Artículos
Received: 21 June 2022
Accepted: 04 November 2022
DOI: https://doi.org/10.15446/rfnam.v76n1.99647
ABSTRACT: Tomato is one of the main horticultural products in Argentina. Its cultivation is intensive in the use of fertilizers and pesticides, which negatively impact the environment. The chemical fertilizers commonly used are, to some extent, gradually being replaced by liquid biofertilizers. A liquid biofertilizer (bioslurry) made from goat manure, fresh plant residues, and some mineral inputs was physicochemically characterized. To evaluate its effect on tomato (Solanum lycopersicum L.) performance, two trials were conducted between October and November 2020: a seed germination test with increasing bioslurry dilutions (0 to 15%); and another trial in a greenhouse located in Luján de Cuyo, Mendoza, to evaluate the effect of different doses of bioslurry (5, 10 and 15%), compared to a commercial fertilization plan for seedlings in plastic trays. The experimental design used was completely randomized plots in both cases. Bioslurry at concentrations above 5% negatively affected tomato seed germination. The biofertilizer achieved a nutritional effect on seedlings compared to the unfertilized control. However, this effect was inferior to the treatment with commercial fertilizers. It is advisable to initiate applications of bioslurry after seedlings have emerged. Further studies are needed on biofertilizer use concentrations, doses, application frequencies, and suitability for different crops. Also, to achieve the effect of a commercial fertilization program, it will be necessary to combine enriched bioslurry with other bio inputs that complement plant nutrition.
Keywords: Digestate, inhibition, nutrition, plant growth, seedling.
RESUMEN: El tomate es uno de los principales productos hortícolas en la Argentina. Su cultivo es intensivo en el uso de fertilizantes y pesticidas, que impactan negativamente al ambiente. Los fertilizantes químicos de uso habitual son, en cierta medida, gradualmente reemplazados por biofertilizantes líquidos. Un biofertilizante líquido (biol) elaborado en base a estiércol de cabra, restos vegetales frescos y algunos insumos minerales, fue caracterizado fisicoquímicamente. Para evaluar su efecto en el desempeño del tomate (Solanum lycopersicum L.), se realizaron dos ensayos entre octubre y noviembre de 2020: una prueba de germinación de semillas con diluciones crecientes biol (0 a 15%); y otro ensayo en un invernadero ubicado en Luján de Cuyo, Mendoza, para evaluar el efecto de las diferentes dosis de biol (5, 10 y 15%), comparado con un plan de fertilización comercial de plántulas en bandejas plásticas. En ambos casos se utilizó un diseño de parcelas completamente aleatorizadas. El biol en concentraciones superiores al 5% afectó negativamente la germinación de las semillas de tomate. El biofertilizante logró un efecto nutricional en las plántulas, comparado con el testigo sin fertilizar. Sin embargo, este efecto fue inferior al tratamiento con fertilizantes comerciales. Es recomendable iniciar las aplicaciones de biol luego de que las plántulas hayan emergido. Se necesitan mayores estudios respecto de concentraciones de uso, dosis y frecuencias de aplicación de los biofertilizantes y su adecuación a diferentes cultivos. Asimismo, para lograr el efecto de un programa de fertilización comercial, será necesario combinar bioles enriquecidos, con otros bioinsumos que complementen la nutrición vegetal.
Palabras clave: Digestato, inhibición, nutrición, crecimiento vegetal, plántulas.
Tomatoes are one of the main horticultural crops in Argentina, with a cultivated area of 17,000 ha and an average annual production of around 1,100,000 t. In the provinces of Mendoza and San Juan, located in Cuyo region, tomato production is one of the leading economic activity, being one of the most important areas of the country with that end (Ministerio de Agricultura, Ganadería y Pesca, 2020).
In recent years, different studies have shown that the use of synthetic fertilizers and pesticides causes several environmental problems, mainly affecting soil and water. The main negative effects are related to the affection of non-target organisms, like adjacent crops, benefic insects, arachnids and microorganisms, and aquatic life in general (Krasilnikov et al., 2022; Bowmer, 2018). In this sense, it is observed that agricultural productions begin to adopt the use of bio-inputs more frequently (Kumar 2018; Liriano González et al., 2021). Biological products are commonly made from organic waste, with lower costs than traditional pesticides and less environmental impact. The efficiency in the use of these bio-inputs lies mainly in the presence of beneficial microorganisms for plant growth, and the nutritional content is dependent on the raw material used (Bonten et al., 2014).
