Artículo
Recepción: 01 Agosto 2021
Recibido del documento revisado: 01 Diciembre 2022
Aprobación: 13 Febrero 2023
DOI: https://doi.org/10.15359/ree.27-2.15852
Resumen
Propósito: a) Analizar la percepción que tiene el estudiantado, las personas graduadas y profesorado sobre las competencias docentes que se adquieren durante la formación inicial del bachillerato en la enseñanza de la Educación Física, Deporte y Recreación y b) identificar la relación en la percepción según los años de experiencia o año de carrera cursado.
Metodología: Diseño: estudio descriptivo-interpretativo y ex post facto. Participantes: La muestra estuvo constituida por 58 estudiantes (37% mujeres, 63% hombres), 57 egresados (39% mujeres, 61% hombres) y 24 docentes de universidad (38% mujeres, 62% hombres). Instrumentos: se utilizó el Cuestionario de percepción de competencias docentes de Educación Física. Procedimientos: cada participante completó el consentimiento informado y después el cuestionario relacionado con las competencias docentes presentes en la formación inicial en el bachillerato en Educación Física, Deporte y Recreación. Análisis estadístico: se realizó el análisis de ANOVA 2x3, para grupos independientes y análisis de correlación.
Resultados: El análisis factorial no encontró diferencias entre los tres grupos en ninguna de las cuatro dimensiones. El análisis de correlación encontró que hay relaciones moderadas y significativas en las cuatro dimensiones (0.556, 0.527, 0.578 y 0.545). Adicionalmente, el R2 (0.309, 0.272, 0.331 y 0.297) muestra la varianza explicada, es decir, que de todas las variables que pueden intervenir en la percepción de las competencias docentes en la formación inicial, el 30,9%, 27,2%, 33,1% y el 29,7% predice que la relación está ligada al año que lleva cursado.
Conclusión: Los tres grupos perciben de manera positiva el abordaje de las competencias docentes en la formación inicial, basada en los cuatro factores: procesos de enseñanza y aprendizaje de la educación física; fundamentos del desarrollo físico y psicomotor, contenidos de aprendizaje y actividades físicas e higiene corporal y hábitos saludables (HCHS). En el grupo de estudiantado egresado y personal docente universitario, los años de experiencia laboral no se relacionan con la percepción de competencias docentes en la formación inicial, pero en estudiantes sí, lo cual indica que el año que se encuentra cursando se asocia con la percepción.
Palabras claves: Competencias de docentes, cualificación académica, educación física, formación de docentes.
Abstract
Purpose: a) To analyze the perception that students, graduates, and teachers have about teaching skills acquired during the initial training of the associate’s degree in Physical Education, Sports, and Recreation and b) identify the relationship in the perception based on years of experience or the year of study completed.
Methodology: Design: a descriptive-interpretative and ex post facto study. Participants: The sample consisted of 58 students (37% women, 63% men), 57 graduates (39% women, 61% men), and 24 university professors (38% women, 62% men). Instruments: a Physical Education Teacher Competence Perception Questionnaire was used. Procedures: each participant completed the informed consent and the questionnaire related to the teaching skills in the initial training of the associate’s degree in Physical Education, Sports, and Recreation. Statistical analysis: ANOVA 2x3 analysis was performed for independent groups and correlation analysis.
Results: The factorial analysis found no differences between the three groups in any of the four dimensions. The correlation analysis found moderate and significant relationships in the four dimensions (0.556, 0.527, 0.578, and 0.545). Additionally, R2 (0.309, 0.272, 0.331, and 0.297) shows the explained variance, i.e., from all the variables intervening in the perception of teaching skills in initial training, 30.9%, 27.2%, 33.1%, and 29.7 predict that the relationship is linked to the year already completed.
Conclusion: The three groups positively perceive the approach to teaching competencies in initial training based on the four factors: Physical Education Teaching and Learning Processes, Fundamentals of physical and psychomotor development, Contents of Learning and Physical Activities, and Body Hygiene and Healthy Habits (HCHS). In the group of graduates and university teachers, the years of work experience are not related to the perception of teaching skills in initial training; still, students are, which indicates that the year they are studying is associated with the perception.
Keywords: Teacher training, teacher competencies, academic qualification, physical education.
Resumo
Objetivo: a) Analisar a percepção que estudantes, graduados e professores têm sobre as competências pedagógicas que são adquiridas durante a formação inicial do bacharel no ensino de Educação Física, Esportes e Recreação e b) identificar a relação na percepção de acordo com anos de experiência ou ano de estudo concluído.
Metodologia: É um estudo de caráter descritivo-interpretativo e ex post facto. Participantes: A amostra foi composta por 58 estudantes (37% mulheres, 63% homens), 57 graduados (39% mulheres, 61% homens) e 24 professores universitários (38% mulheres, 62% homens). Instrumentos: foi utilizado o Questionário de Percepção de Competências do Professor de Educação Física. Procedimentos: cada participante preencheu o Termo de Consentimento Livre e Esclarecido e em seguida o questionário referente às competências pedagógicas presentes na formação inicial no bacharelado em Educação Física, Esporte e Recreação. Análise estatística: foi realizada a análise ANOVA 2x3 para grupos independentes e uma análise de correlação.
