Soils, fertilization and management of water
Received: 14 June 2022
Accepted: 16 January 2023
DOI: https://doi.org/10.15446/agron.colomb.v41n1.103161
ABSTRACT: Mabea fistulifera Mart. (common name: canudo-de-pito) belongs to the Euphorbiaceae family and is a native tree species in Brazil showing a high potential to recover degraded lands. This study aimed to evaluate the distribution and spatial correlation between the dendrometric parameters of the M. fistulifera plants and the physical attributes of the soil through geostatistics. The study was carried out at the Paulista State University (UNESP), in the city of Selvíria, MS, Brazil, in a typical dystrophic Red Oxisol with a clayey texture. The following properties were analyzed: for soil, penetration resistance, gravimetric moisture, particle density, and, for plants, circumference and diameter at breast height (measured at 130 cm above the ground), tree height, and total volume of the tree. An experiment grid was introduced with 35 sample points spaced 13 m x 13 m. Two soil samples were taken at each point, at 0.00 - 0.10 m, and 0.10 -0.20 m depth. Descriptive data analysis and spatial dependence analysis were carried out through semivariogram adjustments and kriging maps. The dendrometric properties of the species M. fistulifera and the soil gravimetric moisture content showed spatial dependence. The spherical semivariogram model best explained the spatial structure of circumference at breast height, diameter at breast height, tree volume, and soil gravimetric moisture. There was an emphasis on the correlation between the total volume of the tree as a function of the diameter at breast height, showing a moderate spatial dependence. Furthermore, the tree diameter at breast height proved to be a good indicator for determining the total height of the M. fistulifera tree.
Key words: Precision agriculture, geostatistics, kriging maps, canudo-de-pito.
RESUMEN: Mabea fistulifera Mart. (nombre común: canudo-de-pito) pertenece a la familia Euphorbiaceae y es una especie arbórea nativa de Brasil que presenta un alto potencial para ser utilizada en la recuperación de áreas degradadas. Este estudio tuvo como objetivo evaluar la distribución y correlación espacial entre parámetros dendrométricos de plantas de M. fistulifera y los atributos físicos del suelo a través de geoestadística. El estudio fue realizado en la Universidade Estadual Paulista (UNESP) en la ciudad de Selvíria, MS, Brasil; se utilizó un Oxisol rojo distrófico típico de textura arcillosa. Los atributos analizados del suelo fueron: resistencia a la penetración, humedad gra-vimétrica, densidad de partículas, mientras que en plantas se analizaron circunferencia y diámetro a la altura del pecho (medido a 130 cm del suelo), altura del árbol y volumen total del árbol. Se introdujo una malla experimental con 35 puntos de muestreo espaciados en 13 m x 13 m. Se tomaron dos muestras de suelo en cada punto, una de 0.00 - 0.10 m de profundidad y otra de 0.10 - 0.20 m de profundidad. El análisis de datos descriptivos y el análisis de dependencia espacial se realizaron mediante ajustes de semivariograma y mapas de kriging. Las propiedades dendrométricas de la especie M. fistulifera y la humedad gravimétrica mostraron dependencia espacial. El modelo de semivariograma esférico explicó mejor la estructura espacial de la circunferencia y diámetro a la altura del pecho, el volumen total del árbol y la humedad gravimétrica del suelo. Se hizo énfasis en la correlación entre el volumen total del árbol en función del diámetro a la altura del pecho, mostrando una dependencia espacial moderada. Además, el diámetro del árbol a la altura del pecho resultó ser un buen indicador para determinar la altura total de la planta de M. fistulifera.
Palabras elave: Agricultura de precisión, geoestadística, mapas kriging, canudo-de-pito.
Introduction
Mabea fistulifera Mart. belongs to the Euphorbiaceae family and is a native tree species popularly known in Brazil as "canudo-de-pito". Its trees reach height from 6 to 15 m with trunks up to 30 cm in diameter. It is found mainly in riverside areas in Brazil (Reflora, 2019). The wood of this species is used for small interior projects. The plant is not demanding in terms of soil fertility, showing a high potential to be used to recover degraded lands. It has the characteristics of improving the physical and chemical conditions of the soil and the microclimatic conditions of the area (Giácomo et al., 2019).
