Protection of cultivations
Received: 09 June 2020
Accepted: 28 August 2021
DOI: https://doi.org/10.15446/agron.colomb.v39n2.94805
ABSTRACT: This study analyzed the toxicity by residual contact and the repellency effect of the essential oils of Rosmarinus officinalis, Mentha piperita, Melaleuca alternifolia, and Commiphora myr-rha and their mixtures on adult females of Tetranychus urticae in laboratory and protected cultivation. The essential oil of C. myrrha exhibited a LC50 of 0.55 ml L-1, and the mixtures R. officinalis + M. piperita + M. alternifolia + C. myrrha, C. myrrha + M. piperita, and C. myrrha + M. alternifolia showed 68%, 60%, and 36% mortality, respectively. The essential oils of C. myrrha and M. alternifolia showed 95 and 70% of repellency, respectively. Mixtures of C. myrrha + M. alternifolia, C. myrrha + M. piperita, and C. myrrha + R. officinalis provided repellency of 85, 74 and 73%, respectively. Toxicity by residual contact of the essential oil of C. myrrha in protected cultivation exhibited 93% mortality, while the acaricide fenpyroximate showed 80%. The constituents of essential oils were eucalyptol (49.66%), M. piperita menthol (48.53%), M. alternifolia terpinen-4-ol (48.93%), and C. myrrha benzyl benzoate (97.71%). The essential oil of C. myrrha and the mixtures R. officinalis + M. piperita + M. alternifolia + C. myrrha and C. myrrha + M. piperita showed significant mortality. However, further studies are needed to assess the cost/benefit ratio and the effects on non-target organisms.
Key words: Spider mite, mixtures, toxicity.
RESUMEN: El presente estudio analizó la toxicidad por contacto residual y el efecto repelente de los aceites esenciales de Rosmarinus officinalis, Mentha piperita, Melaleuca alternifolia y Commiphora myrrha y sus mezclas en hembras adultas de Tetranychus urticae en laboratorio y cultivo protegido. El aceite esencial de C. myrrha exhibió una Cl50 de 0.55 ml L-1 y las mezclas R. officinalis + M. piperita + M. alternifolia + C. myrrha, C. myrrha + M. piperita, y C. myrrha + M. alternifolia presentaron 68%, 60%, y 36% de mortalidad, respectivamente. Los aceites esenciales de C. myrrha y M. alternifolia mostraron 95 y 70% de repelencia, respectivamente. Las mezclas de C. myrrha + M. alternifolia, C. mirrha + M. piperita y C. myrrha + R. officinalis proporcionaron repelencia de 85, 74 y 73%, respectivamente. La toxicidad por contacto residual del aceite esencial de C. myrrha en cultivo protegido presentó una mortalidad del 93%, mientras que el acaricida fenpiroximato presentó un 80%. Los componentes de los aceites esenciales fueron: eucaliptol (49.66%), M. piperita mentol (48.53%), M. alternifolia terpinen-4-ol (48.93%), y C. myrrha bencil benzoato (97.71%). El aceite esencial de C. myrrha y las mezclas R. officinalis + M. piperita + M. alternifolia + C. myrrha y C. myrrha + M. piperita mostraron una mortalidad significativa. Sin embargo, se necesitan más estudios para evaluar la relación costo/beneficio y los efectos en organismos no objetivo.
Palabras clave: Acaro araña, mezclas, toxicidad.
Introduction
The two-spotted spider mite, Tetranychus urticae Koch (Acari: Tetranychidae), is a polyphagous cosmopolitan pest responsible for serious damage to crops of economic interest in irrigated and protected cultivation systems worldwide (Migeon et al., 2019). The considerable negative effect of this pest on agriculture is related to its short biological cycle, high fertility rate and ability to cause injuries (Araújo et al., 2020). The main form of control is through the application of synthetic acaricides, widely used throughout Brazil (Araújo et al, 2020). The indiscriminate use of these synthetic products has favored the selection of resistant populations (Monteiro et al., 2015). T. urticae is currently resistant to 95 active ingredients with different modes of action, with records of more than 500 cases of resistant populations in various regions of the world and Brazil (Mota-Sanchez & Wise, 2021). Additionally, these acaricides can cause other undesirable effects, such as biological imbalance due to the elimination of beneficial organisms (Efrom et al., 2012). Thus, there is a need to look for control alternatives that can minimize such problems. To this end, researchers have been investigating new acaricides based on essential oils extracted from plants. The literature reports the effects of essential oils and their constituents on several arthropods, including T. urticae (Mar et al., 2018). However, few studies have addressed the acaricidal properties of essential oils and their mixtures for the management of T. urticae in protected cultivation (Born et al., 2018).