Resultados: A análise fatorial não encontrou diferenças entre os três grupos em nenhuma das quatro dimensões. A análise de correlação constatou que existem relações moderadas e significativas nas quatro dimensões (0,556, 0,527, 0,578 e 0,545). Adicionalmente, o R2 (0,309, 0,272, 0,331 e 0,297) mostra a variância explicada, ou seja, de todas as variáveis que podem intervir na percepção das competências docentes na formação inicial, 30,9%, 27,2%, 33,1% e 29,7 prevê que o relacionamento está vinculado ao ano que foi concluído.
Conclusão: Os três grupos percebem positivamente a abordagem das competências docentes na formação inicial, com base nos quatro fatores: Processos de Ensino e Aprendizagem da Educação Física, Fundamentos do desenvolvimento físico e psicomotor, Conteúdos de Aprendizagem e Atividades Físicas, e Higiene Corporal e Hábitos Saudáveis (HCHS). No grupo dos licenciados e docentes universitários, os anos de experiência profissional não estão relacionados com a percepção das competências docentes na formação inicial, mas sim os estudantes, o que indica que o ano que estudam está associado à percepção.
Palavras-chave: Formação de professores, competências do professor, qualificação acadêmica, educação física.
Introducción
Los retos que imponen los continuos cambios en la sociedad obligan a una constante adquisición de habilidades y conocimientos, tanto de índole personal, social, económico y profesional. Afrontar dichos desafíos en una sociedad del conocimiento en permanente evolución constituye una gran responsabilidad (Ramírez Mazariegos, 2020). Actualmente, el concepto de competencias profesionales es comprendido como el conjunto de habilidades, conocimientos y actitudes que las personas adquieren para resolver las distintas situaciones propias de su quehacer profesional y que han tomado una relevancia en los procesos de mejora en los distintos contextos laborales (Castejón et al., 2018).
En este momento, la determinación y desarrollo de las competencias constituyen una necesidad en la formación de personas jóvenes y adultas para optar por empleos dignos según las demandas laborales actuales y que promuevan un desarrollo equitativo e inclusivo de las economías de los países (United Nations Educational, Scientific and Cultural Organization UNESCO, 2017). Dichas competencias deben ser claramente establecidas tomando en consideración la velocidad cambiante del mundo y la necesidad de adaptabilidad de las personas en la sociedad y sus contextos laborales, de manera que les permitan actualizarse a lo largo de la vida pues la digitalización, la globalización y la necesidad de engranar cada experiencia de aprendizaje con la siguiente son una realidad permanente (Organización para la Cooperación y Desarrollo Económico [OCDE], 2018).
Las competencias se clasifican, según lo establecido por el proyecto Tunning Educational Structures in Europe (González y Wagenaar, 2003), en aquellas de orden general y las específicas. En las de orden general se incluyen los aspectos intelectuales, interpersonales, personales, organizacionales, tecnológicas, habilidades blandas y empresariales. Estas, a su vez, se clasifican en competencias instrumentales ligadas con habilidades cognitivas, capacidades metodológicas, tecnológicas y lingüísticas, competencias instrumentales asociadas con las capacidades de expresión y capacidades sociales que promuevan la interacción y se tienen todas aquellas competencias sistémicas ligadas a las habilidades y destrezas necesarias para ver los sistemas en su totalidad o integralidad. Por su lado, las denominadas como específicas hacen referencia a competencias necesarias para el adecuado desempeño de la labor profesional y que están asociadas directamente con el conocimiento especializado y técnico (González & Wagenaar, 2003).
En el ámbito educativo formal, las competencias académicas desarrolladas a lo largo del proceso de formación se asocian con aspectos como la capacidad de escritura y la lectura, el razonamiento matemático, la capacidad de comunicación y la escucha, el desarrollo del pensamiento crítico y creativo, así como la resolución de problemas. Todas ellas han sido foco de atención debido a la función que el personal docente desempeña en la formación de profesionales en las distintas áreas, lo cual implica la necesidad de estar al día en capacitación y actualización tanto en conceptos, como en metodologías para propiciar procesos de aprendizaje efectivos acordes con las demandas laborales y sociales (Marcelo & Vaillant, 2018; UNESCO, 2017).
Dentro de este proceso, las universidades desempeñan un rol indiscutible como instituciones de formación, responsables de proveer las competencias, saberes profesionales y las herramientas para continuar aprendiendo a lo largo de la vida. Todo esto se presenta como el reto continuo porque requiere prestar atención a la mejora de la realidad educativa en el aula, la gestión de los aprendizajes, las estrategias de mediación para atender la diversidad, la implicación del estudiantado en la realidad de su contexto, la investigación, la innovación y la gestión académica como parte de su proceso formativo inicial en cada una de las áreas de estudio (Cejas et al., 2020; Rivadeneira Rodríguez, 2017).
En el contexto formativo de profesionales en educación, el concepto de competencias docentes ha tomado, en los últimos diez años, una posición importante, debido a que este tipo de profesionales, a nivel universitario, son responsables de formar a los educadores y educadoras del futuro que asumirán los retos del país (Marcelo & Vaillant, 2018).
Como consecuencia, cobra importancia la calidad de la formación inicial docente (FID), que considera todas aquellas acciones que promueven oportunidades para que los futuros cuerpos profesionales en docencia se apropien de la variedad de saberes y competencias profesionales que le serán necesarias para desempeñar su labor en las distintas realidades educativas y contextos nacionales y regionales (UNESCO, 2017).
