Resumen: La construcción de viviendas por esfuerzos propios en Santiago de Cuba se caracteriza por el inadecuado diseño y ejecución, donde se violan requerimientos del diseño sismorresistente y se emplean materiales de mala calidad, lo que incrementa su vulnerabilidad sísmica. La Oficina del Arquitecto de la Comunidad busca alternativas de sistemas estructurales, que empleando los materiales de que dispone la población, presenten un mejor desempeño, entre los que destaca el sistema de muros portantes con mampostería confinada. Sin embargo, existen incertidumbres en el comportamiento sismorresistente de estas viviendas, a cuyo esclarecimiento se encamina el objetivo de la investigación. A partir de una amplia búsqueda bibliográfica y revisión de las normativas para el diseño sismorresistente de estructuras de mampostería de los países más avezados en la materia del mundo y de Latinoamérica, se ofrecen consideraciones para el diseño y ejecución de viviendas sismorresistentes con mampostería confinada, construidas por esfuerzos propios.
Palabras clave: diseño sismorresistente, mampostería confinada, viviendas.
Abstract: The construction of houses by own efforts in Santiago de Cuba, is characterized by inadequate design and execution, where seismic-resistant design requirements are violated and poor-quality materials are used, increasing their seismic vulnerability. The Office of the Community Architect looks for alternative structural systems that, using the materials available to the population, present a better performance, among which the system of bearing walls with confined masonry stands out. However, there are uncertainties in the seismic design of type I dwellings, with confined masonry; therefore, the research objective is directe towards its solution. Based on an extensive bibliographic search and review of the regulations for the seismic-resistant design of masonry structures in the most experienced countries in the field in the world and in Latin America, considerations are propose for the analysis, design and execution of seismic-resistant dwellings, with confined masonry, built by their own efforts.
Keywords: seismic design, confined masonry, housings.
Artículos
Consideraciones acerca del diseño sismorresistente de viviendas con mampostería confinada en Santiago de Cuba
Considerations about the seismic design of dwellings with confined masonry in Santiago de Cuba

Recepción: 24 Septiembre 2021
Aprobación: 15 Noviembre 2021
En gran parte del mundo se construyen viviendas con sistemas estructurales porticados y de muros de cargas con mampostería. Los pórticos de hormigón armado suelen ser difíciles de construir correctamente debido al gran número de detalles que tienen que ser implementados; requiriéndose una tecnología de construcción más simple que permita garantizar la seguridad de la construcción. Las estructuras de muros de carga de mampostería, han manifestado daños considerables ante la ocurrencia de eventos naturales de gran intensidad, por lo que se ha estudiado la construcción de viviendas de mampostería confinada, especialmente en zonas sísmicas.
La mampostería confinada combina elementos de ambos sistemas. Es un método de construcción simple que ha demostrado un adecuado comportamiento en sismos destructivos en Latinoamérica, región donde es ampliamente utilizada, así como en la Europa mediterránea (Astroza y Schmidt, 2004). En algunos países asiáticos como Indonesia y China, es considerada una técnica de construcción estándar; igualmente en el subcontinente indio, su uso ha sido promovido activamente durante la última década.
En la mayoría de los países latinoamericanos, las viviendas sociales se ejecutan por autoconstrucción, con fuerza no calificada, sin atender los requerimientos para el diseño sismorresistente (Lara, Aguirre y Gallegos, 2016). La mala calidad y altas vulnerabilidades, que esto provoca, conducen a daños en estas estructuras con la ocurrencia de sismos (figura 1).
Esta problemática, también afecta a Cuba. En la actualidad, el país ha experimentado una demanda creciente de viviendas, debido al elevado déficit habitacional, por el alto nivel de deterioro del fondo, incrementado por las afectaciones climatológicas. Dicho déficit asciende a 929 mil 695 viviendas, (527 mil 575 nuevas a construir y 402 mil 120 a rehabilitar), siendo las provincias más afectadas La Habana (185 mil 348), Holguín (115 mil 965) y Santiago de Cuba (101 mil 202 viviendas) (Ministerio de la Construcción de la República de Cuba, 2018).
El fondo habitacional en la provincia Santiago de Cuba, actualizado por el censo de Población y Viviendas del año 2018, es de 121 039 viviendas. De ellas, el 39,9 % (48 301) se encuentran en buen estado, regulares el 38,6 % (46 705) y malas el 21,5 % (26 033) (Dirección Provincial de la vivienda Santiago de Cuba, 2018). Esta provincia, ubicada en el oriente del país, presenta una alta actividad sísmica (NC: 46:2017) (Comité Estatal de Normalización, 2017) y las edificaciones se ven sometidas con relativa frecuencia a acciones dinámicas que producen daños. Las malas prácticas constructivas, sismos de una magnitud considerable y la baja calidad de los materiales, incrementan la probabilidad de daños a la estructura (figura 2).