This study evaluated the residual contact toxicity and the repelling effect of the essential oils of Rosmarinus officinalis (Lamiaceae), Mentha piperita (Lamiaceae), Melaleuca alternifolia (Myrtaceae) and Commiphora myrrha (Burseraceae) and their mixtures on adult females of T. urticae under laboratory conditions and protected cultivation.
Materials and methods
Biological material
The adult females of T. urticae were bred on jack bean (Canavalia ensiformis L. (Fabaceae) plants in air-conditioned rooms with 25±1°C, 65±3% relative humidity and 12 h photoperiod in the Núcleo de Desenvolvimento Científico e Tecnológico em Manejo de Pragas e Doenças (NUDE-MAFI) at the Centro de Ciências Agrárias e Engenharia at Universidade Federal do Espírito Santo - Campus de Alegre, Espírito Santo, Brazil (CCAE-UFES).
Obtaining the essential oils
Essential oils with 100% purity were purchased from the company Casa do Saboeiro® Ltda, located at Rio Grande do Sul, São Paulo, Brazil.
Chemical characterization of essential oils
The essential oils were analyzed by gas chromatography with flame ionization detector (GC/FID) (GC-2010 Plus, Shimadzu, Tokyo, Japan) and gas chromatography coupled to mass spectrometry (GC/MS) (QP2010 Plus, Shimadzu, Tokyo, Japan) adapting the methodology of Souza et al. (2017). The following chromatographic conditions were used in both analyses: capillary column of fused silica (30 m x 0.25 mm) with stationary phase Rtx®-5MS (0.25 μm of film thickness); N2 (in GC/FID analysis) and He (in GC/MS analysis) as carrier gas with a flow rate of 3.0 ml/ min; the oven temperature followed a schedule in which it remained at an initial temperature of 40°C for 3 min and then gradually increased by 3°C/min until it reached 240°C, maintaining this temperature for 5 min, with an injector temperature of 250°C, detector temperature of 280°C and split ratio of 1:30. GC/MS analysis was performed on equipment GCMS-QP2010 Plus with detector and AOC-5000 sample injection system (Shimadzu, Tokyo, Japan) operated by electronic impact with impact energy of 70 eV, scan speed of 1,000, scanning interval of 0.50 fragments sec-1, and detected fragments from 29 to 400 m/z.
The identification of the chemical components of the oils was carried out by comparing their mass spectra with those available in the Willey 7, NIST 05, NIST 05s teak spectrum database with the co-injection of standards and by the retention indexes (RI). To calculate the RI, a mixture of linear n-alkanes (C7 to C40) was used as standard. The calculated RI for each compound was compared with values reported in the literature (Adams, 2007).
Preparation of mixtures of essential oils
The blends of the essential oils of R. officinalis, M.piperita, M. alternifolia and C. myrrha were made in the following proportion (Tab. 1), according to the methodology proposed by Pavela (2015).

Residual contact toxicity test of essential oils and mixtures
The residual contact toxicity of essential oils was evaluated on adult females of T. urticae using the methodology adapted from Paes et al. (2015). Jack bean leaf discs with a 4.5 cm diameter were placed on a 6.5 cm diameter acrylic box with a 5 mm deep layer of a 1% ml L-1 agar-water solution; Tween 80 was diluted to a concentration of 0.05% (ml L-1). To spray the treatments (control (distilled water + Tween 80), essential oil + distilled water + Tween 80, and mixtures of essential oils at a 1:1 proportion + distilled water + Tween 80 at a concentration of 2% (ml L-1)) an airbrush calibrated to a pressure of 15 N m-2 was used, at a distance of 30 cm. Each leaf disc was infested with 20 adult female mites aged 5 d, placed on the underside of the leaf. For each essential oil, five replicates were performed, totaling 100 mites per treatment. The concentration of treatments was in accordance with Ataide et al. (2020).