El perfil docente comprende cuatro ámbitos que integran habilidades cognitivas y metacognitivas, la primera de ellas es a aprender a pensar como docentes, que implica una revisión crítica de las creencias de sí y el desarrollo del pensamiento pedagógico. La segunda, aprender a saber como docente, que se refiere a diferentes aspectos del conocimiento, incluyendo el que se genera por las propias prácticas. La tercera, aprender a sentir como docentes, que se vincula con la identidad profesional, incluye aspectos emocionales e intelectuales como las actitudes, expectativas, liderazgo y valores. Finalmente, aprender a actuar como docentes, que supone integrar pensamientos, conocimientos y actitudes en la práctica y en contextos disímiles (European Comission, 2013).
Según la revisión nacional e internacional de las competencias profesionales de docentes de Educación Física (EF) (Rodrigez Gomez et al., 2018), no hay asentimiento en las posiciones para delimitar el tema de las competencias que se deben atribuir al perfil del personal educador físico para enfrentarse a los cambios sociales y resignificar su identidad en cuanto a las destrezas de comunicación y liderazgo, por lo que es evidente la urgencia por elaborar programas orientados a la formación inicial y permanente con base en los principales referentes universales.
Dentro de las áreas a fomentar en la FID, Criollo Vargas (2019) mencionan las siguientes: a) competencias asociadas con el área específica de enseñanza, b) competencias asociadas a las metodologías pedagógicas de enseñanza, c) competencias culturales, d) formación continua y desarrollo profesional y e) competencias ligadas con el liderazgo, ética y vocación. De igual modo, Flores-Lueg & Roig-Vila (2016) indican la importancia en la era actual de las competencias digitales tales como la alfabetización informacional, tecnológica y digital entre otras que favorecen los entornos de aprendizaje colaborativo y activo y generan mayor interacción entre las personas.
Cada una de las áreas de formación profesional tiene una serie de competencias específicas que dan forma a sus particularidades. En el caso de la formación de profesionales en la enseñanza de la educación física, contiene una serie de habilidades indispensables para tal objetivo. A este respecto, las investigaciones mencionan que las competencias de mayor impacto con la FID de esta especialidad se relacionan, en mayor medida, con aquellas que promueven el mayor dominio de los contenidos propios de la esta misma, así como las relacionadas con las metodologías adecuadas para poder enseñar los contenidos durante el desarrollo profesional. Estas últimas se caracterizan por sus contenidos de alto valor práctico enfocados en la expresión corporal, la condición física, la salud, las habilidades de tipo motriz y fundamentos deportivos (Castejón et al., 2018; Cejas et al., 2020; Rivadeneira Rodríguez, 2017).
Viendo los cambios crecientes en la sociedad actual, se amerita que las personas profesionales en EF desarrollen las competencias necesarias para atender y resolver problemáticas relacionadas con su labor y las distintas realidades contextuales que permitan una formación donde se incentive la reflexión y autocrítica permanente de sus acciones en los entornos de acción (Aparicio Herguedas & Fraile Aranda, 2015).
El análisis de la FID en la EF se ha caracterizado por la heterogeneidad en los grupos abordados. Al respecto, Castejón et al. (2018) valoraron las competencias entre graduados, graduadas, estudiantado y profesorado universitario, y notaron una divergencia entre las percepciones de cada grupo, donde las personas graduadas muestran los valores más altos en la percepción de estas; mientras el profesorado universitario las menores.
A su vez, competencias asociadas con los conocimientos del contenido y su pedagogía mostraron los valores medios entre estudiantes y personas graduadas, y fueron las mejor valoradas. Otro estudio donde se valoró la percepción de las personas graduadas en dos momentos (recién graduados o graduada y obtenido su primer trabajo profesional) mostró datos similares al indicar que las competencias mejor valoras también hacen alusión a los contenidos necesarios para la enseñanza y los contenidos relacionados con el juego como medio didáctico (Campos Mesa et al., 2011).
Otros estudios, en los que se toma como muestra únicamente estudiantado universitario en la FID de la EF, han mostrado una mayor presencia de competencias relacionadas con el liderazgo, la planificación y organización docente, así como las capacidades comunicativas, como resultado posterior a intervenciones con cambio de rol (Fraile Aranda et al., 2018). Otro estudio realizado por Cañadas et al. (2019), el cual contó con la opinión de personas graduadas de EF, demostró que el hecho de estar trabajando no influye en la percepción de las competencias docentes.
Además, las personas graduadas que trabajaban mencionan positivamente los ítems de evaluación que se relacionan con las competencias para el diseño, aplicación y evaluación de los procesos en la formación de profesionales en la EF, así como todos aquellos contenidos deportivos y motrices, además las formas de calificación formativa tienen una mejor percepción dentro de las competencias para la FID.
Por su parte, quienes desarrollan labores docentes, dentro de la docencia valoran con importancia las competencias relacionadas con la evaluación formativa en la EF, mientras que quienes no trabajan también valoran con importancia las competencias asociadas con la enseñanza de los contenidos sobre la salud y condición física.
