research-article
Received: 23 April 2023
Accepted: 09 October 2023
DOI: https://doi.org/10.5093/jwop2024a1
ABSTRACT: For decades researchers have explored the link between the Big Five personality traits and job performance, conducting studies across various contexts and sectors. The study seeks to test the link between the Big Five dimensions of personality and job performance in Türkiye, for which an integration of 38 studies involving 18,021 participants was performed. By using psychometric meta-analysis, the study compares and evaluates the similarities and differences among the Türkiye studies and the broader literature on this topic. Additionally, this study is among the first to address the moderating effect of evaluators and sectors on the relationship between Big Five personality traits and job performance dimensions. The findings suggest that there are differences between the Turkish studies and the existing literature, which could be explained by cultural differences and social norms specific to collectivist countries like Türkiye.
Keywords: Big Five, Job performance, Psychometric meta-analysis, Collectivist cultures, Türkiye.
RESUMEN: Los investigadores han explorado durante decenios la relación entre los rasgos de personalidad de los cinco grandes factores y el desempeño en el trabajo, mediante estudios en diversos contextos y sectores. El estudio pretende probar el vínculo entre las dimensiones de personalidad de los cinco grandes y el rendimiento laboral en Turquía, para lo que se llevó a cabo la integración de 38 estudios en los que participaron un total de 18,021 sujetos. Mediante meta-análisis psicométricos el estudio compara y valora las semejanzas y diferencias entre los estudios de Turquía y las publicaciones más amplias sobre el tema. Además el estudio es uno de los primeros que aborda el efecto moderador de los evaluadores y sectores en la relación entre los rasgos de personalidad de los cinco grandes y las dimensiones del desempeño en el trabajo. Los resultados indican que hay diferencias entre los estudios turcos y otros estudios, lo que podría explicarse por las diferencias culturales y las normas sociales específicas de países colectivistas como Turquía.
Palabras clave: Los cinco grandes factores, Desempeño en el trabajo, Meta-análisis psicométrico, Culturas colectivistas, Turquía.
Introduction
Studies examining the relationships between the Big Five personality traits model and job performance have been going on for more than 55 years. These studies have been conducted across several contexts, such as different cultures, (Barrick et al., 2001; Chandrasekara, 2019; Lado & Alonso, 2017; Oh, 2009; Ones et al., 2007; Salgado, 1997; van Aarde et al., 2017), different sectors or occupational groups (Barrick & Mount, 1991, 1993; Barrick et al., 2001; Judge & Zapata, 2015; Kim et al., 2019; Le et al., 2011; Mount et al., 1998; Ones et al., 2007; Salgado, 1997; Schmidt & Hunter, 1992) and samples including different evaluators (Colbert et.al., 2012; Connelly & Chang, 2016; Kluemper et al., 2015; Oh et. al., 2011). While there is an evident dominance of these studies in the context of the USA and Canada, there is still limited contribution of studies conducted in collectivist countries, such as Türkiye. One of the reasons for this may be the fact that studies made in these countries are mainly written and published in the native language as opposed to English, rendering them unable to reach a broader scholarship audience. Using psychometric meta-analysis, this study aims to integrate Big Five and job performance correlational findings from across the Turkish literature to the general scientific world. In addition, we aim to provide an evaluation of possible similarities or differences among these studies and the broader literature on this topic. Finally, it examines the effects of personality on job performance in a collectivist society from the perspective of different sectors or occupational groups and evaluators.
Up to the authors’ knowledge, there has not been a comprehensive meta-analysis study looking at personality-performance relationships in Türkiye. The lack of such study is a great limitation for both Turkish and international researchers and practitioners. As work-related psychological research rapidly expands in both Türkiye and the rest of the world, a thorough revision of the local job performance-personality study status is an important basis for establishing guidelines and for future studies. This meta-analysis is the first of its kind that will be addressing the relationships between Big Five personality dimensions and job performance dimensions, together with the moderating effect of performance evaluators and sectors for which the traits-performance relationship is being studied. Thus, the goal of the current study is to answer the following questions:
Big Five and Job Performance in the Global Context
The Big Five and job performance relations have been studied for a long time in international literature. For the purpose of the current study and as an initial step in assessing the relevant literature, the authors conducted bibliometric analysis according to the proposition of Aria and Cuccurullo (2017). Results have shown that there are more than 300 documents (including journal articles, book chapters, conference papers, and reviews) concerning Big Five-job performance relationship that can be found throughout GoogleScholar, Scopus, and WoS databases.