Although there are a wide variety of bio-products, from aerobic or anaerobic digestions, relatively few experiences studied the effects, characteristics, and mechanisms by which they benefit plant growth. One of them is the bioslurry or digestate, which consists in the liquid fraction of anaerobic digestion, containing a high microbial and nutritional load (Bonten et al., 2014). While most studies focus on bioslurry resulting from biogas production (Groot and Bogdanski, 2013), there are others developed specifically for plant nutrition, where the methanogenic generation is dismissed (FAO, 2013). In this case, it is expected a superior performance as a promoter of plant growth, due to the addition of mineral salts and organic material that favor benefic microbial growth and nutrient content in the final product.
In general, bioslurry can play an important role as a source of nutrients for crop production, because they are readily available, allowing short-term effects of fertilization (Möller and Müller, 2012). Fang-Bo et al. (2010) demonstrated in tomato crops, that bioslurry significantly improves the macronutrient contents available in the soil, compared to the control without fertilizer and the conventional fertilization methods. Likewise, its use significantly increases the quality of the fruits (content of amino acids, proteins, ß-carotene, soluble solids, and vitamin C in tomatoes), but not the yield or weight of the fruits.
However, there does not appear to be a consensus on the forms of implementation and the concentrations to be used. For their part, Bonillo et al. (2015) evaluated frequent foliar applications of organic fertilizers with different concentrations, including supermagro (enriched bioslurry), obtaining positive effects in lettuce seedlings (Lactuca sativa L.). The effect of this last and other biofertilizers was also confirmed in the yields of tomatoes growing in a greenhouse (Parodi et al., 2020). On the other hand, Silva et al. (2011) suggest possible phytotoxicity of the same at concentrations higher than 10%, which was corroborated in periodic applications in the neck of bean plants. In addition, Díaz Montoya (2017) showed that the percentage of germinated lettuce seeds decreased when the dose increased from 2 to 4%.
Due to the scarcity of scientific studies, regarding the use of bioslurries as liquid fertilizers in the production of tomato seedlings, the present work evaluated the effect of different doses of bioslurry, on seed germination and the production of biomass of tomato seedlings for fresh consumption.
MATERIALS AND METHODS
The study was conducted in a greenhouse located at INTA's Mendoza Agricultural Experimental Station, Luján de Cuyo, Mendoza (33° 00 '20"S, 68° 51' 54" W, 929 masl) during October and November 2020. The cultivar used to evaluate the liquid biofertilizer (bioslurry) was the "cocktail type" tomato, selected by the INTA La Consulta and extracted from tomatoes grown during season 2019-2020, at INTA Mendoza.
Preparation and characteristics of liquid biofertilizer (bioslurry)
The bioslurry was elaborated according to the methodology for "enriched liquid biofertilizer" preparation, proposed by the FAO (2013). To do this, a 220-liter plastic drum was used, where the components, listed in Table 1, were placed. Anaerobic digestion was performed for four months. The mixture was stirred weekly to homogenize the materials. At the end of the elaboration process, the mixture was filtered by a canvas fabric, and the liquid fraction was stored in a plastic drum with hermetic closure, protected from direct radiation. The final composition of the bioslurries in solution is presented in Table 2.


Germination test
To evaluate the effect of bioslurry on germination, 25 tomato seeds were placed on filter paper in 90 mm Petri dishes, based on Sobrero and Ronco (2004). The experimental design used was completely randomized, with six treatments, consisting in 4 cm3 per plate of bioslurry at 15% (Biol 15), 10% (Biol 10), 5% (Biol 5), 3% (Biol 3), 1% (Biol 1) and distilled water as control treatment (CW). Each treatment was repeated thrice. Once the seeds were placed on the plates, they were brought to the stove at 22 °C for 120 h in darkness.
The germination proportion (GP = number of seeds germinated in each dilution/number of seeds germinated in the control), length of hypocotyl, and radicle were determined. The effect of each dilution on the germination of tomato seeds was analyzed statistically using a non-parametric analysis of Kruskal Wallis (P<0.05), due to the lack of normality of data.
Seedling production test
One tomato seed per cell (17.15 cm3) was sown in plastic trays with 40 alveoli. The substrate used was Cocomix (Línea profesional, Carluccio, Bs. As., Argentina), composed of sphagnum brown peat, perlite, and coconut fiber. Irrigation and nutrition treatments were provided through immersion of the culture trays in plastic polypropylene containers, once a week. Periodically and according to demand by evapotranspiration, all containers were irrigated and remained in conditions close to field capacity during the test period. For irrigation and dilutions, free chlorine water, extracted from a subterranean well was used.
