Artículos
Funciones ejecutivas entre músicos y no músicos: un metaanálisis
Executive functions between musicians and non-musicians: a metanalysis
Funciones ejecutivas entre músicos y no músicos: un metaanálisis
Interdisciplinaria, vol. 37, núm. 2, pp. 39-60, 2020
Centro Interamericano de Investigaciones Psicológicas y Ciencias Afines

Recepción: 16 Julio 2018
Aprobación: 14 Agosto 2020
Resumen: Se ha sugerido que la práctica profesional de un instrumento musical esta relacionada con mejores puntajes en tareas de funciones ejecutivas. Con el fin de examinar sistemáticamente esta hipótesis se realizó un metaanálisis para identificar el efecto de la interpretación de un instrumento en las funciones ejecutivas, así como las variables que podrían moderar dicho efecto. El metaanálisis incluyó estudios empíricos que: (1) compararon los puntajes en medidas de funciones ejecutivas entre músicos y no músicos; (2) reportaron las medias y desviaciones estándar; (3) el grupo de comparación no recibió entrenamiento musical; y (4) los participantes no presentaron discapacidad motora o cognitiva. Se identificó que los músicos, en comparación con los no músicos, muestran mejores puntajes en tareas de funciones ejecutivas (d = .712). Los resultados apoyan la hipótesis de que la práctica de un instrumento musical está relacionada con mejores puntuaciones en tareas de funciones ejecutivas.
Palabras clave: metaanálisis, funciones ejecutivas, entrenamiento musical, transferencia, música..
Abstract: Nowadays, it is widely accepted that experience can modify multiple aspects of the functioning and structure of the brain; however, there is still a long way to go to understand the mechanisms behind these modifications. In order to understand the relationship between experience and brain plasticity, models and paradigms have been adapted from cognitive neurosciences; one of them has been music training. In the last decades, this paradigm has strengthened because it allows us to understand the structural and functional modifications produced by training. It has been demonstrated that musicians compared to non-musicians present larger sizes of specific brain regions, in particular, the prefrontal cortex, which is associated with a better performance in executive functions tasks. In addition, long-term neurophysiological changes have been identified in people who play an instrument. A relationship between playing an instrument and better performance in executive functions has been identified. However, the evidence of this effect is contradictory. Executive functions are a series of general control processes that help regulate thinking and behavior. Some research indicates that learning an instrument is associated with better performance in working memory, but not regarding tasks related to inhibitory control and cognitive flexibility. However, other studies have revealed significant differences between musicians and non-musicians, both in working memory and tasks of cognitive flexibility as well as in inhibitory control. It is possible that the contradictory results are due to the methodological diversity through which this topic has been addressed, since some studies have carried out experimental and quasi-experimental designs, and others have developed correlational approaches. In addition, different theoretical models have been used to evaluate executive functions. For this study, we work with the theoretical model of Miyake et al. (2000), which is a solid theoretical-empirical proposal about three clearly differentiable executive functions: inhibitory control, cognitive flexibility, and working memory. A meta-analysis was performed with the purpose of identifying the effect of playing an instrument on executive functions as well as identifying the moderator variables. By doing this, we wanted to clarify the problem in question and the controversial results; therefore, empirical studies comparing musicians against non-musicians were included. The comparison group should not have been exposed to musical training, the participants should not present motor or cognitive disabilities, and finally, studies should report means and standard deviations for the scores on executive functions tasks. We included papers published between January 2000 and July 2017. The moderator variables studied were: age in months at the time of evaluation, age at which training began, and total years of training. The coding strategy allowed us to identify a total of 42 294 articles. The titles and abstracts were analyzed and those that did not meet the inclusion criteria were eliminated. This procedure allowed the detection of 24 articles for future analysis, and 12 out of them were finally selected. These 12 articles contributed to 60 effect sizes and 513 participants. The results showed that musicians have a better performance in executive functions tasks when they are compared to non-musicians, d = .712, n = 60, IC95% = (.57; .85), p < .0001. Additionally, the analysis of moderating variables revealed that the practice of an instrument equally benefits all executive functions, and the most important benefit occurs in older adults and children. Results support the hypothesis that the high level of difficulty involved with learning to play an instrument can influence a better performance in executive functions tasks. Our study points out the need of designing research that allows the scientific community to investigate the effect of prolonged musical training over time.
Keywords: meta-analysis, executive functions, musician-training, transference, music..
Introducción
Hoy en día es ampliamente aceptado el hecho de que la experiencia puede modificar múltiples aspectos del funcionamiento y estructura del cerebro. Sin embargo, aún falta mucho camino por recorrer para la comprensión de los mecanismos que subyacen a estas modificaciones (Bialystok, 2011).
El término “plasticidad” se refiere a los cambios en estructura y función del cerebro que afectan la conducta y están asociados con la experiencia o el entrenamiento (Buonomano y Merzenich, 1998; Zatorre, Fields y Johansen-Berg, 2012). Con el fin de comprender la relación entre experiencia y plasticidad, desde las neurociencias cognitivas se han adecuado modelos y paradigmas; uno de estos ha sido el entrenamiento musical (Jäncke, 2009; Münte, Altenmuller y Jäncke, 2002). En las últimas décadas, este paradigma ha tomado fuerza, ya que permite comprender las modificaciones tanto estructurales como funcionales producto de un entrenamiento (Buschkuehl y Jonides, 2012; Herholz y Zatorre, 2012). En estudios de morfometría voxel por voxel se ha sugerido que los músicos, en comparación con no músicos, presentan mayor volumen de materia gris en regiones cerebrales, visual, espaciales, auditivas y motoras (Gaser y Schlaug, 2003), en particular de la corteza prefrontal, lo cual se asocia a su vez con un mejor desempeño en tareas de funciones ejecutivas (Wetter, Koerner y Schwaninger, 2009). Además, se han identificado cambios neurofisiológicos a largo plazo en personas que interpretan un instrumento (Schulze, Mueller y Koelsch, 2011; Yuan y Raz, 2014; Zuk, Benjamin, Kenyon y Gaab, 2014). Aunado a esto, el entrenamiento musical también induce a modificaciones a nivel cortical. A través del uso de resonancia magnética y potenciales evocados, se han encontrado mejoras en la excitabilidad en el circuito auditivo primario y secundario de músicos, así como cambios morfológicos en la banda posterior del giro precentral, el cuerpo calloso y algunas regiones del cerebelo y el lóbulo prefrontal (Moreno y Bildeman, 2014). Otros estudios de neuroimagen han comparado directamente redes neuronales asociadas a estímulos tonales y verbales en músicos, y reportan una sobreposición importante de los recursos neuronales que dan soporte a la memoria de trabajo y la información tonal. Entre las zonas que se sobreponen se encuentran la red fronto-parietal (compuesta por la corteza premotora, el área de Broca y el cerebelo), así como el plano temporal (la cisura de Silvio) (Schulze, Zysset, Mueller, Friederici y Koelsch, 2011). Además, se han hallado diferencias neuroanatómicas tales como el incremento del volumen en la materia blanca (Bengtsson et al., 2005), el cuerpo calloso (Norton et al., 2005) y, en general, diferencias estructurales en las áreas somatosensoriales, el cerebelo, la corteza premotora, las regiones temporal inferior y frontal (Barrett et al., 2013).
