ABSTRACT: Blackberries play an important role in human nutrition, due to the elevated content of certain bioactive compounds including ascorbate, anthocyanins, phenolic acids, carbohydrates, and proteins. Blackberry Rubus glaucus from Colombian Andes has a high demand on regional and international markets and there is much interest in its cultivation to increase the com mercial offer. In four blackberry producing municipalities of Cundinamarca province, fruits were harvested for different quality tests based on the availability of hydric resources in the zone and their influence on fruit characteristics according to the precipitation of each zone, since the crops did not have an irrigation system. The variables, such as size, fresh weight, tex ture, pH, titratable total acids (TTA), total soluble solids (TSS), and color were evaluated to compare the quality of the fruits between the municipalities, finding that fruits from Silvania had the greater size but, in turn, were the least consistent. El Colegio zone presented the sweetest fruits and together with Pasca had the highest acidity percentage. The color of Pasca and Silvania fruits was the most attractive for commercialization parameters. These parameters, even when management and agro-climatic conditions between municipalities were very similar, allows knowing the positive attributes and determine the factors that need to be improved and to project on a short-term future productions acceptable on the international market.
Key words: droughtdrought,water deficiencywater deficiency,growthgrowth,developmentdevelopment,RosaceaeRosaceae,post-harvestpost-harvest.
RESUMEN: La mora desempeña un papel importante en la nutrición hu mana, debido a su elevado contenido en bioactivos que incluyen ascorbato, antocianinas, ácidos fenólicos, carbohidratos y proteínas. La especie Rubus glaucus proveniente de los Andes colombianos, tiene alta demanda en el mercado regional e in ternacional y existe elevado interés en su cultivo para aumentar la oferta comercial. En cuatro diferentes municipios, altamente productores del departamento de Cundinamarca, se cosechar on frutos para realizar diferentes pruebas de calidad con base en la disponibilidad del recurso hídrico en la zona y como este afecta las cualidades de los mismos según la precipitación presentada en cada zona, debido a que los cultivos no cuentan con un sistema de riego disponible. Variables como tamaño, peso fresco, textura, pH, acidéz total titulable (ATT), sólidos solubles totales (SST) y color fueron evaluadas para comparar la calidad de los frutos entre municipios, encontrando que en "Silvania" se produjeron los frutos de mayor tamaño pero a su vez son los menos consistentes. La zona de "El Colegio" presentó los frutos mas dulces y junto con "Pasca" tuvieron el mayor porcentaje de acidez, finalmente el color de frutos de Pasca y Silvania es el mas atractivo para su comercialización, esto, aún cuando el manejo y las condiciones agro-climaticas son muy similares, permite conocer las cualidades positivas y determi nar los factores que hacen falta para mejorar y proyectar en un futuro a corto plazo con producciones que tengan aceptación en el mercado internacional.
Palabras clave: sequía, deficit hídrico, crecimiento, desarrollo, Rosaceae, poscosecha.
Cultivations physiology
Physicochemical characteristics of blackberry (Rubus glaucus Benth.) fruits from four production zones of Cundinamarca, Colombia
Características físicoquímicas de frutos de mora de Castilla (Rubus glaucus Benth.) provenientes de cuatro zonas productoras de Cundinamarca, Colombia
Received: 17 October 2016
Accepted: 30 November 2016
In Colombia, the Andean blackberry (Rubus glaucus Benth.), also known as the Castilla blackberry, is a tradi tional rural crop grown by small producers but with a high production potential (Moreno-Medina et al., 2016), having an area of 12,281 ha, a production of 105,218 t year-1 and an average productivity of 8.6 t ha-1 (Carvalho and Betancur, 2015). Cundinamarca (3,275 ha, 24,239 t year-1 and 7.4 t ha-1), Santander (1,793 ha, 19,190 t year-1 and 10.7 t ha-1) and Antioquia (1,430 ha, 13,728 t year-1, 9.6 t ha-1) are the prov inces best positioned in terms of area and production, but Risaralda (14.0 t ha-1) and Santander provinces presented the best performance (Carvalho and Betancur, 2015). The plants are sown in relatively cold areas at an altitude between 1,800 and 2,400 m a.s.l., with 70-80% relative air humidity, 11-18°C air temperature, 1,500-2,500 mm year precipitation, direct solar radiation between 1,200 and 1,600 h year-1, and an average soil pH of 5.5 (Franco, 2001).
