of useful life of banana, for example (Figure 5), according to the linear regressions with adjusted model of the decrease of humidity of banana vs. radiation presented a duration of 109 days.
The moisture content of pineapple was reduced from average initial value of 86.36% to final value of 21.07%; mamey ranged from 79.3% to 21.13% and banana ranged from 80.22% to 10.35% respectively. In addition, the percentage of pineapple ash of 0.44% had achieved an increasing in average of 1.09%; mamey from 0.25% had achieved an increasing to 2.66%, and banana ranged from 1.12% to 2.80%, which indicates that in banana fruit, these values are higher (data no shown).
In this sense, protein and fiber content, it was observed a significantly increasing in mamey before and after dehydration stage. Is believed to be an outcome of fresh pineapple with 0.67% protein and fibers in 2.45% in its fresh stage, in addition, in dehydrated stage, had achieved an increasing of 2.45% and 3.63%. The mamey fruit with 0.41% proteins and fibers in 2.5% in its fresh stage, in its dehydrated stage, had achieved an increasing of 2.55% and 4.94%, respectively. And finally, in banana with protein content at 1.27% and fibers at 0.88% in their fresh stage, dehydrated stage, had achieved an increasing of 2.18% and 2.41% respectively.
This study evaluated the effects of a solar dryer, which was developed in Calceta, Bolívar canton of Manabí province, Ecuador to dry pineapple, mamey and banana fruits. Experiments were performed and found that the molecular structure of the banana, for example, facilitates the extraction of moisture content through solar radiation followed by pineapple and mamey, respectively. This drawback can be overcome by decreasing the moisture content of the evaluated fruits.
The temperature of drying air is the most important and effective factor during drying. The humidity of air as well as air velocity is also an important factor for improving the drying rate.
Given these concerns, microbiologic analysis are thought to contribute to determine the useful life of the dehydrated fruits, included between 15 days to 30 days with replicates in the CFU.g-1, have allowed maximum values, is believed to be an outcome of the exponential microorganisms multiplication, therefore a mathematical model was used applying logarithms, determining that the estimated useful life is 106, 109 and 174 days for mamey, banana and pineapple, respectively.
*Author for correspondence: italop.bello@ uleam.edu.ec