Estudios de resonancia magnética sugieren que los músicos, en comparación con los no músicos, muestran mayor densidad funcional en conexiones del giro occipital inferior, giro cingular, el giro central anterior, el giro temporal, el giro frontal medio, el giro frontal inferior, el cerebelo y el tálamo (Zhu, 2018). Otras evidencias indican que niños expuestos a experiencias musicales, en comparación con niños no músicos, presentan una diferente tasa de grosor cortical entre en el cíngulo posterior superior temporal, tanto en el hemisferio derecho como en el izquierdo, así como mayor grosor en el cuerpo calloso en las vías que conectan los segmentos frontales, sensoriales y motores (Habibi et al., 2017).
Con respecto a la evidencia electrofisiológica sobre modificaciones funcionales a nivel cerebral al comparar músicos y no músicos, estudios realizados utilizando potenciales evocados han revelado que el entrenamiento musical puede mejorar el procesamiento de la información sensorial auditiva y, a la vez, el procesamiento de control cognitivo tipo top-down (Zhang, Peng, Chen y Hu, 2015). Otras investigaciones, por su parte, han identificado que el entrenamiento musical en la infancia está asociado con el desarrollo de mecanismos corticales que dan apoyo a la atención auditiva (Strait, Slater, O’Connell y Kraus, 2015).
Pese a esto, la pregunta de si el desempeño en funciones ejecutivas puede mejorar a partir de la experiencia musical sigue siendo altamente controversial. Algunas investigaciones indican que el aprendizaje de un instrumento está asociado a un mejor desempeño en la memoria de trabajo, no así en tareas de control inhibitorio y flexibilidad cognitiva (Okada, 2016). Sin embargo, otros estudios (Bugos, Perlstein, McCrae, Brophy y Bedenbaugh, 2007; Hanna-Pladdy y MacKay, 2011; Zuk, Benjamin, Kenyon y Gaab, 2014) han revelado diferencias significativas entre músicos y no músicos, tanto en la memoria de trabajo como en tareas de flexibilidad cognitiva y en el control inhibitorio (Degé, Kubicek y Schwarzer, 2011). Adicionalmente, se han detectado beneficios de la interpretación de un instrumento tanto en el rendimiento académico (Shellenberg, 2011) como en el detenimiento del declive cognitivo (Bugos, Perlstein, McCrae, Brophy y Bedenbaugh, 2007).
Es probable que los resultados controversiales se deban a la diversidad metodológica a través de la cual se ha abordado la cuestión, ya que algunos estudios han realizado aproximaciones experimentales, cuasiexperimentales y otros correlacionales; además se han empleado distintos modelos teóricos para la caracterización de las funciones ejecutivas. El objetivo del presente estudio fue identificar el efecto de la interpretación de un instrumento sobre las funciones ejecutivas y las variables moderadoras de dicho efecto a través de un metaanálisis.
¿Qué son las funciones ejecutivas?
Las funciones ejecutivas son una serie de procesos de control general que ayudan a regular el pensamiento y la conducta. Puntuaciones altas en tareas que evaluán las funciones ejecutivas están asociadas con mejores habilidades de autocontrol y autorregulación, que a su vez son habilidades esenciales en aspectos como la salud, el bienestar, y el éxito académico y laboral (Diamond, 2013; Miyake y Friedman, 2012). Existen múltiples propuestas teóricas que buscan caracterizar y describir cómo están organizadas las funciones ejecutivas (Baddeley, 2000; Zelazo y Müller, 2010). Sin embargo, uno de los modelos explicativos del procesamiento ejecutivo más robusto es el de Miyake et al. (2000), que parte de una propuesta teórico-empírica sólida sobre tres funciones ejecutivas claramente diferenciables entre sí. Estos componentes son el control inhibitorio, el cambio de set o flexibilidad cognitiva y la actualización de la memoria de trabajo. El control inhibitorio es la capacidad de suprimir una respuesta dominante; la flexibilidad cognitiva requiere turnarse entre distintas demandas en una misma tarea y tomar decisiones, y la actualización de la memoria de trabajo implica adherir y eliminar información constantemente de la memoria de trabajo (Miyake et al., 2000).
Una de las razones por las cuales se utilizó esta caracterización de las funciones ejecutivas es que las tres funciones incluidas en el modelo han sido ampliamente estudiadas en la literatura. Además, la propuesta ofrece evidencia empírica de un grupo pequeño de procesos ejecutivos de bajo nivel, los cuales son mecanismos fundamentales para funciones ejecutivas más complejas como el planeamiento. Finalmente, al tratarse de funciones ejecutivas ampliamente estudiadas y bien caracterizadas, facilita una delimitación más clara para la búsqueda de estudios en el metaanálisis.
Entrenamiento y mecanismos de transferencia a otros procesos cognitivos
A la fecha se ha demostrado que el cerebro puede modificarse a partir de programas de entrenamiento y que entrenar una actividad puede cambiar los correlatos neuronales de la actividad entrenada (Moreno y Farzan, 2015). Sin embargo, la posibilidad de transferencia de las habilidades aprendidas a otras no entrenadas es una pregunta abierta a debate (Olesen, Westerberg y Klingberg, 2004) ya que existe información contradictoria sobre su alcance (Owen et al., 2010). Según Moreno y Farzan (2015), la transferencia de habilidades entre dos procesos ocurre cuando los procesos entrenados y la actividad en la que se identifica la transferencia se desarrollan en zonas cerebrales sobrepuestas.