The test was conducted in an air-conditioned chamber (temperature of 25±1°C, relative humidity of 70±10% and photoperiod of 12 h). After 24 h, adult female mortality was assessed. To confirm mortality, the mites were lightly touched with a fine bristle brush (number 00) on the dorsal area. Immobile mites were considered dead.
Lethal concentration estimate
The lethal concentration (LC) was estimated with essential oils that reached a mortality rate above 80%, calculated by PROBIT analysis (Finney, 1971). Therefore, the lethal concentration of myrrh essential oil was estimated on adult females of T. urticae. For this, seven concentrations were used: 0.0, 0.3, 0.5, 0.8, 1.2, 1.5, and 2.0% (ml L-1) of myrrh essential oil, with the lower limit (concentration that causes the death of about 10% of T. urticae) and higher (concentration that causes the death of about 90% of T. urticae) determined by preliminary tests. In the control, distilled water + Tween 80 was used; for the treatments, essential oil + distilled water + Tween 80 was used. This step of the test was performed according to the procedures adopted in the toxicity test. Mortality was assessed after 24 h.
Repellency test of essential oils and mixtures
The double choice chance method adapted from Aslan et al. (2004) was carried out using Petri dishes of 10 cm in diameter containing culture medium at 1% ml L-1 (water + agar). Two leaf discs of C. ensiformis (2.5 cm in diameter, treated and untreated) were placed in each Petri dish, joined by a glass coverslip (18 mm). The experiment was carried out in triplicate, with six replicates with 20 T. urticae, totaling 120 mites per treatment. Each treated leaf disc was immersed according to the proposed treatments: distilled water + essential oil + Tween 80 and the mixtures of essential oils at a 1:1 proportion + distilled water + Tween 80 at a concentration of 2% (ml L-1). The untreated discs were immersed in distilled water + Tween 80. After immersion, the leaf discs were placed to dry for 20 min at room temperature. Subsequently, 20 T. urticae adult females of 5 d of age were placed on the underside of the leaf in the center of the coverslip with the aid of a fine-bristle brush (number 00). The treatments were placed in an air-conditioned room (temperature of 25±1°C, relative humidity of 70±10% and photoperiod of 12 h). After 72 h, the number of mites present in the treated and untreated discs was counted. The mites present on the untreated discs were considered to be repelled by the essential oil.
Toxicity test by residual contact in protected cultivation
The experiment was carried out in a protected cultivation at the Centro de Ciências Agrárias e Engenharia at Universidade Federal do Espírito Santo (CCAE-UFES) located in Alegre, ES, Brazil. The upper part of the greenhouse of the protected cultivation was covered with 150 μm plastic film and the side was covered with Optinet 50 mesh anti-aphid screen.
Jack beans (Canavalia ensiformis var. Coriacea (Biblioth. Robot) (Fabaceae) were sown manually and deposited in disposable cups (100 ml) containing Provaso® (Agrosolo, Conceição da Barra, ES, Brazil) organic substrate. Irrigation was performed daily, with each plant receiving the same amount of water for irrigation. When the C. ensiformis plants reached the age of 14 d, uniform plants were selected. After 10 d, the inoculation of 5,000 adult females of T. urticae was carried out. Ten d after inoculation, spraying was performed with an airbrush calibrated at a pressure of 15 N m-2 at a distance of approximately 30 cm from C. ensiformis plants, with a volume of 5 ml of the syrup of the aforementioned treatments.
Approximately 1 ml was sprayed on the upper and lower sides of each leaf of C. ensiformis; the treatments were as follows: distilled water + Tween 80 (control), C. myrrha essential oil + distilled water + Tween 80 (treatment) at LC95 and the acaricide fenpyroximate from the chemical group pyrazole + distilled water (positive treatment) at the commercial concentration.
