Artículo de investigación
Recepción: 23 Julio 2020
Aprobación: 12 Febrero 2021
DOI: https://doi.org/10.18046/j.estger.2021.159.4186
Resumen:
Este artículo buscó identificar el efecto que tuvo la implementación del aislamiento social preventivo obligatorio en las dinámicas de seguridad y convivencia de Medellín, Colombia. Por medio de un modelo de series de tiempo estructural bayesiano, se calculó el peso que tuvo esta medida preventiva en la variación de los indicadores: homicidios, desplazamiento forzado intraurbano, hurto a personas, hurto de motos, hurto de carros, delitos sexuales, violencia intrafamiliar, riñas y lesiones personales. Los resultados mostraron que tuvo un impacto directo y significativo sobre el comportamiento de los indicadores considerados; se registraron aumentos entre el 9,8 y el 173% y disminuciones entre el 22,9 y el 85%, en comparación con las proyecciones realizadas para un escenario sin esta medida.
Clasificación JEL: C1; I19; Y8.
Palabras clave: crimen, seguridad, COVID-19, aislamiento preventivo obligatorio, análisis bayesiano.
Abstract: This paper aimed to identify the effect that the implementation of preventive mandatory social isolation had on the dynamics of security and coexistence in Medellín, Colombia. Using a Bayesian structural time-series model, the weight of this preventive measure in the variation of the indicators was calculated: homicides, forced intra-urban displacement, robbery, motorcycles theft, car theft, sexual crimes, family violence, fights, and personal injuries. The results showed this measure had a direct and significant impact on the behavior of the indicators considered; there were increases between 9.8% and 173%, and decreases between 22.9% and 85%, compared to the projections without this measure.
Keywords: crime, security, COVID-19, preventive mandatory isolation, bayesian analysis.
Resumo: Este artigo busca identificar o efeito que a implementação do isolamento social preventivo obrigatório -ASPO (em espanhol)- teve sobre a dinâmica da segurança e da convivência em Medellín (Colômbia). Utilizando um modelo de séries temporais estruturais bayesianas, foi calculado o efeito do ASPO na variação dos indicadores: homicídios, deslocamento intraurbano forçado, furto de pessoas, motocicletas e automóveis, crimes sexuais, violência doméstica, brigas e lesões corporais. Os resultados mostraram que o ASPO teve um impacto direto e significativo no comportamento dos indicadores considerados, registrando aumentos entre 9,8% e 173% e diminuições entre 22,9% e 85% em relação às projeções feitas para uma etapa sem ASPO.
Palavras-chave: crime, segurança, COVID-19, isolamento social preventivo obrigatório, análise bayesiana.
1. Introducción
El nuevo coronavirus, identificado también como COVID-191, es una infección respiratoria aguda que surgió a finales de 2019 en la ciudad de Wuhan, provincia de Hubei, en el centro de China. En los primeros meses de 2020, este virus se propagó de forma rápida por todos los continentes, excepto en la Antártida, lo que llevó a que la Organización Mundial de la Salud (OMS) determinara el 11 de marzo de ese año que la COVID-19 debía ser reconocida como una pandemia. Para el 7 de mayo de 2020, se reportaban en el mundo 3.717.144 casos de contagio y 263.862 muertes.
Esta no es la primera pandemia por la que atraviesa la humanidad, pues a lo largo de la historia han ocurrido numerosas tragedias de este tipo, las cuales han amenazado su existencia. Algunas de las más importantes, que han sido documentadas y que han tenido una magnitud significativa, son la plaga de Atenas en el año 430 a. e. c., la peste de Justiniano en el año 451 e. c, la peste negra en el siglo XV y, más recientemente, la gripe española (1918- 1919), la pandemia del VIH/SIDA (1960-presente), la gripe AH1N1 (2009-2010) y el último brote del virus del Ébola en África (2014-2016).
En la actualidad, con el fin de prevenir una mayor expansión del nuevo coronavirus y fortalecer las capacidades de los sistemas de salud para enfrentar la emergencia global, la mayoría de gobiernos han impuesto medidas de cuarentena a sus ciudadanos por un tiempo aproximado de dos meses, para limitar el riesgo de contagios masivos y muertes causadas por esta enfermedad. Mientras en la ciudad de Medellín la cuarentena inició el 21 de marzo de 2020, en Colombia inició de manera formal el 25 de marzo con el Decreto N.o 457 de 2020, y se prolongó hasta finales de mayo, lo que ocasionó múltiples efectos, principalmente en dimensiones económicas, de relacionamiento social, de salud mental y de otras actividades cotidianas desarrolladas en espacios públicos y privados.
Dados los efectos ocasionados por las cuarentenas en diferentes dimensiones humanas, se ha generado un gran interés científico en numerosas áreas del conocimiento para desarrollar investigaciones orientadas a profundizar la comprensión de dichos efectos. Por ejemplo, en términos económicos, Bong et al. (2020) y Cárdenas y Montana (2020) analizaron sus consecuencias a nivel mundial y en Colombia, respectivamente. Con relación al ámbito educativo, destacan los trabajos de Marinoni, Van’t Land y Jensen (2020) y González et al. (2020). De igual forma, ha habido estudios sobre sus efectos en el medio ambiente, como el de Zambrano-Monserrate, Ruano y Sanchez-Alcalde (2020).
En ese sentido, uno de los campos con mayor exploración académica a nivel mundial durante 2020 fue el de la incidencia del aislamiento social preventivo obligatorio (ASPO) sobre el delito; a nivel regional el tema permanece, en gran medida, inexplorado. El objetivo del presente estudio fue estimar para Medellín los efectos que tuvo la implementación del aislamiento social decretado por los gobiernos nacional y local en nueve indicadores de seguridad ciudadana: 1) homicidios, 2) desplazamiento forzado, 3) hurto a personas, 4) hurto de motocicletas, 5) hurto de carros, 6) violencia intrafamiliar (VIF), 7) delitos sexuales, 8) riñas y 9) lesiones personales. Los resultados de esta estimación fueron interpretados a la luz de las teorías criminológicas que han sido adaptadas para estudiar los efectos del confinamiento sobre el delito.
Por medio de la implementación de un modelo de series de tiempo estructural bayesiano (BTST, por sus siglas en inglés), metodología cuasiexperimental, se midió el impacto y significancia estadística de la cuarentena en Medellín sobre el número de hechos ocurridos en relación con los nueve indicadores nombrados. Esta metodología permite evaluar el efecto de una política (decreto de aislamiento social) ante cambios de nivel o en la pendiente de una serie de tiempo luego de la intervención aplicada, en comparación, a su vez, con la dinámica temporal antes de la intervención con estadística bayesiana. En síntesis, se empleó una regresión de estado-espacio para predecir una tendencia contrafactual en un control sintético que ha ocurrido en un escenario sin intervención.
