Abstract: This study examines the state of communications in the process of collection of requirements between the Secretariat of Information and Communication Technologies (ICT) of the Government of Cundinamarca and the municipalities of the department, through surveys and interviews with stakeholders and comparative analyses based on the current technical quality standards and variables of the global communication model. The data analyzed suggest that the strategies and instruments of the communication and quality area in the revised process have very little impact, as evidenced by the low levels of knowledge on the technological offer and interaction with stakeholders. Setting off from the global project management model and the systemic analysis approach, recommendations are made to the ICT Secretariat’s requirements collection process, thereby enabling it to strengthen its institutional offer and effectively meeting the needs of the target population.
Keywords: Global communication modelGlobal communication model,Models based on information and communication technologiesModels based on information and communication technologies,Requirements collectionRequirements collection,Public organizationsPublic organizations.
Resumen: Este estudio examina el estado de las comunicaciones en el proceso de levantamiento de requisitos entre Secretaría de Tecnologías de la Información y las Comunicaciones -TIC- de la Gobernación de Cundinamarca y los municipios del departamento, por medio de encuestas y entrevistas a los actores involucrados y análisis comparativos a partir de la norma técnica de calidad vigente y variables del modelo de comunicación global. Los datos analizados sugieren que las estrategias e instrumentos del área comunicacional y de calidad en el proceso revisado tienen muy poco impacto, esto evidenciado en los bajos niveles de conocimiento de la oferta tecnológica y de interacción con los interesados. A partir del modelo de gestión de proyectos globales y el enfoque de análisis sistémico, se formulan recomendaciones al proceso de levantamiento de requisitos de la Secretaría de TIC, permitiéndole fortalecer su oferta institucional y atendiendo de forma efectiva las necesidades de la población objetivo.
Palabras clave: Modelo de comunicación global, Modelos basados en tecnologías de la información y comunicaciones, Levantamiento de requisitos, Organizaciones públicas.
Résumé: Cette étude analyse l’état des communications dans le processus de levée des exigences entre le Secrétariat des Technologies de l’Information et de la Communication (TIC) du Gouvernement de Cundinamarca et les municipalités du département, par le biais des enquêtes et des entretiens avec les acteurs impliqués et des analyses comparatives basées sur la norme technique de qualité actuelle et les variables du modèle de communication global. Les données analysées indiquent que les stratégies et les instruments du domaine de la communication et de la qualité dans le processus revu ont très peu d’impact, comme en témoigne le faible niveau de connaissance de l’offre technologique et de l’interaction avec les parties prenantes. Sur la base du modèle global de gestion de projet et de l’approche de l’analyse systémique, des recommandations sont formulées concernant le processus de collecte des exigences du Secrétariat des TIC, en lui permettant de renforcer son offre institutionnelle et de répondre efficacement aux besoins de la population cible.
Mots-clés: Modèle de communication globale, Modèles basés sur les technologies de l’information et de la communication, Collecte des exigences, Organisations publiques.
Artículo de investigación científica y tecnológica
Global communication models and their importance to public administrations. The case of the Secretariat of Information and Communication Technologies in Cundinamarca
Los modelos de comunicación global y su importancia en las administraciones públicas. El caso de la Secretaría de Tecnologías de la Información y las Comunicaciones en Cundinamarca
Les modèles de communication globale et leur importance dans les administrations publiques. Le cas du Secrétariat des Technologies de l’information et de la communication à Cundinamarca
Received: 23 March 2018
Revised document received: 13 July 2018
Accepted: 13 August 2018
The current challenge for organizations is to overcome old and stale communication models by integrating the use of technology into open and inclusive processes with a greater global outlook. Thus, aware of the need to strengthen their organizations through appropriately using communication, private and public entities have been developing innovative processes within them. These challenges no longer crystallize in the paradigms of the economy, administration or production that marked the actions of companies during the twentieth century, to this must be added that of communication, based on the creation of identity and culture and as the axis of the overall dynamics of the organization.