The experimental design was in randomized blocks, with three treatments, five replicates and five blocks. Each block consisted of 15 plants, with five plants from each treatment arranged at random. After 24 h of exposure to treatments, the total number of live and dead mites was counted. To confirm mortality, the mites were lightly touched with a fine bristle brush (number 00); immobile mites were considered dead. The temperature of the protected cultivation varied between 25°C and 38°C, and the humidity between 40% and 85%.
Data analysis
For the acute toxicity test, an ANOVA was applied and then the means were compared by the Scott-Knott test (P<0.05). For the pair test, the Pearson's chi-square test was applied. The concentration-response curves as well as the lethal concentration (LC50) of the essential oil of myrrh were subjected to PROBIT analysis (Finney, 1971). In the test in protected cultivation, a randomized block design was used, with means compared by the Tukey's test (P≤0.05). All analyzes were performed using R software (R Development Core Team, 2010).
Results
Chemical characterization of essential oils
In the gas chromatography analysis with flame ionization detector (GC/FID), eight constituents were identified in the essential oil of R. officinalis, in which eucalyptol (49.66%), α-Pinene (17.08%) and camphor (14.79%) were the main ones. Fourteen constituents were identified in the essential oil of M. alternifolia, with terpinen-4-ol (48.93%) and Y-Terpinene (20.88%) being the main ones. Nine constituents were found in the essential oil of M. piperita, in which menthol (48.53%) and menthone (24.25%) were the main ones. Two constituents were identified in the essential oil of C. myrrha, with benzyl benzoate (97.71%) being the main one (Tab. 2).

Residual contact toxicity test of essential oils and mixtures
The residual contact toxicity of essential oils and their mixtures against adult females of T. urticae is shown in Figure 1. The essential oil C. myrrha exhibited 95% mortality (F11,48 = 119.12; P<0.001), and the mixtures R. officinalis + M. piperita + M. alternifolia + C. myrrha, C. myrrha + M. piperita, and C. myrrha + M. alternifolia showed 68%, 60% and 36% (F11,48 = 119.12; P<0.001).

Lethal concentration
The lethal concentration of the essential oil of C. myrrha showed an LC95 of 1.6 ml L-1 and an LC50 of 0.55 ml L-1 (Tab. 3).

Repellency test of essential oils and mixtures
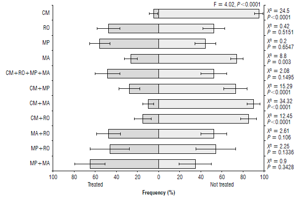
The repellency effect of essential oils and their mixtures in adult females of T. urticae is shown in Figure 2. Among the essential oils and their mixtures, the essential oils of C. myrrha and M. alternifolia showed 95 and 70% of repellency, respectively (F10 89= 4.020; P<0.001). Mixtures of C. myrrha + M. alternifolia, C. myrrha + M. piperita, and C. myrrha + R. officinalis provided repellency of 85, 74 and 73%, respectively (F10>89 = 4.020; P<0.001).

Toxicity test by residual contact in protected cultivation
The essential oil of C. myrrha showed 93% toxicity against adult females of T. urticae in protected cultivation, whereas the fenpyroximate showed 80% toxicity (F2, 8 = 545.24; P<0.001) (Fig. 3).

Discussion
The major constituent identified in the essential oil of C. myrrha was benzyl benzoate (97.71%) which differed from the major constituents identified by Mohamed et al. (2014). The major constituents in the essential oil of M. piperita were menthol (48.53%) and menthone (24.25%), which were the same major constituents found by Kizil et al. (2010) and Moghaddam et al. (2013). The major constituents found in M. alternifolia were terpinen-γ-ol (48.93%) and γ-Terpinene (20.88%), with the same major constituents found by Zhang et al. (2018) and Silva et al. (2019). In the essential oil of R. officinalis, the major constituents found were eucalyptol (49.66%), α-Pinene (17.08%) and camphor (14.79%); similar results were found by Borges et al. (2018) and Jardak et al. (2017) for constituents α-Pinene and camphor.
