ABSTRACT: Tropical soils are characterized by acidity and poor plant nutrient availability, limiting their agricultural productivity. These soils are commonly amended with lime, but its low solubility impairs its effectiveness to enhance soil fertility. The use of gypsum has gained attention among farmers due to its higher solubility and mobility in the soil, local accessibility, and low price. Therefore, this study was conducted to determine the effects of Agricultural Gypsum (AG) addition on ten Colombian acid soils that had poor fertility and contrasting their physical and chemical characteristics. Surface (0-20 cm) soil samples were air-dried, sieved (<2 mm), and transferred into plastic vases, 40 g (dry base) per vase. Increasing rates of gypsum were added by duplicate: 0.0, 0.25, 0.5, 1.0, 2.0, 4.0, 8.0, and 16.0 g kg-1. Then, the soils were incubated for two weeks and watered to maintain 50% of their maximum water holding capacity. Soil pH, Al+3, Ca+2, Mg+2, K+, S-SO4-2, and P-H2PO4-2 were measured using standard methods. The results showed that AG addition significantly (P<0.05) increased soil exchangeable Ca+2-K+, Ca+2 saturation, S-SO4-2 concentration, and exchangeable Al+3, particularly with doses above 4.0 g kg-1. In contrast, soil Al+3 saturation, P-H2PO4-2 and pH significantly decreased as the AG doses increased, while soil exchangeable Mg+2 levels were not significantly affected. The use of gypsum incubation tests could be promissory for its effects on soil amelioration associated mainly to increase soil exchangeable Ca2+ and S-SO42- and to decrease Al3+ saturation.
Keywords: AcidityAcidity,Agricultural gypsumAgricultural gypsum,AluminumAluminum,Calcium sulfateCalcium sulfate,pHpH,Soil fertilitySoil fertility.
RESUMEN: Los suelos tropicales son característicamente ácidos y pobres en nutrientes, lo cual limita su productividad agrícola. Estos suelos usualmente son tratados con cal, pero su baja solubilidad limita su efectividad para mejorar la fertilidad. El uso de yeso agrícola ha ganado mucha atención debido a su mayor solubilidad y movilidad en el suelo, disponibilidad local y bajo precio. Por tanto, se realizó un estudio para determinar tales efectos en diez suelos acidos Colombianos con baja fertilidad y diferentes características físicas y químicas. Muestras de estos suelos (0-20 cm) se secaron al aire, tamizaron (<2 mm) y transfirieron a vasos plásticos. Dosis crecientes de yeso se aplicaron por cuadruplicado: 0,0; 0,25; 0,5; 1,0; 2,0; 4,0; 8,0 y 16,0 g kg-1. Los suelos se humedecieron para mantenerlos a 50% de su máxima capacidad de retención de agua durante dos semanas. Se midió pH, Al+3, Ca+2, Mg+2, K+, S-SO4-2 y P-H2PO4-2 usando métodos estandarizados. Los resultados muestran que al adicionar yeso agrícola se incrementó significativamente (P<0,05) los niveles de Ca+2-K+ intercambiable, saturación de Ca+2 , S-SO4-2 y Al+3 intercambiable, particularmente con dosis mayores de 4,0 g kg-1. En contraste, con el incremento de la dosis de yeso agrícola disminuyeron significativamente la saturación de Al+3 , y el pH; los niveles de Mg+2 no fueron significativamente afectados. El uso de las pruebas de incubación de yeso agrícola es promisorio para detectar mejoras en el suelo a través del incremento en los niveles de Ca2+ y S-SO42- y la disminución de la saturación de Al3+.
Palabras clave: Acidez, Yeso agrícola, Aluminio, Sulfato de calcio, pH, Fertilidad del suelo.
Artículos
Gypsum incubation tests to evaluate its potential effects on acidic soils of Colombia
Pruebas de incubación con yeso para evaluar sus potenciales efectos en suelos ácidos de Colombia