En la última década, en la provincia, se han construido un total de 46 455 viviendas, el 40 % de tipología 1 (con soluciones de muros de mampostería y pórticos de hormigón, con cubierta pesada, fundamentalmente de losa de hormigón armado). A pesar de no ser esta la tipología constructiva prevaleciente en muchos países del mundo, constituye una tradición y forma parte de la idiosincrasia del cubano, a la que le confieren una mayor calidad habitacional y seguridad. La mayoría de estas edificaciones presentan como sistema constructivo predominante los pórticos de hormigón armado, lo que encarece la ejecución por la gran cantidad de materiales como el acero y el hormigón que demanda este sistema para garantizar su seguridad estructural. Sin embargo, no se ha explotado lo suficiente la construcción con mampostería confinada, que ha mostrado en su mayoría, un adecuado comportamiento sísmico en edificios de baja altura; cuando se cumplen con los requerimientos técnicos que establecen las normas.
En el Programa de la vivienda participan múltiples organizaciones estatales de la construcción, formas de trabajo por cuenta propia, así como familias con necesidad de viviendas, organizadas en el movimiento por esfuerzo propio. Cada uno de ellos, para ejecutar la construcción de una vivienda, debe poseer una licencia de construcción avalada por un proyecto técnico o ejecutivo.
Con el objetivo de paliar el déficit habitacional existente en Santiago de Cuba, la Oficina del Arquitecto de la Comunidad, junto a otras entidades de la construcción, investigan diversas alternativas de sistemas estructurales que garanticen la sostenibilidad de este programa en el territorio. Entre estas soluciones, por su facilidad de construcción por esfuerzos propios, se han propuesto prototipos de viviendas de mampostería confinada, con tipología 1, que ofrecen mayores posibilidades de emplear materiales locales como bloques y ladrillos producidos en el territorio, así como el acero de refuerzo de 13 mm que es al que tiene acceso la población. Además de poseer un adecuado comportamiento ante la ocurrencia de fenómenos hidrometeorológicos, también deben ser diseñadas con criterios simorresistentes, dado el peligro sísmico de la región.
Cuando la ejecución de viviendas se realiza por entidades estatales, por lo regular, se cumple lo legislado, debido a que existe un mayor rigor en los controles de calidad en cada etapa del proyecto. Por el contrario, en la modalidad por esfuerzo propio, comúnmente las viviendas son construidas por el propietario o por albañiles, con escasa o ninguna supervisión técnica y uso de materiales de baja calidad, lo que conlleva a que sean altamente vulnerables ante la acción sísmica.
El objetivo que se persiguió fue definir algunas consideraciones acerca del diseño sísmico de viviendas con mampostería confinada, sustentadas en la revisión del estado del arte del diseño y evaluación del comportamiento sísmico de este tipo de viviendas.
En investigaciones precedentes se ha demostrado que las estructuras construidas con mampostería confinada pueden tener un adecuado comportamiento ante acciones dinámicas, si se tienen en cuenta determinados requerimientos técnicos, que garanticen su seguridad. En tal sentido, se debe profundizar en los principales requisitos para el diseño y ejecución de esta tecnología.
En la fase inicial de la investigación se valoran los principales referentes teóricos que tratan los aspectos que condicionan los fallos en las edificaciones con sistema estructural de muros portantes de mampostería confinada. Se destacan los principales tipos de falla por cortante, flexión, compresión y deslizamiento. En una segunda y última fase se exponen algunas consideraciones generales para el diseño y la ejecución de viviendas sismorresistentes de mampostería confinada, basadas en lo fundamental en requisitos respecto a la configuración, los materiales y el confinamiento.
Entre los principales métodos científicos empleados; se encuentran el método histórico–lógico, análisis y síntesis, abstracción – concreción, inducción – deducción, e hipotético–deductivo. También se emplearon técnicas para el procesamiento de la información como: la Revisión bibliográfica y el Análisis documental.
