RESUMEN: Los ácidos húmicos (AH) de vermicompost fueron extraídos, aislados y caracterizados parcialmente usando UV-vis y /FT-IR. Los mismos fueron asperjados foliarmente a los 32 días después de germinado coincidiendo con la fase de inicio del ahijamiento en el cultivo del arroz (Oryza sativa. L), en los cultivares J-104 e IACuba-33, bajo condiciones de aniego y déficit hídrico. Tres concentraciones de AH (30, 34 y 38 mg L-1) fueron utilizadas, además de un tratamiento control sin aplicación. Específicamente en la etapa de ahijamiento activo, se evaluó el efecto de la aplicación foliar de los AH bajo condiciones de aniego y déficit hídrico en indicadores como: altura de la planta, masa seca en la parte radical, actividad de las enzimas peroxidasas (POX y contenido de proteínas solubles. Los resultados indicaron efectos positivos de los AH sobre los indicadores bioquímico - fisiológicos evaluados en la fase vegetativa, con efectos sobre la masa seca en la parte radical de hasta 46 % superior al control, observándose evidencias de un posible efecto protector ante el déficit de agua por parte de los AH. Se llegó a la conclusión que una posible respuesta pudiera ser la acción mimética de los AH con la hormona ácido abscísico (ABA), produciendo efectos equivalentes a esta.
Palabras clave: estrés hídricoestrés hídrico,peroxidasasperoxidasas,proteínas totalesproteínas totales,sustancias húmicassustancias húmicas.
ABSTRACT: Humic acids (AH) were extracted and isolated from bovine manure vermicompost, and they were partially characterized using UV-vis and / FTIR. They were sprinkled foliarly at 32 days after germination coinciding with the start-up phase tillage in rice cultivation (Oryza sativa L.) under conditions of irrigation and water deficit. Three concentrations of AH (30, 34 and 38 mg L-1) were used, in addition to a control treatment without application. Specifically in the active tillering stage, the effect of foliar application of AH under irrigation conditions and water deficit was evaluated in indicators such as: plant height, dry mass in the root section, peroxidase enzyme activity (POX) and content of soluble proteins. The results indicated positive effects of the AH on the biochemical - physiological indicators evaluated in the vegetative phase, with effects on the dry mass in the radical part up to 40 % higher than the control, observing evidence of a possible protective effect against the water deficit by the AH. It was concluded that a possible response could be the mimetic action of AH with the abscisic acid hormone (ABA), producing equivalent effects to this.
Key words: hydric stress, peroxidase, total proteins, humic substances.
ARTÍCULO ORIGINAL
Efectos anti estrés de ácidos húmicos de vermicompost en dos cultivares de arroz (Oryza sativa. L)
Anti-stress effects of humic acids of vermicompost in two rice (Oryza sativa. L) cultivars
Recepción: 13 Octubre 2017
Aprobación: 19 Febrero 2018
El arroz es un cereal cultivado en todos los continentes, siendo Asia el de mayor producción y consumo. Este cultivo exige un manejo adecuado del recurso agua, es por ello que en la mayoría de los casos se cultiva bajo condiciones de aniego (1). En Cuba se ha cultivado arroz desde la época de la colonia. A partir de 1967 alcanzó gran importancia en los planes económicos del país. La importancia del arroz como alimento para la sociedad cubana se puede comprender a partir del elevado consumo per cápita anual, estimado en alrededor de 60 kg, por encima de casi todos los países del continente americano. Actualmente existen en Cuba diferentes formas productivas que contribuyen a la producción nacional de arroz UBPC (Unidad Básica de Producción Corporativa), CCS (Cooperativa de Crédito y Servicio), CPA (Coorporativa de Producción Agropecuaria), UEB (Unidad Empresarial de Base) y productores privados (2). La producción nacional media en Cuba nunca ha sobrepasado los 3600 kg ha-1 de arroz cáscara, a pesar de los grandes esfuerzos tecnológicos que invierte el país. Una de las causas que influyen en estos bajos rendimientos es la inestabilidad en el suministro del agua de riego (3). Esta escasez de agua trae consigo la inducción de déficit hídrico en las plantas, debido a una disminución en su disponibilidad en el suelo (4). El déficit hídrico es el estrés abiótico de mayor incidencia en el crecimiento y desarrollo de las plantas, y específicamente uno de los factores limitantes en la productividad del arroz (5).