Autores como von Bastian y Oberauer (2014) sugieren que existen varios factores que pueden influir en estos mecanismos de transferencia: (1) la naturaleza del régimen de entrenamiento (duración, intensidad, adaptación a la tarea de entrenamiento) y la magnitud de las mejoras durante el entrenamiento; y (2) diferencias individuales en edad, habilidades cognitivas, factores biológicos, motivacionales y personales. Estos autores proponen que los efectos en la memoria de trabajo son producto de la relación de estos dos factores y el mecanismo de transferencia específico está asociado a una mejora en la eficiencia y capacidad de la memoria de trabajo. Adicionalmente, para que se dé un proceso de transferencia, debe haber una demanda cognitiva prolongada que exceda los límites de la capacidad de memoria de trabajo, de forma que genere cambios a nivel cerebral en zonas cerebrales compartidas (von Bastian y Oberauer, 2014). En consonancia con esta propuesta, Moreno y Bidelman (2014) proponen un modelo que explica cómo se extiende la transferencia de música a habilidades no relacionadas a través de un modelo piramidal que se rige por un efecto de sombrilla, de forma que las habilidades cognitivas generales como el procesamiento ejecutivo son activadas por los requerimientos propios de la tarea.
¿Por qué la música?
Según estas propuestas teóricas (Moreno et al., 2014; von Bastian y Oberauer, 2014) la carga o demanda cognitiva generada por el aprendizaje musical produce una activación de las funciones ejecutivas que, a su vez, podrían estar incidiendo en mejores puntajes en funciones ejecutivas e inteligencia. En efecto, la ejecución de un instrumento requiere de atención sostenida, manejo simultáneo de elementos rítmicos y melódicos, lectura y ejecución de lo establecido en la partitura, aprendizaje de patrones visuales complejos, afinación de habilidades motoras, activación de distintos sistemas de memorización, así como capacidad para autorregular la velocidad y precisión en la ejecución de la obra académica (Sala y Gobet, 2017; Schellenberg, 2006). Esta serie de procesos cognitivos involucran una amplia gama de redes neurales que quedan ocultas en el funcionamiento de diversos procesos cognitivos (Zatorre, 2015).
Como se ha señalado, las funciones ejecutivas son habilidades críticas para el éxito en procesos como la creatividad, la flexibilidad, la estabilidad en las relaciones sociales, la capacidad para resolver problemas, para planificar y organizar ideas, así como para adaptarse a las distintas circunstancias de la vida, además de nos permite focalizarnos en actividades nuevas (Canet-Juric, Andrés, García-Coni, Richard’s y Burin, 2017; De Luca et al., 2003; Irrazabal, Saux y Burin, 2016; Zelazo y Müller, 2010). Encontrar formas a través de las cuales estos mecanismos puedan ser entrenados aporta información valiosa a las neurociencias cognitivas en la comprensión de los mecanismos de plasticidad cerebral, pero también en las acciones que se pueden tomar en la cotidianidad para fortalecer estos procesos en programas educativos y de rehabilitación cognitiva. El beneficio en este sentido es doble, ya que la música, al ser una manifestación artística, permite expresar sentimientos, emociones y pensamientos (Morris, Wagner y Wales, 2018; Schellenberg y Weiss, 2013; Smayda, Worthy y Chandrasekaran, 2018) y, a su vez, según la hipótesis de este artículo, mejorar procesos cognitivos como las funciones ejecutivas.
¿Existen diferencias entre músicos y no músicos en el desempeño en tareas de funciones ejecutivas? ¿Los años de entrenamiento determinan diferencia en los puntajes? ¿Cuáles son los grupos etarios en los que el beneficio, en el procesamiento ejecutivo, es más evidente? ¿Cuáles son las funciones más beneficiadas como producto del entrenamiento? Los datos reportados en este estudio proporcionan información relevante sobre estos aspectos.
Método
Este estudio se realizó a través de un metaanálisis por efectos aleatorios. Un metaanálisis es un resumen cuantitativo de un dominio de investigación que describe la fuerza de un efecto, su variabilidad, su significancia estadística y la naturaleza de las variables moderadoras (Rosenthal, 1995). En un metaanálisis por efectos aleatorios se estima la media general y para minimizar la varianza se calcula un peso para la media, en la que el peso asignado para cada estudio es inverso a la varianza de cada uno de estos (Borenstein et al., 2009).
Revisión de la literatura
Para la recolección de datos se realizó una búsqueda sistemática en las bases de datos: EBSCO, Wiley, Science Direct, Proquest, Jstore, Springer Link y SAGE por las siguientes palabras clave: “music training” AND (“executive functions”, “cognitive improvement”, “working memory”, “set shifting”, “inhibition”, “inhibitory control”, “cognitive improvement”), “instrument training” AND “executive functions”, “music” AND (“cognitive abilities”, cognitive development), “music lessons” AND (“intelligence”, “executive functions”, “set shifting”, “working memory”, “inhibition”, “inhibitory control”).
La búsqueda se realizó en el rango de enero 2000 a julio 2017. Los criterios de inclusión para este estudio fueron:
1) Estudio empírico que comparara músicos y no músicos. El grupo de músicos debía contar con al menos 4 años de interpretación musical. Los años de interpretación son considerados un elemento fundamental a la hora de diferenciar una persona música de una que no lo es. Para efectos de este estudio se establece un mínimo de 4 años de entrenamiento como parte de los criterios de inclusión según lo propuesto por Shook, Marian, Bartolotti y Schroeder (2013).
2) El grupo de comparación no debía haber sido expuesto a un entrenamiento musical.
3) Los participantes no debían tener ningún tipo de discapacidad.
4) Medición en funciones ejecutivas (control inhibitorio, actualización de la memoria de trabajo, flexibilidad cognitiva).
5) Reporte de las medias y desviaciones estándar para cada grupo.
Variables moderadoras
Para este estudio se seleccionaron como variables moderadoras las siguientes: edad en meses al momento de la evaluación, edad en la que inició el entrenamiento, total de años de entrenamiento, grupo etario en el momento de la evaluación (niños, adolescentes, adultos, adultos mayores), y tipo de tarea evaluada (cambio de set, memoria de trabajo o control inhibitorio). El Anexo 1 resume la estrategia de codificación.
Cálculo del tamaño del efecto y heterogeneidad de tamaños de efecto: análisis de variables moderadoras
El análisis de datos se hizo a través del programa CMA (Comprenhensive Meta-Analysis) (Biostat, 2011, v. 2.2.064). Se utilizó Excel para organizar toda la codificación de información extraída de los estudios.
Los tamaños de efecto se calcularon a partir de estudios primarios tomando en cuenta el desempeño de músicos y no músicos en tareas de funciones ejecutivas. Los tamaños de efecto individuales se calcularon a partir de la comparación entre músicos y no músicos por sus medias y la agrupación de las desviaciones estándar.