La Agenda de Educación 2030 (UNESCO, 2017) y la implementación de la Transformación Curricular acogida por el Ministerio de Educación Pública (Ministerio de Educación Pública [MEP], 2015), hacen hincapié en la importancia de atender las exigencias del siglo 21 con altos estándares de calidad educativa a nivel internacional, entendiendo que es un proceso continuo de conocimiento, que incorpora la promoción de los valores, las actitudes, las maneras de pensar (pensamiento crítico, pensamiento sistémico, aprender a aprender, resolución de problemas, creatividad e innovación), formas de vivir en el mundo (ciudadanía global, responsabilidad personal y social, estilos de vida saludable, vida y carrera), herramientas para integrarse al mundo (tecnologías digitales, manejo de la información) y forma de relacionarse con otros seres (colaboración, comunicación).
La formación inicial es el proceso por el cual se dota, a la futura persona docente, de insumos para que pueda desempeñarse acorde con las demandas del entorno pedagógico en función de los planes de estudio: por tanto, las personas graduadas deberían llevarse consigo un compendio de competencias adquiridas en la educación superior que las califique como aptas para asumir las responsabilidades inherentes al cargo; esta misma se caracteriza por un primer nivel de formación inicial docente en el cual el personal docente adquiere las primeras herramientas teórico metodológicas que le posibilitan desempeñarse en la práctica docente y un segundo nivel de formación permanente donde se encuentran los posgrados, las especializaciones y otras actividades de índole formativa (Salazar-Gómez & Tobón, 2018).
El profesorado responsable de la educación superior está llamado a comprometerse con la causa, debe haber consenso en la alineación académica (juego, deporte, etc.), práctica (experiencia docente), personal y la organización secuencial; todo ello fundamentado en experiencias prácticas (Carreiro da Costa et al., 2016).
La influencia que tiene el personal docente universitario en la formación inicial depende de las competencias de manera integral; engloba aspectos tales como las características de la persona docente; cómo se manifiestan en la práctica en lo académico, son características que evolucionan y que se asocian con el comportamiento en general, la toma de decisiones, la capacidad de análisis, la capacidad para transmitir la información, etc. (Cejas et al., 2020).
Finalmente, Pérez-López & Rivera García (2017) destacan que formar docentes es formar personas y, por lo tanto, es primordial diseñar situaciones de aprendizaje orientadas a estimular la reflexión individual y colectiva, con base en la teoría y la práctica en torno a la realidad educativa vigente y las demandas de la sociedad de la mano de la ética y el compromiso social.
Rivadeneira Rodríguez (2017) indica que el personal docente universitario juega un rol en la transformación del estudiantado universitario y que se puede apoyar con estrategias de aprendizaje tales como métodos de casos; aprendizaje basado en la investigación; aprendizaje basado en proyectos; aprendizaje basado en problemas; aprendizaje cooperativo y el aula invertida, para estimular el ambiente de las competencias docente en la formación inicial CDFI y que, a su vez, debe estar apoyado en las relaciones entre la información, el conocimiento y los saberes (saber, saber hacer, saber ser y actuar).
Como conclusión, la OCDE enfatizó que la educación superior tiene que orientar los recursos a programas de estudio eficaces, que se obtengan en el menor tiempo, orientados a la FICD requeridas por los distintos entes empleadores e instituciones que integran los mercados nacionales con el propósito de robustecer la fuerza productiva tan pronto como sea posible (Hernández & Rodríguez Cortés, 2008).
Si bien existe una variedad de estudios relacionados con el tema de las competencias en la FID, la variedad de instrumentos implementados en estos mismos (Salcines et al., 2018) no brindan un abordaje específico sobre las competencias FID en la EF y con ello la percepción en los distintos grupos involucrados como lo son estudiantado, graduados, graduadas y profesorado universitario. Ante ello, Palacios Picos et al. (2019) proponen un instrumento que pretende realizar una valoración específica de las competencias en la EF, generan con ello cuatro factores a ser estudiados: a) competencias relacionadas con los procesos de enseñanza-aprendizaje de la EF, el cual abarca aspectos relacionados con el diseño, desarrollo y evaluación en esta área, b) competencias relacionadas con los fundamentos del desarrollo físico y psicomotor, el cual se centra en el análisis del conocimiento de los elementos del desarrollo físico y motriz como un proceso evolutivo y asociado a la EF, c) competencias relacionadas con los contenidos de aprendizaje y actividades físicas que se enfoca en contenidos vinculados a la iniciación deportiva en las escuelas, las actividades físicas de forma organizada tanto dentro de las instituciones como fuera de las mismas, y por último, d) competencias relacionadas con la higiene corporal y los hábitos saludables en donde se consideran la identificación y prevención de riesgos para la salud vinculados a la actividad física, alimentación, bienestar personal junto con estrategias para la adquisición de hábitos de vida saludable.
Los trabajos en la línea de las CDFI en EF en educación superior (Aparicio-Herguedas et al., 2020; Capel & Blair, 2007; Maher & Fitzgerald, 2020; Martínez Benítez et al., 2017; Páez & Hurtado Almonacid, 2019; Pérez-Pueyo et al., 2020; Programa Estado de la Nación, 2017), muestran la necesidad de diagnosticar una valoración sobre dichas temáticas, con el fin orientar la propuesta curricular del perfil de salida de profesionales en EF.