El uso de sustancias húmicas (específicamente los AH) se perfila como opción tecnológica para atenuar los daños causados por déficit hídrico, inducir mayor resistencia a los cultivos y aumentar la producción de arroz. Se han publicado evidencias de las potencialidades de los AH de ejercer efectos positivos en las diferentes propiedades del sistema suelo-planta (6) y presentar efectos semejantes a las hormonas naturales bajo condiciones de estrés hídrico estimulando la síntesis de Peroxidasas (POXs) y Catalasas (CAT), con el objetivo de convertir las especies reactivas de oxígenos (ERO) en especies inocuas para las plantas y disminuir el estrés oxidativo provocado por el déficit de agua (7-9). Sin embargo, aún no son suficientes los trabajos que informan estudios sobre el papel que éstas pudieran desempeñar como protectoras ante los distintos tipos de estrés.
El objetivo de esta investigación fue evaluar el efecto de la aplicación de AH extraídos de vermicomopost en la etapa de ahijamiento del cultivo del arroz (Oryza sativa L.) de los cultivares IACuba-33 y Jucarito-104 (J-104), en condiciones de aniego y déficit hídrico.
Las actividades experimentales fueron realizadas en el Departamento de Química de la Facultad de Agronomía - Universidad Agraria de La Habana (UNAH), en coordinación con el Instituto Nacional de Ciencias Agrícolas (INCA), Departamento de Fisiología y Bioquímica Vegetal, en donde se realizaron los análisis enzimáticos. El procedimiento de extracción de los AH fue realizado en los laboratorios del Departamento de Química (UNAH) y en el laboratorio de Fisiología Vegetal (INCA).
Los AH fueron caracterizados en el Departamento de Suelos del Instituto de Agronomía de la Universidad Federal Rural de Río de Janeiro, Brasil (10). El vermicompost de estiércol bovino utilizado procedió de la Finca “EL Guayabal”, ubicada en el municipio San José de las Lajas, provincia Mayabeque, Cuba, con coordenadas 22° 59´ 55,95´´ Latitud Norte y 82°10´ 10,27´´ Longitud Oeste.
Las evaluaciones de las plantas creciendo bajo condiciones semicontroladas se realizaron en la fenofase de ahijamiento activo. Estas se desarrollaron en el área de aclimatación del grupo de Biotecnología Vegetal del Departamento de Biología-Sanidad de la UNAH. Se utilizó un diseñó completamente aleatorizado, con un experimento trifactorial completo factor 1: concentraciones de AH, con cuatro niveles (0, 30, 34 y 38 mg L-1); factor 2: cultivares de arroz, con dos niveles (Jucarito104 e IACuba-33); factor 3: condición hídrica de cultivo, con dos niveles (con y sin estrés hídrico). Los 16 tratamientos resultantes se repitieron tres ocasiones, para un total de 48 unidades experimentales. Cada unidad experimental fue una bandeja con dimensiones: 45 cm de largo, 30 cm de ancho y una profundidad de 20 cm. El suelo utilizado fue del tipo Gley Vértico crómico nodular ferruginoso, colocándose 6,5 kg en cada bandeja (11).Las disoluciones de AH fueron asperjadas foliarmente a razón de 3 mL por planta, en una sola ocasión, cinco días antes del registro de datos de las variables evaluadas. Para el manejo del agua en las condiciones de aniego en los cultivares utilizados se siguieron las recomendaciones del Instructivo Técnico del Arroz (1). En el caso de los tratamientos de déficit hídrico del suelo, el manejo de agua se realizó del siguiente modo: pasados cinco días después de haber ocurrido la germinación se realizó el primer riego; posteriormente se regó con una frecuencia diaria durante tres días, efectuándose el raleo al cuarto día, dejando 10 plantas en cada bandeja. Los riegos diarios continuaron hasta que el cultivo llegó a 15 días antes del ahijamiento activo, momento en el cual se suspendió el riego, con el objetivo de inducir déficit hídrico en dicha etapa (12).