Thus, “communication constitutes itself as the essence and strategic tool for the processes of re-shaping the organization’s relations with the environment, interaction with its internal and external audiences, the outlining of its identity, and the technological usage and appropriation that is required” (Villa, 2003). In this sense, during the period 2012-2016 the Secretariat of Information and Communication Technologies (ICT) of Cundinamarca made clear its growing need to improve its service to all territorial entities, perfecting its ICT offer for which it was key to count with effective communication mechanisms that allow it to strengthen its requirement collection process in order to adequately handle each need or requirement of territorial entities as well as to meet its strategic organizational objective.
Although the Secretariat of ICT is aware that the success in the formulation and implementation of its projects (ICT Offer) depends directly on its users engaging actively in the identification of their requirements stemming from their needs (Project Management Institute, 2013), the levels of communication between the Secretariat of ICT of Cundinamarca and the territorial entities of the department being very low are clearly an issue, thus disarticulating the ICT Offer and the needs of the territorial entities, and lessening the quality of ICT supply and service.
The Secretariat identified three types of entities according to their self-management levels (Gobernación de Cundinamarca, 2014), and directly linked to the levels of communication as follows: a high level, wherein there are 12 entities, which thanks to their level of self-management do not depend on direct communication with the Secretariat nor on access to its offer; an intermediate level with 44 entities that strive to maintain direct channels with the Secretariat and be able to access its ICT Offer. Lastly, there is a low level, grouping 60 entities, all depending on the technological offer of the Secretariat and on maintaining high levels of communication with it for its requirements to be heard.
Each group of municipalities presents a series of specific requirements per level of self-management, where three fundamental variables per requirement can be found for the management of Information and Communication Technologies: infrastructure support, support in the implementation of technological services and support in strengthening the skills of human talent.
Based on the Cundinamarca’s ICT Secretariat of the Government’s offer, it was initially possible to identify that even though certain requirements identified by the municipalities are covered, the particularity of each self-management level is not taken into account while meeting standard ICT management needs, offering great collaboration to more-depending territorial entities and providing low-impact solutions for entities with high levels of self-management.
The results of the Secretariat’s ICT Offer during the 2015 period show us the following coverage for the implemented projects: 1) Social Data Network with 76% coverage, 2) National Optical Fiber Project for which there is no official coverage percentage, 3) IP Telephony with 44% coverage, 4) Text Messaging with 98% coverage, 5) Advanced Geographic Analysis Systems - SAGA (per its acronym in Spanish) with 60% coverage, 6) Implementation of the Online Government strategy with 99% coverage, and 7) System for Financial-Administrative handling of Taxes with 7% coverage (Gobernación de Cundinamarca, 2015).
Out of the above projects, only 12% of the 116 territorial entities are aware of the entire ICT Offer and the remaining 88% are aware of only one of these projects. Therefore, the proposed research sought to develop a communications improvement plan for the requirements collection process carried out by the ICT Secretariat of Cundinamarca and its territorial entities, allowing it to strengthen its institutional ICT offer, initially carrying out a diagnosis aimed at detecting the current situation of effective communication between the ICT Secretariat and the territorial entities, to then identify possible variables of a Pull-type communication model that permits to overcome the detected gaps and strengthen the requirements-collecting process performed by the ICT Secretariat of Cundinamarca with the entities and issue some recommendations thereto.
The current low communication levels between the Secretariat of ICT and the territorial entities were reckoned to have a direct and negative impact on the fulfillment of the Secretariat’s goals and its organizational objectives, aside from: decreasing coverage levels in each ICT Offer projects, shedding light on the territorial entities’ ignorance of the technological offer set forth by the Secretariat and identifying weaknesses within the the Secretariat’s institutional offer by not taking into account the total needs or requirements of all the territorial entities, which excludes them from engaging therein.
Likewise, there is an existing inefficiency in the projects’ operation because the territorial entities do not feel identified with the initiatives proposed for their territories, and therefore they do not show interest in operating them in their municipalities, thereby reducing the levels of satisfaction in their quality indicators by the territorial entities, missing out on opportunities for new projects presented by national entities or non-profit organizations, which always request the respective guarantees from the entities to present some project initiative, as well as delaying the fulfillment of ICT goals set by the territorial entities by not having installed capacity for self-management.