El tamaño de efecto global se calculó a partir de la diferencia del promedio estandarizado y un modelo de efectos aleatorios. Este modelo parte del supuesto de que no hay un efecto verdadero cuando se discute la influencia de la música en el procesamiento ejecutivo; por esta razón, pretende estimar el promedio de la distribución de los efectos o bien el promedio del tamaño de efecto ponderado a través de los estudios (Borenstein et al., 2009). Este tipo de modelos permite la generalización de los resultados a una población similar (Rosenthal, 1995).
Adicionalmente se calculó z para tener un estadístico con una distribución conocida, asociado a una probabilidad de error, y el valor de p para el valor de z calculado. Por otra parte, cada variable moderadora fue analizada a través de meta-regresión (variables continuas) y análisis por subgrupo (variables categóricas).
Se realizó la prueba Q de heterogeneidad de Cochran (1954) y la prueba I2 (Higgins y Thompson, 2002). La prueba . se aplica con el objetivo de determinar la heterogeneidad de los tamaños de efecto (Borenstein et al., 2009). La heterogeneidad refiere a la varianza en los tamaños de efecto reales y muestra la consistencia en los estudios. Esta compara las observaciones para identificar si todos los estudios comparten un tamaño de efecto similar. Por otra parte, la I2 representa el porcentaje de heterogeneidad de los tamaños de efecto. Valores de 25 %, 50 % y 75 % representan heterogeneidad baja, heterogeneidad media y heterogeneidad alta, respectivamente (Borenstein et al., 2009).
Cálculo de sesgo de publicación
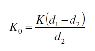
El sesgo de publicación es la tendencia de que artículos que han encontrado resultados significativos sean publicados con mucho más frecuencia que aquellos que han hallado resultados no significativos (Borenstein et al., 2009). El objetivo del análisis de sesgo de publicación es calcular la cantidad de efectos no significativos requeridos para disminuir el tamaño de efecto global a un tamaño pequeño o no significativo (Thomas y Nelson, 2007). Esa cantidad se calcula a través de la siguiente ecuación:

En la que K0 es el número de trabajos necesarios para reducir el tamaño de efecto (TE) global del metaanálisis a un TE global no significativo (cantidad de no significativos), K es la cantidad de estudios incluidos en el metaanálisis (cantidad de efectos individuales), d1 es la media de todos los TE del metaanálisis (TE global), d2 es el valor de un TE (probablemente) no significativo, por ejemplo TE = .10 (puede ser: .15 o .20).
Además se calculó la regresión de Egger así como funnel plot para la evaluación del sesgo en general.
Resultados
La estrategia de codificación permitió identificar un total de 42 294 artículos. Los títulos y resúmenes fueron analizados para su selección previa y aquellos que no cumplían con los criterios de inclusión fueron eliminados. Este procedimiento permitió detectar 24 artículos para su futuro análisis de los cuales 12 fueron seleccionados finalmente. Estos aportaron en su totalidad 60 tamaños de efecto y 513 participantes; en el Anexo 2 se presenta la información de cada uno de los artículos incluidos en el análisis. Los otros artículos fueron descartados por estar duplicados o no cumplir con alguno de los criterios de inclusión especificados. En el cuadro 1 se muestra el diagrama de flujo para la búsqueda bibliográfica.
| Etapas de búsqueda | Revista | Número de artículos | Revista | Nº de artículos | Total | |
| Total de estudios en la búsqueda inicial | EBSCO | 125 | SAGE | 4 126 | 42 294 | |
| Proquest | 451 | Springer Link | 33 460 | |||
| Jstore | 2 355 | Wiley | 863 | |||
| Science Direct | 914 | |||||
| Mapeo por resumen | EBSCO | 7 | SAGE | 4 | 24 | |
| Proquest | 6 | Springer Link | 0 | |||
| Jstore | 2 | Wiley | 3 | |||
| Science Direct | 2 | |||||
| Elegibles | EBSCO | 4 | SAGE | 3 | 12 | |
| Proquest | 4 | Springer Link | 0 | |||
| Jstore | 0 | Wiley | 0 | |||
| Science Direct | 1 | |||||
| Incluidos | EBSCO | 3 | SAGE | 3 | 12 | |
| Proquest | 4 | Springer Link | 0 | |||
| Jstore | 0 | Wiley | 0 | |||
| Science Direct | 1 | |||||
El tamaño de efecto global fue d = .712, n = 60, IC95% = (.57; .85), p < .0001. Estos resultados indican un tamaño de efecto moderado, el cual es significativo.
En este contexto, d indica la diferencia entre aquellos participantes que tuvieron un entrenamiento musical en comparación con quienes no participaron de uno, con un mejor puntaje por parte del grupo de músicos.
El valor K0 estima que se requieren de 153.6 tamaños de efecto no significativos para reducir el tamaño de efecto. A través de la prueba de heterogeneidad de Cochran se obtuvo un valor de Q = 185.38, gl = 59, p ≤ .0001, lo cual señala que las variables moderadoras pueden tener un efecto potencial. El índice I2 = 68.17 representa el porcentaje en el que los TE individuales son heterogéneos. En este caso particular existe una heterogeneidad media (Borenstein et al., 2009).
En la Figura 1 se muestra el diagrama de bosque con los tamaños de efecto individual y el tamaño de efecto global.

Análisis de sesgo de publicación
El análisis de sesgo de publicación se realizó tanto con el fin de conocer la consistencia de la sumatoria del tamaño de efecto como para identificar cuántos efectos no significativos serían necesarios para mantener la hipótesis nula.

A través de la regresión de Egger se identificó que hay sesgo de publicación t(58) = 3.92, p ≤ .0001. Esto significa que no se incluyeron todos los estudios necesarios o relevantes para el metaanálisis.