El cultivar Jucarito-104 de ciclo medio, recomendado para condiciones de aniego (13), fue donado por la Unidad Científico Tecnológica de Base Los Palacios, Pinar del Río (UCTB) perteneciente al INCA; y el cultivar IACuba-33 de ciclo corto, recomendado para condiciones de bajos insumo de agua y fertilizantes nitrogenados, fue donado por el Instituto de Investigaciones de Granos. Las concentraciones de AH utilizadas fueron de 30, 34 y 38 mg L-1 (14). Los indicadores evaluados fueron: crecimiento en altura (medida desde la superficie del suelo hasta la punta de la hoja más alta), utilizando una regla milimetrada Lugarex 22514 con un margen de error de 0,1 cm; masa seca de la parte radical, secada en una estufa (modelo Venticell Medcenter) a 80 °C hasta peso constante, posteriormente se pesó utilizando una balanza analítica (modelo Sartorius, precisión ± 0,0001 g). La actividad enzimática de la peroxidasas POXs (15) y el contenido de proteínas totales solubles (16), fueron determinadas utilizando un total de cinco plantas por tratamiento, de las cuales se extrajeron tres muestras de 0,25 g de tejido foliar.
Previo al análisis estadístico se comprobaron normalidad de los datos y homogeneidad de varianzas. Los análisis estadísticos realizados fueron un ANOVA simple y separación de medias por la DSH de Tukey. Se utilizó el programa estadístico STATGRAPHICS versión 5.1. Todos los datos iniciales fueron procesados por la herramienta Excel del Microsoft Office 2010.
El espectro de absorción UV-Vis de los AH muestra la presencia de una banda intensa a las menores longitudes de onda, que oscilan entre 200 - 250 nm, la cual es asignada a estructuras con enlaces insaturados (17). La relación E4/E6 fue de 4,22, el rango de valores publicados para AH es de 3 a 5 (18) (Figura 1).

Los valores indicados en la Tabla 1 muestran que los AH obtenidos poseen una composición que se encuentra dentro de los rangos informados para ese tipo de sustancia húmica extraída, tanto para materiales compostados y vermicompostados (19), como los presentes en los suelos (20).

La relación H/C tiene un valor semejante a los resultados ya publicados en otras investigaciones (10). Su bajo valor es un indicativo del elevado grado de aromaticidad presente en la estructura, lo cual reafirma lo encontrado en la espectroscopia UV-Vis y la relación E4/E6. El valor de la relación O/C se considera elevada, indicativo de una extensa presencia de estructuras oxigenadas (grupos hidróxidos, carboxilos, fenoles y quinonas). El valor de la relación C/N es semejante a valores publicados para este tipo de sustancias.
En la Figura 2 se presenta el espectro FTIR de los AH, el cual presentó semejanza con los informados en la literatura para materiales compostados y vermicompostados (7).

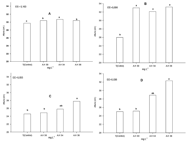
La Figura 3 muestra los resultados de la aspersión foliar de los AH en la variable altura de la planta en los cultivares J 104 e IACuba-33 en condiciones semicontroladas, bajo aniego y déficit hídrico del suelo.

En la Figura 3A las tres concentraciones utilizadas lograron estimular la altura en el cultivar J 104 para la condición de aniego, siendo la concentración de 34 mg L-1 la que logró mayor estimulo significativo respecto al control. Así mismo se evidenció que en la Figura 3B pero ahora utilizando el cultivar IACuba-33, se encontró que también las tres concentraciones asperjadas alcanzaron un estímulo de hasta el 27 % superior al control bajo dicha condición. Al parecer se pone de manifiesto el efecto variedad y su comportamiento particular ante estas condiciones, obteniéndose mayores resultados en el cultivar IACuba-33.
Para ambos cultivares bajo condiciones de aniego (ambiente idóneo de vida para el cultivo del arroz a pesar de ser una planta hidrófita facultativa), se observó que se produjo un efecto positivo por parte de los AH sobre el crecimiento en altura cuando son asperjados los AH (Figuras 3A y 3B). Esto fisiológicamente es posible si se tiene en cuenta la compleja estructura de los AH así como su riqueza en los grupos funcionales, lo cual podrían justificar dicho comportamiento (19-21). Resultados similares fueron informados por otros autores, trabajando con el cultivar IACuba-30, bajo estas mismas condiciones (9).
Como se aprecia en la Figura 3C para el cultivar J 104 bajo condiciones de déficit hídrico, solo una concentración logró ejercer efectos positivos, alcanzando 12 % superior al control. La tendencia mostrada fue la siguiente, a medida que aumente la concentración de AH aumentará la altura de la planta. Resultados similares se encontraron en la Figura 3D con el cultivar IACuba-33, donde la mayor concentración alcanzó un estímulo significativo de un 28 % superior al control. Estos resultados difieren de lo encontrado cuando se aplicaron concentraciones semejantes sobre plantas de arroz; sin embargo, los mejores efectos fueron logrados por la aplicación de las menores concentraciones (7).