The genus Rubus is one of the most diverse in morphologi cal and genetic terms and presents a wide range of wild and cultivated species that are appreciated for the edible fruits (Jennings, 1988). This crop enjoys high consumption in Colombia (1.5 kg year-1 per capita in 2013), with wide con sumption acceptance as fresh produce (60%), and is highly regarded in the processed industry (40%) due to its exotic flavor and easy agroindustrial processing (Escobar, 2014).
Berries have been recognized to play an important role in human nutrition providing health-benefits against a wide range of diseases, mainly due to their elevated content in certain bioactive compounds, including ascorbate, antho-cyanins, phenolic acids, and carotenoids (Manganaris et al., 2013). Therefore, most bioactive compounds within the plants are secondary metabolites, whose synthesis can be triggered in response to biotic and abiotic stresses, such as UV radiation, drought, wounding as well as infections (Terry et al, 2007; Jahangir et al, 2009).
The blackberry crop is highly sensitive to different issues, for example droughts (Morales and Villegas, 2012) and global climate projections suggest that the frequency of drought events in many regions would increase affecting drought-sensitive plant species. In non-tropical areas, for example, it is expected that water restriction will limit perennial species production in the arid and semi-arid production regions, unless enough water will be stored for irrigation (Walthall et al, 2012). Short-term droughts are projected to occur as frequently as once per year, while occasional long-term droughts (> 6 months) are being pro jected, where perennial horticulture crops will be highly affected (Walthall et al, 2012). Otherwise, in the United Kingdom, the climate change effects can have a negative impact on berry crops, affecting fruit quality and produc tivity, and among adaptation strategies to deal with water shortage of these crops are: irrigation scheduling, deficit irrigation techniques and other techniques to reduce water inputs maintaining yield and high quality of fruits (Else and Atkinson, 2010).
High-quality supported by irrigation is an important fea ture to ensure postharvest life to cope commercialization and transformation processes, because the blackberry is a non-climacteric fruit which has a fragile skin, susceptible to contamination by microorganisms and a very short postharvest life between 3 to 5 d (Ramirez et al., 2013; Sora et al., 2016). During the ripening process a fruit undergoes continuous physicochemical changes that affect acceptability, quality, and storage time (Ayala et al., 2013) reducing the content of organic acids, allowing loss of firmness and increases the concentration of sugars, among others (Moreno and Deaquiz, 2016). In addition, physical factors, such as color and its uniformity, are parameters that directly define the quality of the fruits, because it is considered to interfere with features, such as flavor and intensity (Moreno and Deaquiz, 2016).
Postharvest studies with fruits of this species seek ap propriate handling to ensure the quality and marketing requirements, considering the physical and chemical changes that occur during the maturation, depending on various factors such as light, temperature, moisture, and soil fertility among others (Gómez-Romero et al, 2010).
Hence, under the framework of the "Corredor Tecnológico Agroindustrial II - Fresa y Mora" project, it was consid ered important to characterize the physical and chemical properties of fruits based on the hydric status of plants and harvested fruits in four different high blackberry produc ing municipalities in Cundinamarca, Colombia. This, in order to know its performance and to generate short-term improvements in such products that can be projected as a producing region and improve both the quality of life and the recognition of farmers based on an international market approach.
The study was conducted in four representative producing areas of the province of Sumapaz, Cundinamarca, that refer to different municipalities (Tab. 1). These zones were strategically chosen because of their agroclimatic potential that promotes better plant growth and fruit development and have a long tradition of blackberry growing.
To carry out the study, a repressentative sample of fruits was collected per municipality, and classified by three maturity stages (4, 5 and 6) after the Colombian Technical Standard (NTC 4106; Icontec, 1997), where fruits from each state were taken for variables evaluation. The tests were performed 1 d after harvest in the postharvest laboratory of the Agricultural Engineering Department of the Uni versidad Nacional de Colombia, Bogotá.