Variables moderadoras
Los resultados del análisis de variables moderadoras se observan en la Tabla 1. No se encontraron efectos significativos en las variables continuas estudiadas.
| Análisis variables moderadoras. Análisis entre subgrupos | ||||||||||
| Estadísticos para cada variable | Homogeneidad entre grupos | |||||||||
| Variable | n | ES | ICI | SCI | Q | I | Z | Q | gl | p |
| Tipo de tarea | 60 | 1.22 | 2 | .542 | ||||||
| FC | 4 | .15 | .19 | .81 | 3.97 | 2.51 | 3.22 | |||
| MdT | 47 | .08 | .56 | .88 | 147.24 | 68.76 | 15.06 | |||
| CI | 9 | .23 | .29 | .20 | 33.84 | 76.36 | 5.62 | |||
| Grupo etario | 58 | 10.62 | 2 | .005 | ||||||
| Niños | 6 | .13 | .73 | 2.12 | 2.12 | .000 | 7.30 | |||
| Adultos | 46 | .08 | .47 | 145.44 | 145.44 | 69.05 | 13.3 | |||
| Adultos mayores | 6 | .31 | .41 | 24.89 | 24.89 | 79.91 | 6.25 | |||
| Meta-regresión para variables continuas | ||||||||||
| Variable | Q | gl | p | |||||||
| Edad inicio entrenamiento | 3.55 | 1 | .059 | |||||||
| Total de años entrenamiento | 1.58 | 1 | .207 | |||||||
Discusión
A través de la técnica del metaanálisis, el presente estudio buscó identificar el efecto de la interpretación de un instrumento sobre las funciones ejecutivas y, de esta forma, contribuir con información que permitiera esclarecer la controversia en torno a esta temática. El impacto potencial de variables moderadoras en la sumatoria del efecto global fue llevado a cabo a través de meta-regresión para las variables continuas y análisis por subgrupos para las variables categóricas. Las variables moderadoras se analizan a través de procedimientos estadísticos distintos debido a sus características. Las variables continuas analizadas fueron la edad en la que inició el entrenamiento y el total de años de tocar un instrumento. Las variables categóricas analizadas fueron el tipo de tarea (flexibilidad cognitiva, memoria de trabajo y control inhibitorio) y el grupo etario.
Una de las fortalezas de este metaanálisis fue la inclusión de estudios realizados con músicos, lo cual brindó la oportunidad de acceder a una muestra de participantes que han estado involucrados en la práctica de un instrumento por periodos prolongados de tiempo (Herholz y Zatorre, 2012) y, de esta forma, evaluar el impacto de la interpretación de un instrumento en el procesamiento ejecutivo. Como se hipotetizó, los músicos presentaron un mejor desempeño en las tareas de funciones ejecutivas en comparación con no músicos con un tamaño de efecto moderado alto (d = .712). Estos hallazgos son consistentes con estudios preliminares (Bugos, Perlstein, McCrae, Brophy y Bedenbaugh, 2007; Hanna-Pladdy y MacKay, 2011; Zuk, Benjamin, Kenyon y Gaab, 2014), los cuales han identificado un efecto en algunas de las funciones ejecutivas. Además, concuerda con lo planteado por Herholz y Zatorre (2012), quienes afirman que el alto grado de complejidad que implica aprender un instrumento permite identificar esos mecanismos de plasticidad cerebral expresados en cambios funcionales y conductuales.
Pese a que el análisis de heterogeneidad reveló que existen variables moderadoras que aportan a este tamaño de efecto global, únicamente la variable moderadora del grupo etario al momento de la evaluación mostró ser significativa (Q = 10.621, gl = 2, p = .005). El efecto más grande se encontró para adultos mayores (d = 1.04; p = .001), seguido del de niños (d = 1.00; p = .000) y finalmente el de adultos (d = .63; p = .000). Estos resultados concuerdan con lo hallado por Karbach y Kray (2009), quienes encontraron una transferencia cercana de un entrenamiento en todos los grupos de edad, especialmente en niños y adultos mayores. Estos resultados podrían deberse a las características propias de cada etapa del desarrollo. En el caso de los niños, estos se encuentran en un proceso de desarrollo continuo de las funciones ejecutivas, por lo que un mejor desempeño es más sensible de ser detectado (Zelazo et al., 2003). En el caso del adulto mayor, existe un declive cognitivo propio de la edad que parece detenerse ante un entrenamiento en música (Bugos et al., 2007), lo que permite detectar mejoras en el desempeño al hacer comparaciones con personas que no han estado expuestas al aprendizaje de un instrumento.
El efecto no significativo de otras variables moderadoras también proporciona información valiosa para el caso de las tareas en funciones ejecutivas. Como se mencionó anteriormente, existen resultados contradictorios sobre si la ganancia ante un entrenamiento musical varía en las distintas funciones ejecutivas (Bugos, Perlstein, McCrae, Brophy y Bedenbaugh, 2007; Degé, Kubicek y Schwarzer; 2011; Hanna-Pladdy y MacKay, 2011; Okada, 2016; Zuk, Benjamin, Kenyon y Gaab, 2014). Nuestros resultados revelan, sin embargo, que todas las funciones ejecutivas se ven igualmente beneficiadas ante dicha experiencia. Estos resultados validan el modelo planteado por Miyake et al. (2000), quienes encontraron que la memoria de trabajo, la flexibilidad cognitiva y el control inhibitorio están correlacionados entre sí, pero que son claramente separables. Entonces, ¿por qué los tres procesos se ven beneficiados indistintamente ante la experiencia musical? Podría deberse justamente a los mecanismos comunes que vinculan estas tres funciones ejecutivas. Por un lado, comparten estructura neuronal; sin embargo, también existen aspectos comunes en las tareas empleadas para medir funciones ejecutivas, en particular la atención sostenida para la consecución de un objetivo o meta (Miyake et al., 2000). Autores como Engle, Kane y Tuholski (1999) proponen que un componente esencial de la memoria de trabajo es el control atencional para mantener activa o suprimir representaciones en la memoria de trabajo. Según estos autores, toda situación en la que se requieran procesos de control atencional, como mantener un objetivo en mente, resistir interferencia, invertir esfuerzo en la búsqueda en la memoria de los elementos requeridos o monitoreo del error, necesita esta capacidad de control atencional de la información. De esta forma, si se analizan las demandas cognitivas para la ejecución de tareas de flexibilidad cognitiva y control inhibitorio, el control atencional es requerido para ambos procesos y no únicamente para la memoria de trabajo. Tomando esto en consideración, cuando se aprende a interpretar un instrumento, o bien cuando se aprenden nuevas obras musicales, se requiere de control atencional para el manejo simultáneo de elementos como ritmo, melodía, coordinación motora, velocidad, evitación de errores, etc. En este sentido, el control atencional sería un elemento común en las tres funciones ejecutivas desde la perspectiva teórica planteada anteriormente. La investigación en esta área podría beneficiarse mucho a través de más estudios sobre la estructura factorial de estas funciones.