Las plántulas de ambos cultivares en la condición de déficit hídrico alcanzan una altura al menos semejante a los del control en aniego cuando fueron asperjadas las disoluciones de 38 mg L-1. Quizás el efecto de los AH está determinado por su acción semejante a otras hormonas que regulan mecanismos de defensa ante este tipo de estrés. Una posible explicación para estos efectos pudieran ser apoyados sobre la base de una acción de los AH equivalentes al ácido abscísico (ABA), lo cual es química y fisiológicamente posible teniendo en cuenta que la acción de esta hormona natural está determinada por su reconocimiento mediante receptores hormonales, donde los grupos carboxilos de la cadena lateral alifática, así como los hidroxilos y carbonilos de naturaleza cetónica juegan un papel fundamental.
Este efecto tipo ABA pudiera explicar una estimulación en la síntesis de compuestos osmoprotectores en las plántulas que actúan bien como osmolitos (facilitando la retención de agua por el citoplasma y por tanto reajustando el potencial hídrico intracelular (prolinas, acuoporinas), (21,22); y además pudiera estar ocurriendo cierta estimulación en el grupo de enzimas peroxidasas (POX) las cuales ayudan a eliminar especies reactivas de oxígeno en exceso, producidas por el estrés oxidativo que se genera por el déficit de agua.
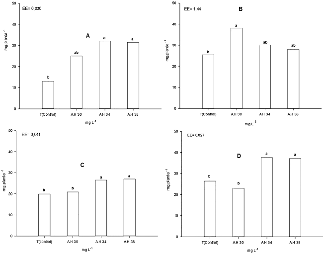
Un buen desarrollo del sistema radical para la mayoría de los cultivos y específicamente el caso del cultivo del arroz, favorece en un mejor aprovechamiento y más eficiente de los elementos minerales presentes en el complejo suelo, confiriéndole a la planta mayores potencialidades de adaptabilidad bajo condiciones adversas, como los son el déficit hídrico que a su vez provoca estrés oxidativo y la baja disponibilidad de elementos nutricionales esenciales (23).
En Figura 4A cultivar J 104 se puede observar que bajo condiciones de aniego y coincidiendo con los resultados obtenidos anteriormente, dos de las tres concentraciones asperjadas lograron superar al control. En este caso las mayores concentraciones (34 y 38 mg L-1 de AH) fueron las que lograron una estimulación significativa, llegando a duplicar al control. Por otra parte en la Figura 4B para el cultivar IACuba-33 bajo esta misma condición y contrario a lo observado en el cultivar J104, se pudo apreciar que la estimulación fue alcanzada al aplicar la menor concentración de 30 mg L-1, alcanzando un 46 % por encima del control.

Al parecer bajo estas condiciones de aniego para los dos cultivares utilizados, la aplicación de diferentes concentraciones de AH logran estimular el proceso de división y expansión celular el cual conlleva al proceso de crecimiento (incremento irreversible de tamaño o volumen) y diferenciación celular (proceso mediante el cual se logra la especialización celular, para que se logre el verdadero desarrollo del cuerpo) (24). Asímismo estas concentraciones bajo estas condiciones, al parecer también lograron que el proceso fotosintético se desarrollase satisfactoriamente, llegando a producir los metabolitos necesarios para garantizar un aumento significativo en la producción de biomasa (6).
Resultados informados por otros autores muestran que las dosis más efectivas de sustancias húmicas tomando como referencia a los AH frente al estrés hídrico varían entre 20 y 46 mg L-1 AH para el cultivo del arroz utilizando otras variedades (25,26).
Las Figuras 4C y 4D cultivar J104 y cultivar IACuba-33 bajo condiciones de déficit hídrico, mostraron que en ambos casos las mayores estimulaciones de la biomasa seca radical se hizo más evidente al asperjar las plantas con las mayores concentraciones 34 y 38 mg L-1 AH , respectivamente.
La condición de estrés hídrico a la cual fue impuesta el cultivo, no afectó significativamente el desarrollo de ambos cultivares cuando fueron asperjadas las mayores concentraciones de los AH, apreciándose un efecto protector de estos compuestos bajo esta condición. Este comportamiento se ha repetido en experimentos ejecutados por otros autores en trigo (27) y en arroz utilizando diferentes cultivares con concentraciones equivalentes a las testadas (25).