Received: 15 May 2020
Accepted: 24 August 2020
About 25-30% of soils are classified as acidic and are located in some of the most important regions of food production around the world (Havlin et al., 1999). In Colombia, about 80% of the soils have this condition and, at least 50%, have problems of toxicity by aluminum (IGAC, 2015). It is one of the biggest limitations of crop production in acidic mineral soils. These soils are generally located in areas of high rainfall where potatoes, coffee, vegetables, corn, rice, fruit trees, and pastures are cultivated. Besides, these soils have problems associated with low base saturation, low pH, and intense leaching that may interfere with root growth and functioning (Van Raij, 2008). Amendments such as lime, dolomite limes, oxides and hydroxides of magnesium and calcium have been traditionally used to decrease the negative impacts of acidity. In addition, other materials, such as agricultural gypsum or combinations and silicates, are used in less proportion (Castro and Gómez, 2013).
Gypsum comes from Gypsites. It is the most common of the calcium sulfates; generally, it is found in secondary deposits, associated with CaSO4 anhydrite or CaSO4.1/2 H2O bassanite (Van Raij, 2008; Osorno, 2012). Agricultural gypsum (AG), whose main component is calcium sulfate dihydrate (CaSO4.2H2O), provides Ca (17-27%) and S (14-18%). Phosphogypsum is a by-product of the phosphate industry, where the dissolution of phosphate rock with sulfuric acid generates phosphoric acid and phosphogypsum (Fisher, 2011; Zapata, 2014; Saadaoui, 2017). It has a solubility of 2.5 g L-1, being 200 times more soluble than agricultural lime and calcium carbonate (0.013 g L-1) (Fisher, 2011; Zapata, 2014). This property allows it to move more towards subsurface horizons, where it is possible to precipitate aluminum (Van Raij, 2008). Phosphogypsum can be used as a direct source of Ca2+ or S-SO42- to improve plant growth in sodium-saline soils and reduce subsoil acidity (Prochnow et al., 2016), achieving greater presence of Ca2+ and less of Al3+ in the complex of change in depth, neutralizing its excess (Takahashi et al., 2006; Kalinitchenko and Nosov, 2019).
Due to the misconception that gypsum has a potential acidifying effect, incorrectly attributed to sulfate ion, and inducing cation leaching increase (i.e., Ca2+, Mg2+, and K+), its use is not extensively recommended. However, some literature references support the benefits of using gypsum in agriculture. It is more soluble than lime, can be applied to the soil surface and percolated, breaking the chemical barrier of acidity in the subsoil imposed by the relative excess of Al3+, contributes Ca2+ to the soil solution and also provides S-SO42- (Van Raij, 2008; Fisher, 2011; Castro and Gómez, 2013; Ramos et al., 2013; Prochnow et al., 2016; Favarin et al., 2018; Osorio, 2018; Kalinitchenko and Nosov, 2019).
In this study, a laboratory test was used to evaluate the potential effects of gypsum application on different soil fertility parameters of acidic soils in Colombia.
Ten acidic soils of Colombia (Figure 1) were chosen based on following characteristics: pH≤5.0, exchangeable aluminum ≥0.5 cmolc kg-1, calcium ≤2.0 cmolc kg-1, sulfur ≤6.0 mg kg-1, sum of bases (Ca2++Mg2++K+)<5.0 cmolc kg-1 (Gómez et al., 1991; Castro and Gómez, 2013; IGAC, 2014, 2015). These soils belong to diverse soil orders: Andisols, Entisols, Inceptisols, Ultisols, and Oxisols, as described in Table 1. The soils were named by the site/town where they were collected. Some selected characteristics of climate and soil taxonomy of these sites are shown in Table 1.