According to Barroso et al. (2021), M. fistulifera can be used in phytoremediation programs for soils contaminated with hormonal herbicides. Their results showed that it can be used to compose riparian forests, preventing the entry of herbicides into the water. In a complementary manner, this tree species proved to be tolerant to the presence of hormonal herbicides and can be used for the recovery of natural areas in phytoremediation programs.
In agroforestry systems, planting M. fistulifera increases the soil organic matter content due to frequent pruning carried out on the plants (Farias & Souza, 2009). It is a plant with the ability to adapt, develops in open environments (forest edges), and accommodates itself in the forest shade by adapting its canopy architecture to small spaces (Carvalho et al., 2018). Also, its great economic potential for pollen production stands out, with flowering peaking from April to May, which coincides with the beginning of the dry season in the region and, consequently, a time of greater food scarcity for insects. During this period, many insect species use pollen as a food source (Daud & Feres, 2004).
Sustainable agricultural production and conservation of natural resources are parameters to be considered in the implementation of new agricultural practices. The current trend of an increasingly demanding market is to produce safer food, with reduced labor, and less environmental contamination, factors that contributed to the increase in the use of precision agriculture (Bassoi et al., 2019). Precision agriculture techniques are based on spatial variability and allow the application of fertilizers, correctives, seeds, and pesticides in specific areas, enabling rational use of inputs by identifying the location and correct dose of application, generating economic and environmental benefits (Ezenne et al., 2019).
Physical attributes of the soil are good indicators of the soil quality and assist management practices (Oliveira et al., 2021). The use of geostatistics characterizes the spatial variability of soil attributes that can determine management practices, such as fertilization and liming, and verify the vertical and horizontal heterogeneity of the soil (Gelain, 2021). Therefore, geostatistics, using semivariograms and kriging maps, can establish which soil attribute is associated with the development and production of plants.
Oliveira, Oliveira, Valente et al. (2020), studying the spatial correlation between agricultural productivity and mechanical resistance to penetration, found that crop development is negatively influenced by soil compaction. Therefore, regions where there is an increase in soil density, with a reduction in its porosity, show lesser development of the trees.
The study of forest species that are adapted to anthropized areas, such as M. fistulifera, is paramount for regeneration and protection projects in degraded lands (Gomes Júnior & Lopes, 2017). Information on the spatial variability of soil and plant properties in a M. fistulifera plantation is still limited. Thus, this study aimed to evaluate the distribution and spatial correlation of the M. fistulifera dendrometric properties and the physical attributes of the soil using geostatistics tools.
Materials and methods
The study was carried out in an experimental area at the Teaching, Research, and Extension Farm of the Faculty of Engineering of Ilha Solteira - Paulista State University (UNESP), in the city of Selvíria, MS, Brazil. The trees were planted in 2011, with spacing of 3 m x 3 m between plants, for recovery purposes in a degraded area.
The soil of the experimental area is classified as typical dystrophic Red Oxisol of clayey texture (Santos et al., 2018). The city is located at 20°20' S and 51°23' W, with an altitude of 335 m a.s.l. According to Köppen's precepts, mentioned by Alvares et al. (2014), the climate of the region is megathermic moisture tropical (Aw), with a rainy summer and a dry winter, with the rainiest months from December to March and the driest from June to September. The average annual temperature is 22.7°C with annual rainfall ranging from 1,200 mm to 1,500 mm (Martins & Montanari, 2021).
Initially, on April 12, 2019, a georeferencing was carried out with demarcation of 35 points distributed every 13 m divided into 5 rows of 7 points each (Fig. 1).