La OCDE (2018) considera que CDFI son parámetros de calidad para brindar financiamiento en educación. La Agenda de Educación 2030 (UNESCO, 2017) recalca que las políticas sobre las capacidades son base en la formación de profesionales, destaca que la persona docente es la guía y que se requiere una preparación especializada en cuanto a las habilidades del siglo 21, tales como el pensamiento crítico y las habilidades blandas.
Finalmente, el Séptimo Informe del Estado de la Educación (Programa Estado de la Nación en Desarrollo Humano Sostenible, 2019) indica que está inmerso en los niveles macro, meso y micro para la concreción de la política curricular y las acciones a realizar. Ante la necesidad de generar información relacionada con las competencias específicas en la FID en la EF, se establecen como propósitos de esta investigación: a) analizar la percepción que tiene el estudiantado, graduadas, graduados y profesorado sobre las competencias docentes que se adquieren durante la formación inicial del bachillerato en la enseñanza de la Educación Física, Deporte y Recreación y b) identificar la relación en la percepción según los años de experiencia o año de carrera cursado.
Metodología
Diseño
El estudio se inserta en el paradigma cuantitativo. Se realizó un estudio descriptivo-interpretativo y ex post facto debido a que se analiza en retrospectiva el programa de bachillerato. Para la selección de la muestra se llevó a cabo un muestreo no probabilístico.
Participantes
Se contó con la participación voluntaria de personas relacionadas a la Carrera Bachillerato de Educación Física, Deporte y Recreación de la Universidad Nacional de Costa Rica. La muestra estuvo constituida por 58 estudiantes (37% mujeres, 63%), 57 egresados (39% mujeres, 61% hombres) y 24 docentes de universidad (38% mujeres, 62 hombres).
Instrumentos
Para identificar las variables de estudio, se utilizó el Cuestionario de Percepción de Competencias Docentes de Educación Física (Palacios Picos et al., 2019) y que reporta un Alfa de Cronbach α = 0. Se aplicó el instrumento orientado a identificar la percepción que tiene el estudiantado, el personal académico y las personas graduadas sobre las competencias docentes que se adquieren durante la formación inicial del bachillerato en Educación Física, Deporte y Recreación.
Este mismo analiza cuatro factores: procesos de enseñanza y aprendizaje de la EF (PEA), α = 0.85 (ítems 1-2-3-14-16-17-19-20); fundamentos del desarrollo físico y psicomotor (FDPM) α = 0.76 (ítems 4-5-6-7-18); contenidos de aprendizaje y actividades físicas, α = 0.70 (8-9-12-13-15); higiene corporal y hábitos saludables, α = 0.74 (ítems 10-11-21-22). Se utiliza una escala de Likert 0 = nada, 1= poco, 2= medianamente, 3= mucho y 4= muchísimo para indicar las respuestas a los 22 ítems. Por ejemplo, en el ítem 1: Diseñar, aplicar y analizar intervenciones didácticas en la asignatura de Educación Física, al marcar 0 equivale a = nada se percibe.
Procedimientos
Cada participante completó el consentimiento informado y un cuestionario relacionado con las competencias docentes presentes en la formación inicial en el bachillerato en Educación Física, Deporte y Recreación.
El cuestionario se diseñó en formato de encuesta en línea por medio de la herramienta LimeSurvey, se hizo llegar a cada participante por medio del correo electrónico por lo tanto se controla y cuantifica este aspecto en la varianza de error del análisis de ANOVA.
Además, los datos fueron recopilados durante la pandemia.
El protocolo de la investigación fue sometido a consulta del Comité Ético Científico de la Universidad Nacional y recibió la aprobación aprobación del protocolo para su ejecución.
Análisis estadístico
A cada una de las cuatro variables se les realizó pruebas de normalidad; pruebas de igualdad de varianzas de Levene; estadística descriptiva (promedios y desviaciones estándar).
En cuanto la estadística inferencial, para analizar la percepción de las variables dependientes por grupos y por sexo, se realizó el análisis factorial de ANOVA 2x3, para grupos independientes, p < 0.05.
Para analizar la relación entre cada factor y los años de experiencia (de nivel de carrera en el caso del grupo de estudiantes y de experiencia laboral en el grupo de estudiantado egresado y docentes), se realizó análisis de correlación no paramétrica de Spearman p < 0.01. El paquete estadístico empleado fue el IBM SPSS Statistics © 24 versión para Windows.
Resultados
La Tabla 1 y la Tabla 2 corresponden a las pruebas de normalidad e igualdad de varianzas. La Tabla 3 muestra la información descriptiva de las cuatro variables analizadas, puntajes promedio y sus desviaciones estándar.
El análisis de ANOVA no encontró diferencias entre los promedios de los tres grupos en ninguna de las cuatro dimensiones, por lo cual se mantiene la hipótesis nula. Esto se puede interpretar que la percepción es homogénea, para todos los grupos, los valores dados a las respuestas oscilan entre los puntajes de 2.76 ± 0.91 y 3.17 ± 0.58 (Tabla 4).