Improving the quality of the service offered by the ICT Secretariat to both central and decentralized entities is one of the greatest challenges the organization faces nowadays. Therefore, adequately compiling and including all the requirements and needs of its beneficiaries through effective communication turns into a key mechanism aimed at meeting the Secretariat’s organizational objectives. Improving communication between the territorial entities and units with the ICT Secretariat will enable a higher level of knowledge of the ICT Offer, will increase the coverage in terms of the entities’ engagement in each of the projects and will generate a higher level of adoption for the Secretariat’s initiatives at the territories. On top of the above, the Secretariat could thusly improve its indicators related to the quality of its technical assistance and to the solution of the entities’ problems or needs.
The management of communications within an organization, project and even in some of the phases thereof, creates the obligation to invest considerable time in ensuring timely and adequate processes of planning, collection, creation, distribution, handling, control and final disposal of information, as well as in continuously optimizing the relationships with the internal and external stakeholders of the organization. In this sense, effective communication is considered to exist as soon as it succeeds in creating a bridge between the different Stakeholders, so that they have confluence and participation in overcoming different cultural backgrounds, levels of experience or different perspectives of interests that will undoubtedly impact and influence the execution of processes or projects (Project Management Institute, 2013).
For this reason, there is a greater effort made by the directors of organizations and projects to address the challenges arising from maintaining assertive communication, eliminating the risks associated with the generation of noise, which in the end could affect negatively the management of communications. Thus, from the area of project management, different methods and models of communication have been developed, which concretely are used to share information among stakeholders. The interactive communication model, for instance, is used as a basic communication mechanism, wherein two or more parties perform a multi-directional information exchange. It would then turn into the most efficient way to ensure a common understanding among all participants on specific issues. This type of communication generally includes face-to-face meetings, telephone calls, instant messaging, video conferencing, and others.
Within these methods, the so-called Pull Push one as stated in analogous terms by Perrigot, Basset and Cliquet (2011) also stand out. The Push method of communication refers to directly sending information to stakeholders: while this would initially ensure the distribution of information, it does not guarantee that it has actually reached the stakeholder, much less that it has been understood by the intended audience. This sort of communication usually includes letters, memos, reports, e-mails, faxes, voice mails, blogs, and press releases characterized by a one-way kind of orientation (Project Management Institute, 2013).
The Pull method of communication is characterized by the fact that it is used to handle a considerable volume of information or for very large audiences, forcing it to adapt in terms of its layout, so that the recipients are able to access the content of the communication according to their own criteria. Within this type of communication lie tools such as the intranet, e-learning and knowledge repositories, which have been designed and put into consideration by those interested, based on their own needs and experiences. In the case of communication, the Pull model would be the most akin to the Pull strategies, as the Beneficiary-Users intervene and interact more dynamically in terms of the formulation and channelling of demands, insights, needs and aspirations within the framework of new communication practices.
The Pull-type communication method has a user-oriented communication approach as a mechanism for inclusion and innovation. We find three key factors that should be included in communicative strategies wanting to originate innovation from the interaction with their stakeholders: firstly, the growing interest in personalization or customization; secondly communication and emotional inclusion, based mainly on creating experiences; and thirdly, the creation of Branding or brand value generation.
Achieving the implementation of these key factors into any communication framework between organizations and their stakeholders means facing new challenges such as engaging stakeholders from the beginning of the project to ease the flow of information, improve the levels of effectiveness and communication efficiency (tools and channels) and overcome the geographical barriers with their stakeholders (remote control work), i.e., implementing communication strategies capable of managing projects globally.