Fifteen subsamples were taken in an area of approximately 100 m2 of each site of soil collection (Brown, 1987; Havlin et al., 1999; Sadeghian and Lynce, 2014). The subsamples were removed from the surface A horizon (0-20 cm) with a Dutch Auger and mixed thoroughly. 1 kg from each site was bagged, properly labeled, and sent to the soil laboratory of the Universidad Nacional de Colombia in Medellín (6°15’ N, 75°35’ W, 1495 masl, 22 °C). According to Osorio (2018), the soil samples were air-dried gradually for a week and passed through a 2-mm mesh sieve. The following laboratory methods were used (Osorio, 2018): pH in water 1:2 (w:v) with a calibrated pH meter; Ca, Mg, K content (cmolc kg-1) with 1 M ammonium acetate and analytical determination by atomic absorption; exchangeable aluminum (cmolc kg-1) extracted with 1 M KCl and quantified by titration; S-SO4-2 was extracted with 0.008 M calcium phosphate and quantified by turbidimetry; soluble P concentration extracted with 0.01 M CaCl2 and quantified by the molybdate-blue method.
The Agricultural Gypsum used in this experiment was a by-product generated by the acidulation of a phosphate rock, a primary source of P for Monómeros Colombo Venezolanos S.A. Company (Barranquilla, Colombia), manufacture of compound fertilizers. The treatments consisted of the addition of increasing doses of this gypsum (0.0, 0.25, 0.5, 1.0, 2.0, 4.0, 8.0, and 16.0 g kg-1) ), which is roughly equivalent to 0, 500, 1.000, 2.000, 4.000, 8.000, 16.000 and 32.000 kg ha-1. This method was adapted from a method proposed by Uchida and Hue (2000) and Ernani et al. (2006). BriefIy, this consisted of transferring 40 g of soil (dry weight) previously sieved (<2 mm) to 100 cm3 plastic cups. Then, the respective dose of gypsum was added into the soil and mixed thoroughly.
The soil samples amended were watered to maintain 50% of the maximum water retention capacity (equivalent to field capacity) and left them in incubation for two weeks at room temperature (22 °C). Once the soils were dried gradually for a week, they were rewetted and dried again for another week. Then, some selected soil fertility parameters (pH, Ca2+, Mg2+, K+, Al3+, P-H2PO4-, S-SO4-2) were measured using the methodologies described above.
The incubation of each of the soils was considered as a separate experiment. The experimental design was completely randomized. The treatments consisted of eight doses of AG (including the unamended control); each treatment had four replications. The data were subjected to analysis of variance to evaluate the significant effects of treatments. Duncan’s test of multiple ranges was used for mean separation. In both tests, a significance level P<0.05 was employed. The statistical analysis was made with the SAS software, version 9.0.
The significant tendency to decrease pH with the increase of AG doses in all soils was evidenced. The variation of pH values (Δ mean, initial pH-final pH) between the control and the highest dose (16.0 mg kg-1) was 0.36 and 0.86 units, depending on the type of soil (Table 2).