Then, a manual auger was used to remove 2 soil subsamples at each sampling site, in the 0.00-0.10 m, and 0.10-0.20 m layer. Subsequently, the 2 subsamples were mixed to obtain a representative sample of each sampling point. They were packed in plastic bags and sent to the laboratory.
The collected soil samples were crushed and passed through a 2.0 mm sieve. Then the samples were placed to dry on a paper for 1 d for later analysis.
The analyzed attributes in the soil layer 0.00-0.20 m were: penetration resistance (PR) (MPa), gravimetric moisture content (GM) (kg kg4), and particle density (PD) (kg drn3).
For the determination of gravimetric moisture, a soil sample was collected, simultaneously the PR was determined, using a cup auger. Gravimetric moisture content was calculated according to Equation 1 (Teixeira et al, 2017):

where: GM=gravimetric moisture content (kg kg-1), WW=wet weight of soil (g), DW=oven-dry weight of soil (g) at 105°C.
Soil particle density (PD) was obtained through the volumetric flask method (Teixeira et al., 2017). The volume of alcohol needed to complete the capacity of a 50 ml volumetric flask containing oven-dried soil was determined.
Then the PD was calculated using Equation 2 (Teixeira et al, 2017):

where: PD=particle density (g cm-3), MSD=mass of the soil dried at 105°C (g), and V=volume of alcohol used (m3).
The soil penetration resistance (PR) was evaluated by the impact penetrometer and calculated according to Equation 3 (Rosa Filho et al, 2009):

where PR = penetration resistance of the soil (MPa), N = number of impacts given by the penetrometer hammer to obtain the readings, A and P are the readings before and after the impacts (cm), respectively. The Penetration Resistance 1 (PR1) was obtained in the 0.00-0.10 m layer, the Penetration Resistance 2 (PR2) was obtained in the 0.100.20 m layer, and the Average Soil Penetration Resistance (APR) was obtained in the 0.00-0.20 m layer.
The dendrometric variables of the plant included: trunk circumference at breast height (CBH), measured at 1.30 m above the ground with the aid of a tape measure; trunk diameter at breast height (DBH), calculated from CBH (cm) using the formula: СВН/тт. Plant height (PH) (m) was measured with a Haglof® electronic clinometer at 10 m away from the tree, and tree crown volume (TV) was calculated from the stem + crown dimensions using Equation 4 (Martins & Montanari, 2021):

Statistical analysis
Pearson correlations were used to study the dendrometric properties and physical attributes of the soil. A network of correlations was obtained and tabled. The positive correlations were highlighted in green, while the negative ones were highlighted in red. Line thicknesses express the magnitude of the correlation between the attributes; thicker lines represent high magnitude, thinner lines indicate low magnitude.
For all attributes analyzed, a descriptive analysis of parameters was carried out, including mean, minimum, maximum, standard deviation, coefficient of variation (CV), kurtosis, asymmetry, test probability, and frequency distribution (FD). Pimentel-Gomes and Garcia (2002) follow a classification based on CV values: low CV < 10%; medium (10% < CV < 20%); high (20% < CV < 30%) and very high (CV > 30%). To test the hypothesis of normality of the attributes, the Shapiro-Wilk (1965) test was used at a 5% errorprobability I n it, t h e W stat i st ic te st s t he nul 1 hypothesis that considers the sample coming from a population with sampling distribution (Dalchiavon, 2012). All analyses were carried out u sing the RBio software (Bhering, 2017).
Spatial dependence was analyzed through semivariogram adjustments (Vieira et al., 2002), based on the stationarity assumption of the intrinsic hypothesis, which is estimated by Equation 5:

where: N(h)= the number o f ob serve d experimental pairs Z(xi) and Z(xi + h) separated by a distance h. The semivariogram is represented by the graph
(h) versus h whose adjustments were made by mathematical theoretic models with the aid of the GS+ 7.0 software that characterized the parameters of the semivariogram and the spatial dependency of the attributes.
The adjustments of the models were carried out by selecting the sum af the square of the residue (SSR), coefficient of determination (r2), and spatial dependence evaluator (SDE).
The following parameters were used to adjust a mathematical model to the data:nugget effect (C1), contribution (Q), sill (C0 + C1), and range (A0). The spatial dependence evaluator (SDE) was calculated using Equation 6:

According to Cambardella et al. (1994), the SDE values have the following classification: strong spatial dependence (SDE(%) ≤ 25%), moderate spatial dependence (25% < SDE(%) ≤ 75%), and weak spatial dependence (SDE(%) > 75%).
For the adjustment of the semivariograms, cross-validation was carried out to evaluate alternative models of simple and crossed semivariograms, using kriging and cokriging maps (Oliveira, Oliveira, Oliveira et al., 2020), which are very informative descriptors in terms of detail in the graphics. In this technique, each point contained within the spatial domain is excluded individually, and its value is estimated as if it did not exist. In this way, it is possible to construct a graph of estimated values versus observed values for all analyzed points.
To obtain the ideal number of neighbors, the data were interpolated, and then the spatial dependence and interdependence between the attributes were evaluated, using kriging and cokriging maps.
Results and discussion
The junctions between the dendrometric properties of the species M.fistulifera and the physical attributes of the soil were determined using Pearson's correlation coefficients to construct a network of correlations. Circumference at breast height (CBH) was positively correlated with the diameter at breast height (DBH), and CBH and DBH were p o sitively co rrelated with the tree crown volume TV and plant height PH (Fig. 2). This result shows the close relation ship existing between the dendrometric indices of the plants studied. Due to the plant's arboreal size, it is used at the edges of forests with accentuated anthropic impact as a windbreak, as well as in the recovery of degraded lands, improving the physical and chemical conditions of the soil (Daud & Feres, 2004).

APR expressed a positive correlation with PR1, as well as with PR2. Notably, Oliveira, Oliveira, Valente et al. (2020) report s i mil ar results and highlight the importance of studying penetration resistance to better understand the development of agricultural crops.
The GM had low and negative correlations with APR, PR1, PR2 , and PD. The increased GM eases the penetration of the penetrometer, as reported by Oliveira et al. (2021) in studies of soil moisture, porosity, and density in an Oxisol. These regions of lower resistance to penetration are precisely those that have greater ease of root development for agricultural crops.
The statistical parameters of the dendrometric attributes in Table 1 tended to be normal for CBH and DBH; normal for PH; undetermined for TV. The frequency distribution of the physical attributes was normal for GM, PD, PR1, and indeterminate for PR2. APR showed a distribution tending to normal.

The dendrometric properties of this species have a positive effect on the recovery of degraded areas, emphasizing the soil protection against adverse climatic agents, soil conservation, addition of organic matter to the soil, mobilization and recycling of mineral nutrients, and soil biological activity (Giácomo et al., 2019). Although the observed average values of penetration resistance, APR of 4.40 MPa, PR1 of 4.37 MPa, and PR2 of 4.43 MPa, were very high, they were not enough to limit the timber yield of the forest studied, as also seen by Barbosa et al. (2012). This verification is important because it evidences the capacity of the M. fistulifera to develop in compacted soils, deepening the roots even in situations of reduced soil porosity. Once again, it clarifies the species ability to recover degraded areas, contributing to the environment and improving the soil quality around planting sites.
The CV values for the attributes TV, PR2, PR1, APR, and GM were very high (74.01%, 49.48%, 47.57%, 37.84%, and 33.61%, respectively). The coefficient of variation for CBH and DBH was 26.85%. PH (18.72%) showed medium CV, whereas PD had a low CV value (3.82%), as shown in Table 1.