Los resultados de esta metodología mostraron que la cuarentena realizada en Medellín tuvo un impacto directo y de significancia sobre los indicadores de seguridad y convivencia analizados, al compararlos con un escenario sin aislamiento. Estos hallazgos son acordes con los presentados por otros investigadores en otras ciudades del mundo, como Abrams (2020), Campedelli, Aziani y Favarin (2020), Stickle y Felson (2020), o en otras ciudades colombianas, como los de Alvarado, Norza, Perez-Vicent, Tobón y Vanegas-Arias (2020).
El presente artículo se compone de cinco secciones: la presente introducción; el marco teórico que justificó la necesidad y relevancia del estudio; la metodología, en la que se explica en detalle las razones de la implementación de series de tiempo estructural bayesiano (BTST); luego se presentan las características y periodo de las variables seleccionadas, así como los principales resultados obtenidos a través de dicha metodología; y, por último, se desarrolla el apartado de conclusiones y discusión, en el que se exponen algunas hipótesis explicativas en relación con el impacto del aislamiento social obligatorio y los niveles de seguridad ciudadana.
2. Marco teórico
La promoción del ASPO, denominación que se le ha dado en Colombia a la cuarentena, ha llevado a cambios en rutinas y comportamientos que alteran, a su vez, muchos ámbitos de la cotidianidad de las personas y de la misma estructura social, al restringir significativamente la movilidad ciudadana y una gran cantidad de actividades económicas, así como la adaptación a nuevas modalidades de trabajo. Esto abre una posibilidad de investigación pocas veces vista. Dicho potencial no ha pasado desapercibido, pues ha sido aprovechado por investigadores de todo el mundo y de las disciplinas más variadas.
A pesar de la enorme cantidad de artículos y estudios publicados sobre los efectos de la COVID-19 en distintos aspectos de la vida cotidiana, se han identificado pocos que hayan estudiado el efecto de las medidas de restricción de movilidad humana y del aislamiento obligatorio de la población sobre el delito. Ausencia que también fue notada por Campedelli et al. (2020), pero que ha sido superada por el marcado número de estudios publicados durante 2020, número que, se espera, seguirá en incremento en un futuro cercano.
A nivel local, persiste la necesidad de llenar este vacío con estudios sobre los efectos observados hasta el momento, aspecto que identificaron desde los inicios de la pandemia los autores Eisner y Nivette (2020) en su agenda de trabajo sobre los efectos de la COVID-19 en el tema de seguridad. Adicionalmente, desde la planeación de políticas de seguridad y convivencia locales, es prioritario reducir el nivel de incertidumbre con estudios de este tipo, lo que permite establecer alternativas de prevención y control del delito en el corto y mediano plazo, que tomen en consideración los cambios en los patrones de interacción entre personas. Como resaltan Campedelli et al. (2020), los primeros trabajos, entre los cuales se puede considerar el de Dodd y Stewart (2020), el de Russell (2020) y el de Poston (2020), han empleado metodologías descriptivas o estudiado el cambio en los delitos antes y después de la implementación de medidas de distanciamiento social y restricción a la movilidad; estas limitaciones metodológicas hacen necesario trascender a un análisis de causalidad como el que se propone en este estudio.
Para Colombia, el caso más aproximado es la nota macroeconómica “Crimen en tiempos de Coronavirus y cuarentena”, publicada por la Universidad de los Andes (Alvarado y Mejía, 2020). En esta se muestra el cambio que ha generado la implementación de la cuarentena en delitos como el homicidio y la violencia intrafamiliar a nivel nacional. En dicha nota no se emplean modelos econométricos de análisis; esta se limita a la exposición de la evolución de los delitos. Posteriormente, fueron publicados otros trabajos, como el de Alvarado et al. (2020) para Colombia y el de Blattman et al. (2020) para Medellín.
Ahora, con respecto al análisis del efecto causal de las medidas tomadas contra la COVID-19 sobre el crimen, uno de los trabajos más tempranos y robustos identificados es el de Campedelli et al. (2020). Aplicando un modelo de serie de tiempo estructural bayesiano (BSTS), los autores encontraron que, en promedio, delitos como el hurto en general, el hurto a establecimientos comerciales y el asalto por contacto y agresión disminuyeron. Por otro lado, los autores no encontraron un efecto significativo para hurto de vehículos, asalto con lesiones graves, violencia de pareja o violencia de género y homicidio.
Posteriormente, Payne y Morgan (2020) realizaron para el estado de Queensland, Australia, una comparación entre los delitos efectivamente observados y, con base en un modelo autorregresivo integrado de media móvil (ARIMA), una predicción de cómo se hubieran comportado estos sin la existencia de la pandemia. La conclusión a la que llegaron es que no había cambios significativos entre los valores esperados -en ausencia de la COVID-19- y los que en efecto se presentaron. Sin embargo, los autores reconocen que esto puede variar en el futuro próximo al disponer de un mayor horizonte temporal para el análisis.
Un estudio similar fue realizado por Ashby (2020), con un modelo estacional autorregresivo integrado de media móvil (SARIMA), en el cual, para el crimen en Estados Unidos, no se encontraron variaciones significativas entre los niveles delictivos registrados y los esperados en ausencia de la COVID-19 y las medidas implementadas. Puntualmente, se encontró una reducción en el hurto a residencias, que puede ser atribuida a que ahora las personas pasan la mayoría del tiempo en sus hogares, lo que disminuye así la oportunidad que tienen los ladrones para hurtarlas, tal y como señalan los trabajos de Mustaine (1997) y Tseloni, Osborn, Trickett y Pease (2002), citados en Campadelli et al. (2020), y los de Nee y Taylor (2000), citados en Mohler et al. (2020).
Por otro lado, Mohler et al. (2020) estudiaron el impacto del distanciamiento social sobre el crimen en las ciudades de Los Ángeles e Indianápolis en Estados Unidos. Estos autores, al igual que los anteriores, encontraron que, si bien las medidas han contribuido a disminuir algunos delitos específicos, en términos promedios el efecto es poco significativo. Incluso resaltan que, dada la escala de la interrupción en la vida social y económica de la población, esperaban que el efecto fuera mayor. Halford, Dixon, Farrel, Malleson y Tilley (2020), mediante la implementación de un modelo ARIMA sobre el cambio en la actividad delictiva denunciada en Reino Unido, a partir de las restricciones de movilidad implementadas, encontraron que todos los crímenes se redujeron en promedio en un 41%. El crimen que más se redujo fue el hurto a establecimientos comerciales (-62%) y el que menos lo hizo fue el de invasión a la propiedad privada (-25%).
Por su parte, Shayegh y Malpede (2020) realizaron un ejercicio de diferencias en diferencias en el cual analizaron los reportes diarios de crímenes en Estados Unidos y algunas de las principales ciudades europeas. Los autores encontraron que mientras el hurto, el homicidio y los accidentes de tránsito disminuyeron en las ciudades analizadas, el efecto sobre la violencia intrafamiliar fue nulo. De igual forma, dudan de que el impacto sea duradero en el largo plazo, lo que sugiere que una vez retorne la normalidad en términos de distanciamiento social se puede esperar un retorno a los niveles delictivos anteriores a la COVID-19.