While theorists and project management experts have stressed the importance of communicating with stakeholders regularly in order to maintain a constant flow of information and achieve a sustained increase of the interest in partaking, it is also true that practical strategies must ensure effective communication when implemented. As mentioned by Abudi (2013) , designing best practices to involve stakeholders from the outset and to continue stakeholder communication and participation throughout the project’s life cycle is a major challenge, even more so when we are in a fully technological era. Hence, in order to achieve an effective communication model, it is necessary to improve the effectiveness of communications overall (including frequency and quality), to keep the people involved in the initiative through open communication and to create spaces for two-way communication between stakeholders.
The impacts that poor communication within work teams or with stakeholders could have are numerous, on the one hand, there could be misunderstandings about goals and objectives, failure to meet deadlines, conflicts between team members, lack of team coordination, reduced productivity or simply a lack of commitment. On the other hand, poor communication with stakeholders could lead to a lack of or limited acceptance of outputs associated with services, misinterpretation of expectations or failed projects (Abudi, 2013), but what could give raise to these scenarios?
Ray Boedeoter, a financial management applications development and implementation expert and a consultant on communication issues, points to the existence of inhibitors within effective communication in organizations when managing their projects, which he called “primary”. Most communication barriers fall into at least one of four categories: physical, intellectual, psychological or political (Boedeoter, 1997).
Physical restraint refers to tools to eliminate communication quandaries due to geographical distance in search of instant communication; intellectual restraint refers to the fact that project team members need to know what information is important to them, what kind of information each one requires and when they’ll need it; psychological restraint refers to the fact that communications derive from the personality and emotional characteristics of individuals in a working group; and finally, political restraint emphasizes the struggle of interests that may arise within projects, generating communication blockages in some way .
On these matters, Abudi (2013) has proposed some “practical” strategies for addressing effective and efficient communication: 1) to design a simple communications plan that contains who will communicate the information (e.g., the leadership team), what will be communicated (e.g., project status report), when will it be communicated (e.g., monthly), how will it be communicated (e.g., at the leadership meeting), and what format will be used for their communications (e.g., presentation at the meeting), and 2) to detail the communication components in the plan, listing the interested parties, information requirements and requisites, and guidelines for information gathering.
A third practice to establish an appropriate style of communication comes into play, as well as the most appropriate manner (channels) according to the project group and stakeholders involved, and the effective use of technology to communicate in global environments, taking into account the possible restrictions that this may bring along for certain territories where connectivity is scarce or technological availability is very low.
Well, this type of limitations and strategies have already been collected and addressed from project management models such as the one proposed by Jean Binder (2007) , called: Framework of good practices for Global Project Management or Global Communication, which has managed to categorize them more precisely and propose accurate solutions for each situation therefrom.
At present, many organizations are overstretched in their efforts to achieve high levels of quality and efficiency in managing their projects, especially when their methods and strategies are not aligned with characteristics such as the management of stakeholders outside their organizations, i.e., that they are decentralized territorially. Therefore, the global project management model focuses its strategies on the areas of knowledge that organizations wanting to manage their projects beyond physical/geographical constraints must handle perfectly:
Global project managers should involve their team members to identify stakeholders and understand the channels of communication between team members. Bearing that in mind, a good communication strategy must be established, along with the techniques, rules and templates to communicate and exchange ideas effectively through the distance (Binder, 2007).
Thus, the global communication model distinguishes five crucial areas, namely: global team management, global communications management, global organizations, collaboration tools and collaboration techniques. Specifically with regard to global communications management, Binder identifies five essential categories on which to design differentiated approach strategies: structuring, Stakeholders and communication channels, meeting rules and models, communication techniques and strategies, and global creativity (Binder, 2007).
The correct management of the Stakeholders and communication channels refers to the adequately handling the needs, expectations and levels of influence of each one of the interested parties, which allows to increase the levels of success of any project, while its correct outlining will allow to establish quality standards and, specifically, the requirements of the project to be developed. The key to properly managing stakeholder needs is to have an in-depth understanding of the communication channels available to align stakeholder expectations and needs in order to increase their levels of commitment to the project.