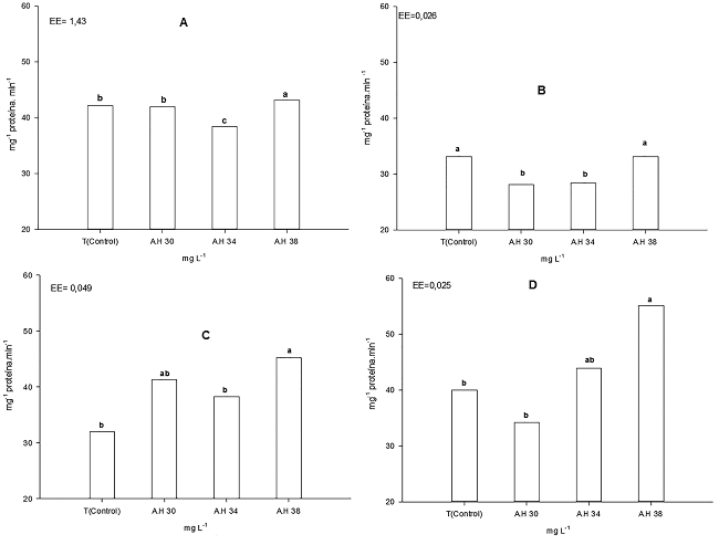
En la Figura 5A cultivar J104 se muestran los valores medios obtenidos en la actividad de peroxidasas en órganos de la parte aérea de la planta bajo condiciones de aniego. Bajo esta condición, las menores concentraciones no lograron estimular significativamente la actividad específica de esta enzima, sin embargo se encontró que con el tratamiento de mayor concentración 38 mg L-1 si estimuló significativamente la actividad de este sistema enzimático. Además, en la Figura 5B para el cultivar IACuba-33 se observó que las concentraciones 30 y 34 mg L-1 de AH produjeron un efecto inhibitorio sobre la actividad enzimática de las POX y la concentración mayor, tampoco modificó dicha actividad enzimática. Al parecer bajo estas condiciones, la mayor concentración sería la más idónea para que no disminuya la actividad de las POX.

Resultados semejantes han sido informados en estudios del cultivo del arroz cultivar J-104 con y sin estrés (28), pero asperjando foliarmente concentraciones de hasta 2 μmol L-1 de epibrasinolida. Otros resultados similares han sido informados trabajando con plantas de arroz exponiéndolas a moderados períodos de humedad y sequía (29).
La Figura 5C cultivar J104 muestra la actividad de las peroxidasas, bajo condiciones de déficit hídrico. Las POX, bajo estas condiciones, actúan sobre las especies reactivas de oxígeno en exceso convirtiéndolas en especies inocuas para las plantas, además participan en varios procesos metabólicos esenciales incluyendo la regulación del crecimiento celular, lignificación, oxidación fenólica y defensa contra patógenos (30).
En esta figura se evidencia que las menores concentraciones de 30 y 34 mg L-1 de AH, no fueron las idóneas para lograr dicha estimulación, siendo la mayor concentración de 38 mg L-1 la que evidenció claramente valores de actividad enzimática superiores a los obtenidos en las plantas del control.
En la Figura 5D, cultivar IACuba-33 en condiciones de déficit hídrico, se pudo corroborar que las menores concentraciones son ineficientes para lograr dicha estimulación. También se observó que al igual que en la Figura 5C, la mejor estimulación se alcanzó al asperjar la mayor concentración 38 mg L-1.
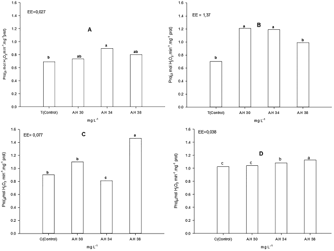
Como se puede apreciar en la Figura 6A, cultivar J104 en condiciones de aniego solamente la concentración de 34 mg L-1 fue capaz de aumentar significativamente la concentración de proteínas, con un 28 % superior al control.