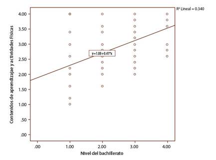
La Tabla 5, la Figura 1, la Figura 2, la Figura 3 y la Figura 4 muestran los resultados de la correlación de Spearman. En personas graduadas y profesorado universitario no hay relaciones según los años de experiencia. En el grupo de estudiantes, hay relaciones moderadas y significativas en todos los factores. Adicionalmente, el R2 muestra que la percepción de CDFI se relaciona con el año cursado del programa de estudio.





Los resultados muestran que no hay diferencias entre grupos y sexo, la percepción está presente, sin embargo, queda un margen para perfeccionar con el programa, debido a que la percepción mejora con los años de estudio, pero aún queda trabajo pendiente e intencionado y en relación con los años de experiencia, no tienen impacto en personas graduadas y profesorado, mientras que, en el estudiantado, el programa mejora la valoración que tienen en la percepción de las CDFI conforme aumenta el año de carrera cursado.
Discusión
El primer propósito determinó que los grupos, independientemente del sexo, valoran de moderadamente a mucho las CDFI. Tanto el estudiantado, las personas graduadas y el profesorado universitario perciben positivamente el trabajo de las CDFI en los cuatro factores. Por último, las valoraciones promedio reflejan la oportunidad de trabajos adicionales para alcanzar valoraciones más altas.
Los datos obtenidos con las personas graduadas comparten similitud con lo reportado por Zapatero Ayuso et al. (2012), donde indican, en las personas graduadas, haber recibido una FI adecuada y donde las principales necesidades en la formación inicial deben recalcar sobre los elementos relacionados con los conocimientos para evaluar, programar y las metodologías para enseñar.
Cabe mencionar que, además, para Gutiérrez-Díaz del Campo et al. (2017) las personas graduadas mostraron una valoración alta en la percepción de la potencial contribución de la EF al desarrollo de las competencias relacionadas con aspectos sociales y actitudinales; según los resultados obtenidos, las personas graduadas no muestran ninguna diferencia entre las variables analizadas.
El segundo propósito se relacionó con la percepción de los factores y los años de experiencia. Este muestra que no existe una relación en el grupo graduado y tampoco en el profesorado, lo que implica que los años de experiencia no tienen relación con la manera en que se perciben las CDFI. En cambio, en el caso del estudiantado universitario, sí hay una relación moderada y conforme aumenta el año cursado, aumenta la valoración de cómo perciben las CDFI. En este sentido, los resultados reflejan que la percepción se forma en los años iniciales, una vez que se gradúa, la percepción ya está formada, por lo tanto, la formación inicial es la que va a determinar la valoración de la percepción de las competencias docentes. Sin embargo, se encontró que las personas graduadas con una trayectoria de entre 3 y 8 años de experiencia valoran más positivamente la incorporación de las CDFI p=0.003 (Hortigüela et al., 2017).
Los resultados de la presente investigación no contemplaron las competencias tecnológicas, lo cual amerita de revisión, porque en el trabajo realizado por Almerich et al. (2020) se observó que, para el estudiantado, las competencias en el uso de las tecnologías de la información y la comunicación se relacionan con las competencias de trabajo en equipo (habilidades comunicación, interpersonales y trabajo en grupo p=0.000) las cuales son consideras habilidades blandas deseables.
En conclusión, se observa, de manera positiva, en los tres grupos, la percepción sobre la necesidad de las competencias en la formación inicial docente en la Educación Física, la cual debe enfocarse en los factores relacionados con procesos de enseñanza y aprendizaje de la Educación Física; fundamentos del desarrollo físico y psicomotor, contenidos de aprendizaje y actividades físicas e higiene corporal y hábitos saludables. Aspectos como la experiencia laboral parecen no ser una limitante en la percepción de las competencias docentes; sin embargo, en estudiantes que inician su formación dichos conceptos aún no tienen un nivel de madurez suficiente que reflejen una percepción sobre estas.
Implicaciones teóricas y prácticas
Los planes de estudio pueden diseñarse desde un enfoque de desarrollo de las competencias docentes, de manera tal que en cada nivel de la carrera se trabaje cada una de ellas en función de su nivel de complejidad. Sobre todo, porque las políticas educativas actuales lo demandan y adicionalmente, el perfil de salida debe responder a las demandas de los procesos de selección del personal docente. En el contexto de la pandemia, surgieron emprendimientos a través de plataformas digitales y aplicaciones de sofware de videoconferencia, lo cual generó un antes y un después en las formas de aprender a aprender y a enseñar, por lo tanto, las competencias en las tecnologías de la información y comunicación en la Educación Física fueron las mejores aliadas para sostener las actividades docentes y comerciales.
Con base en los datos obtenidos, se sugiere realizar un diseño una investigación experimental robusto, con mediciones pre, post y además cuantificar el tamaño del efecto de la intervención de cada uno de los años de carrera para analizar individualmente los factores y revisar el impacto de las competencias digitales y tecnológicas, con el objetivo de orientar el proceso de manera intencionada. El conocer la percepción que tiene cada grupo puede servir para entender en qué aspectos se debe enfatizar en la formación inicial y orientar al personal docente universitario sobre el abordaje de los contenidos desde el desarrollo de las competencias y, así, aprovechar la valoración positiva que se tiene en la percepción de estas.