Recorded rainfall data (in mm), accumulated over a period of 1 year (April 2015 to April 2016), were obtained fro the database of the "Instituto de Hidrología, Meteorología y Estudios Ambientales (IDEAM)" from the Ministery of "Ambiente y Desarrollo Sustentable" of Colombia, whereas the relative air humidity and average day temperature were recorded by dataloggers (RHT10, Extech Instruments®, Waltham, MA) located in each location.
In order to obtain dry mass of fruits, three samples where taken from three fruits at each maturity stage, the samples were weighed and later dried in oven at 70 °C with measu rements every 24 h until obtain a constant weight, having its percentages using the following formula:

To determine texture from the side to the center of the fruit, a CT3 texturometer (Brookfield Engineering Laboratories, Middleborough, MA) was used with a punch accessory diameter of 0.2 cm, with reference the maximum load and final charge applied in grams (g), whereas deformation was obtained in millimeters (mm).
TTA was determined with potentiometer TitroLine® WA 20 (SI Analytics, Weilheim, Germany), taking 10 g of pure fruit extract plus 10 g of distilled water to obtain a 1:1 solution. The computer showed the pH and the volume of reagent required for titration in millimeters (mm), so that the percentage of acidity (malic acid for blackberry fruits) was calculated by the following formula:

Where
V: NaOH used volume (mL)
N: NaOH normality (0.1 N)
C: malic acid constant (0.067 g meq-1)
W: sample weight (g)
For TSS determination, a J357 refractometer (Rudolph Research Analytical, Hackettstown, NJ) was used with one pure extract juice of blackberry as sample and the results were expressed in percentage units. Additionally, the rea ding was corrected for acidity using the formula obtained by Herrera (2010):

For color measurement the system of Hunter L a b and a chroma meter CR 400 (Konica Minolta Sensing Europe, Bremen, Germany) was used. After its calibration, the readings were taken at three different sites of each fruit.
All statistical analysis was performed with R software (v 2.15.2) (Development Core Team 2012). Data were reviewed using a mixed lineal effect model, with Tukey test for variance and homogeneity with a confidence level of a = 0.05 to identify significant differences among the variables evaluated.
In order to record the average rainwater per month, from april 2015 to april 2016, the rain water amounts in each evaluated zone were registered from Ideam wheater sta tions (Tab. 2).

Figure 1 shows the amount of rainfeed water in each mu nicipality and, as an average, the dotted line of the base requirement for a blackberry crop to fulfill its normal physiological functions in the conditions of the provinceof Cundinamarca. Althought the crops are located in differ ent sites, the characteristics such assoil, management, and its structures are very similar among them. For optimal growth and development of blackberry crops, it is neces sary to supply about 30 mm of water per week (4.28 mm d-1) (Casaca, 2005). A drip irrigation system is recommended by Casaca (2005) because it adapts to any topographical condition and there is no contact between the water and the aerial part of plants and, thus, takes full advantage of water resource. Flowering and fruit growth are the main periods to irrigate the crop, because constant irrigation increases performance, increasing fruit size and quantity of fruits per plant (Fischer and Orduz-Rodríguez, 2012).

Regardless of climatic change alterations presented throughout the year as El Niño and La Niña phenomena, it is evident that rain water supply in nearly all months (Fig. 1) was not enough to cover the minimum need amount for all fruit development. After Jaleel et al. (2009) during a prolonged water deficit, the overall plant development is delayed and leaf size is reduced; inducing anatomical changes due to modifications in cell size and a premature senescence and, ultimately, plant death observed in several species.
For adaptation strategies, it is important to increase the ir rigation efficiency implementing different irrigation meth ods, such as drip irrigation or the partial root-zone drying technique. In other species, partial "root-zone drying" can allow a 29-50% of water saving with a similar yield and a concomitant water use efficiency increase (Monneveuxa et al., 2013). Water restriction during full flowering and fruit production is particularly harmful. A study showed that blackberry plants had decreased stomatal conductance and transpiration after 24 d under dry-out conditions (drought stress), while the leaf turgor did not show variation (Parra et al., 1999). This result suggests the occurrence of osmotic adjustment activity, in fact, blackberry plants without ir rigation presented double proline accumulation compared with plants under irrigation (Parra et al., 1999).
Fruits size, expressed in volume, among municipalities and by maturity stage (with 6,32 cm3; 6,92 cm3 and 6,47 cm3 for maturity stages 4, 5 and 6, respectively) showed slightly significant differences due to environmental conditions of the four producing areas (Fig. 2). Probably, because the agronomic management applied to each of them (foliar and soil fertilization, pesticide application, spalier, weed management, pruning and harvesting) were very similar, so the homogeneity can be attributed to these factors. Studies done by Ayala et al. (2013) in blackbery in the province of Tolima showed an average fruit volume for maturity stages 4, 5 and 6 of 6,81 cm3; 7,55 cm3 and 7,49 cm3, respectively, with values higher than in our study, where the agronomic management was based on a traditional knowledge.