El uso de los sistemas estructurales de muros portantes, entre los que se encuentra la mampostería, asegura que no se produzcan cambios bruscos en las propiedades resistentes y de las rigideces, haciéndolo capaz de soportar pequeñas deformaciones. Además de ser un sistema eficiente en comparación con el de pórticos, permite solventar problemas de diseño que este último presenta como son: excentricidades, problemas de derivas que no se cumplen, problemas de torsión, rigidez u otros (Arteaga et al., 2017).
La mampostería puede ser no reforzada, reforzada o confinada. La albañilería confinada por elementos de hormigón armado fue creada por ingenieros italianos, después que el sismo de 1908 en Messina, Sicilia, arrasara con las edificaciones de albañilería no reforzada. Se emplea en varios países y regiones de riesgo sísmico elevado. En países europeos y asiáticos como: Eslovenia, Italia, Serbia, Portugal, Grecia, Irán, Argelia, Marruecos, Indonesia, Pakistán y China, utilizan unidades de arcilla de fabricación artesanal e industrial o piezas de hormigón sólidas y huecas. Es también el sistema más empleado en América Latina para construir viviendas de baja y mediana altura (Treviño, 2014).
Astroza et al. (2012) refieren el buen desempeño de las edificaciones de mampostería confinada en la historia sísmica de Chile. En el terremoto de 1939 (Me = 7,8), el 50 % de los edificios de mampostería confinada sobrevivieron sin daños significativos, mientras que cerca del 60 % de los de albañilería no reforzada, sufrieron derrumbes totales. Igual comportamiento tuvo la albañilería confinada ante el terremoto de 1985 de Llolleo (Me = 7,8) y, más recientemente el terremoto de Maule (Me = 8,8) el 27 de febrero de 2010. Una observación muy similar se realizaba después del terremoto de 2007 en Pisco, Perú (Me = 8,8), donde los edificios de mampostería confinada tuvieron un comportamiento adecuado comparado con otros tipos de mampostería.
El uso masivo que se le ha dado a los muros de mampostería confinada en la construcción de viviendas y la fragilidad observada en algunas edificaciones ante eventos sísmicos, ha motivado el estudio de su comportamiento en diversos países. Pruebas experimentales realizadas en su mayoría sobre muros aislados, han mostrado que su uso mediante un buen detallado y configuración estructural, dan lugar a edificaciones con niveles de desempeño y seguridad aceptables (Escobar, 2014).
La mampostería está compuesta por piezas (sillería, adobe, ladrillos de arcilla, bloques de hormigón, entre otros) y el mortero de unión. Los parámetros mecánicos de las piezas y del mortero dependen en gran medida tanto de las características naturales de los materiales, como del proceso de elaboración. Para el mortero, la resistencia depende de sus componentes y dosificación. Las diferentes posibilidades de apilamiento de las piezas, junto con la cantidad y calidad del mortero de las juntas conducen a una amplia gama de tipologías de mampostería. Incluso si las piezas y juntas de mortero pueden ser catalogadas como homogéneas e isótropas, el comportamiento global depende de sus respectivos mecanismos y de sus interacciones. Esta es esencialmente la razón por la que la mampostería puede ser considerada como una “estructura mixta”, más que un “material compuesto”, pero el límite entre una y otra lo establece solo la escala de los componentes y por lo tanto, puede decirse que la mampostería cumple con ambas clasificaciones (Quintero, 2014).
Según (Escobar, 2014) y (Quintero, 2014), la interacción entre el mortero y los ladrillos está influenciada por factores mecánicos y físico-químicos, tales como:
En las piezas de mampostería (ladrillos de arcilla o bloques de hormigón): resistencia a la compresión y a la tracción (para pruebas uniaxiales y multiaxiales), absorción, Módulo de Young, ductilidad y fluencia, rugosidad superficial, resistencia a los agentes químicos; variación de volumen por humedad, temperatura y reacciones químicas; peso, forma, distribución de poros (en elementos artificiales).
En el mortero: resistencia a la compresión para ensayos multiaxiales; Módulo de Young, ductilidad y fluencia; adherencia; laborabilidad y plasticidad.
Según Escobar (2014), la resistencia a la compresión y el módulo de elasticidad del mortero, afectan la resistencia a carga vertical y la deformabilidad de la mampostería; así como la resistencia a la adherencia o a la tensión afecta a la resistencia a compresión diagonal de la mampostería.