In order to identify stakeholders correctly when working remotely, it is appropriate to conduct a knowledge gathering session at the territorial level with the work team in place to identify the levels of influence, risk perception or administrative procedures for implementing activities in the organizations of each stakeholder. The above will allow the planning of communication networks that will increase the interest and knowledge of stakeholders with regards to the objectives of the project, for example: the creation of virtual boards that allow stakeholders to know precisely the project’s indicators, news and contact information with the work team; the development of meetings in strategic locations that enable the gathering of key stakeholders in order to validate information received by the work team, listen to ideas for process improvement and clarify doubts regarding the planning and implementation of activities in their territories.
Because each organization has different management methods, the effort should focus on unifying the communication strategy among stakeholders through clear rules and meeting models to reduce gaps and misunderstandings. Since remote communication is predominant, it is necessary to set up protocols that reduce risks such as the discussion of technical issues, to detail situations too much, to exceed the planned time, among others. Creating effective channels of communication then requires identifying what type of information will be shared, what the requirements for communicating with each stakeholder are and what are the most effective means to share that information.
The design of communication strategies depends on the complexity of the organization to which each stakeholder belongs, since it is imperative to establish the relationship of each one with the sorts of information to be communicated, in order to constitute roles that ease the identification of effective communication channels for each moment of the project and each type of role, specifying the communication times between each one.
The possibility of sharing information and building knowledge at a distance increases when those interested are creative and share experiences regarding the most suitable formats for the development of this task, which has allowed us to identify that software and online meetings allow to create centralized spaces to consolidate and consult information and discuss it in a global way.
As a technological support to this type of approach and possible practical solutions to the appropriate management of stakeholder-oriented communications, alternative and innovative mechanisms have arisen to gather and share information, prepare reports in real time, encourage global creation (collaboration), among others. Nowadays there are outstanding tools that are fully compatible with global communication models and remote working: Trello, Mural.ly, Dashcube, TINYpulse or Write are some of them.
Pursuant of the research objectives herein, a mixed research process combining qualitative and quantitative techniques was carried out based on a design-by-component (Greene, 2007). At first, an exploratory and descriptive profile characterized the process, in which it was possible to diagnose the requirements collection process carried out by the Cundinamarca ICT Secretariat, with special emphasis on communication and its quality, in order to then move onto an analytical and propositional phase in the definition of variables to be used for the consolidation of a global communication model in the entity (Graph 1).

As guidance for the construction of the methodological tools, and based on a careful theoretical and conceptual review, the following guiding questions were posed: what are the degrees of dependence, knowledge and inclusion of stakeholders with respect to the ICT Offer offered by the Government of Cundinamarca? What are the most commonly used communication channels to access the departmental ICT Offer? And what are the weaknesses of the ICT Secretariat’s process for collecting requirements regarding its communication and quality components?
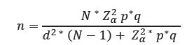
Thus, the first diagnostic tool of the process sought to identify the standpoint of stakeholders, for which, from the random sampling method, a sample of 45 stakeholders (territorial entities) was selected to collect their views according to the process of communication and knowledge about the departmental ICT Offer.
Sampling resulted in:

Where: N= Total population; Zα= 1.96 squared (with 95% confidence level); p= expected ratio (in this case 5% = 0.05); q = 1 - p (in this case 1-0.05 = 0.95) and d = accuracy (in this case 5%).
Therefore, and taking the aspects proposed by Binder (2007, p. 81) as a reference, the 5 questions designed to establish the diagnosis on the part of the stakeholders (Table 1) were oriented to clarifying what are the degrees of dependence, knowledge and inclusion of the same with respect to the ICT Offer launched by the Government of Cundinamarca, and what are the communication channels most used to access the departmental ICT Offer, giving rise to the test-type survey applied to the sample of 45 municipalities (Table 2), which was sent through the forms platform available to the territorial entities in the department of Cundinamarca, obtaining a percentage of 100 in the total number of answered tests.


The second tool was designed to highlight the main existing constraints within the communication process for the collection of requirements, adapting the instrument used by Gutiérrez, Murcia and Posada (2013) from which a questionnaire was derived from the 5 categories of global communication presented by Binder (2007) and the 16 analysis subcategories supporting this model (Graph 2).