The treatments were: fertilization with a 5% solution of bioslurry (Biol 5); 10% solution of bioslurry (Biol 10); 15% solution of bioslurry (Biol 15); control with well-water (CW) and a fertilized control (CF), supplemented with nutrient complexes (Rootex 8-46-5.5, Cosmoflor S. A., Mexico, and Plant-Prod Iniciador, 10-52-10), Cosmoflor S. A., Canada, both dissolved at 2 g L-1 in irrigation water. Prior to the incorporation, electrical conductivity expressed as dS m-1 was measured in each treatment at 23 °C, obtaining CW: 1.070; Biol 5: 1.772; Biol 10: 2.372; Biol 15: 2.927 and CF: 2.280. The experimental design used was completely randomized with 15 experimental plots, where three replications were arranged per treatment. The effect of treatments on the emergence and development of seedlings was evaluated by analysis of variance and comparison of means (Fisher's LSD test; P<0.05), using the Infostat statistical software.
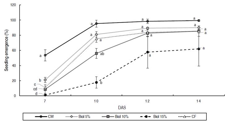
At 7, 10, 12, and 14 days after sowing (DAS), the number of emerged plants was recorded. With the data obtained, the percentage of emergence was calculated, as a relationship between the number of germinated seeds and the number of seeds sown (Prado-Urbina et al., 2015). The evaluation of total fresh biomass (aerial and root) was carried out at 28 DAS, when seedlings of the CF treatment had three true leaves, and an approximate height of 10 cm from the base to the vegetative apex. From the central lines of each replica of the tray, ten seedlings were extracted, roots washed, and weighed.
RESULTS AND DISCUSION
Germination proportion
This variable was significantly (P<0.05) reduced by Biol 15 (0.20±0.12). Meanwhile, Biol 5 and Biol 10 (0.91±0.10 and 0.56±0.11) did not differ significantly from the Biol 15 and CW, although showing a tendency to affect germination. The values obtained with dilutions of Biol 1 and Biol 3 (0.98±0.03 and 1.00±0.00) presented no differences regarding to CW (1.00±0.00, Figure 1).

Hypocotyl length
In this case, none of the dilutions differed significantly from the CW. However, at concentrations 1, 3 and 5% (4.17±0.54; 4.12±0.79 and 4.09±0.41 cm), hypocotyls were significantly longer than 15% (0.99±0.94 cm), showing values higher than CW (3.14±0.64 cm, Figure 2).

Radicle length
Dilutions 1, 3, and 5% (4.01±0.34; 4.84±0.92 and 3.90±1.22 cm) did not differ from CW (5.42±1.51 cm), while 10 and 15% (3.00±0.47; 0.69±0.35 cm) were significantly lower than CW. In this sense, the responses generated by dilutions lesser than 5% indicated an absence of negative effects on tomato seedlings (Figure 3).

In general, it was observed that after germination, tomato hypocotyl and radicle length decreased with increasing bioslurry concentration. According to Medina et al. (2015), very high concentrations of bioslurries produced from sheep manure, inhibit the germination of lettuce seeds and limit the growth of the radicle, possibly by increasing the electrical conductivity of the solution. Likewise, Goykovic et al. (2014) verified in tomato seeds, the osmotic and non-ionic detrimental effects by saline solutions during the germination process.
Díaz (2017) confirmed the presence of precursors of hormonal action, such as gibberellins, auxins, and cytokinins. In this sense, bioslurry concentrations between 2 and 5% presented a stimulating effect on lettuce, cotton, and alfalfa germination. Also, Medina Vargas (1990) points out that there are several hormonal precursors in the composition of bioslurry, but also certain repressors such as methionine.
It is important to consider that bioslurry is a complex solution of macro and micronutrients, microorganisms and growth precursors. Therefore, it became difficult to conclude and demonstrate that the seed's response is related to the presence of a particular chemical element, or a specific growth precursor. In this sense, the plants would react to the whole; that is, the interaction between chemical elements, growth precursors, and microbial population present in the bioslurry.
Emergence and biomass of seedlings
At 7 days, all treatments obtained significantly lower values than the control (53.5±7.37%). At 10 days, only the Biol 15 differed from the rest of the treatments with the lowest values. After 10 days, no statistical differences were observed among the treatments and the CW, although the trend observed at the beginning of the emergency assessment was maintained (Figure 4).