Previous studies by García (2012) in Silvania municipality reported a harvested fruit average fruit length of 31.2 mm during the rainy season, while in this study an average length of 26.5 mm was obtained (data not shown), includ ing also the municipality of Silvania. The low weight and size of blackberry fruits in our study, among other agro nomic management factors, could be affected most by the lack of water supply. Fischer and Orduz-Rodríguez (2012) indicated that water deficiency can reduce the growth and quality of fruits. which normally contains in its maturity stage up to 90% o more of water and, especially, during the fruit enlargement fase a constant water supply is the basis for its normal growth. Hsiao et al. (1976) stated that one of the first responses to a water deficit is reduced plant growth due to cell expansion inhibition.
The fresh weight, dry biomass, and water content by stage of maturity is shown in Tab. 3. No significant differences were registered between municipalities demonstrating very consistent results. Weight variation was not deter mined directly by the biomass but more by the amount of water contained in cells and rainfall of the four studied zones were more or less similar (IDEAM, 2016). Vicente et al. (2009) corroborate that water is the most abundant component in fruits and vegetables comprising about 90% of their mass. The water content values vary according to the product structure, what is the reason that fruits and vegetables are highly perishable, especially when having a high water content that can easily allow tgrowing pathogen microorganisms (Fischer, 2009).
With the formation of fruits an increase in their density occurs, being, in many cases, directly proportional to its weight, as a result of internal transformations through the expansion of cells and tissues (Quimbaya, 2009).

However, because of the low water availability in soil, which decreases photosynthesis, carbohydrate accumulation and, finally, overall plant growth are limited (Chaves and Oliveira, 2004). In addition, drought stress causes stomata closure, decreases gas exchange by reducing transpiration and, thus, the photosynthetic rate (Glass et al., 2003; Kiziloglu et al., 2006), all of them affecting density of cells.
Figure 3 shows that consistency and firmness of fruits were reduced as a consequence of maturation by the decrease of osmotic cellular pressure through chemical reactions in the processes of degradation of pectin, starch, and cellulose (Quimbaya, 2009), as well as by reducing its fiber content and from degradative processes of cell walls through which fruits become softer and more susceptible to physical dama ges during postharvest handling (Arias and Toledo, 2000).
According to data reported by Farinango (2010) for black berry Castilla fruits, resistance to penetration varies from 0.23 kgf to 0.48 kgf for maturity stages 2 to 5 but, in our study, in El Colegio, Pasca and San Bernardo municipali ties, the values between 0.21 and 0.45 kgf were obtained (data not shown). Although there were similar results, the municipality of Silvania presented a significant drop in the consistency and strength (Fig. 3), which can be at tributed, primarily, to the employment of a blackberry hybrid between Castilla and San Antonio variety, and this intercrossing presented an improved performance, but their physical characteristics werenot the most suitable to obtain favorable postharvest results.

Secondly, the municipality of Silvania received low amounts of rainwater throughout the year (Fig. 1), this could have affected the process of overall production of plants by weakening the cell walls and the cohesive forces that hold together the cells between them, generating a disintegration of cell structure, besides the internal move ment of water related to osmosis processes (Angón-Galván et al., 2006). Also, in soil analysis from Silvania. it was found that Ca levels (data not shown) were very low (2.64 cmol kg-1 exchangeable Ca) compared with the other munici palities, which have acceptable levels (Pasca 5.04 cmol kg-1 and San Bernardo 4.01 cmol kg-1). According to Castaño et al. (2010), calcium reinforces the cell wall and tissues of plants, calcium pectate gives resistance to infection by fungi or bacteria, increases the hardness of the fruits and delays ripening, consequently giving stability to the cell membrane, and favors the cation and anion balance within the cell and osmoregulation.
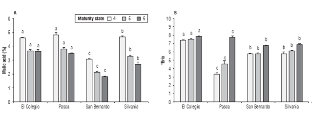
The behavior of TTA showed that, as ripening occurred, acidity decreased (Fig. 4A); similar results were obtained by Díaz et al. (2011), who claimed that the acids contained in fruits are consumed in respiration across the time, giving rise to new compounds (Kays, 2004), which explains its de cline during the ripening process. However, concentrations of TTA, as shown in figure 4A, were considerably higher compared with those in NTC 4106 (Icontec, 1997), where the contents at maturity stages 4, 5, and 6 corresponded to 3.0, 2.8, and 2.5%, respectively.
The municipality of San Bernardo had the lowest levels dif fering significantly (P<0.05) from the others based on their maturation process. The studies by Moreno and Deaquiz (2016) in Rubus alpinus showed concentrations of 2.28 and 1.85% at stages 5 and 6 TTA, respectively, indicating these high levels can be viewed positively for accessing a world-class market. Clark and Finn (2008) indicated that the United States industry prefers an original blackberry flavor, good color, low pH, high content of soluble solids and acidity. and low number of seeds, while, for consum ers, the qualities, such as sweetness, acidity, astringency, color, firmness, and absence of seeds are important for both processed and fresh fruits.