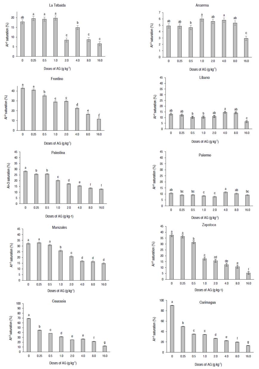
Significant differences of Al3+ were detected in the soils with the treatments compared to the control (Table 3). As the AG doses increased, the exchangeable Al3+ content significantly (P<0.05) increased; however, no significant differences were detected with doses lower than 4.0 g kg-1. This behavior was not similar to the pH, where a decrease was observed with the lowest dose (0.25 g kg-1). It may be due to high concentrations of salts that could increase Al3+ concentrations. Salt cation replaces some of the interchangeable Al3+, which is hydrolyzed in the solution, reducing the pH (Von Uexkull, 1986; Havlin et al., 1999). It could also be associated with the formation of compounds with very low solubility, and in the precipitation reaction, H+ is released. Without neutralization by other components, it can cause a small decrease in soil pH (Zapata, 2014). However, the Al3+ saturation had a different behavior (Figure 2), which depend on the soil type.


In some cases, Al3+ was significantly reduced, and it was most noticeable with the higher AG doses. The soils of Anserma, Libano, and Palermo soils exhibited low levels of Al3+ saturation (<15%) in their respective controls. Therefore, it was expected to have weaker effects with the AG treatments.
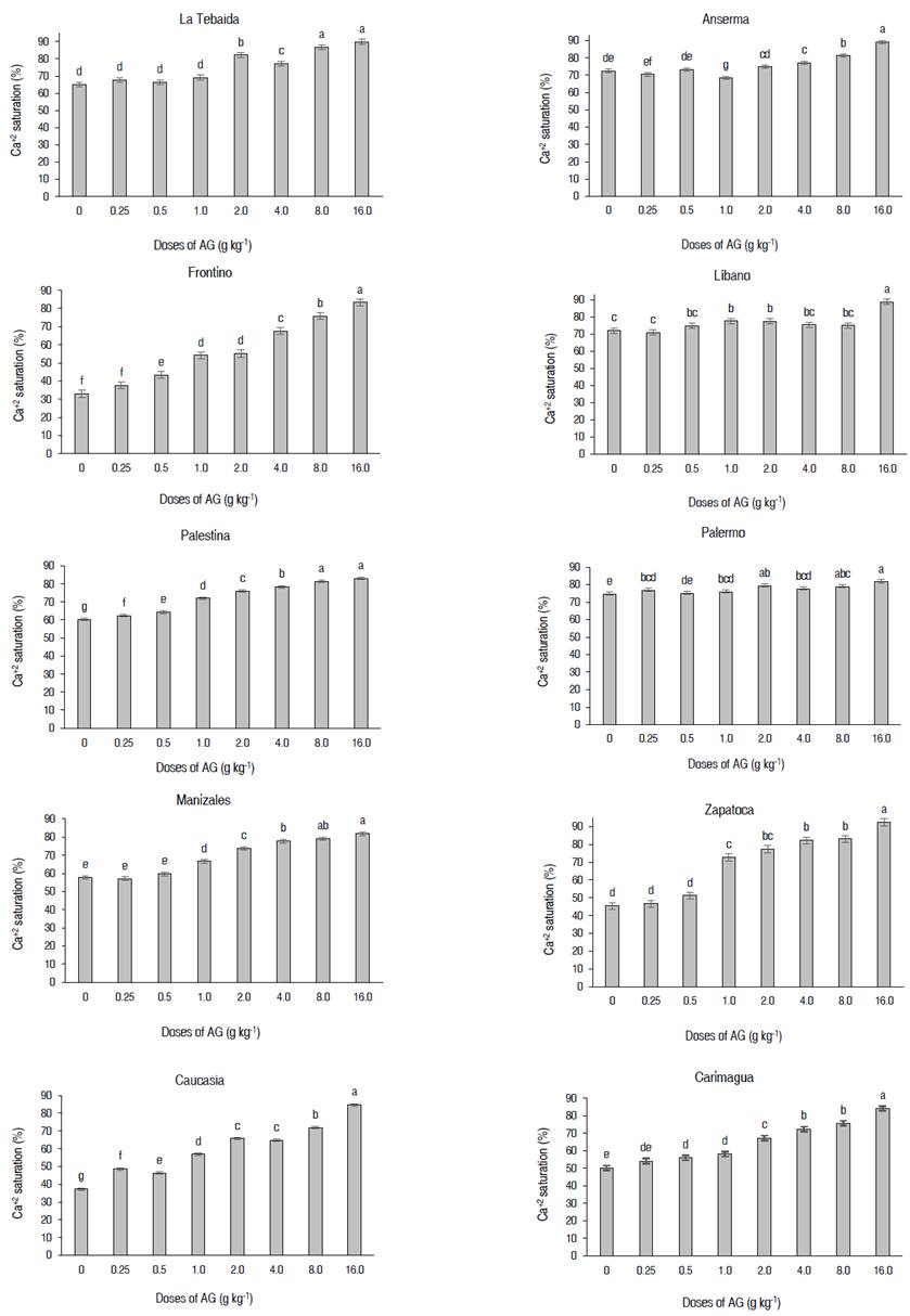
Regarding the effect of the treatments, Ca+2 had a proportional increase in the interchangeable phase in all the soils evaluated regarding the control treatment (Table 4). This effect agrees with the reports of Alva et al. (1988), Van Raij (1988), Espinosa and Lobo (1999), Salas et al. (2002), and Elrashidi et al. (2010), in Ultisols, Oxisols and Mollisols, using a product similar to AG. Additionally, the same trend was seen even in the Andisols, Entisol and Inceptisol evaluated since all soils showed a significant difference in the increase in exchangeable Ca+2 with respect to the control.