The kurtosis and asymmetry values measure the average dimension of the deviation of the values of a set of data in relation to a certain Measure of Central Tendency as well as how these data are allocated around this Measure (Oliveira, Oliveira, Valente et al., 2020). Thus, we observed in Table 1 that GM and PD were negative asymmetrical and the attributes CBH, DBH, and PH have a more pointed histogram.
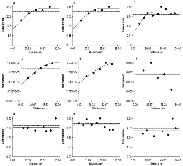
The parameters of the simple and crossed semivariograms for the phenological indices of the M. fistulifera plant and the physical attributes of the soil are shown in Table 2 and Figure 3. The parameters evaluated for the models adjusted to the semivariograms showed high values of r2, which indicates high reliability in the settings. The spherical model was the fittest for the dendrometric properties CBH, DBH, TV, and the soil attribute GM, as in Costa et al. (2020) and Dantas et al. (2020). Notably, Costa et al. (2020) also reported the spherical model as the fittest for the dendro-metric variables of diameter at breast height and volume in the study of the spatial variability of Swietenia macrophylla in an agroforestry system in the Brazilian Amazon.
Dantas et al. (2020) studied volumetric prediction through kriging to reduce sampling effort in forest inventories and concluded that the spherical model is the fittest for studying tree crown volume. Greco et al. (2005) mentioned that the spherical model is more identified in soil science studies. PH fitted best to the Gaussian model, in agreement with the results obtained by Barbosa et al. (2012) and Costa et al. (2020), who also obtained the Gaussian model as the fittest for the study of height in forest tree species. The soil attributes PD, APR, PR1, and PR2 obtained a pure nugget effect.
According to the classification by Cambardella et al. (1994), SDE values of <25%, 25%-75%, and >75% have a weak, moderate, and strong spatial dependence, respectively. Based on this classification, the values of the variables CBH, DBH, PH, TV, and, GM showed moderate SDE.
The range of the semivariogram corresponds to the maximum distance that correlation or spatial dependence can be found, being the main parameter provided by geostatistics. Furthermore, the spatial behavior of the variable is completely random (Behera et al., 2018). The evaluated properties ranged from 0.01 (tree volume, m3) to 8.05 (plant height, m) average. The ranges found can be used to guide future sampling plans in studies related to plant dendrometric properties and soil physical attributes in a M. fistulifera crop.

Figure 4 shows the pattern for spatial variability of the dendrometric properties of the M. fistulifera and the gravimetric soil moisture content estimated through ordinary kriging. The variability maps showed a relationship between DBH, PH, and TV variability.
Regarding the soil physical attribute (GM) evaluated in the present study, no link that could influence the development of the M. fistulifera was found in the spatial variability pattern. Rosa Filho et al. (2011) emphasized that it was not possible to establish a cause-effect relationship between the dendrometric properties of the forest trees under study and the physical attributes of the soil (gravimetric moisture content and penetration resistance).
In the crossed semivariogram (Fig. 5), among the dendrometric properties of the M. fistulifera, PH-f(DBH), TA-f(DBH), and TV-f(PH), moderate spatial dependence was obtained (49.3, 56.0, and 51.7, respectively) and the fittest model was the spherical one for the three cases. The cokriging map (Fig. 5) shows a similar spatial structure between the volume and the one observed in simple kriging (Fig. 4). Based on the r2 in Table 2 (0.990 and 0.929 for TV- f(DBH) and TV-f(PH), respectively) and SDE, it can be inferred that DBH is the best estimator for the TV of the M. fistulifera.

DBH was also shown to be a useful explanatory variable for estimating the PH of the M. fistulifera, with an r2=-0.909. This is important, as determining DBH in the field may be easier than determining PH.