One of the most influential and initial studies on personality traits-job performance relationship was the meta-analysis study on social desirability by Ones et al. (1996). According to these authors, despite the fact that this concept can explain conscientiousness, it is not related to job performance. In addition, the authors point out that the multiple correlations between job performance and the Big Five is .25 while it is .23 with conscientiousness. However, Barrick and Mount's (1991) meta-analysis and Ones and Viswesvaran's (1996) study criticized the use of narrower personality scales instead of Big Five when predicting job performance. Such critics proved to be valid as the latest meta-analysis studies are showing different results than the ones pointed out by Ones et al. (1996). In the recent literature, social desirability is usually labeled as faking, referring to intentional distortion of responses during non-cognitive assessment procedures (Martinez & Salgado, 2021). Results of the Martinez and Salgado’s (2021) comprehensive meta-analysis on the faking resistance of forced-choice (FC) inventories indicated that FC inventories showed resistance to faking behaviour, especially the quasi-ipsative ones with magnitude of faking being higher in experimental contexts. Moreover, the study by Otero et al. (2020) examines the convergent-discriminant and predictive validity of the Big Five personality dimensions assessed with two different formats of personality inventories: a single-stimulus (SS) inventory and a quasi-ipsative FC inventory. The results showed that these measures present a high convergent-discriminant validity and that both types of personality measures have similar predictive validity for the three performance criteria examined in the related study, such as academic performance, training success, and interpersonal competence. Finally, the findings of Martínez et al.’s (2021) study proved the robustness of the stability of the Big Five factor structure in the quasi-ipsative FC personality questionnaire under faking conditions.
This proves the influence of meta-studies and their power to further enrich knowledge and understanding on traits-performance relationships. Among other influential studies, there is the one by Barrick and Mount (1991), which sheds light on the studies dating from its publication in 1991 back to 1952, providing a viable roadmap for contemporary studies. In another meta-analysis, which combined knowledge from the one in 1991 and in the period between 1991 and 2001, Barrick et.al (2001) encouraged future studies that will investigate the relationship between the Big Five and job performance in different ways.
In addition to the frequent use of scales to measure personality and job performance in personnel selection processes by small and medium-sized companies, as well as large companies, several meta-analyses were conducted on the relationship between personality and job performance, especially in the last 30 years (Barrick & Mount, 1991; Barrick et al., 2001; Hogan & Holland, 2003; Judge et al., 2013; Salgado, 1997, 1998; Salgado & Táuriz, 2014; Tett et al., 1991; van Aarde et al., 2017). These meta-analyses show that Big-Five personality traits are valid predictors of important work criteria. Accordingly, Conscientiousness shows consistent relations with all job performance criteria across several occupational groups (Barrick & Mount, 1991; Barrick et al., 2001), and in different contexts, such as Europe (Salgado, 1997) and South Africa (van Aarde et al., 2017), with only Tett et al. (1991) founding lower validity of Conscientiousness compared to other dimensions. In their study, Hogan and Holland (2003) used the socio-analytic theory to understand the effect of individual differences on work performance, again showing that all Big Five personality dimensions more precisely predicted relevant criterion variables. Salgado (1997, 1998) contributed to the related literature by reporting a meta-analytical research on the topic of personality-performance relation with studies having samples from European Community countries. Besides Conscientiousness, this study added Emotional Stability as a valid predictor across job criteria and occupational groups, with other traits also showing significant predictor power across different occupations. Barrick and Mount (1991) and Salgado (1997) showed that Openness to Experience and Agreeableness dimensions are valid predictors for training proficiency. As the training situation demands a significant amount of social interaction, the interpersonal facets assessed by Agreeableness may be relevant predictors of success (Hough et al., 1990).
Performance Evaluator and Sector as Moderators
Studies that focus on the relationship between personality traits and performance show that some differences emerge when considering the variety of performance evaluators. Performance evaluations have the central role in organizations when it comes to performance management, employee development, administrative decision making, and human resource functions. It can be stated that job performance evaluation differs depending on whether the evaluator is an individual himself/herself or a supervisor (Aşkun et al., 2021). Likewise, different samples and meta-analyses proved that there are significant differences between an individual’s own evaluations and supervisors’ evaluation (Colbert et al., 2012; Connelly & Chang, 2016; Kluemper et al., 2015).