En términos generales, los resultados encontrados a nivel mundial son acordes con las teorías criminológicas usadas para interpretar los efectos de las medidas de aislamiento sobre el delito. Las más citadas son aquellas que señalan una disminución del crimen si se reduce la convergencia de potenciales víctimas, victimarios y autoridades en el tiempo y el espacio. Las teorías criminológicas han sido empleadas para analizar el efecto esperado del distanciamiento social implementado en Medellín y en muchas otras regiones del mundo sobre el delito en estos lugares. Al igual que otros autores que han estudiado tales efectos, la base de análisis la proveen los trabajos que ahondaron en la teoría de las oportunidades (Cohen y Felson, 1979; Hindenlang, Gottfredson y Garofalo, 1978), los cuales analizan el comportamiento del crimen desde una perspectiva de actividades rutinarias.
Estos autores señalan que los crímenes requieren una convergencia en el espacio y el tiempo de víctimas, victimarios y la ausencia de autoridades que controlen el delito. Por tanto, al ver reducido el espacio en el cual se encuentran estos actores, es de esperar una reducción de los delitos que ocurren en los espacios de convergencia. Otra teoría criminológica que ha cobrado relevancia en la coyuntura actual, tal y como lo señala Campedelli (2020), es la de patrones delictivos de Brantingham y Brantingham (1984), la cual analiza los patrones criminales asociados a la convergencia espaciotemporal de víctimas y victimarios. Esta es una de las hipótesis de las que se parte en este estudio, pues, como se verá en adelante, las medidas de aislamiento social tienen un efecto significativo sobre diferentes delitos -en especial aquellos que se dan en espacios públicos-, como el hurto a personas, el hurto de vehículos, el hurto a establecimientos comerciales, las lesiones personales, las riñas, el desplazamiento forzado intraurbano y los homicidios.
En el caso de violencias que se dan en la esfera privada, como la de tipo intrafamiliar, estas teorías no contribuyen a explicar su comportamiento; por eso, se sigue a Agnew (1992) y su teoría de tensión general, que predice aumentos asociados a un incremento en niveles de estrés, lo que ha sido parcialmente confirmado por estudios como los de Agüero (2020) y Moreira y Pinto da Costa (2020). De igual forma, siguiendo a LeBeau (2002), este aumento puede ser explicado por cambios en las convergencias de víctimas y victimarios.
3. Metodología
Teniendo en cuenta que se pretende evaluar si el ASPO dispuesto como medida de prevención ante la pandemia de la COVID-19 causa un cambio en los indicadores de seguridad y convivencia de la ciudad de Medellín, el presente estudio recurrió inicialmente a la metodología de ensayo controlado aleatorio (RCT, por sus siglas en inglés) (Rubin, 1974), usada para análisis de la intervención gubernamental. Luego de las primeras modelaciones se encontró que, al tratarse de una metodología estándar para estimar el efecto de una intervención, esta no apuntaba al objetivo de evaluar el impacto causal de la medida, dado que las políticas de distanciamiento y aislamiento social se aplican en toda la ciudad, lo que hace imposible definir regiones de tratamiento y control dentro del mismo territorio.
Dadas estas restricciones de un cambio estructural que imposibilitan la tenencia de observaciones de tratamiento y control, fue necesario explorar otras metodologías que permitieran aislar los efectos y así determinar la causalidad del ASPO sobre los indicadores de seguridad y convivencia analizados. Para ello se recurrió a trabajos como el de Pearl (2009), quien demostró que los estudios observacionales post facto con un cambio estructural en el tiempo no responden a inferencia causal por la presencia de observaciones de control.
De esta forma, se acudió a alternativas cuasiexperimentales para superar los limitantes que tiene la metodología RCT. Es el caso de series de tiempo interrumpidas que han ganado popularidad en campos como la sociología y la criminología. Las series de tiempo interrumpidas permiten evaluar el efecto de una política ante cambios de nivel o en la pendiente de una serie de tiempo después de aplicar una intervención. Evaluando la influencia causal de una intervención con estadística bayesiana, es posible comparar la dinámica temporal antes de la intervención.
Siguiendo el objetivo de este trabajo y lo mencionado previamente, se aplicó un modelo BSTS en el software R (Brodersen, Gallusser, Koehler, Remy y Scott, 2015). Esta metodología permite medir el impacto y la significancia estadística de un evento en la variable de interés, en este caso el número de hechos ocurridos (registros oficiales de las instituciones de seguridad) por homicidios, desplazamiento forzado intraurbano, hurto a personas, hurto de motocicletas, hurto de automóviles, riñas, casos de lesiones personales, delitos sexuales y violencia intrafamiliar. Específicamente, se emplea una regresión de estado-espacio que predice una tendencia contrafactual en un control sintético que ha ocurrido en un escenario de no intervención. Las BSTS son modelos estado-espacio definidos por dos ecuaciones. La primera es la ecuación de observación, representada por (1).
(1)donde Yt es un escalar, Zt es un vector d-dimensional y εt~N(0,σt²) es el término de error, ruido blanco con media cero y varianza constante (σt²). La ecuación de observación conecta los datos observados Yt a un vector de estado d-dimensional latente _t. La segunda es la ecuación de estado, representada por (2).
(2)donde Tt es una matriz de transición de dimensión d × d, Rt es una matriz de control de dimensión d × q, ƞ t es el vector de error q-dimensional con una matriz de difusión de estado Qt de dimensión q × q, tal que ƞ t~N(0,Qt). La ecuación de estado gobierna el cambio dinámico del vector de estado αt a través del tiempo.
De acuerdo con Jalali y Rabotyagov (2020), entre las ventajas de los modelos estado-espacio frente a los modelos ARIMA están las soluciones a los problemas de sobreentrenamiento, en especial cuando se trabaja con series de tiempo cortas con un número considerable de parámetros de estimación. Los modelos estado-espacio permiten imponer un parámetro de incertidumbre que es muy útil a la hora de realizar pronósticos; además, todos los modelos ARIMA se pueden expresar en una forma estado-espacio. Asimismo, la principal ventaja de este método es que el componente de estado en la regresión permite obtener una predicción contrafactual mediante la construcción de un control sintético, basado en una combinación de variables no tratadas. En resumen, unir el método de control sintético con BSTS permite hacer inferencia causal modelando explícitamente el contrafactual de una variable resultado antes y después de la intervención.