Los modos de falla de la mampostería, en un ensayo de compresión diagonal de un murete de mampostería son básicamente tres: a) agrietamiento a lo largo de las juntas, que se presenta cuando la resistencia a tensión de las piezas es mayor en relación con la resistencia de adherencia del mortero de pega con las piezas; b) agrietamiento diagonal a través de las piezas, que ocurre cuando la resistencia a tensión de las piezas es menor en relación con la resistencia de adherencia del mortero de pega con las piezas y; c) agrietamiento mixto, tanto en las piezas como en las juntas, que ocurre cuando la resistencia a tensión de las piezas es comparable con la resistencia de adherencia del mortero de pega con las piezas (Miranda, 1999).
Hernández y Meli (1976) concluyeron que la adherencia entre el mortero y el bloque no representa una variable importante en la resistencia y ductilidad del muro ante cargas laterales alternadas. La carga de agrietamiento diagonal sólo depende de las propiedades de la mampostería.
Según Alcocer (1997), el comportamiento ante solicitaciones cíclicas de muros de mampostería, unida con morteros de cal, exhibe una mayor disipación de energía; induciendo un incremento del amortiguamiento de la estructura. Esto ocurre por el calor resultante de la fricción entre las piezas, a lo largo de las grietas por cortante que aparecen en las juntas de mortero, propiciando una gran disipación de energía.
Las construcciones de mampostería confinada de ladrillo o bloque de hormigón con entrepisos rígidos de losa de hormigón armado (tipología I), son las más abundantes. Se le colocan elementos confinantes de sección pequeña de hormigón armado verticales (columnas de amarre, castillos, columnetas) y horizontales (vigas de amarre, dalas, viguetas), que confinan los muros y los vinculan con las losas. El marco confinante es flexible y proporciona una liga efectiva con los elementos adyacentes, por lo que tiene mejor comportamiento sísmico que la no reforzada (Ruiz, et al., 2019).
Este tipo de construcción es singular por su función estructural y su proceso constructivo. Las columnetas se funden después de construir el muro, normalmente externas al muro, o embebidas dentro de una pieza hueca, donde se coloca el acero longitudinal de refuerzo, que luego se rellena de hormigón. Las columnetas externas son ampliamente usadas en Centro y Sudamérica (San Bartolomé y Quiun, 2010).
Se han identificado diferentes modos de falla en las estructuras de mampostería confinada. La falla por cortante, cuando los esfuerzos principales exceden la resistencia a tracción diagonal de la mampostería y se produce un agrietamiento inclinado a través de las piezas o las juntas. La falla por flexión, al fluir el refuerzo vertical a tracción, y ocurre un aplastamiento en la mampostería del extremo a compresión. La falla por compresión, debido a una carga axial muy elevada, también con el aplastamiento de la mampostería y la falla por deslizamiento, cuando existe muy poca carga axial y la fuerza cortante lateral excede la adhesión y el cortante resistente a fricción entre el mortero y las piezas de mampostería (Alcocer, 1997).
García et al., (2018) exponen que los daños más severos por sismo en viviendas de mampostería confinada, en todos los casos, se presentaron en los dos primeros niveles, con grandes grietas por cortante que penetraron hasta los elementos de hormigón (castillos o columnas), como consecuencia de falta de confinamiento en el refuerzo horizontal y por deslizamiento. Este tipo de mecanismos de colapso es muy común en estas estructuras debido a que se presentan grietas diagonales por esfuerzos de tensión perpendicular. Por esta razón, los muros de mampostería fallan debido a la baja resistencia a la tracción, comparada con su resistencia a la compresión.
Meli (1979), a través de ensayos a pequeños especímenes, evidenció que los coeficientes de variación de las propiedades de los materiales son muy altos. La mampostería tuvo un comportamiento aproximadamente lineal hasta el primer agrietamiento por flexión, provocando una falla dúctil, o por tracción diagonal, dependiendo el tipo de falla, del tipo y cantidad de refuerzo interior y de las características de los elementos confinantes. Concluyó que la reserva de resistencia después del agrietamiento depende del tamaño de las columnetas de confinamiento y de la cuantía de refuerzo interior, así como que la carga vertical provoca un incremento de resistencia y rigidez, reduciendo la ductilidad del muro.
Escobar (2014) reconoce que los castillos tienen un importante efecto benéfico en la reserva de resistencia, o diferencia entre la resistencia máxima y la carga de agrietamiento. También favorecen la ductilidad o capacidad de deformación, el control de degradación de resistencia y mantenimiento de la estabilidad de los elementos después del agrietamiento diagonal inducido por cargas horizontales.
Alcocer et al. (1999) demuestran a través de ensayos que, para altas distorsiones, en las que la mampostería está severamente dañada, la capacidad de carga vertical es sostenida y garantizada por los castillos. Al penetrar las grietas, dislocan el extremo del castillo plegando el refuerzo longitudinal y permitiendo rotaciones locales que conducen al agotamiento de la capacidad de carga vertical.