Thus, taking as a reference the validation questions posited by NTCGP 1000:2009 , which must be applied to all organizational processes of public entities, from the components of the quality management system and the quality requirements, each question was applied according to the corresponding global communication subcategory. Hence, for instance, the global communication subcategory pertaining to the identification of Stakeholders (Binder, 2007) fell into the quality system component “5. Responsibility of management” in the requisite pursuant of “5.2 customer focus”, to which the validation question “has the identifying of stakeholders been carried out by the organization?” should be applied (ICONTEC, 2009).
To implement the tool, two staff members of the departmental ICT Secretariat were personally interviewed: the director in charge of the Online Government Directorate, as well as the unit’s quality specialist. Furthermore, information was consulted in the records of the quality processes available in the ISOlucion system of the Government of Cundinamarca.
The compliance weighting was assigned based on the criteria outlined by the NTCGP 1000:2009 which establishes 6 weighting criteria for compliance with the requirements in each of its components, wherein a requirement is valued at 100% when it is documented, applied, updated and without identified improvements, wherefore the non-compliance with any of the aforementioned criteria, reduces the score by 25%, respectively.
The third and last tool was the application of the Vester matrix, an element that makes use of the exercise of identifying active and critical analytical variables, with the aim of limiting and profiling the variables or categories that respond effectively when applying the global communication model in the ICT Secretariat, intervening the key factors that allow to effectively improve the problem. To that end, each subcategory of the global communication model was crossed, weighing its level of influence or possible dependence on the others.
This model’s application is relevant to this research work given the wide universe of analytical categories identified, and the need to intervene in the key factors capable of effectively improving on the problem.
The results obtained through surveying 45 territorial entities (Graph3) in which information was compiled on the frequencies and channels of communication with the ICT Secretariat, the level of dependence on the departmental ICT Offer and the degree of knowledge and inclusion, made it possible to determine that the technological management performed in the department of Cundinamarca is viable and financed through the resources invested by the departmental instance, headed by the ICT Secretariat with 66.7% of presence in the cases, followed by the municipalities’ own management at 40%, leaving the rest missing efforts to national instances, thereby proving the existence of a significant level of dependence on the ICT Secretariat’s resources and handling for the territory’s technological development.



On the other hand, knowledge of the Secretariat’s ICT Offer presents an uneven relationship for each specific project, with “support for the implementation of Online Government” being the best known (86.7%), followed by “Interactive Portals” (64.4%) and the “implementation of IP Telephony” (46.7%), despite the fact that this means of communication is not widely used by the same stakeholders. The projects least known by the municipalities are “Social Data Network” and “Text Messaging”, which are known by 40% each, followed by “Fiber Optic Installation” with 31.1%, “System for the Administrative and Financial Management of Taxes” with 4.4% and “SAGA” with just 2.2%.
In this sense, the implementation of these projects in the municipalities has a similar behavior, where 91.1% of those surveyed acknowledge having implemented the project of “support in the implementation of Online Government” into their municipalities, followed by the “Interactive Portals” with 62.2% of the cases, and 33.3% for both the “implementation of IP Telephony” and for the “installation of Optical Fiber” and the “Social Data Network”. The “Text Messaging” project has only a 26.7% implementation rate and both “SAGA” and the “System for the Administrative and Financial Management of Taxes” are not known by the respondents to have been implemented.
This phenomenon is accompanied by a lack of recognition of participation in the planning process of the Offer projects, where only 6.7% of those surveyed said to have engaged in the formulation of some project, while the remaining 93.3% had not.
Likewise, the mechanism preferred by the municipalities to communicate with the ICT Secretariat is e-mail (86.7%), followed by face-to-face communication (71.1%) and the use of fixed telephony (46.7%), which reflects a preference for the traditional use of communication channels between this group of stakeholders and the Secretariat. Both IP telephony, the PCC system and the chat are little-used means despite being focused on the Quality Management System of the entity.