La dimensión inferencial en el modelo comprende tres componentes. El primero dibuja los parámetros θ del modelo y el vector de estado _(dado Y1:n, es decir, datos observados en el periodo de entrenamiento) simulados. El segundo usa simulaciones posteriores en el modelo para simular desde p( _~n+1:m | Y1:n ), que es la distribución predictiva posterior, con Ȳ~n+1:m como la serie de tiempo contrafactual y Y1:n como la serie de tiempo observada antes de la intervención. El tercero usa muestras predictivas posteriores, el modelo computa el impacto de la distribución posterior al punto de quiebre Yt - ~ Ȳt para cada unidad de tiempo t. Se construyeron tres variables de control que, tal como lo exige el método, no están afectadas por las medidas del aislamiento: la primera toma valor de 1 para sábados y domingos y 0 en otro caso; la segunda toma valor de 1 para los días festivos; y la tercera toma el valor de 1 para el día hábil más cercano a las fechas de pago salarial. Se estimaron diferentes combinaciones usando las diferentes variables control y se eligió la estimación con el mejor error cuadrático medio (ECM).
3.1 Datos
Para este análisis, se usaron los datos históricos de hechos delictivos ocurridos en la ciudad de Medellín, información que reposa en el Sistema de Información para la Seguridad y la Convivencia (SISC), de la Secretaría de Seguridad del Municipio de Medellín, Colombia. Los datos son tomados para el periodo entre el 1.° de enero de 2019 y el 30 de abril de 2020; de este periodo de referencia se usan datos preintervención, que corresponden al lapso entre el 1.° de enero de 2019 y el 20 de marzo de 2020, y se usan datos de intervención, correspondientes al periodo entre el 21 de marzo y el 30 de abril de 2020. Durante el periodo de intervención, la ciudadanía estuvo en ASPO por COVID-19 sin mayores alteraciones durante los primeros 41 días.
La base de datos contiene el número diario de casos registrados para cada uno de los delitos analizados en el periodo comprendido entre el 1.° de enero de 2019 y el 30 de abril de 2020. Estos delitos son desplazamiento forzado, homicidios, hurto a personas, hurto de carros, hurto de motos, hurto a establecimientos comerciales, llamadas con reportes de casos de violencia intrafamiliar (Secad, sistema de Información para el Seguimiento y Control de Caos) y solicitudes de protección por violencia intrafamiliar (Theta, sistema de información de estas comisarías), llamadas sobre reportes de lesiones personales, riñas y delitos sexuales.
En la figura 1 se presenta la evaluación de las series de tiempo consideradas que presentan incrementos anormales para los indicadores de violencia intrafamiliar, lesiones personales y riñas en fechas que coinciden con festividades especiales, como, por ejemplo, el Día de la Madre, Día del Padre y fiestas de fin de año. En la figura, la línea azul claro es el comportamiento real y la línea azul oscuro es el comportamiento contrafactual, lo que muestra que el modelo estimado predice bien el comportamiento de los delitos, ya que se tuvo una combinación óptima de variables control en términos del ECM. Se observa que tanto el homicidio como el desplazamiento forzado intraurbano muestran un comportamiento con picos menores en comparación con el periodo anterior al ASPO, su comportamiento es menos volátil y la tendencia completa se ubica en un nivel más cercano a cero para los dos indicadores durante la cuarentena.

Para las diferentes conductas de hurto, se observa un cambio de corte más estructural, ya que se observa un nivel notablemente más bajo de casos de victimización por estos delitos después del inicio de la cuarentena. En cuanto al indicador de VIF (con información del sistema Theta), es interesante su comportamiento, puesto que al inicio de la cuarentena cae notablemente y en días posteriores vuelve a incrementarse, pero sin superar los picos del periodo pre-ASPO. En comparación con los hurtos, el indicador VIF, cuya fuente es el Secad (llamadas ciudadanas en las que se reportan hechos de violencia intrafamiliar), tiene un comportamiento ascendente durante la cuarentena.
Con respecto al indicador de riñas, cae el número de casos reportados por la ciudadanía al principio de la cuarentena y luego tiene un comportamiento ascendente. Por último, en relación con las lesiones personales, estas disminuyen notablemente al inicio de la cuarentena, aunque la tendencia sigue siendo estable. En la tabla 1 se muestran las estadísticas descriptivas para cada uno de los delitos. Se observa que el tamaño de la muestra es de 486 días para todos los delitos excepto para desplazamiento forzado intraurbano, debido a que este solo se tiene información histórica de 213 días.

4. Resultados
En esta sección se presentan los resultados de la aplicación de la metodología de manera individual para cada uno de los nueve delitos observados (incluyendo las dos fuentes de violencia intrafamiliar, Theta y Secad). La fecha en que inició la intervención fue el 21 de marzo de 2020 y se mantuvo estricta hasta el 30 de abril (41 días). Adicionalmente, se postulan hipótesis alrededor de lo que pudo pasar en la ciudad para que, ante la medida de aislamiento dispuesta por el Gobierno nacional, el comportamiento de los delitos se diera tal y como lo calculó el modelo aplicado.
Se presenta una prueba de medias para los periodos antes y durante la intervención y para cada uno de los delitos; esta prueba permite validar si hay cambios significativos de manera no condicionada sobre las variables de interés. Asimismo, se aplican pruebas de medias sobre las variables de control para validar la elección, considerando que el método exige que estas no se vean afectadas por el tratamiento; no obstante, estimando que las variables de control son indicativos de fin de semana y de días feriados, no tiene sentido hacer pruebas de medias dado que su patrón de comportamiento es perdurable en el tiempo. En la tabla 2 se presentan los resultados obtenidos para las pruebas de medias. En general, se observan diferencias significativas con un nivel de significancia del 95% para todos los delitos. En síntesis, es viable evaluar el efecto del ASPO sobre cada uno de los delitos a partir del método BSTS.

El análisis de varianza ANOVA reafirma los resultados obtenidos mediante la prueba de medias, y muestra diferencias significativas en los periodos evaluados para la mayoría de conductas. En la figura 2 se observa cómo la violencia intrafamiliar, según la información del Secad, presentó diferencias positivas, lo cual significa un incremento en los casos para esta conducta. Las otras conductas muestran un resultado negativo, lo que indica una disminución en la ocurrencia de estos hechos.

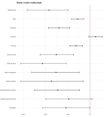
En cuanto a la aplicación de metodología BSTS, se estimó un modelo multivariado, el cual incorpora las variables de control (identificador de fin de semana y días festivos). Si bien al momento de calibrar los modelos se contaba con información disponible al 30 de mayo de 2020, se decidió hacer la estimación con datos hasta el 30 de abril, dado que, primero, en los delitos asociados a hurtos, violencia sexual y desplazamiento forzado, las bases de datos toman hasta un mes en consolidarse y, segundo, el ASPO fue más estricto hasta el 30 de abril, pues posteriormente fue más laxo por las excepciones de sectores económicos que podían iniciar actividades y movilizarse por la ciudad. (Figura 3)

Para simplificar la interpretación de los resultados, en este apartado se hace referencia a las variaciones en cada caso por medio de los efectos relativos acumulados multivariados, esto por las siguientes razones: primero, porque es más ilustrativo ver el impacto agregado que generaron las medidas, pues este da cuenta de la variación antes y después de la medida con respecto al comportamiento proyectado para los 41 días posteriores a la implementación de la medida; segundo, porque permite evidenciar el impacto del ASPO en relación con el volumen de datos de cada delito en comparación con el mismo delito y no entre delitos que pueden reportar cifras muy disimiles, y, tercero, porque las variables de control le dan mayor confianza y significancia estadística sobre los resultados.