This study found that the essential oil of C. myrrha showed residual contact toxicity against adult females of T. urticae, exhibiting an LC50 of 0.55 ml L"1. Araújo et al. (2012) found that the essential oil of Piper aduncum, Piperaceae showed an LC50of 7.17 μl mA on adults of T. urticae.Ribeiro et al. (2019) evaluated four different Citrus sp. essential oils on T. urticae. Of these, the essential oil of Citrus limon, Rutaceae showed an LC50 of 25.18 μl ml-1 L. Essential oils that show efficiency in the control of pest arthropods by residual contact can penetrate the tegument layers (Enan, 2001). Consequently, since essential oils are made up of several substances, they can act in more than one place exhibiting a neurotoxic action (Isman, 2006).
The mixtures of R. officinalis + M. piperita + M. alternifolia + C. myrrha and C. myrrha + M. piperita at a 1:1 ratio showed promising results in terms of the toxic effect from residual contact on adult females of T. urticae with intermediate toxicity, which resulted in an additive interaction. Although we did not find synergistic effects, this type of interaction has been described by Mwaiko (1992) for mixtures of bark essential oils from two species of Citrus (C. limon, C. aurantium, Rutaceae) against Culex pipiens L. (Diptera: Culicidae) larvae. Benelli et al. (2017) evaluated the acute toxicity of binary mixtures of essential oils of the Apiaceae family on the larvae of C. quinquefasciatus, an important vector of filariasis, and found that Trachysper-mum ammi Apiaceae + Pimpinella anisum, Apiaceae (1:2 ratio) and S. olusatrum + P. anisum (1:1 ratio) were the most toxic to the pest.
The repellent effect of essential oils in integrated pest management is important; as these substances keep pests away from the crop, damage is minimized (Da Cámara et al., 2015). The results of the repellency tests suggest that the essential oils of C. myrrha and M. alternifolia and the mixtures of C. myrrha + M. piperita, C. myrrha + M. alternifolia and C. myrrha + R. officinalis showed a repellent effect on females of T. urticae. In previous studies, Araújo Júnior et al. (2010) found that the essential oils of C. aurantium and C. sinensis var. Mimo showed repellency of T. urticae at a concentration below 2.5%, while the essential oil of C. sinensis var. Pear had a neutral effect. Sararit and Auamcharoen (2020) observed that the essential oils of Anethum graveolens and Allium sativum exhibited repellency of adult females of T. urticae at concentrations of 15 to 20%. Farahani et al. (2020) noted that essential oils of Thymus daenensis (Lamiaceae), Satureja khuzestanica (Lamiaceae), and Satureja bakhtiarica (Lamiaceae) showed repellency against adult T. urticae. The repelling action of essential oils triggers an escape behavior of mites, detected by the olfactory sensilla present in the legs (Missbach et al, 2014; Oliveira et al, 2018).
The tests in protected cultivation confirmed the laboratory observations that the essential oil of C. myrrha was toxic to adult females of T. urticae. In a study carried out to avoid the spread of mites in a greenhouse, Da Cámara et al. (2015) observed that the essential oils of C. sinensis and C. aurantium were repellent to T. urticae. The essential oil of C. aurantium, in particular, prevented the dispersion of the pest for a period of 1 week. In a greenhouse trial, Potenza et al. (2006) observed toxicity by contact of the aqueous extract of Allamanda cathartica (Apocynaceae), Dieffenbachia brasiliensis (Araceae), Cenchrus purpureus (Schumach.) Morrone (Poaceae), Annona squamosa (Annonaceae), Ruta graveolens (Rutaceae), Sonchus oleraceus (Asteraceae), Spondias purpurea (Anacardiaceae), Lyte-chinus variegatus (Euphorbiaceae), Impatiens walleriana (Balsaminaceae), Stryphnodendron adstringens (Fabaceae), Solanum melongena (Solanaceae), Campsiandra angustifolia var. angustifolia (Fabaceae), and Allium (Amaryllidaceae) on T. urticae. However, only plants with D. brasiliensis, R. graveolens, A. squamosa, S. oleraceus, I. walleriana, A. angustifolia, S. adstringens, and S. melongena promoted a significant reduction in the population of T. urticae of between 60 and 86%. In another study, EcoTrol (containing 10% rosemary oil), a pesticide based on the essential oil of rosemary, proved to be efficient in the control of T. urticae in a greenhouse (Miresmailli & Isman, 2006).