The main channels of communication are the traditional ones, represented by the use of e-mails, visits to the premises and fixed telephony, neglecting the innovative channels proposed by the entity, such as IP telephony, chat and PCC’s virtual attention.
The most representative finding of the survey applied on the sample of municipalities in Cundinamarca addresses the third question, identifying the low levels of stakeholders’ engagement at the time of planning and formulating the offer, which initially makes it difficult to collect the requirements of the same, generating some limitations when setting up the quality indicators related to the satisfaction of the customer or user of the offer.
Notwithstanding, according to the results obtained by the instrument applied (Graph 4), of the 5 categories of the proposed global communication model, the ICT Secretariat implements none fully, and none of the 16 subcategories reaches 100% in the quality component: there is a partial implementation of 4 of them, which must be subjected to observation for their effectiveness and improvements; otherwise 3 have an average level of application and documentation; however, they are not clear and are not applied in a uniform manner, so they will require updating; 4 are being applied inadequately since there is not a record of these activities nor have they been validated in the Quality Management System. Lastly, 5 elements are not being applied at any quality level.

The “Preparation and structuring of the requirements management process” category only displays a 25% implementation, showing that the requirements collection process does not yet count with adequate planning since the objectives of the process exist but there is no record or validation by the Quality Management System and does not have associated indicators to be assessed by. Likewise, the characterization is done through the Secretariat’s team members’ perception instead of a validated instrument.
The category in which no progress has been made prior to the adoption of the model is “Communication techniques and strategies” with 8%, being the weakest and least positive element for the adoption of a global communication model in the ICT Secretariat. Specifically, the weaknesses it shows are that it does not have instruments to characterize the information required by the project, nor a record of the requirements of those interested in the ICT Offer, nor has it estimated the appropriate communication channels to interact with them.
“Global creativity”, as well as “Stakeholders and communication channels”, are the ones that bring more elements into the adoption of the global communication model, with a previous advance of 40% and 42% respectively. The first category finds its main restrictions in the use of technology or innovative mechanisms to share ideas with those interested in the ICT Offer, as well as the little management of these spaces to gather new ideas or initiatives that the stakeholders may have.
The category “Stakeholders and communication channels” is the one that has made the most progress within the proposed model and presents serious weaknesses in terms of evaluating the effectiveness of the instruments and elements that currently exist. The ICT Secretariat has made significant progress in identifying and classifying its stakeholders; however, the use they make of this information has little impact, since the level of knowledge of its ICT Offer is still very low, as well as the levels of participation of territorial entities as demonstrated in the first section of the diagnosis.
The “Regulations and Meeting Models” category is 30% advanced, which provides some basic elements to the global distance communication model. It also presents some weaknesses in terms of communication and the strategies used. This is supported by the fact that few meetings are planned with stakeholders, the number of channels that should exist has not been adequately calculated, and the restrictions that stakeholders may have with the channels of communication have not been documented.
Lastly, using the systemic analysis method instrumentalized by the use of Vester’s matrix, the subcategories considered in the communication model were classified as priority intervention to guarantee the strengthening of the requirements collection process and the adequate structuring of the global and remote communication model, identifying the categories with a low level of urgency for intervention as dependent variables, due to the fact that they depend on the strengthening of influential variables to guarantee their progress. In this same vein, they are not categories that are discarded; on the contrary, they are categories capable of improving in the long term from correctly intervening the influencing variables.
According to the result obtained, eight key subcategories (variables) were identified for intervention, as they are the ones that prove to have the greatest importance in order to adequately implement the others. These subcategories are in the critical and active scenarios, and are the ones that will provide opportunities to undertake improvements and recommendations. The subcategories to be addressed are: Identification of stakeholders, knowledge of stakeholders, requirements analysis, identification of communication channels, standardization of the QMS process, identification of stakeholders’ needs, technological tools for interaction and brainstorming sessions.