Por otra parte, el total de años de entrenamiento no aportó a la heterogeneidad del estudio; es decir, todos los participantes presentaron un desempeño superior en las funciones ejecutivas indistintamente de la cantidad de años que estuvieron expuestos a la interpretación de un instrumento. Esto podría señalar que el efecto del aprendizaje de un instrumento en el procesamiento ejecutivo tiene un tope máximo relacionado con la novedad de la tarea y la alta demanda cognitiva en las fases de aprendizaje inicial (von Bastian y Oberauer, 2014).
El inicio de la edad del entrenamiento tampoco aportó significativamente a la heterogeneidad del efecto global. Es importante hacer las salvedades de que: (1) no todos los estudios incluidos reportaron la edad de inicio de entrenamiento; y (2) en el caso de los estudios que reportaron esta información, la edad mínima de inicio fue de 5 años y la máxima, de 10 años de edad. Esto significa que los sujetos participantes del estudio iniciaron esta experiencia en la infancia, momento clave en el desarrollo de las funciones ejecutivas (Diamond, 2013; Zelazo et al., 2003). A partir de esto, es importante que estos resultados se interpreten con cautela, en el sentido de que la edad no mostró un efecto significativo porque los estudios participantes no reportaron músicos que iniciaran su experiencia en una edad más avanzada. De forma tal que este resultado señala únicamente que el efecto en las funciones ejecutivas no varía si el inicio del entrenamiento musical se da antes de los 10 años de edad.
El análisis de sesgo de publicación reveló que no se incluyeron todos los estudios necesarios o relevantes en el metaanálisis debido a la tendencia editorial de publicar mayoritariamente resultados significativos en detrimento de investigaciones que reportan resultados no significativos. De ahí la importancia de interpretar los datos con cautela, ya que los resultados podrían enriquecerse con la inclusión de más estudios. Sin embargo, si se analiza el valor K0, se requiere la incorporación de 153.6 tamaños de efecto no significativos para reducir el tamaño de efecto global que se obtuvo en este estudio, por lo que los resultados son relativamente estables en términos estadísticos.
Una de las limitaciones más importantes de este estudio fue la falta de información sobre variables moderadoras reportadas por los estudios primarios. El reporte inconsistente de información provocó que algunas medidas se excluyeran, tal como el tipo de entrenamiento. Por otra parte, la pregunta sobre si la edad de inicio influye en la mejora de las funciones ejecutivas permanece aún sin contestar, ya que no todos reportaron esta información que permitiría identificar diferencias en la ganancia cognitiva por edad asociadas al entrenamiento. Desde el planteamiento de von Bastian y Oberauer (2014), sin lugar a duda, sería importante poder acceder a factores individuales como habilidades cognitivas previas, factores biológicos, motivacionales y personales (como condición socioeconómica o cantidad de idiomas que habla el participante). Sin embargo, esta información no es proporcionada por los estudios de origen, pues en muchos de los casos estos no incorporan medidas previas de diversos indicadores porque no se tuvo acceso a la muestra antes de que iniciaran su experiencia musical.
Adicionalmente, información más específica con respecto al tipo de entrenamiento al que se expuso el participante podría aportar más información sobre la varianza sumada al efecto global. La diferencia entre los tipos de entrenamiento es importante si se considera que los músicos clásicos tienen rutinas de práctica diferentes a las que tienen músicos de jazz, que en muchos los casos improvisan a partir de señales auditivas o de pulso, asociadas a la ejecución musical grupal. Por lo tanto, aún se desconoce si existen diferencias a partir del tipo de entrenamiento en el desempeño ejecutivo.
A pesar de que el tamaño de efecto global indica que los músicos presentan un mejor desempeño en tareas de funciones ejecutivas en comparación con los no músicos, aún es incierto qué variables particulares contribuyen a estas diferencias. Según el conocimiento de los autores de este estudio, este es el primer metaanálisis que se publica que incluye músicos para identificar el tamaño de efecto en las funciones ejecutivas. Se espera que esta investigación aporte un resumen de los hallazgos detectados por estudios con características similares. Sin embargo, se considera fundamental que se continúe en el diseño de investigaciones que permitan indagar el efecto de un entrenamiento musical prolongado a través del tiempo, y que incorporen información valiosa como tipo de entrenamiento, tiempo durante el cual se ejecutó el instrumento y edad de inicio del entrenamiento.
Estos resultados pueden tener implicaciones importantes para la comprensión de los mecanismos de transferencia a otros procesos cognitivos producto de un entrenamiento musical, los cuales son de gran interés para las neurociencias. Además, este tipo de investigaciones en las que se evidencia el efecto de la música en otros dominios cognitivos pueden tener importantes implicaciones en políticas educativas, y generar apertura y reconocimiento de espacios de aprendizaje musical, lo cual podría tener un impacto positivo en el desarrollo social y cognitivo. Igualmente, estas investigaciones pueden alimentar intervenciones terapéuticas y de rehabilitación cognitiva utilizando la música como medio para ello.
Materiales suplementarios
Anexo 1 (pdf)
Anexo 2 (pdf)
Referencias bibliográficas
*Amer, T., Kalender, B., Hasher, L., Trehub, S. E. y Wong, Y. (2013). Do older professional musicians have cognitive advantages? PloS One, 8(8), e71630.
*Anaya, E., Pisoni, D. y Kronenberger, W. (2017). Visual-spatial sequence learning and memory in trained musicians. Psychology of Music, 45(1), 5-21. http://doi.org/10.1177/0305735616638942
Baddeley, A. (2000). The episodic buffer: a new component of working memory? Trends in Cognitive Sciences, 4(11), 417-423. http://doi.org/10.1016/S1364-6613(00)01538-2
Barrett, K. C., Ashley, R., Strait, D. L. y Krauss, N. (2013). Art and science: how musical training shapes the brain. Front. Psychol, 4, 713. https://doi.org/10.3389/fpsyg.2013.00713
Bengtsson, S. L., Nagy, Z., Skare, S., Forsman, L., Forssberg, H. y Ullén, F. (2005). Extensive piano practicing has regionally specific effects on white matter development. Nature Neuroscience, 8, 1148–1150. http://doi.org/10.1038/nn1516
Bialystok, E. (2011). How does experience change cognition? Evaluating the evidence. British Journal of Psychology, 102(3), 303-305. http://doi.org/10.1111/j.2044-8295.2011.02008.x
Borenstein, M., Hedges, L., Higgins, J. y Rothstein, H. (2009). Introduction to meta-analysis. United Kingdom: John Wiley & Sons.