Declaración de contribuciones
Las personas autoras declaran que han contribuido en los siguientes roles: M. M. B. contribuyó con la escritura del artículo; la gestión del proceso investigativo; la obtención de fondos, recursos y apoyo tecnológico y el desarrollo de la investigación. C. A. M. contribuyó con la escritura del artículo; la gestión del proceso investigativo; la obtención de fondos, recursos y apoyo tecnológico y el desarrollo de la investigación. W. S. R. contribuyó con la escritura del artículo y el desarrollo de la investigación.
Referencias
Almerich, G., Suárez-Rodríguez, J., Díaz-García, I., & Orellana, N. (2020). Estructura de las competencias del siglo XXI en alumnado del ámbito educativo. Factores personales influyentes. Educacion XX1, 23(1), 45-74. 10.5944/educxx1.23853
Aparicio Herguedas, J. L. & Fraile Aranda, A. (2015). La evaluación de competencias interpersonales en la formación del profesorado de educación física a través de un programa de expresión corporal. International Journal for 21st Century Education, 2(2), 21-34. 10.21071/ij21ce.v2i2.4266
Aparicio-Herguedas, J. L., Rodríguez-Medina, J., González-Hernández, J. C., & Fraile-Aranda, A. (2020). Teaching skills assessment in initial teacher training in physical education Sustainability, 12(22), 1-12. 10.3390/su12229668
Campos Mesa, M. del C., Ries, F., & del Castillo Andrés, Ó. (2011). Análisis de las competencias adquiridas y utilizadas por los egresados maestros en Educación Física. (Analysis of the skills acquired and used by graduated teachers in physical education). RICYDE. Revista Internacional de Ciencias del Deporte, 7(24), 216-229. 10.5232/ricyde2011.02405
Cañadas, L., Santos-Pastor, M. L., & Castejón, F. J. (2019). Competencias del profesorado de educación física y valoración en la práctica profesional. Apunts. Educación Física y Deportes, (139), 33-41. https://revista-apunts.com/competencias-del-profesorado-de-educacion-fisica-y-valoracion-en-la-practica-profesional/
Capel, S. & Blair, R. (2007). Making physical education relevant: Increasing the impact of initial teacher training. London Review of Education, 5(1), 15-34. 10.1080/14748460701241444
Carreiro da Costa, F., Gonzalez Valeiro, M. A., & González Villalobos, M. F. (2016). Innovación en la formación del profesorado de educación física. Retos: Nuevas Tendencias En Educación Física, Deporte y Recreación, 29, 251-257. 10.47197/retos.v0i29.43564
Castejón, F. J., Santos-Pastor, M. L., & Cañadas, L. (2018). Desarrollo de competencias docentes en la formación inicial del profesorado de Educación Física. Relación con los instrumentos de evaluación. Estudios pedagógicos, 44(2), 111-126. 10.4067/S0718-07052018000200111
Cejas, M., Mendoza, D., Alban, C., & Frías, É. (2020). Caracterización del perfil de las competencias laborales en el docente universitario. Orbis, Revista Científica Electrónica de Ciencias Humanas, 15(45), 23-37. 10.2139/ssrn.3639488
Criollo Vargas, M. I. (2019). Competencias del docente del siglo XXI competencias del docente del siglo XXI. Social Work in Education. https://www.researchgate.net/publication/331310407_Competencias_del_docente_del_siglo_XXI_Competencias_del_docente_del_siglo_XXI
European Commission. (2013). Supporting teacher competence development for better learning outcomes.https://www.academia.edu/6623391/Supporting_teacher_competence_development_for_better_learning_outcomes
Flores-Lueg, C. & Roig-Vila, R. (2016). Competencia digital docente: Una cuestión clave para la educación del siglo XXI. En J. Gómez Galán, E. López Meneses, M. A. Queiruga, L. Molina (Eds.), Instructional strategies in techer training (pp. 87-98). UMET Press. https://www.researchgate.net/publication/312295402
Fraile Aranda, A., Aparicio Herguedas, J. L., Asún Dieste, S., & Romero Martín, R. (2018). La evaluación formativa de las competencias genéricas en la formación del profesorado de educación física. Estudios pedagógicos , 44(2), 39-53. 10.4067/S0718-07052018000200039
González, J. & Wagenaar, R. (Eds.). (2003). Tuning educational structures in Europe. Final report. Pilot project t -Phase 1. Universidad de Deusto. http://tuningacademy.org/wp-content/uploads/2014/02/TuningEUI_Final-Report_EN.pdf
Gutiérrez-Díaz del Campo, D., García-López, L. M., Pastor-Vicedo, J. C., Romo-Pérez, V., Eirín-Nemiña, R., & Fernández-Bustos, J. G. (2017). Percepción del profesorado sobre la contribución, dificultades e importancia de la educación física en el enfoque por competencias. Retos, 31, 34-39. 10.47197/retos.v0i31.49090
Hernández, A. R., & Rodríguez Cortés, K. (2008). La organización para la cooperación y el desarrollo económico, ocde, y la definición de competencias en educación superior: El caso de México. Educere, 12(43), 751-758. http://www.scielo.org.ve/pdf/edu/v12n43/art11.pdf