Ahora, para el análisis de la tabla 3, se debe tener en cuenta que la columna actual corresponde al dato entre el 21 de marzo de 2020 y el 30 de abril del mismo año, ya sea como promedio diario o acumulado. La columna predicción obedece a la estimación a la que se llegó con el modelo de BTST, y la columna de efecto absoluto responde a la diferencia total entre la proyección y las cifras reportadas al 30 de abril de 2020. El efecto relativo, por su parte, contiene la variación, pero expresada en porcentajes, lo cual, como ya se mencionó, es útil para contrastar la variación en los indicadores con su respectiva proyección y no en términos absolutos con los demás. Por último, están las columnas de probabilidad posterior en cola, que dan cuenta de que la probabilidad del efecto responde a causas diferentes al ASPO.
De acuerdo con la tabla 3, se puede concluir que el ASPO tuvo un impacto considerable en la mayoría de los delitos analizados, además de ser significativo. También se debe advertir que el delito que presentó una mayor disminución con respecto a la predicción fue el hurto de carros, el cual presentó una reducción de hasta el 85% entre la proyección y el escenario efectivamente registrado. Por su parte, el indicador con menos disminución fue el de las riñas, el cual se redujo en un 22,2% en comparación con la proyección.

Solo un indicador presentó aumentos tras la implementación del ASPO. Se trata de los casos de violencia intrafamiliar reportados mediante llamadas telefónicas a la línea de emergencias y seguridad 123; se registraron 533 casos más que los proyectados antes del aislamiento, equivalentes a un aumento del 9,8%. Para entender la influencia del ASPO en la reducción o aumento de los indicadores de seguridad y convivencia en la ciudad de Medellín, hay que centrar el análisis en cómo ha incidido esta medida para evitar la propagación de la COVD-19 en la ciudad en la comisión o no de eventos criminales.
4.1 Reducción de la movilidad humana
Un evento criminal es el resultado de decisiones que toman individuos en un contexto situacional específico. Estos eventos delictivos se componen de la persona (influenciada por sus experiencias) que comete el delito, características físicas y sociales del lugar, temporalidad y presencia de estímulos o factores en el entorno para cometer el delito. Centrar el análisis en dichos eventos permite identificar los diversos factores que los configuran (Sanguinetti et al., 2014). Siguiendo este marco conceptual, la probabilidad de que los individuos decidan participar en la comisión de un delito se encuentra condicionada por su propensión criminal y exposición criminógena. La primera se refiere a las características intrínsecas del individuo de ver el delito como una opción en un momento determinado, y la segunda habla sobre el grado de probabilidad de que el individuo se encuentre en situaciones de alto riesgo de incurrir en un delito.
La exposición criminógena comprende el conjunto de estímulos, incentivos u obstáculos que enfrenta un individuo en determinado entorno. Aquí son determinantes el contexto social, las condiciones físicas del espacio, las actividades rutinarias desarrolladas, el funcionamiento y acceso fácil a mercados ilegales, la presencia o no de autoridades policiales, los espacios públicos deteriorados, el alto flujo de personas en un lugar, la ausencia de cohesión social y de vigilancia informal y la presencia de víctimas potenciales o socios para cometer el crimen (Brantingham y Brantingham, 1984).
La implementación del ASPO redujo significativa-mente los patrones de movilidad humana en el país. Según Alvarado y Mejía (2020), apoyados en la herramienta COVID-19 Community Mobility Report de Google, la movilidad de personas y vehículos en Colombia, para finales de marzo de 2020, disminuyó un 86% hacia sitios de comercio y recreación, un 80% hacia parques y cerca de un 68% hacia centros de abastecimiento de alimentos, supermercados y farmacias. En este sentido, además de generar impactos complejos sobre las dimensiones sociales y económicas de los municipios del país, la cuarentena tuvo efectos sobre el comportamiento de diferentes delitos y manifestaciones de violencia, lo que afectó principalmente el nivel de ocurrencia de los eventos delictivos al trastocar alguno de sus componentes, la persona o el contexto situacional particular en el que ocurre.
Ahora bien, que la disminución de la movilidad humana en la ciudad sea comprendida como uno de los principales factores de incidencia concuerda con la reducción de algunos de los delitos, especialmente aquellos que se dan en la vía pública, como el hurto a personas (-69,8%), el hurto de motocicletas (-60,7%), el hurto de automóviles (-85%), las riñas (-22,2%) y las lesiones personales (-56,1%). Estas variaciones dan cuenta de cómo efectivamente el aislamiento modificó los lugares de socialización, las actividades rutinarias y, en el mismo sentido, afectó la frecuencia con que ocurrieron los delitos en el espacio público.
Para delitos como el homicidio, que se redujo en un 43% de acuerdo con la predicción, la clausura de establecimientos públicos también pudo significar la reducción de las riñas, las cuales en ocasiones terminan con la muerte de alguno de los implicados (10% de los homicidios durante este período estuvieron asociados a problemas de convivencia, en tiempos normales este porcentaje oscila entre el 12 y el 15%). Para el caso del desplazamiento forzado intraurbano, que se redujo en 38%, esta variación corresponde, al menos durante los primeros días del ASPO, a cambios en las dinámicas de control ejercidas por grupos armados ilegales de la ciudad, quienes son los responsables directos de cada caso de desplazamiento.
Esta hipótesis parte de la idea de que, retomando las posturas de Cohen y Felson (1979) y Hindenlang et al. (1978), en última instancia un delito es un hecho social que se configura a partir de la relación entre dos o más sujetos, que para el caso de los indicadores analizados se dan casi siempre de forma presencial y por autoría inmediata. Ante la regulación a la movilidad y el control preventivo por parte de las autoridades de policía, parece inevitable que los encuentros y situaciones que potencialmente terminen en un delito, entre víctima y victimario, se reduzcan según el caso en los niveles expuestos previamente en la tabla 3.
4.2 Reducción de la capacidad institucional
Una segunda razón por la cual se pudieron intensificar las reducciones en los delitos analizados está relacionada con la disminución de la capacidad institucional para la atención de las víctimas, como es el caso de violencia intrafamiliar. En el periodo de cuarentena, gran parte de las Comisarías de Familia2 no estuvieron abiertas físicamente en Medellín para la atención ciudadana, debido a las regulaciones y restricciones de movilidad impuestas para todas las personas. El cierre ocasionó una disminución en los datos provenientes del Theta.
La disminución en las solicitudes de medidas de protección formales contrasta con el aumento de las llamadas telefónicas en las que se reportan casos de violencia intrafamiliar. Esto sugiere que, debido a las restricciones en la movilidad y disminución de la atención institucional en espacios físicos, las víctimas por este delito pudieron encontrar barreras para dar a conocer el caso ante las autoridades por medio de la denuncia o la solicitud de medidas de protección. En ese sentido, ante el aumento de llamadas por violencia intrafamiliar en la ciudad, la policía puso en funcionamiento unas unidades especializadas para atender, con base en protocolos de atención, los casos de violencia intrafamiliar y violencia contra las mujeres.