En la Figura 6B cultivar IACuba-33 bajo esta misma condición se observó que en este caso los mayores aumentos de la concentración de proteínas se alcanzó al asperjar la menor concentración de 30 mg L-1 la cual logró una marcada estimulación del 41 % superior al control. El grafico mostró la siguiente tendencia, a medida que disminuye la concentración de AH, aumenta la concentración de proteínas. Resultados similares a los obtenido en este trabajo, han sido informado por otros investigadores realizando estudios del contenido de POX (25), acuoporinas y osmolitos protectores (proteínas) bajo condiciones de aniego y déficit hídrico en plantas de arroz, donde el contenido de proteínas totales se vio estimulado por la aplicación de concentraciones de sustancias húmicas de hasta 40 mg L-1.
Así mismo en la Figura 6C se observa que solo la aplicación de la mayor concentración de 38 mg L-1 con un 62 % superior al control logra provocar un marcado aumento significativo en los niveles de proteínas solubles totales respecto al control.
En la Figura 6D utilizando el cultivar IACuba-33 muestra que el tratamiento cuatro y tres a los cuales les corresponde las mayores concentraciones 34 y 38 mg L-1 de AH lograron modificar las concentraciones de proteínas solubles totales respecto al control, contrario a lo obtenido en este mismo cultivar en condiciones de aniego.
Las diferencias observadas entre un cultivar y otro bajo condiciones de aniego y déficit hídrico pudieran estar justificadas en cierta medida por las características varietales y su comportamiento particular ante estas condiciones. Esta explicación está sustentada por otro autor, quien afirma que diferentes cultivares de arroz presentan diferentes eficiencias para el uso del agua y en el crecimiento (31).
Asimismo, el efecto inducido por parte de los fragmentos estructurales de los AH sobre los diferentes indicadores evaluados bajo condiciones de aniego y déficit hídrico pudiera ser explicado a través de la acción análoga de estos mismos fragmentos estructurales de los AH semejantes a hormonas que participan en la optimización del proceso de defensa de planta en estas condiciones. La abundancia y diversidad de esos grupos funcionales en los AH posibilitan y explican los efectos fisiológicos observados.
Una posible hipótesis para la explicación del efecto protector de los AH bajo condición de déficit hídrico pudiera estar apoyada sobre la base de la acción de los AH tipo ácido abscísico (ABA). Lo cual es posible si se tiene en cuenta el principio de acción de esta hormona natural.
Este efecto tipo ABA (23), pudiera explicar una estimulación en la síntesis de compuestos osmoprotectores en las plántulas que actúan bien como osmolitos (facilitando la retención de agua por el citoplasma y por tanto reajustando el potencial hídrico intracelular (prolinas, acuoporinas) y además pudiera estar ocurriendo cierta estimulación en el grupo de enzimas peroxidasas (POX) las cuales ayudan a eliminar especies activas de oxígeno producidas en exceso por el estrés oxidativo que se genera por el déficit de agua.
Los AH extraídos presentan características semejantes a los estándares de la Sociedad Internacional de Sustancias Húmicas (IHSS). La espectroscopía UV-Vis muestra elevada presencia de estructuras aromáticas y quinonas, en tanto que la relación E4/E6 justifica un elevado grado de condensación aromática. Los espectros FT-IR muestran presencia de diversos grupos funcionales oxigenados característicos (OH, COOH, C=O), que resultan semejantes a los de compuestos naturales en plantas que ejercen actividad hormonal.
Las diferentes concentraciones de AH que fueron asperjadas en ambos cultivares en la etapa de inicio de ahijamiento, estimulan los diferentes indicadores evaluados.
En el cultivar J-104, las concentraciones de 34 y 38 mg L-1 de AH son las que mayor efecto ejercen sobre los indicadores fisiológicos evaluados (altura de la planta y masa seca en la parte radical, en ambas condiciones). Son estas mismas concentraciones las de mejores efectos sobre los dos indicadores bioquímicos utilizados (actividad de peroxidasas y contenido total de proteínas solubles en ambas condiciones).
Para el cultivar IACuba-33, los mejores resultados también se obtienen cuando las plantas son asperjadas con las concentraciones de 34 y 38 mg L-1 de AH. Los indicadores fisiológicos que evidencian dichos resultados son altura de la planta para ambas condiciones y masa seca en la parte radical en condición de déficit hídrico, mientras que para las variables bioquímicas son el contenido total de proteínas solubles y la actividad específica de peroxidasas, en ambas condiciones. A diferencia del efecto inducido en el cultivar J-104, la concentración de 30 mg L-1, asperjada en el cultivar IACuba-33, estimula los indicadores de altura de la planta, masa seca en la parte radical y contenido de proteínas solubles bajo condición de aniego.
*reinierhc86@hotmail.com