Hortigüela, D., Pérez-Pueyo, A. y Fernández-Río, J. (2017). Implantación de las competencias: Percepciones de directivos y docentes de educación física. Revista Internacional de Medicina y Ciencias de La Actividad Fisica y Del Deporte, 17(66), 261-281. 10.15366/rimcafd2017.66.004
Maher, A. J., & Fitzgerald, H. (2020). Initial teacher education and continuing professional development: The perspectives of special school physical education teachers. Curriculum Studies in Health and Physical Education, 11(1), 8-33. 10.1080/25742981.2019.1696687
Marcelo, C., & Vaillant, D. (2018). La formación inicial docente: Problemas complejos y respuestas disruptivas. Cuadernos de Pedagogía, (489), 27-32. https://www.researchgate.net/publication/325909333_La_formacion_inicial_docente_problemas_complejos_respuestas_disruptivas
Martínez Benítez, J. E., Castillo Cabay, L. C., & Granada Encalada, V. D. (2017). Formación inicial del docente de educación física y su desempeño profesional. EmásF: Revista Digital de Educación Física, (48), 83-95. http://emasf2.webcindario.com/
Ministerio de Educación Pública (MEP). (2015). Fundamentación pedagógica de la transformación curricular. Educar para una nueva ciudadanía. https://www.mep.go.cr/sites/default/files/documentos/transf-curricular-v-academico-vf.pdf
Organización para la Cooperación y Desarrollo Económico (OCDE). (2018). Políticas docentes efectivas: Conclusiones del informe PISA. https://www.oecd.org/pisa/Politicas-docentes-efectivas-Conclusiones-del-informe-PISA-Resumen.pdf
Paez, J. C., & Hurtado Almonacid, J. (2019). Formación inicial docente en profesores de educación física. Levantamiento de competencias específicas a partir de las necesidades del medio educativo. Retos: Nuevas Tendencias En Educación Física, Deporte y Recreación , (35), 61-66. https://dialnet.unirioja.es/servlet/articulo?codigo=6761648
Palacios Picos, A., López-Pastor, V., & Fraile Aranda, A. (2019). Cuestionario de percepción de competencias docentes de educación física. Revista Internacional de Medicina y Ciencias de la Actividad Fisica y el Deporte, 19(75), 445-461. 10.15366/rimcafd2019.75.005
Pérez-López, I., & Rivera García, E. (2017). Formar docentes, formar personas: Análisis de los aprendizajes logrados por estudiantes universitarios desde una experiencia de gamificación. Signo y Pensamientos, 36(70), 98-114. 10.11144/Javeriana.syp36-70.fdfp
Pérez-Pueyo, Á., Hortigüela-Alcalá, D., Hernando-Garijo, A., & Granero-Gallegos, A. (2020). The attitudinal style as a pedagogical model in Physical Education: Analysis of its effects on initial teacher training. International Journal of Environmental Research and Public Health, 17(8), 1-14. 10.3390/ijerph17082816
Programa Estado de la Nación. (2017). Sexto informe estado de la educación. PEN. https://repositorio.conare.ac.cr/handle/20.500.12337/665
Programa Estado de la Nación en Desarrollo Humano Sostenible. (2019). Resumen séptimo informe estado de la educación. PEN. https://repositorio.conare.ac.cr/handle/20.500.12337/7773
Ramírez Mazariegos, L. G. (2020). Profesionalización docente: Competencias en el siglo XXI. Observatorio. Instituto para el Futuro de la Educción, Tecnológico de Monterry [Archivo en un blog]. https://observatorio.tec.mx/edu-bits-blog/profesionalizacion-docente-competencias-siglo-xxi
Rivadeneira Rodríguez, E. M. (2017). Competencias didácticas-pedagógicas del docente, en la transformación del estudiante universitario. ORBIS. Revista Científica Electrónica de Ciencias Humanas, 13(37), 41-55. https://www.redalyc.org/articulo.oa?id=70952383003
Rodrigez Gomez, I., del Valle, S., & de la Vega Marcos, R. (2018). Revisión nacional e internacional de las competencias profesionales de los docentes de Educación Física. Retos , 34, 393-388. 10.47197/retos.v0i34.58609
Salazar-Gómez, E. & Tobón, S. (2018). Análisis documental del proceso de formación docente acorde con la sociedad del conocimiento. Espacios, 39(53), 1-13. https://www.revistaespacios.com/cited2017/cited2017-17.pdf
Salcines, I., González-Fernández, N., Ramírez-García, A., & Martínez-Mínguez, L. (2018). Validación de la escala de autopercepción de competencias transversales y profesionales de estudiantes de Educación Superior. Profesorado, Revista de Currículum y Formación del Profesorado, 22(3), 31-51. 10.30827/profesorado.v22i3.7989
United Nations Educational, Scientific and Cultural Organization (UNESCO). (2017). La formación inicial docente en educación para la ciudadanía en América Latina. Análisis comparado de seis casos nacionales. https://unesdoc.unesco.org/ark:/48223/pf0000369972_spa?posInSet=19&queryId=50ce7668-e66c-4abb-aefe-be91c64352cb
Zapatero Ayuso, J. A., González Rivera, M. D., & Campos Izquierdo, A. (2012). La formación de los docentes de educación física en torno a la enseñanza por competencias a través de un grupo de discusión. EmásF, Revista Digital de Educación Física, 3(17), 6-20. https://dialnet.unirioja.es/servlet/articulo?codigo=3991949