This study has been carried out with the purpose of proposing an improvement plan to the communications model for the requirements collection process that will make it easier for the ICT Secretariat to identify the needs of those interested in its Offer, and for them to engage in the activities developed and increase their commitment, thus obtaining the greatest and most beneficial impact in the territories where it is implemented. From the data collected and analyzed, it was possible to conclude that the strategies in the area of communications have a low impact on stakeholders, in addition to not having a clear and socialized process with the entire work team. The foregoing has created a lack of knowledge of the ICT Secretariat’s work in the territories, which has led to the consolidation of high levels of dependence on access to information and communication technologies.
Likewise, in the case of municipalities, it can be deduced that there is no clear recognition of the Secretariat’s ICT Offer, which in the vast majority of cases only refers to two specific projects: “Support in the implementation of Online Government” and “Interactive Portals”, the rest of the offer is moderately recognized and referenced regarding its execution. Thus, we can infer that, despite the municipalities’ high level of dependence on the ICT Secretariat to carry out technology projects, there is no clear knowledge of the offer, which is based on a low inclusion or recognition by municipalities, who constitute the main stakeholders in the implementation of projects.
As a first step, it is recommended that, during the process documentation exercise, permanent discussion spaces be generated as to promote a culture of continuous improvement, as well as the possibility of updating said documentation according to the technological interaction tools implemented in each territorial zone of the interested parties. The above, highlighting the new challenges that organizations must face with respect to their “integration into the technological dynamic”, disassociating themselves from the mechanistic ideas that persist to date (Dias Baptista, 2014).
However, taking into account the difficulty of identifying stakeholders through the current process within the ICT Secretariat, a significant gap comes to light in the recognition of stakeholders’ variables of analysis in order to make a decision based on real data, mainly due to the fact that the current process of characterizing stakeholders only reckons the geographical and political administrative aspects of the municipalities as relevant information to be taken into account when identifying them Likewise, there is a low identification level of existing communication channels that involve their stakeholders, such as the importance of establishing and improving the way they are communicating. This is mainly because the Secretariat bases its communication on the traditional channels as required by law and standardizes them for all communication management, which directly creates low levels of innovation in communication and a waste of the environment to bring stakeholders closer to the ICT Offer (Pull type).
Thus, in the sessions of needs recognition and identification of key factors for the implementation of each project belonging to the ICT offer, it is advisable for stakeholders to regard the added value provided by the use of collaborative and interactive communication tools and the saving of resources that these bring about in order to ensure a feedback process therein. Another recommendation is that information exchange exercises be carried out on a permanent basis, which strengthens the process of learning about the ICT Offer and its understanding by stakeholders, which provides the main path towards customizing management, continuous improvement of communication and strengthening the value of the brand as basic elements of the Pull model.
The above, in order to promote the technological recursiveness of the organization around generating greater and better interactive processes that invite stakeholders to be in continuous contact and effectively identify their needs. As mentioned by Abudi (2013) , designing best practices to involve stakeholders from the outset and to continue communication and stakeholder participation throughout the project life cycle is a major challenge, and even more so when we are in a technological era.
Lastly, due to the restriction brought on by the current communication mechanisms of the Secretariat of ICT and the 116 municipalities of the department of Cundinamarca, the level of creativity and co-creation with stakeholders is almost nil, wherefore it is imperative to work on implementing a new space supported by technology that allows the Secretariat to better manage the ideas of its stakeholders, regardless of geographical barriers or the time available to them, thereby meeting the need identified in other case studies, wherein communication is characterized as a multidirectional tool, iterative and marked by new codes and practices that give way in favor of consumers’ experiences and preferences (Iconofacto, 2012), where it is key for interacting anc contributing to take place at anytime.
One of the strategies that have been worked out worldwide, and especially to manage ideas or creativity at a distance, is the brainstorming of ideas at a distance through online mechanisms. In this regard, the global communication model points out:
The first style of brainstorming coordination is “online brainstorming”, which is made up of people from different locations participating in a brainstorming session using video tools, interactive images, or software. The project manager acts as a coach, stimulating creativity, organizing ideas and moderating the meeting. Good preparation and coordination will yield excellent results, despite the distance between team members. (Binder, 2007, p. 118).