Conclusions
The dendrometric properties CBH, DBH, PH, TV, and the soil physical attribute GM showed spatial dependence. The spherical semivariogram model best explained the spatial structure of CBH, DBH, PH, TV, and GM.
There was a correlation of dendrometric properties between TV and DBH, showing moderate spatial dependence.
Additionally, DBH proved to be an effective indicator for determining the PH of the Mabea fistulifera plant.
Literature cited
Alvares, C. A., Stape, J. L., Sentelhas, P.C., Goncalves, J. L. M., & Sparovek, G. (2014). Köppen's climate classification map for Brazil. Meteorologische Zeitschrift, Stuttgart, 22(6), 711-728. https://doi.org/10.1127/0941-2948/2013/0507
Barbosa, C. E. M., Ferrari, S., Carvalho, M. P., Picoli, P. R. F., Cavallini, M. C., Benett, C. G. S., & Santos, D. M. A. (2012). Inter-relação da produtividade de madeira do pinus com atributos físico-químicos de um latossolo do cerrado brasileiro. Revista Árvore, 36(1), 25-35. https://doi.org/10.1590/S0100-67622012000100004
Barroso, G. M., Ferreira, M. G., Santos, E. A., Ferreira, E. A., Titon, M., Xavier, P. V. S., Francino, D. M. T., & Santos, J. B. (2021). Mabea fistulifera and Zeyheria tuberculosa can be indicated for phytoremediation programs of soils contaminated with hormonal herbicides. International Journal of Phytoremediation, 24(9), 1-8. https://doi.org/10.1080/15226514.2021.1991267
Bassoi, L. H., Inamasu, R. Y., Bernardi, A. C. C., Vaz, C. M. P., Speranza, E. A., & Cruvinel, P. E. (2019). Agricultura de precisão e agricultura digital. TECCOGS - Revista Digital de Tecnologias Cognitivas, 20, 17-36. https://doi.org/10.23925/1984-3585.2019i20p17-36
Behera, S. K., Mathur, R. K., Shukla, A. K., Suresh, K., & Prakash, C. (2018). Spatial variability of soil properties and delineation of soil management zones of oil palm plantations grown in a hot and humid tropical region of southern India. Catena, 165, 251-259. https://doi.org/10.1016/jxatena.2018.02.008
Bhering, L. L. (2017). Rbio: A tool for biometric and statistical analysis using the R platform. Crop Breeding and Applied Biotechnology, 17(2), 187-190. https://doi.org/10.1590/1984-70332017v17n2s29
Cambardella, C. A., Moorman, T. B., Parkin, T. B., Karlen, D. L., Novak, J. M., Turco, R. F., & Konopka, A. E. (1994). Field-scale variability of soil properties in central Iowa soils. Soil Science of Society America Journal, 58(5), 1501-1511. https://doi.org/10.2136/sssaj1994.03615995005800050033x
Carvalho, B., & Ribeiro, S. P. (2018). Architecture of Mabea fistu-lifera Mart. (Euphorbiaceae), a Neotropical semideciduous tree: development and variations in crown allometry between environments. Flora, 239, 104-110. https://doi.org/10.1016/J.FLORA.2017.12.003
Costa, L. R. R., Dolácio, C. J. F., Zea-Camaño, J. D., Oliveira, R. S., Pelissari, A. L., & Maciel, M. N. M. (2020). Variabilidad espacial de Swietenia macrophylla en sistema agroforestal de la Amazonia brasileña. Madera y Bosques, 26(1), Article e2611937. https://doi.org/10.21829/MYB.2020.2611937
Dalchiavon, F. C. (2012). Correlações de Pearson e geoestatísticas entre a produtividade de cana-de açúcar, estabelecida em dois métodos de colheita, e atributo físico-químicos do solo. [MSc Thesis, Universidade Estadual Paulista]. Repositório da UNESP. https://repositorio.unesp.br/bitstream/handle/11449/106187/dalchiavon_fc_dr_ilha.pdf?sequence=1
Dantas, D., Pinto, Luiz O. R., Gonçalves, A. F. A., Terra, M. C. N. S., & Calegario, N. (2020). Predição volumétrica por meio da krigagem pontual reduz o esforço de amostragem em inventários florestais pré-corte. Caderno de Ciências Agrárias, 12, 1-11. https://doi.org/10.35699/2447-6218.2020.15927
Daud, R. D., & Feres, R. J. F. (2004). O valor de Mabea fistulifera Mart. (Euphorbiaceae), planta nativa do Brasil, como reservatório para o predador Euseius citrifolius Denmark & Muma (Acari, Phytoseiidae). Revista Brasileira de Zoologia, 21(3), 453-458.