It is worthwhile to mention that TSS measurement is as sociated with dissolved sugars in the cell sap (Osterloh et al., 1996), and these authors claimed that the amount of sugars in fruit would be determined by the variety, the as-similatory performance of leaves, the relationship between leaf and fruit, and the climatic conditions during fruit development, among others.
However, the results found in our study (Fig. 4B) can be compared with other blackberry studies; for example, Grijalba et al. (2010) recorded an average of 5.69 °Brix atmaturity stage 4, values lower than those obtained by other authors, such as Vasquez et al. (2006), who recorded values between 7.7 and 9.1 °Brix for Castilla blackberry, whereas Tosun et al. (2008) reported values of 7-11 °Brix of blackberries in Brazil. Ali et al. (2011) explained that variations may occur in the chemical content in response to the location of the crop, especially due to differences in temperature ranges, which influence the organoleptic characteristics of fruits (Osterloh et al., 1996). Therefore, lower TSS results obtained from the municipality of Pasca werenormal because of its high elevation site and, conse quently, a lower average temperature than from the other municipalities (Fischer and Orduz-Rodriguez, 2012).
The color is an important parameter to assess as harvest index during the ripening of many fruits. The NTC 4106 standard (Icontec, 1997) provides a visual color scale with six stages of maturity for blackberry fruits along with ima ges and descriptions for each maturity stage, which were established using subjective evaluations.
Figure 5 shows the behavior of the parameters L, a. and b, based on the Hunter Lab scale in the four evaluated municipalities. The L component represents the variation between black and white, where black = 100 and white = 0. a parameter does not have a numerical limit defined and its positive value indicates a trend towards the red hue, while its negative value indicates a trend toward green. The parameter b also has a definite numerical limit and its positive value indicates a trend toward the yellow hue, while its negative value indicates a tendency towards blue tone (Hunterlab, 2012).

A clear decrease of the L as maturity progresses was ob served (Fig. 5) indicated the trend that fruit acquire to be come darker, just as the value b is abruptly reduced showing the trend that takes the fruit to the blue color. Finally, figure 5 shows that there were no negative values eliminating the green color of the fruit structure, however, it indicated a positive decrease placing the fruit in an increasingly clear red hue. This reduction is explained by the change to purple red hue of the fruits during ripening due to the appearance of pigments, such as anthocyanins (García, 2012).
The trend of color change of the harvested fruit as the same, however significant differences in the intensity of the colors were evident (Fig. 5). Blackberries from Silvania were the most attractive ones because of their dark color, which may be through the Castilla and San Antonio combination or can also be a reaction of hydric stress in these zones un like the other municipalities. Terry et al. (2007) affirmed, for strawberry plants, that irrigation shortage resulted in berries with higher concentrations of anthocyanins and antioxidant capacity.
Currently it is not accurate to recommend an optimal development of crop production based just on rainwater supply, even if Colombia presents a bimodal rainfall system. It was evident that the one year period of rainwater received failed to meet the basic needs, not even for the projected yield spectations.
It is highly recommended to implement a drip irrigation system, which is friendly to water use without generating unexpected cost increases and ensures the plant health.
For blackberry crops in Cundinamarca, simple adjust ments in fertilization plans can contribute to a significantly improved both physical and biochemical quality of fruits.
A high percentage of titratable acidity and low concentra tions of total soluble solids are observed, this is positive but still is difficult to project these blackberries to an international market, basically due to the size of the fruit. Therefore,it is necessary to have scientific assistance fo cused on fruit quality along the time which allows to do the correct improve at the right time.
It was determined that the fruits from Silvania had the largest size, those from El Colegio were the sweetest ones and those from Pasca had the highest acidity and, finally, the most attractive color were found in fruits of Pasca and Silvania. So, each municipality has interesting characteris tics for marketing. Now, the next step is to homogenize and improve with research and constant accompaniment the qualities of blackberry fruits for the farmers of Colombia.
The authors thank the Corredor Tecnológico Agroindus-trial II - Fresa y Mora project, for allowing the realization of this study with the help and willingness of farmers in each area, under the direction of Dr. Martha Bolaños from blackberry sub-project, also thank to Mrs. Elizabeth Ama do, Mr. Julian Carrasco and Mr. Brian Albarracin for their support in obtaining data in the laboratory and to Mrs. Giovanna Quintero for her contributions.
2 Corresponding author. mfvergaras@unal.edu.co