4.3 Continuidad en la ocurrencia de los delitos: permanencia de causas estructurales
En el análisis del impacto del ASPO en los indicadores de seguridad y convivencia, se debe advertir que, aunque la ocurrencia de la mayoría de los delitos disminuyó considerablemente, esto no significa que con la medida de la cuarentena se superen las causas estructurales que generan en un primer momento su ocurrencia. Entre los factores que generan estos delitos, según el caso, se encuentran: la persistencia de violencia urbana asociada al crimen organizado que opera en la ciudad; prácticas institucionalizadas por grupos armados ilegales para la administración de rentas criminales -especialmente para el caso de los hurtos, el tráfico de estupefacientes y algunos desplazamientos-; inequidades socioespaciales, en especial para jóvenes residentes en barrios populares; problemáticas de convivencia fuertemente arraigadas en amplios sectores de la sociedad y problemáticas de salud pública asociadas al consumo de sustancias psicoactivas.
De acuerdo con lo anterior, se entiende que el hecho de que los delitos sigan ocurriendo, aunque en una menor proporción, indica que el impacto de la medida de aislamiento sobre los indicadores de seguridad y convivencia radica especialmente en la reducción del factor de oportunidad para el victimario y la disminución de la exposición al delito por parte de la víctima, y no en la reducción significativa de las causas estructurales que propician la comisión de los delitos. A partir de esto se puede entender, también, que la ocurrencia de un delito no obedece exclusivamente a la oportunidad que propicia la víctima, a la intención del victimario o a las causas estructurales que ponen en esa situación a ambos agentes, sino que se da como una combinación más o menos “exitosa” entre todas estas variables.
4.4 Explicaciones por fenómenos
Luego de explorar las hipótesis reseñadas anteriormente, se hace necesario advertir que la variación que se evidencia en los indicadores de seguridad y convivencia analizados, si bien obedece en general al ASPO, tiene otras particularidades asociadas a las dinámicas de cada delito. A continuación, se reseñan algunas de estas, no para cada indicador en particular, sino agrupándolas de acuerdo con los contextos en los que se dan con otros, también asociados como variables de control.
Las reducciones en materia de homicidios y desplazamientos forzados dan cuenta de una disminución en la victimización por parte de grupos armados ilegales en la ciudad. Estos delitos, que generalmente varían de acuerdo con la activación o el apaciguamiento de confrontaciones entre estos, se redujeron en un 43% para el primero y en un 38% en el segundo, lo cual muestra que en medio del aislamiento la victimización por cuenta de estos actores fue menor. Dicha reducción puede responder, en la misma línea de una de las explicaciones referenciadas, ya que, en la medida en que hay menos socialización entre las personas, es menos probable que las posibles víctimas y victimarios se encuentren, que se susciten discusiones o problemas de carácter personal o vecinal entre estos; asimismo, se reduce la posibilidad de que los habitantes de alguna zona de la ciudad con alta injerencia de grupos armados ilegales transgredan algunas de las reglas impuestas por los grupos armados y, por tanto, disminuye el castigo, que para estos casos sería el homicidio o el desplazamiento forzado.
En el caso de los homicidios, además de la ya mencionada disminución de las riñas asociadas a problemas de convivencia, que para el 2019 representaron la causa del 11,6% de los homicidios de la ciudad, existe una relación con la reducción de los hurtos, los cuales fueron la causa del 4,3% de los homicidios de Medellín durante 2019. Ahora bien, es importante mencionar que durante el ASPO habrían ocurrido varios casos de homicidios asociados al accionar de grupos armados ilegales, lo cual muestra que, aun en este contexto, dichos grupos limitan su intensidad violenta, mas no su capacidad homicida. Hay intereses y represalias que se mantienen, así como hay victimizaciones inaplazables en las lógicas de estos grupos.
En el caso de los desplazamientos forzados, por su lado, se advierte que las reducciones estuvieron asociadas en buena medida a la disminución de amenazas, extorsiones y del constreñimiento a la población civil para realizar actividades en favor de los grupos armados. Tal como ocurrió con los homicidios, en la ciudad se siguieron reportando casos de desplazamiento forzado intraurbano, los cuales obedecieron más a hechos asociados al control que los grupos armados ilegales aplican al interior de los barrios de la ciudad y no a enfrentamientos entre diferentes facciones en conflicto o a la explotación económica y de mano de obra de los habitantes de la ciudad por parte de los grupos armados.
Por otro lado, la reducción en los diferentes tipos de hurtos, que estuvo entre el 60,7% para los hurtos de motocicletas y el 85% para hurtos de automóviles, tal y como se referenció en la tabla 3, está especialmente relacionada con la disminución en la movilidad en la ciudad. Una pregunta interesante con respecto a la dinámica de los hurtos es si estas disminuciones se dieron en comunas y corregimientos en las mismas proporciones en que se redujo la movilidad de peatones, carros y motos respectivamente, y, del mismo modo, analizar si las modalidades del delito cambiaron.
En cuanto a violencia intrafamiliar, se presentó una situación particular, ya que si bien podría decirse que esta problemática era una pandemia antes de que se presentara la que vivimos en la actualidad, ha sucedido que a nivel mundial y, en particular, en el contexto colombiano, nunca se ha aplanado la curva. Al igual que la COVID-19, la violencia intrafamiliar es global y aumenta conforme pasan los días, aun cuando las solicitudes de protección (puestas de manera física) puedan evidenciar lo contrario. Lo que produjo el aislamiento social fue visibilizar una problemática latente en los espacios privados de gran número de familias en el mundo (Pantzer, Forero y Kopittke, 2020).
En Medellín, en marzo de 2020, se observó una disminución en las solicitudes de medidas de protección interpuestas de manera física en las comisarías de familia. Solo en las dos primeras semanas del confinamiento obligatorio las cifras disminuyeron el 65% con respecto al periodo entre el 5 y el 20 de marzo de 2020, cuando aún no se habían aplicado dichas medidas. Al mirar el periodo entre el 21 de marzo y el 30 de abril, se observó una disminución del 25,1%, que puede estar asociada a la restricción de la población para acercarse a las instituciones a interponer la denuncia. Caso contrario a lo ocurrido con las llamadas a la línea 123, cuyo comportamiento evidenció un incremento del 9,8%, con un promedio de 92 llamadas por día. Al mirar el desagregado por día, de los 41 días de 2019 y 2020 que se analizaron de manera comparada, solo en ocho días 2019 superó a 2020 en el número de llamadas a la línea de atención.