Conclusions
The essential oil of C. myrrha and the binary and quaternary mixtures C. myrrha + M. piperita and R. officinalis + M. piperita + M. alternifolia + C. myrrha, showed significant mortality in this study. The essential oil of C. myrrha, in turn, showed results in a protected cultivation similar to those obtained with the application of commercial acaricides for the control of T. urticae in orchards and in a protected system in Brazil. This study shows the feasibility of using a botanical acaricide with C. myrrha essential oil as an active ingredient for the management of T. urticae. However, for large-scale use, studies to reduce essential oil production costs and the effects on non-target organisms are needed.
Acknowledgments
The authors acknowledge the help of Coordenação de Aperfeiçoamento de Pessoal de Nível Superior (CAPES), Brazil.
Literature cited
Adams, R. P. (2007). Identification of essential oil components by gas chromatography/mass spectrometry (4th ed.). Allured Publishing Corporation.
Araújo Júnior, C. P., Camara, C. A. G., Neves, I. A., Ribeiro, N. C., Gomes, C. A., Moraes, M. M., & Botelho, P. S. (2010). Acaricidal activity against Tetranychus urticae and chemical composition of peel essential oils of three Citrus species cultivated in NE Brazil. Natural Product Communications, 5(3), 471-476. https://doi.org/10.1177/1934578X1000500326
Araújo, M. J. C., Câmara, C. A. G., Born, F. S., & Moraes, M. M. (2020). Acaricidal activity of binary blends of essential oils and selected constituents against Tetranychus urticae in laboratory/greenhouse experiments and the impact on Neoseiulus californicus. Experimental and Applied Acarology, 80, 423-444. https://doi.org/10.1007/s10493-020-00464-8
Araújo, M. J. C., Câmara, C. A. G., Born, F. S., Moraes, M. M., & Badji, C. A. (2012). Acaricidal activity and repellency of essential oil from Piper aduncum and its components against Tetranychus urticae. Experimental and Applied Acarology, 57, 139-155. https://doi.org/10.1007/s10493-012-9545-x
Aslan, I., Özbek, H., Çalmaçur,Ö., & §ahin, F. (2004). Toxicity of essential oil vapours to two greenhouse pests, Tetranychus urticae Koch and Bemisia tabaci Genn. Industrial Crops and Products, 19(2), 167-173. https://doi.org/10.1016/jindcrop.2003.09.003
Ataide, J. O., Pratissoli, D., Fragoso, D. F. M., & Pinheiro, P. F. (2020). Caracterização e atividade inseticida do óleo essencial de Zingiber officinale Roscoe - Zingiberaceae sobre Duponchelia fovealis Zeller, 1847 (Lepidoptera: Crambidaej. Revista em Agronegócio e Meio Ambiente, 13(2), 693-705. https://doi.org/10.17765/2176-9168.2020v13n2p693-705
Benelli, G., Pavela, R., Iannarelli, R., Petrelli, R., Cappellacci, L., Cianfaglione, K., Afshar, F. H., Nicoletti, M., Canale, A., & Maggi, F. (2017). Synergized mixtures ofApiaceae essential oils and related plant-borne compounds: larvicidal effectiveness on the filariasis vector Culex quinquefasciatus Say. Industrial Crops and Products, 96, 186-195. https://doi.org/10.1016/j.indcrop.2016.11.059
Borges, R. S., Keita, H., Ortiz, B. L. S., Sampaio, T. I. S., Ferreira, I. M., Lima, E. S., Silva, M. J. A., Fernandes, C. P., Oliveira, A. E. M. F. M., Conceição, E. C., Rodrigues, A. B. L., Pereira Filho, A. C. M., Castro, A. N., & Carvalho, J. C. T. (2018).Antiinflammatory activity of nanoemulsions of essential oil from Rosmarinus officinalis L.: in vitro and in zebrafish studies. Inflammopharmacology, 26, 1057-1080. https://doi.org/10.1007/s10787-017-0438-9
Born, F. S., Camara, C. A. G., Melo, J. P. R., & Moraes, M. M. (2018). Acaricidal property of the essential oil from Lippia gracilis against Tetranychus urticae and a natural enemy, Neoseiulus californicus, under greenhouse conditions. Experimental and Applied Acarology, 75, 491-502. https://doi.org/10.1007/s10493-018-0286-3
Da Camara, C. A. G., Akhtar, Y., Isman, M. B., Seffrin, R. C., & Born, F. S. (2015). Repellent activity of essential oils from two species of Citrus against Tetranychus urticae in the laboratory and greenhouse. Crop Protection, 74, 110-115. https://doi.org/10.1016/j.cropro.2015.04.014
Efrom, C. F. S., Redaelli, L. R., Meirelles, R. N., & Ourique, C. B. (2012). Side-effects of pesticides used in the organic system of production on Apis mellifera Linnaeus, 1758. Brazilian Archives of Biology and Technology, 55(1), 47-53. https://doi.org/10.1590/S1516-89132012000100005
Enan, E. (2001). Insecticidal activity of essential oils: octopaminergic sites of action. Comparative Biochemistry and Physiology, 130(3), 325-337. https://doi.org/10.1016/S1532-0456(01)00255-1
Farahani, S., Bandani, A. R., & Amiri, A. (2020). Toxicity and re-pellency effects of three essential oils on two populations of Tetranychus urticae (Acari: Tetranychidae). Persian Journal of Acarology, 9(1), 67-81.