The fresh biomass obtained in the seedlings after 28 days, showed a significantly higher response for fertilized control (CF), while CW presented lower values than the rest of the treatments. On the other hand, the solutions of Biol 5 and 10% (340.66±49.69; 357.75±67.26 mg) obtained a fresh weight lower than CF (707.79±108.34 mg) but significantly higher than Biol 15% (227.21±4.03 mg, Figure 5).

Periodic applications of 15% bioslurry were less effective than 5 and 10% dilutions, both of which behaved similarly. These values correspond to the recommendations or the use of these types of biofertilizers (FAO, 2013). Higher concentrations tend to limit the growth of seedlings.
Finally, fertilization plans to achieve complete seedling nutrition should be complemented by the design of a substrate containing organic compounds, as it was shown that both the development of the aerial part of the seedlings and the root system is favored (Moraes et al., 2021).
CONCLUSIONS
Bioslurry at concentrations above 5% negatively affected tomato seed germination, and applications of the biofertilizer initiated from sowing in seedling trays, reduced the emergence of tomato seeds. Nevertheless, bioslurry achieved a nutritional effect on tomato seedlings compared to the unfertilized control. However, this effect was inferior to the treatment with commercial fertilizers. Results suggested that in weekly applications, will be advisable bioslurry concentration of 5 to 10% for positive tomato seedling growth, higher concentration will be detrimental. It is advisable to start biofertilizer applications after the seedlings have emerged.
The simple and low-cost elaboration of this biofertilizer allows its adoption as a nutrient solution for the production of tomato seedlings. However, it is necessary to deepen studies on concentrations of use, doses, and frequencies of biofertilizer application and their adaptation to different crops. It will also be appropriate to test, in future trials, alternatives of enriched liquid biofertilizers, such as "supermagro" or the combination of bio inputs (e.g., compost or other organic compounds as substrate's components, compost tea, etc.), to verify whether it is possible to achieve the yield of commercial seedling nutrition.
ACKNOWLEDGMENT
To the memory of Hernán Vila, former Director of INTA Mendoza, who gave all his support to be able to carry out the experimentations, in an extremely adverse context determined by the pandemic. To Federico DeBiazi for his invaluable assistance.
The trial was funded by the projects "Intensificación sostenible de los sistemas bajo cubierta" and "Desarrollo de sistemas productivos para áreas de amortiguamiento" of the Instituto Nacional de Tecnología Agropecuaria (INTA), and by the Fondo para la Investigación Científica y Tecnológica (FONCYT, PICT 2015-1727 to Ernesto Martín Uliarte).
REFERENCES
Bonillo MC, Filippini MF y Lipinski V. 2015. Estudio exploratorio de concentraciones y frecuencias de aplicación de abonos orgánicos foliares en plantines de lechuga. 4 p. En: V Congreso Latinoamericano de Agroecología. Sociedad Científica Latinoamericana de Agroecología, La Plata. Disponible en: http://sedici.unlp.edu.ar/handle/10915/52670
Bonten LTC, Zwart KB, Rietra RPJJ, Postma R, De Haas MJG and Nysingh SL. 2014. Bio-slurry as fertilizer; Is bio-slurry from household digesters a better fertilizer than manure? A literature review. Wageningen, Alterra Wageningen UR (University & Research centre), Alterra report 2519. 45 pp. Available at https://edepot.wur.nl/307735
Bowmer K. 2018. Agrochemical pollutants. In: Oxford Bibliographies (Oxford Bibliographies in Environmental Science). Oxford University Press. https://doi.org/10.1093/OBO/9780199363445-0093 accessed: July 2021.
Díaz Montoya AJ. 2017. Características fisicoquímicas y microbiológicas del proceso de elaboración de biol y su efecto en germinación de semillas (Tesis de maestría). Universidad Nacional Agraria La Molina, Lima, Perú. 129 p. Disponible en: https://hdl.handle.net/20.500.12996/2792
Fang-Bo Yu FB, Luo XP, Song CF, Zhang MX and Shan SD. 2010. Concentrated biogas slurry enhanced soil fertility and tomato quality. Acta Agriculturae Scandinavica, Section B - Soil and Plant Science 60(3): 262-268. https://doi.org/10.1080/09064710902893385
FAO - Food and Agriculture Organization of the United Nations. 2013. Los biopreparados para la producción de hortalizas en la agricultura urbana y periurbana. Disponible en: Disponible en: http://www.fao.org/3/a-i3360s.pdf accessed: August 2021.