Bajo este panorama, si bien el aislamiento social ha sido la estrategia más efectiva a nivel mundial para frenar el contagio, su efectividad es directamente proporcional al riesgo de sufrir violencia intrafamiliar: muchas o pocas personas en un solo lugar, con dificultades de base a nivel relacional, alteraciones en la dinámica familiar, insatisfacción de necesidades básicas, antecedentes de violencias y preocupaciones por los tiempos circundantes, que se constituyen en un terreno fértil para los conflictos dentro de la familia, de los cuales los niños, niñas y adolescentes y las mujeres son la población más afectada. En el caso de los delitos sexuales, ocurre un comportamiento parecido al de la VIF, ya que, si bien las cifras muestran una disminución porcentual del 73,5%, no podría decirse que se deba a la no ocurrencia de los hechos, sino que estaría asociado a la disminución de la denuncia por el ASPO, las restricciones en la movilidad y la interrupción o disminución del servicio de las unidades receptoras de denuncia.
Durante abril de 2020 se registraron 74 denuncias por delitos sexuales, 43 tuvieron como fecha de ocurrencia del hecho ese mismo mes. Estos registros resultan disímiles porque las denuncias de los hechos muchas veces se realizan en meses diferentes a los de la ocurrencia, es decir, la fecha de denuncia no corresponde a la fecha del hecho. Dichas cifras muestran una diferencia sustancial (130 denuncias) con respecto al número de denuncias registradas durante el mes de abril de 2019, cuyo total fue de 213 casos, 173 corresponden a hechos que ocurrieron ese mismo mes. Al igual que lo que acontece con la violencia intrafamiliar, en los registros de víctimas de violencias sexuales las mujeres representan el grupo poblacional más afectado; este alcanza una participación porcentual del 88,7% de los casos ocurridos entre enero y abril de 2020. Sin embargo, los delitos sexuales son una problemática multidimensional extendida, en términos de los ámbitos, contextos, dinámicas y poblaciones en los que se manifiesta.
Por lo anterior, lo que ha develado el ASPO no es la emergencia de dos problemáticas desconocidas, sino la persistencia en el tiempo de dos fenómenos que va en menoscabo de la salud física y psicológica de la población. Al respecto, es preciso añadir que hay un alto subregistro, ya que muchos casos no son denunciados no solo por las limitaciones propias de la contingencia, sino por el temor que se apodera de las víctimas y por las dificultades presentes en las instituciones judiciales para atenderlos de manera oportuna. Por último, con respecto a las riñas y las lesiones personales, debe aclararse que cada una tiene distintas dinámicas que afectarían la variación de cada delito. Sin embargo, podría decirse que ambos son hechos que suelen ocurrir en el espacio público y en medio de escenarios de socialización, por lo cual su reducción se explicaría, en buena medida, por la clausura de establecimientos comerciales y la cancelación de eventos públicos.
5. Conclusiones
Es importante recoger algunas de las dudas que este ejercicio deja a futuro, especialmente si se considera que la pandemia de la COVID-19 está lejos de ser superada, y que, en tanto no se encuentre una solución duradera, medidas como el ASPO podrían volverse usuales. La primera reflexión que habría que hacer alrededor de la relación entre la COVID-19, las políticas de atención a la crisis y la seguridad en las ciudades es que, aun cuando el aislamiento redujo considerablemente la mayoría de los indicadores, al tratarse de una medida ambulatoria que no afecta directamente las causas estructurales de fenómenos tan complejos como el homicidio, el control territorial de grupos armados ilegales, el uso y reclutamiento de niños, niñas, adolescentes y jóvenes para la comisión de delitos, la venta de narcóticos y los hurtos, será difícil que la reducción se sostenga y, en la medida en que se vaya reactivando la movilidad en la ciudad, irán incrementando los registros de los indicadores analizados.
Por eso, vale la pena preguntarse si en la misma proporción en que las ciudades recuperen la movilidad incrementará la ocurrencia de los delitos, si algunos de los indicadores recuperarán el rezago que se generó tras la medida de aislamiento y si las autoridades tomarán decisiones para mantener las tendencias del aislamiento luego de que esta medida se haya levantado por completo. Otros posibles estudios sobre este experimento social en el que se han convertido las cuarentenas en el mundo, y su relación con los índices de criminalidad, es observar por qué, a pesar de las restricciones en la movilidad humana, hubo algunos territorios en los que el crimen permaneció estable o no se redujo en igual proporción. Aquí los enfoques de prevención situacional del delito tomarán relevancia en el análisis.
Finalmente, a nivel institucional, la cuarentena ha generado grandes retos a los gobiernos locales en relación con la atención ciudadana, la recepción de denuncias y la restauración de derechos. Por tal motivo, es fundamental analizar los cambios institucionales para responder a estos nuevos escenarios sociales y de seguridad ciudadana. Por ejemplo, la cuarentena, al encerrar a las personas, exige un perfil integral y eficiente de la Policía Nacional y de las alcaldías municipales para prevenir y gestionar las problemáticas de seguridad y convivencia al interior de los espacios privados.
Agradecimientos
Los autores agradecemos de manera especial el apoyo de la Secretaría de Seguridad y Convivencia de la Administración municipal de Medellín (Colombia), al Sistema de Información para la Seguridad y la Convivencia (SISC), así como la colaboración y comentarios especiales de Luis Fernando Puerta.
Bibliografía
Abrams, D. (2020). COVID and crime: an early empirical look. U of Penn, Inst for Law & Econ. Research Paper No. 20-49. http://dx.doi.org/10.2139/ssrn.3674032
Agnew, R. (1992). Foundation for a general strain theory of crime and delinquency. Criminology, 30(1), 47-87. https://doi.org/10.1111/j.1745-9125.1992.tb01093.x
Agüero, J. M. (2020). COVID-19 and the rise of intimate partner violence. World Development. Working paper. https://doi.org/10.1016/j.worlddev.2020.105217
Alvarado, M. y Mejía, D. (2020). Crimen en tiempos de Coronavirus y cuarentena. Nota Macroeconómica, 15. Recuperado el 21 de noviembre de 2020, de: https://n9.cl/jmf3
Alvarado, N., Norza, E., Perez-Vicent, S. M., Tobón, S. y Vanegas-Arias, M. (2020). Evolución de la seguridad ciudadana en Colombia en tiempos del COVID-19. Banco Interamericano de Desarrollo. Nota técnica Nro. IDB-TN-2034.
Ashby, M. P. J. (2020). Initial evidence on the relationship between the coronavirus pandemic and crime in the United States. Crime Science, 9(6), 1-16. https://doi.org/10.1186/s40163-020-00117-6
Blattman, C., Cerero, D., Duncan, G., Hernández, S., Lessing, B., Martínez, J. F. y Tobón, S. (2020). Crime in the Time of COVID-19: How Colombian gangs responded to the pandemic. Innovations for Poverty Action, The University of Chicago y Universidad EAFIT. Recuperado el 21 de noviembre de 2020, de: https://n9.cl/87edr
Bong, C., Brasher, C., Chikumba, E., McDougall, R., Mellin-Olsen, J. y Enright, A. (2020). The COVID-19 pandemic: Effects on low- and middle-income countries. Anesthesia y Analgesia, 131(1), 86-92. https://doi.org/10.1213/ANE.0000000000004846
Brantingham, P. J. y Brantingham, P. L. (1984). Patterns in crime. Nueva York: Macmillan.