Hernández y Meli (1976) concluyen que los muros confinados con castillos externos exhiben un comportamiento más estable que, con castillos interiores, aún a distorsiones altas (0,5 %). Su tasa de degradación de rigidez es menor, así como exhiben un menor grado de daño que los muros confinados con castillos interiores.
Álvarez y Alcocer (1994) afirman que al aumentar la relación de aspecto disminuyen la resistencia, la rigidez y la ductilidad; mientras que la disipación de energía, no se altera significativamente. Por su parte, San Bartolomé y Quinn (2010) plantean que las edificaciones de albañilería fallan por fuerza cortante inicialmente en el primer piso donde la fuerza cortante, así como los efectos de esbeltez que reducen la resistencia al corte, son mayores que en los pisos superiores.
Debido a que la mampostería confinada es un sistema de construcción que fue desarrollado paralelamente en varios países, no existe un conjunto uniforme de reglas sobre cómo se debe implementar correctamente. En el 2008 el Confined Masonry Network decidió compilar una serie de reglas comunes de varios reglamentos y guías existentes en mampostería confinada para emplearlas en el desarrollo de un conjunto uniforme de lineamientos (Moreno, 2015). Existen códigos sismorresistentes en diferentes países que regulan el diseño de este sistema estructural.
Para establecer las consideraciones generales para el diseño y ejecución de viviendas sismorresistentes de mampostería confinada se revisaron las normas internacionales de Chile NCH-2123-2003, Colombia NSR 10, Ecuador NEC 2015 y de México NTCM (2017). Todas estas normas tienen como finalidad, lograr que las edificaciones desarrollen comportamientos apropiados y seguros, bajo la acción de las cargas accidentales producidas por los eventos naturales y establecen determinados requerimientos de diseño según la peligrosidad sísmica del sitio de emplazamiento.
El estudio bibliográfico permitió comprobar que el Código sísmico cubano NC 46: 2017 (Comité Estatal de Normalización, 2017) ofrece elementos suficientes para el diseño de estructuras sismorresistentes con sistema de muros de carga, que garanticen un adecuado comportamiento sísmico. Sin embargo, la NC 774: 2012 (Comité Estatal de Normalización, 2012). Código de buenas prácticas para obras de mampostería, ofrece los principios para el diseño de mampostería confinada, pero no las reglas de aplicación, por lo que se recomienda utilizar la Norma Técnica Complementaria para el diseño y construcción de estructuras de mampostería, de México NTCM (2017).
Entre los principales factores que influyen en el adecuado comportamiento de las estructuras de mampostería confinada se encuentran: la configuración estructural, cantidad suficiente de muros de albañilería confinada en unas o ambas direcciones, el tamaño adecuado de las columnas de confinamiento, así como la cantidad y detallado del refuerzo de los mismos, la continuidad en las vigas de confinamiento, adecuadas conexiones de diafragmas (losas), la calidad de los materiales (piezas, mortero para las juntas y el hormigón y acero en castillos, dalas y otros elementos estructurales), dirección del sistema de piso, interacción suelo-estructura, así como una adecuada ejecución. En tal sentido se establecen las siguientes consideraciones:
La totalidad de la edificación debe poseer un sistema estructural para resistir sismos, con la estabilidad, resistencia, rigidez y ductilidad necesarias, capaces de trasmitir las fuerzas sísmicas desde su punto de aplicación hasta las cimentaciones, cumpliendo con los requerimientos de resistencia y deformabilidad del terreno.
La estructura debe ser regular, simétrica en planta y en elevación. El largo de la vivienda no debe ser mayor que tres veces el ancho. La altura de la pared no debe ser mayor que 22 veces el ancho del bloque o del ladrillo y se limitará la altura máxima de los muros a 3 m.
Debe haber una distribución adecuada de los muros, garantizando una adecuada densidad de estos. En cada fachada debe haber al menos un muro de corte, sin huecos o con huecos pequeños, fuera de las líneas diagonales. Debe haber continuidad estructural en los muros, deben construirse uno sobre otro, desde el suelo hasta el techo.
El ancho total de las aberturas no deberá ser mayor de 1/3 de la longitud de la pared. La distancia entre aberturas entre dos paredes o de una misma pared exterior, no deberá ser menor que 50 cm. La distancia entre una abertura de una pared interior y otra pared no deberá ser menor que dos veces el espesor de la pared interior. Se usarán bandas sísmicas en los vanos, y en caso de exceder los 90 cm de longitud deberán ser reforzados con dinteles y/o castillos.