Bugos, J., Perlstein, W., McCrae, C., Brophy, T. y Bedenbaugh, P. (2007). Individualized piano instruction enhances executive functioning and working memory in older adults. Aging and Mental Health, 11(4), 464-471. http://doi.org/10.1080/13607860601086504
Buschkuehl, M., Jaeggi, S. y Jonides, J. (2012). Neuronal effects following working memory training. Developmental Cognitive Neuroscience, 2, S167-S179. http://doi.org/10.1016/j.dcn.2011.10.001
Buonomano, D. V. y Merzenich, M. M. (1998). Cortical plasticity: from synapses to maps. Annual Review of Neuroscience, 21(1), 149-186. http://doi.org/10.1146/annurev.neuro.21.1.149
Canet-Juric, L., Andrés, M., García-Coni, A., Richard’s, M. y Burin, D. (2017). Desempeño en memoria de trabajo e indicadores comportamentales: Relaciones entre medidas directas e indirectas. Interdisciplinaria, 34(2), 369-387. https://doi.org/10.16888/interd.2017.34.2.8
*Clayton, K., Swaminathan, J., Yazdanbakhsh, A., Zuk, J., Patel, A. y Kidd, Jr. (2016). Executive function, visual attention and the cocktail party problem in musicians and non-musicians. PloS One, 11(7). http://doi.org/10.1371/journal.pone.0157638
Cochran, W. (1954). Some Methods for Strengthening the Common χ2 Tests. Biometrics, 10(4), 417-451. http://doi.org/10.2307/3001616
Degé, F., Kubicek, C. y Schwarzer, G. (2011). Music lessons and intelligence: A relation mediated by executive functions. Music Perception: An Interdisciplinary Journal, 29(2), 195-201. https://doi.org/10.1525/mp.2011.29.2.195
De Luca, C. R., Wood, S.J., Anderson, V., Buchanan, J. A., Proffitt, T. M., Mahony, K. y Pantelis, C. (2003). Normative data from the CANTAB. I: development of executive function over the lifespan. Journal of Clinical and Experimental Neuropsychology, 25(2), 242-254. http://doi.org/10.1076/jcen.25.2.242.13639
Diamond, A. (2013). Executive Functions. Annual Reviews of Psychology, 64,135–68.
Engle, R., Kane, M. y Tuholski, S. (1999). Individual differences in working memory capacity and what they tell us about controlled attention, general fluid intelligence, and functions of the prefrontal cortex. En A. Miyake y P. Shah (Eds.), Models of working memory: Mechanisms of active maintenance and executive control (pp. 102–134). New York: Cambridge University Press. http://doi.org/10.1017/CBO9781139174909.007
*Franklin, M., Sledge, K., Yip, C., Jonides, J., Rattray, K. y Moher, J. (2008). The effects of musical training on verbal memory. Psychology of Music, 36(3), 353-365. http://doi.org/10.1177/0305735607086044
Gaser, C. y Schalaug, G. (2003). Brain structures differ between musicians and no musicians. Journal of Neuroscience, 23 (27), 9240-9245. https://doi.org/10.1523/JNEUROSCI.23-27-09240.2003
*George, E. M., y Coch, D. (2011). Music training and working memory: An ERP study. Neuropsychologia, 49(5), 1083-1094. http://doi.org/10.1016/j.neuropsychologia.2011.02.001
Habibi, A., Damasio, A., Ilari, B., Veiga, R., Joshi, A., Leahy, R., Justin P., Divya V., Chitresh, B. y Hanna, D. (2017). Childhood music training induces change in micro and macroscopic brain structure: results from a longitudinal study. Cerebral Cortex, 28(12), 4336-4347. https://doi.org/10.1093/cercor/bhx286
Hanna-Pladdy, B. y MacKay, A. (2011). The relation between instrumental musical activity and cognitive aging. Neuropsychology, 25(3), 378. http://doi.org/10.1037/a0021895
Herholz, S. C. y Zatorre, R. J. (2012). Musical training as a framework for brain plasticity: behavior, function, and structure. Neuron, 76(3), 486-502. http://doi.org/10.1016/j.neuron.2012.10.011
Higgins, J. y Thompson, S. (2002). Quantifying heterogeneity in a meta-analysis. Statistics in Medicine, 21, 1539–1558. http://doi.org/10.1002/sim.1186
*Hou, J., Chen, C., Wang, Y., Liu, Y., He, Q., Li, J. y Dong, Q. (2014). Superior pitch identification ability is associated with better executive functions. Psychomusicology: Music, Mind, and Brain, 24(2), 136. https://doi.org/10.1037/a0036963
Irrazabal, N., Saux, G. y Burin, D. (2016). Formato de presentación, experticia y memoria de trabajo en la comprensión de instrucciones. Interdisciplinaria, 33(2), 215-229. https://doi.org/10.16888/interd.2016.33.2.2
Jäncke, L. (2009). The plastic human brain. Restorative neurology and neuroscience, 27(5), 521-538.
Karbach, J. y Kray, J. (2009). How useful is executive control training? Age differences in near and far transfer of task‐switching training. Developmental Science, 12(6), 978-990.
Lee, Y. S., Lu, M. J. y Ko, H. P. (2007). Effects of skill training on working memory capacity. Learning and Instruction, 17(3), 336-344.
*Lu, C. y Greenwald, M. (2016). Reading and working memory in adults with or without formal musical training: Musical and lexical tone. Psychology of Music,44(3), 369-387. http://doi.org/10.1177/0305735614568881
Miyake, A. y Friedman, N. (2012). The Nature and Organization of Individual Differences in Executive Functions: Four General Conclusions. Current Directions in Psychological Science, 21(1), 8–14. http://doi.org/10.1177/0963721411429458
Miyake, A., Friedman, N., Emerson, M., Witzki, A. y Howerter, A. (2000). The Unity and diversity of Executive Functions and Their Contributions to Complex “Frontal Lobe” Tasks: A Latent Variable Analysis. Cognitive Psychology, 41, 49–100.