Brodersen, K. H., Gallusser, F., Koehler, J., Remy, N. y Scott, S. L. (2015). Inferring causal impact using bayesian structural time-series models. The Annals of Applied Statistics, 9(1), 247-274. https://doi.org/10.1214/14-AOAS788
Campedelli, G. M., Aziani, A. y Favarin, S. (2020). Exploring the effects of COVID-19 containment policies on crime: An empirical analysis of the short-term aftermath in Los Angeles. American Journal of Criminal Justice. https://doi.org/10.1007/s12103-020-09578-6
Cárdenas, J. y Montana, J. (2020). Possible effects of coronavirus in the Colombian labour market. Alianza EFI - Colombia Científica, 1-28. Working paper Nro. WP2-2020-006. Recuperado el 21 de noviembre de 2020, de: https://n9.cl/43qck
Cohen, L. E. y Felson, M. (1979). Social change and crime rate trends: A routine activity approach. American Sociological Review, 44(4), 588- 608. https://doi.org/10.2307/2094589
Decreto N.o 457 de 2020 (2020). Por el cual se imparten las instrucciones en virtud de la emergencia sanitaria generada por la pandemia del Coronavirus COVID-19 y el mantenimiento del orden público. Ministerio del Interior. República de Colombia, 22 de marzo de 2020.
Dodd, V. y Stewart, H. (2020, 3 de marzo). Murder inquiries could be hit if coronavirus reduces UK police numbers. The Guardian. Recuperado el 21 de noviembre de 2020, de: https://cutt.ly/1bodsFE
Eisner, M. y Nivette, A. (2020). Violence and the pandemic Urgent questions for research. HFG Research and Policy in Brief, 1-12.
González, T., Rubia, M. A., Hincz, K. P., Comas-Lopez, M., Subirats, L., Fort, S. y Sacha, G. M. (2020). Influence of COVID-19 Confinement on Students’ Performance in Higher Education. PLoS ONE, 15(10), 1-23. https://doi.org/10.1371/journal.pone.0239490
Halford, E., Dixon, A., Farrel, G., Malleson, N. y Tilley, N. (2020). Coronavirus and crime: Social distancing, lockdown, and the mobility elasticity of crime. Working paper. Recuperado el 21 de noviembre de 200, de: https://osf.io/preprints/socarxiv/4qzca/
Hindenlang, M., Gottfredson, M. R. y Garofalo, J. (1978). Victims of personal crime: An empirical foundation for a theory of personal victimization. Cambridge, MA: Ballinger.
Jalali, P. y Rabotyagov, S. (2020). Quantifying cumulative effectiveness of green stormwater infrastructure in improving water quality. Science of the Total Environment, 731, 138953. https://doi.org/10.1016/j.scitotenv.2020.138953
LeBeau, J. L. (2002). The impact of a hurricane on routine activities and on calls for police service: Charlotte, North Carolina, and Hurricane Hugo. Crime Prevention and Community Safety: An International Journal, 4, 53-64. https://doi.org/10.1057/palgrave.cpcs.8140114
Marinoni, G., van’t Land, H. y Jensen, T. (2020). The Impact of COVID-19 on Higher Education Around the World: IAU Global Survey Report. París: International Association of Universities.
Ministerio de Salud y Protección Social (2020). Abecé. Nuevo Coronavirus (COVID-19) de China. Ministerio de Salud y Protección Social. Recuperado el 21 de noviembre de 2020, de https://n9.cl/g0mb
Mohler, G., Bertozzi, A. L., Carter, J., Short, M. B., Sledge, D., Tita, G. E. y Brantingham, P. J. (2020). Impact of social distancing during COVID-19 pandemic on crime in Los Angeles and Indianapolis. Journal of Criminal Justice, 68, 1-7. https://doi.org/10.1016/j.jcrimjus.2020.101692
Moreira, D. N. y Pinto da Costa, M. (2020). The impact of the covid-19 pandemic in the precipitation of intimate partner violence. International Journal of Law and Psychiatry, 71, 101606. https://doi.org/10.1016/j.ijlp.2020.101606
Organización Mundial de la Salud (2020). Preguntas y respuestas sobre la enfermedad por coronavirus (COVID-19) [en línea]. Recuperado el 2 de enero de 2021, de: https://n9.cl/gdwo
Sanguinetti, P., Ortega, D., Berniell, L., Álvarez, F., Mejía, D., Castillo, J. C. y Brassiolo, P. (2014). RED 2014: Por una América Latina más segura. Una nueva perspectiva para prevenir y controlar el delito. Reporte de Economía y Desarrollo (RED). Caracas: CAF.
Pantzer, R., Forero, D. y Kopittke, A. (2020). Confinamiento y violencia dentro del hogar: cuando el peligro está en casa. Sin Miedos. Recuperado el 2 de enero de 2021, de: https://blogs.iadb.org/seguridad-ciudadana/es/
Payne, J. L. y Morgan, A. (2020). COVID-19 and violent crime: A comparison of recorded offence rates and dynamic forecasts (ARIMA) for March 2020 in Queensland, Australia. Working paper. https://doi.org/10.31235/osf.io/g4kh7
Pearl, J. (2009). Causal inference in statistics: An overview. Statistics Surveys, 3, 96-146. https://doi.org/10.1214/09-SS057
Poston, B. (2020, 18 de marzo). Arrests by LAPD and Sheriff’s Department drop amid coronavirus outbreak. Los Angeles Times. Recuperado el 21 de noviembre de 2020, de: https://www.latimes.com/california/story/2020-03-18/lapd-arrests-crime-coronavirus-03182020
Rubin, D. B. (1974). Estimating causal effects of treatments in randomized and nonrandomized studies. Journal of Educational Psychology, 66(5), 688-701. https://doi.org/10.1037/h0037350
Russell, A. (2020, 17 de marzo). The rise of coronavirus hate crimes. The New Yorker. Recuperado el 21 de noviembre de 2020, de: https://www.newyorker.com/news/letter-from-the-uk/the-rise-of-coronavirus-hate-crimes
Shayegh, S. y Malpede, M. (2020). Staying home saves lives, really! Working paper. Recuperado el 21 de noviembre de 2020, de: https://papers.ssrn.com/sol3/papers.cfm?abstract_id=3567394
Stickle, B. y Felson, M. (2020). Crime rates in a pandemic: The largest criminological experiment in history. American Journal of Criminal Justice, 45, 525-536. https://doi.org/10.1007/s12103-020-09546-0
Zambrano-Monserrate, M., Ruano, M. A. y Sanchez-Alcalde, L. (2020). Indirect effects of COVID-19 on the environment. Science of the Total Environment, 728, 1-4. https://doi.org/10.1016/j.scitotenv.2020.138813
Notas
Declaración de intereses