However, the magnitude of the increase varied according to the soil type (Figure 3). In the Anserma and Libano soils, there were significant differences only with the highest AG dose used.

There was a significant increase in the soil S-SO4-2 concentration as a result of the AG application. In many cases, even with the lower AG doses (0.25 g kg-1), there was an increase in the value of soil S-SO42- concentration. The minimum Δ mean increase according to the unfertilized control was 13.72 mg kg-1 (Anserma soil) and the maximum was 28.28 mg kg-1 (Manizales soil) (Table 5). Clearly, it shows that the AG used is an efficient source to provide S-SO4-2 to soils and plants. Similar results were obtained by Salas et al. (2002) in Costa Rica and Alva et al. (1988) with doses comparable to those applied in this experiment (2 and 10 Mg ha-1) in a Typic Hapludult. Besides, Elrashidi et al. (2010) found similar behavior in a Typic Argiudoll.

The addition of AG had significant effects on the soil exchangeable Mg2+ in La Tebaida, Líbano, Palestina, Manizales, and Caucasia. However, the magnitude of this effect varied among soils and doses. There was not a clear tendency to increase or decrease the level of this variable as the AG dose increase. Higher values of soil exchangeable Mg2+ were detected with different intermediate AG doses. It is interesting to note that even with the highest dose (16.0 g kg-1), not significant decreases were observed, despite being applied in several soils with high sand contents (between 54 and 66%) and low Caption Exchange Capacity (CEC) (Table 6). The results differ from the data reported by other authors in soils susceptible to leaching, especially with a high content of sand and low CEC (Van Raij, 1988; Barceló et al., 1996; Ernani et al., 2006).

There were significant differences in the values of soil exchangeable K+ associated with the AG treatments except for Caucasia and Carimagua soils. With the exception of the Manizales soil, the other treatments showed increases concerning the control treatment (Table 7). Similar results were reported by Espinosa and Lobo (1999) in the soils of Venezuela, Salas et al. (2002) in Ultisols and Andisols of Costa Rica, and Van Raij (1988) in Oxisols of Brazil. Thus, the maximal values were detected either with the unfertilized control or with intermediate and/or the highest AG dose. The magnitude of the changes was small, as shown in Table 7.

Although there were significant differences in the values of soil soluble P concentration associated to the AG treatments, there was not a tendency to increase or decrease it while the AG dose increase (Table 8). Similar results were obtained by Salas et al. (2002) in Ultisols and Andisols of Costa Rica.

Higher doses of gypsum can cause a small decrease in pH and increase soil exchangeable Al+3. The addition of AG can be useful to provide exchangeable Ca2+ and S-SO42- to agricultural soils and thus increase soil Ca2+ saturation, and parallelly, reduce soil Al3+ saturation. In most soils, these changes were detectable even when the AG doses were low (0.25 to 1.0 g kg-1). The effects tend to be higher when increasing AG doses, but the magnitude of these varies among soils. In general, there were not significant trends with the AG addition and the values of soil exchangeable Mg+2 and K+ and soluble P. The results indicate that incubation is an appropriate and relatively fast method to detect changes in some soil fertility parameters.