Finney, D. J. (1971). Probit analysis. Cambridge University Press.
Isman, M. B. (2006). Botanical insecticides, deterrents, and repellents in modern agriculture and an increasingly regulated world. Annual Review of Entomology, 51, 45-66. https://doi.org/10.1146/annurev.ento.51.110104.151146
Jardak, M., Elloumi-Mseddi, J., Aifa, S., & Mnif, S. (2017). Chemical composition, anti-biofilm activity and potential cytotoxic effect on cancer cells of Rosmarinus officinalis L. essential oil from Tunisia. Lipids in Health and Disease, 16, Article 190. https://doi.org/10.1186/s12944-017-0580-9
Kizil, S., Haçimi, N., Tolan, V., Kilinç, E., & Yüksel, U. (2010). Mineral content, essential oil components and biological activity of two mentha species (M. piperita L., M. spicata L.). Turkish Journal of Field Crops, 15(2), 148-153.
Mar, J. M., Silva, L. S., Azevedo, S. G., França, L. P., Goes, A. F. F., Santos, A. L., Bezerra, J. A., Nunomura, R. C. S., Machado, M. B., & Sanches, E. A. (2018). Lippia origanoides essential oil: an efficient alternative to control Aedes aegypti, Tetranychus urticae and Cerataphis lataniae. Industrial Crops and Products, 111, 292-297. https://doi.org/10.1016/j.indcrop.2017.10.033
Migeon, A., Tixier, M. S., Navajas, M., Litskas, V. D., & Stavrinides, M. C. (2019). A predator-prey system: Phytoseiulus persimilis (Acari: Phytoseiidae) and Tetranychus urticae (Acari: Tetranychidae): worldwide occurrence datasets. Acarologia, 59(3), 301-307. https://doi.org/10.24349/acarologia/20194322
Miresmailli, S., & Isman, M. B. (2006). Efficacy and persistence of rosemary oil as an acaricide against twospotted spider mite (Acari: Tetranychidae) on greenhouse tomato. Journal of Economic Entomology, 99(6), 2015-2023. https://doi.org/10.1093/jee/99.6.2015
Missbach, C., Dweck, H. K. M., Vogel, H., Vilcinskas, A., Stensmyr, M. C., Hansson, B. S., & Grosse-Wilde, E. (2014). Evolution of insect olfactory receptors. eLife, 3, Article e02115. https://doi.org/10.7554/eLife.02115
Moghaddam, M., Pourbaige, M., Tabar, H. K., Farhadi, N., & Hos-seini, S. M. A. (2013). Composition and antifungal activity of peppermint (Menthapiperita) essential oil from Iran. Journal of Essential Oil Bearing Plants, 16(4), 506-512. https://doi.org/10.1080/0972060X.2013.813265
Mohamed, A. A., Ali, S. I., EL-Baz, F. K., Hegazy, A. K., & Kord, M. A. (2014). Chemical composition of essential oil and in vitro antioxidant and antimicrobial activities of crude extracts of Commiphora myrrha resin. Industrial Crops and Products, 57, 10-16. https://doi.org/10.1016/j.indcrop.2014.03.017
Monteiro, V. B., Gondim Jr., M. G. C., Oliveira, J. E. M., Siqueira, H. A. A., & Sousa, J. M. (2015). Monitoring Tetranychus ur-ticae Koch (Acari: Tetranychidae) resistance to abamectin in vineyards in the Lower Middle São Francisco Valley. Crop Protection, 69, 90-96. https://doi.org/10.1016/j.cropro.2014.12.012
Mota-Sanchez, D., & Wise, J. C. (2021). The arthropod pesticide resistance database. Michigan State University. http://www.pesticideresistance.org
Mwaiko, G. L. (1992). Citrus peel oil extracts as mosquito larvae insecticides. East African Medical Journal, 69(4), 223-226.