*Moradzadeh, L., Blumenthal, G. y Wiseheart, M. (2015). Musical Training, Bilingualism, and Executive Function: A Closer Look at Task Switching and Dual‐Task Performance. Cognitive Science, 39(5), 992-1020. http://doi.org/10.1111/cogs.12183
Moreno, S. y Bidelman, G. (2014). Examining neural plasticity and cognitive benefit through the unique lens of musical training. Hearing Research, 308, 84-97. http://doi.org/10.1016/j.heares.2013.09.012
Moreno, S. y Farzan, F. (2015). Music training and inhibitory control: a multidimensional model. Annals of the New York Academy of Sciences, 1337(1), 147-152.http://dx.doi.org/10.1111/nyas.12674
Morris, S. L., Wagner, E. F. y Wales, E. (2018). Music Education as a Path to Positive Youth Development: An El Sistema-Inspired Program. Journal of Youth Development, 13(4), 149-163. http://doi 10.5195/jyd.2018.572
*Moussard, A., Bermudez, P., Alain, C., Tays, W. y Moreno, S. (2016). Life-long music practice and executive control in older adults: An event-related potential study. Brain research,1642, 146-153. http://doi.org/10.1016/j.brainres.2016.03.028
Münte, T. F., Altenmüller, E. y Jäncke, L. (2002). Opinion: the musician's brain as a model of neuroplasticity. Nature Reviews. Neuroscience, 3(6), 473.
Norton, A., Winner, E., Cronin, K., Overy, K., Lee, D. J. y Schlaug, G. (2005). Are there pre-existing neural, cognitive, or motoric markers for musical ability? Brain and Cognition, 59, 124–134. http://doi.org/10.1016/j.bandc.2005.05.009
Okada, B. M. (2016). Musical training and executive functions (Doctoral dissertation, University of Maryland, College Park).
Owen, A., Hampshire, A., Grahn, J., Stenton, R., Dajani, S., Burns, A. y Ballard, C. (2010). Putting brain training to the test. Nature, 465(7299), 775-778. http://doi.org/10.1038/nature09042
Olesen, P., Westerberg, H. y Klingberg, T. (2004). Increased prefrontal and parietal activity after training of working memory. Nature Neuroscience, 7(1), 75–79. http://doi.org/10.1038/nn1165
*Ramachandra, V., Meighan, C. y Gradzki, J. (2012). The impact of musical training on the phonological memory and the central executive: a brief report. North American Journal of Psychology, 14(3), 541.
Rosenthal, R. (1995). How To Write Meta Analysis. Psychological Bulletin, 118(2), 183–192.
Sala, G. y Gobet, F. (2017). When the music's over. Does music skill transfer to children's and young adolescents' cognitive and academic skills? A meta-analysis. Educational Research Review, 20, 55-67. http://doi.org/10.1016/j.edurev.2016.11.005
Schellenberg, E. (2006). Long-term positive associations between music lessons and IQ. Journal of Educational Psychology, 98(2), 457. http://doi.org/10.1037/0022-0663.98.2.457
Schellenberg, E. G. y Weiss, M.W. (2013). Music and cognitive abilities. En D. Deutsch (Ed.), The Psychology of Music (pp. 499-550). San Diego, CA, US: Elsevier Academic Press. http://doi.org/10.1016/B978-0-12-381460-9.00012-2
Schulze, K., Mueller, K. y Koelsch, S. (2011). Neural correlates of strategy use during auditory working memory in musicians and non-musicians. European Journal of Neuroscience, 33, 189–196. http://doi.org/10.1111/j.1460-9568.2010.07470.x
Schulze, K., Zysset, S., Mueller, K., Friederici, A. D. y Koelsch, S. (2011). Neuroarchitecture of verbal and tonal working memory in nonmusicians and musicians. Human Brain Mapping, 32(5), 771-783. http://doi.org/10.1002/hbm.21060
Shook, A., Marian, V., Bartolotti, J. y Schroeder, S. (2013). Musical experience influences statistical learning of a novel language. The American Journal of Psychology, 126(1), 95–104. http://doi.org/10.5406/amerjpsyc.126.1.0095
Smayda, K. E., Worthy, D. A. y Chandrasekaran, B. (2018). Better late than never (or early): Music training in late childhood is associated with enhanced decision-making. Psychology of Music, 46(5), 734-748. https://doi.org/10.1177/0305735617723721
Strait, D. L., Slater, J., O’Connell, S. y Kraus, N. (2015). Music training relates to the development of neural mechanisms of selective auditory attention. Developmental Cognitive Neuroscience, 12, 94-104. https://doi.org/10.1016/j.dcn.2015.01.001
*Suárez, L., Elangovan, S. y Au, A. (2016). Cross‐sectional study on the relationship between music training and working memory in adults. Australian Journal of Psychology, 68(1), 38-46.
Thomas, J. y Nelson, J. (2007). Métodos de investigación en actividad física. Barcelona, España: Paidotribo.
Von Bastian, C., y Oberauer, K. (2014). Effects and mechanisms of working memory training: a review. Psychological Research, 78(6), 803-820. http://doi.org/10.1007/s00426-013-0524-6
Wetter, O., Koerner, F. y Schwaninger, A. (2009). Does musical training improve school performance? Instructional Science, 37(4), 365-374. http://doi.org/10.1007/s11251-008-9052-y
Yuan, P. y Raz, N. (2014). Prefrontal Cortex and Executive Functions in Healthy Adults: A Meta-Analysis of Structural Neuroimaging Studies. Neuroscience y Biobehavioral Reviews, 180–192. http://doi.org/10.1016/j.neubiorev.2014.02.005
Zatorre, R. (2015). Musical pleasure and reward: mechanisms and dysfunction. Annals of the New York Academy of Sciences, 1337(1), 202-211. http://doi.org/10.1111/nyas.12677
Zatorre, R., Fields, R. D. y Johansen-Berg, H. (2012). Plasticity in gray and white: neuroimaging changes in brain structure during learning. Nature Neuroscience, 15(4), 528. http://doi.org/10.1038/nn.3045
Zelazo, P., Müller, U., Frye, D., Marcovitch, S., Argitis, G., Boseovski, J. y Carlson, S. (2003). The development of executive function in early childhood. Monographs of the Society for Research in Child Development, i-151.
Zelazo, P. y Müller, U. (2010). Executive function in typical and atypical development. The Wiley-Blackwell Handbook of Childhood Cognitive Development, Second edition, 574-603. http://doi.org/10.1002/9781444325485.ch22
Zhang, L., Peng, W., Chen, J. y Hu, L. (2015). Electrophysiological evidences demonstrating differences in brain functions between non-nmusicians and musicians. Scientific Reports, 5, 13796.
Zhu, Y. (2018). Influence of Music Training on the Plasticity of the Brain. Neuro Quantology, 16(5). http://doi.org/10.14704/nq.2018.16.5.1409
Zuk, J., Benjamin, C., Kenyon, A. y Gaab, N. (2014). Behavioral and neural correlates of executive functioning in musicians and non-musicians. PloS One, 9(6), e99868. http://doi.org/10.1371/journal.pone.0099868