Goykovic V, Nina P, Calle M. 2014. Efecto de la salinidad sobre la germinación y crecimiento vegetativo de plantas de tomate silvestres y cultivadas. Interciencia 39(7): 511-517.
Groot LD and Bogdanski A. 2013. Bioslurry = brown gold? A review of scientific literature on the co-product of biogas production. FAO, Rome. 45 p. Available at https://www.fao.org/3/i3441e/i3441e.pdf
Krasilnikov P, Taboada MA and Amanullah. 2022. Fertilizer use, soil health and agricultural sustainability. Agriculture 12(4): 462. https://doi.org/10.3390/agriculture12040462
Kumar VV. 2018. Biofertilizers and biopesticides in sustainable agriculture. pp. 377-398. In: Meena, V. (eds) Role of rhizospheric microbes in soil. Volume 1: Stress Management and Agricultural Sustainability. Springer, Singapore. 400 p. https://doi.org/10.1007/978-981-10-8402-7_14
González RL, Pérez RJ, Pérez HY, Placeres EI, Jardines GSB and Rodríguez JSL. 2021. Use of effective microorganisms and FitoMas-E® to increase the growth and quality of pepper (Capsicum annuum L.) seedlings. Revista Facultad Nacional de Agronomía Medellín 74(3): 9699-9706. https://doi.org/10.15446/rfnam.v74n3.90588
Medina VA, Quipuzco UL. y Juscamaita MJ. 2015. Evaluación de la calidad de biol de segunda generación de estiércol de ovino producido a través de biodigestores. Revista Anales Científicos (Universidad Nacional Agraria La Molina) 76(1): 116-124. https://doi.org/10.21704/ac.v76i1.772
Medina VA. 1990. El biol: fuente de fitoestimulantes en el desarrollo agrícola. UMSS- GTZ, Programa Especial de Energías. Cochabamba, Bolivia. 79 p.
Ministerio de Agricultura, Ganadería y Pesca. 2020. La producción de tomate en Argentina. Informe sectorial. 14 p. Disponible en: Disponible en: https://www.argentina.gob.ar/sites/default/files/produccion-tomate-argentina-diciembre-2020.pdf accessed: July 2021
Möller K and Müller T. 2012. Effects of anaerobic digestion on digestate nutrient availability and crop growth: A review. Engineering in Life Sciences 12(3): 242-257. https://doi.org/10.1002/elsc.201100085
Moraes VH, Giongo PR, Albert AM, Tondato Arantes BH and Mesquita M. 2021. Development of lettuce varieties in different organic wastes as substrate. Revista Facultad Nacional de Agronomía Medellín , 74(2): 9483-9489. https://doi.org/10.15446/rfnam.v74n2.85547
Parodi G, Neiman G, Scheibengraf J, Amador Velasquez E, Valverde C, D'amico M, Castaldo V, Arcuri J y Cap G. 2020. Evaluación de bioinsumos intraprediales en la producción de tomate tipo pera y en el manejo del "Nematodo del Rosario de la Raíz", Nacobbus aberrans, en cultivo bajo cubierta. pp. 582-585. En: Resúmenes Primer Congreso Argentino de Agroecología. Mendoza, Argentina. Disponible en: https://bdigital.uncu.edu.ar/14315
Prado-Urbina G, Lagunes-Espinoza LdelC, García-López E, Bautista-Muñoz CdelC, Camacho-Chiu W, Mirafuentes GF y Aguilar-Rincón VH. 2015. Germinación de semillas de chiles silvestres en respuesta a tratamientos pre-germinativos. Ecosistemas y recursos Agropecuarios 2(5): 139-149.
Silva M, Azevedo M, Silva F, Fernandes J and Monteiro A. 2011. Análise da crescimento não destrutiva das plantas de feijão branco adubadas com biofertilizante supermagro. En: Resumos do VII Congresso Brasileiro de Agroecologia. Associação Brasileira de Agroecologia, Fortaleza, Brasil.
Sobrero MC y Ronco A. 2004. Ensayo de toxicidad aguda con semillas de lechuga (Lactuca sativa L). pp. 71-79. En: G. Castillo (ed.). Ensayos toxicológicos y métodos de evaluación de calidad de aguas. Estandarización, intercalibración, resultados y aplicaciones. Primera edición. IDRC, IMTA, Canadá. 202 p.