Oliveira, A. P., Santos, A. A., Santana, A. S., Lima, A. P. S., Melo, C. R., Santana, E. D. R., Sampaio, T. S., Blank, A. F., Araújo, A. P. A., Cristaldo, P. F., & Bacci, L. (2018). Essential oil of Lippia sidoides and its major compound thymol: toxicity and walking response of populations of Sitophilus zeamais (Coleoptera: Curculionidae). Crop Protection, 112, 33-38. https://doi.org/10.1016/j.cropro.2018.05.011
Paes, J. P. P., Rondelli, V. M., Costa, A. V., Vianna, U. R., & Queiroz, V. T. (2015). Caracterização química e efeito do óleo essencial de Erva-de-Santa-Maria sobre o ácaro-rajado de morangueiro. Revista Brasileira de Fruticultura, 37(2), 346-354. https://doi.org/10.1590/0100-2945-057/14
Pavela, R. (2015). Acute toxicity and synergistic and antagonistic effects of the aromatic compounds of some essential oils against Culex quinquefasciatus Say larvae. Parasitology Research, 114, 3835-3853. https://doi.org/10.1007/s00436-015-4614-9
Potenza, M. R., Gomes, R. C. O., Jocys, T., Takematsu, A. P., & Ramos, A. C. O. (2006). Avaliação de produtos naturais para o controle do ácaro rajado Tetranychus Urticae (Koch, 1836) (Acari: Tetranychidae) em casa de vegetação. Arquivos do Instituto Biológico, 73(4), 455-459.
R Development Core Team. (2010). R: a language and environment for statistical computing, reference indexversion2.12.1. R Foundation for Statistical Computing.
Ribeiro, N. C., Camara, C. A. G., Melo, J. P. R., & Moraes, M. M. (2019). Acaricidal properties of essential oils from agro-industrial waste products from citric fruit against Tetranychus urticae. Journal of Applied Entomology, 143, 731-743. https://doi.org/10.1111/jen.12642
Sararit, P., & Auamcharoen, W. (2020). Biological activities of essential oils from Anethumgraveolens L. and Allium sativum L. for controlling Tetranychus truncatus Ehara and Tetranychus urticae Koch. Journal of Biopesticides, 13(1), 1-12.
Silva, C. S., Figueiredo, H. M., Stamford, T. L. M., & Silva, L. H. M. (2019). Inhibition of Listeria monocytogenes by Melaleuca alternifolia (tea tree) essential oil in ground beef. International Journal of Food Microbiology, 293, 79-86. https://doi.org/10.1016/j.ijfoodmicro.2019.01.004
Souza, T. S., Ferreira, M. F. S., Menini, L., Souza, J. R. C. L., Parreira, L. A., Cecon, P. R., & Ferreira, A. (2017). Essential oil of Psidium guajava: influence of genotypes and environment. Scientia Horticulturae, 216, 38-44. https://doi.org/10.1016/j.scienta.2016.12.026
Zhang, X., Guo, Y., Guo, L., Jiang, H., & Ji, Q. (2018). In vitro evaluation of antioxidant and antimicrobial activities of Melaleuca alternifolia essential oil. BioMed Research International, 2018, Article 2396109. https://doi.org/10.1155/2018/2396109
Notes
Author notes
*Corresponding author: julielsonoliveira@hotmail.com