Ezenne, G. I., Jupp, L., Mantel, S. K., & Tanner, J. L. (2019). Current and potential capabilities of UAS for crop water productivity in precision agriculture. Agricultural Water Management, 218, 158-164. https://doi.org/10.1016/j.agwat.2019.03.034
Farias, L. L., & Souza, A. L. (2009). Potencial de Mabea fistulifera Mart. como produto florestal não-madeireiro. [Monograph, Universidade Federal de Viçosa]. Biblioteca Florestal. http://www.bibliotecaflorestal.ufv.br/handle/123456789/13129
Gelain, E., Bottega, E. L., Motomiya, A. V. A., Marin, C. K., & Oliveira, Z. B. (2021). Dependência e correlação espacial dos atributos de solo em função do arranjo amostral. Tecno-Lógica, 25(1), 145-172. https://doi.org/10.17058/tecnolog.v25i1.15548
Giácomo, R. G., Alves, M. C., Arruda, O. G., Souto, S. N., Pereira, M. G., & Moraes, M. L. T. (2019). Atributos químicos de um solo degradado após aplicação de composto orgânico e crescimento de Mabea fistulifera Mart. Ciência Florestal, 29(2), 754-768. https://doi.org/10.5902/198050987638
Gomes Júnior, D, & Lopes, J. C. (2017). Teste de envelhecimento acelerado para avaliar o potencial fisiológico de sementes de canudo-de-pito. Ciência Florestal, 27(4), 1105-1115. https://doi.org/10.5902/1980509830286
Martins, I. M. S., & Montanari, R. (2021). Variabilidade linear dos atributos dendrométricos do Eucalipto correlacionados com atributos de um Latossolo do cerrado Sul Mato-Grossense. [Monograph, Universidade Estadual Paulista].
Oliveira, J. T., Oliveira, R. A., Cunha, F. F., & Santos, E. S. (2021). Spatial autocorrelation of physical attributes of an oxisol. Engenharia Agrícola, 41(2), 255-262. https://doi.org/10.1590/1809-4430-Eng.Agric.v41n2p255-262/2021
Oliveira, J. T., Oliveira, R. A., Oliveira, L. A. A., Teodoro, P., & Montanari, R. (2020). Spatial variability of irrigated garlic (Allium sativum L.) production components. HortScience, 55(3), 300-303. https://doi.org/10.21273/HORTSCI14409-19
Oliveira, J. T., Oliveira, R. A., Valente, D. S. M., Ribeiro, I. S. S., &Teodoro, P. E. (2020). Spatial relationships of soil physical attributes with yield and lateral shoot growth of garlic. HortScience, 55(7), 1053-1054. https://doi.org/10.21273/HORTSCI15082-20
Pimentel-Gomes, F., & Garcia, C. H. (2002). Estatística aplicada a experimentos agronômicos e florestais: exposição com exemplos e orientações para uso de aplicativos. Piracicaba, FEALQ. Fealq Edição.
Reflora. (2019, December 17). Algas, fungos e plantas. Flora e Funga do Brasil. http://reflora.jbrj.gov.br/reflora/listaBrasil/ConsultaPublicaUC/ConsultaPublicaUC.do#CondicaoTaxonCP
Rosa Filho, G., Carvalho, M. P. E., Andreotti, M., Montanari, R., Binotti, F. F. S., & Gioia, M. T. (2009). Variabilidade da produtividade da soja em função de atributos físicos de um Latossolo Vermelho distroférrico sob plantio direto. Revista Brasileira de Ciência do Solo, 33(2), 283-293. https://doi.org/10.1590/S0100-06832009000200006
Rosa Filho, G., Carvalho, M. P., Montanari, R., Silva, J. M., Siqueira, G. M., & Zambianco, E. C. (2011). Variabilidade espacial de propriedades dendrométricas do eucalipto e de atributos físicos de um Latossolo Vermelho. Bragantia, 70(2), 439-446. https://doi.org/10.1590/S0006-87052011000200027
Santos, H. G., Jacomine, P. K. T., Anjos, L. H. C., Oliveira, V. Á., Lumbreras, J. F., Coelho, M. R., Almeida, J. A., Araújo Filho, J. C., Oliveira, J. B., & Cunha, T. J. F. (2018). Sistema brasileiro de classificação de solos (5th ed.). Embrapa.
Teixeira, P. C., Donagemma, G. K., Fontana, A., & Teixeira, W. G. (2017). Manual de métodos de análise de solo (3rd ed.). Embrapa.
Vieira, S. R., Millete, J., Topp, G. C., & Reynolds, W. D. (2002). Handbook for geostatistical analysis of variability in soil and climate data. Tópicos em Ciência do Solo, 2, 1-45.
Notes
Author notes
*Corresponding author: gloria.plazas@ufv.br
Conflict of interest declaration