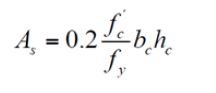
Los castillos y dalas tendrán como dimensión mínima el espesor de la mampostería del muro. En el caso de los castillos, la dimensión paralela al muro no será menor que 150 mm. Los castillos se colocarán en extremos, intercepciones de muros en huecos de paredes y a una distancia no mayor que 1,5 veces la altura del muro, ni 4 m. Existirá una dala en todo extremo horizontal del muro. Además, existirán dalas en el interior del muro a una separación no mayor a 3 m y en la parte superior de pretiles o parapetos cuya altura sea superior a 500 mm.
El refuerzo longitudinal del castillo y la dala deberá dimensionarse para resistir las componentes verticales y horizontales correspondientes del puntal de compresión que se desarrolla en la mampostería para resistir las cargas laterales y verticales. En cualquier caso, estará formado por no menos de tres barras y puede usarse acero de 10 mm y de 13 mm, el área será igual o superior a lo establecido en la ecuación 1:
La calidad del diseño de viviendas de mampostería confinada, depende de las propiedades de las unidades de mampostería y del mortero empleado, así como del detallado del refuerzo en sus elementos estructurales más importantes, como son las dalas y castillos, los marcos de las aberturas y las losas.
Los materiales deben ser de buena calidad para garantizar un adecuado desempeño y capacidad de la estructura para absorber y disipar la energía que el sismo le confiere. Las piezas pueden ser macizas o huecas, deben tener la forma y dimensiones adecuadas. En piezas huecas se admite el espesor de pared de 15 mm pero nunca el área neta será menor del 50 % del área bruta. Su resistencia de diseño a compresión f´p, no será menor que 10 MPa en bloques huecos de hormigón y de 6 MPa en ladrillos cocidos elaborados manualmente. La resistencia del mortero para diseño será de f´j = 7,5 MPa como mínimo según establece la norma mexicana (Administración Pública de la Ciudad de México, 2017).
El hormigón empleado en la fundición de dalas y castillos exteriores tendrá una resistencia a la compresión no menor que f`c = 15 MPa. El acero será corrugado y se usará el G-40. Se admitirá el uso de barras lisas, como el alambrón, únicamente en estribos, en mallas de alambre soldado o en conectores. El diámetro mínimo del alambrón para ser usado en estribos es de 5,5 mm.
Según refieren varios autores la resistencia al cortante de los muros está regida por los refuerzos principales de tracción en el elemento, por lo que solo depende de las propiedades de las piezas y, en muy poca medida, de la resistencia del mortero.
El diseño de las losas de entrepiso y cubierta debe garantizar que se comporten como diafragmas rígidos, que consolidan el trabajo mecánico de la mampostería, haciendo que su reacción sea global frente a la acción de la carga de sismo.
La calidad de la ejecución resulta esencial, debiéndose respetar todos los requerimientos establecidos en el diseño, como la colocación y amarre del refuerzo longitudinal y transversal de los elementos y sobre todo en los nudos, que garanticen la continuidad estructural, así como otros aspectos relacionados con la tecnología, como la dosificación y colocación del mortero en las juntas que debe penetrar en los alvéolos o huecos y no debe secarse rápidamente, la adecuada unión de los muros con los castillos, ya sea a través de juntas dentadas menores de 5 cm o con mochetas de acero, la colocación de instalaciones hidrosanitarias y eléctricas dentro del sistema de muros y su prohibición en los muros de corte, entre otras.

En Cuba, la mampostería confinada no es muy utilizada, incluso la NC 46: 2017 Norma de diseño sismorresistente, no recomienda criterios, secciones, cuantías mínimas, u otros parámetros a medir o comprobar, para analizar su comportamiento ante acciones de cargas gravitatorias, laterales o de viento, ni considera las características de los materiales que se disponen en el país y los territorios. Tampoco la NC 774: 2012 (Comité Estatal de Normalización, 2012) establece las reglas de aplicación de los principios de diseño de la mampostería confinada, por lo que se recomienda el uso de la NC 46: 2017 (Comité Estatal de Normalización, 2017).
Es factible obtener una vivienda con un adecuado comportamiento para un sismo ordinario, empleando un sistema estructural de mampostería confinada, que emplee los recursos locales, así como el acero de 13 mm al acceso de la población que construye por esfuerzo propio.