The Big Five personality framework, used in individuals’ own assessment reports, is widely accepted in organizational behavioral science and predicts multiple organizational outcomes (Barrick & Mount, 1991; Judge et al., 2002). Results of multiple meta-analyzes and secondary level meta-analyzes, shows that Big Five personality traits have the best validity for predicting an individual’s objective evaluations (Morgeson et al., 2007; Ployhart, 2006). A meta-analysis by Oh et al. (2011) revealed that other personality ratings predict job performance and provide validity beyond individuals’ own assessment reports. When it comes to technical performance, additional studies by Connelly and Hülsheger (2012) support these findings.
Previously performed review of meta-studies on personality-performance relationship indicates that results can vary depending on the profession and/or sector in which the workforce is being investigated. Studies show that each personality trait of employees may be related to different professions and sectors, leading to different predictive values of job performance (Barrick & Mount, 1991; Barrick et al., 2001; Judge & Zapata, 2015; Ones et al., 2007; Salgado, 1997; Schmidt & Hunter, 1992). Conscientiousness, Extraversion, and Agreeableness will better predict job performance if there is a high autonomy in a job (Barrick & Mount, 1993), while people with high Conscientiousness and Emotional Stability should take part in jobs with low complexity in order to achieve higher performance (Le et al., 2011). In addition, it was empirically proven that Extraversion in the education sector can show higher teacher efficiency (Kim et al., 2019), while the performance of people with agreeableness traits can be positively affected in professions with more interaction (Mount et al., 1998). Barrick and Mount’s (1991) study shows that Conscientiousness is a valid predictor of job performance and generalizes the validity between sub-dimensions of job and performance. These researchers also state that personality traits are predictors of some sub-dimensions for certain jobs. Hough (1992) states that personality scales are predictors of various organizational and educational characteristics. Salgado (1997) confirmed that Conscientiousness as well as Emotional Stability are valid predictors of job performance among professions, while Extraversion, Openness, and Agreeableness are valid predictors for certain jobs and sub-dimensions of performance. In another study (Judge & Zapata, 2015), Conscientiousness and Openness emerge as significant predictors of job performance for jobs that provide independence in completing the job, while the same can be said for Emotional Stability, Agreeableness, and Extraversion for the jobs with strong social skills. Extraversion is more positive with job performance in highly competitive jobs, while, in the same context, Agreeableness is evaluated negatively. Furthermore, Openness better predicts job performance in jobs where creativity is a necessity, while Emotional Stability, Agreeableness, and Extraversion affect performance in those jobs that are dealing with unpleasant or angry people. Thus, it can be concluded that in addition to general personality traits, specific professions are affecting job performance. Finally, there are several studies in different sectors and professions where personality traits predict job performance differently (Barrick & Mount, 1991, 1993; Barrick et al., 2001; Kim et al., 2019; Le et al., 2011; Mount et al., 1998; Salgado, 1997; Walmsley et al., 2018), with some studies (LaHuis et al., 2005; Le et al., 2011) implying that, depending on the complexity of the jobs, some relationships between personality traits and job performance may actually be non-linear.
Considering the importance and effect that performance evaluator and sector may have on the relationship between personality trait and job performance, it is considered useful to examine it through the meta-analytical approach. Moreover, current literature implies that specific cultural context in which the studies are conducted may be influential in this evaluator- and sector-moderating role in personality traits and job performance relationship.
Cultural Differences in Traits - Performance Relationship
The world has been transforming day by day into a “global village”, with a continuously changing structure, allowing for cultures to intertwine. This situation makes it possible to see cultural diversity in almost all societies. However, the norms of societies somehow continue to manifest themselves. Especially “expressiveness, punctuality, rule-breaking, and personal space” norms are useful in revealing the differences between cultures (Myers, 2010). Bibliometric analysis findings in the current study advocate in favour of examining the traits-performance relationship in different cultural context considering the following list of countries that publish the most in this field: USA, Canada, UK, China, Germany, Netherlands, Spain, Japan, Australia, Italy, Malaysia, Denmark, Sweden, India, Belgium, Iran, Norway, Finland, and France.

Interesting cooperation and results from publication analysis imply that there are studies conducted both in similar and/or mixed cultural settings. Thus, in order to understand and compare these cultural differences Hofstede’s cultural dimensions frameworks can be used. Dutch management researcher Geert Hofstede created the cultural dimensions theory in 1980 after conducting one of the most comprehensive studies on how culture influences values in the workplace. After his initial study on a large amount of survey data about the values of over 100,000 employees working in the local subsidiaries of a large multinational corporation IBM in more than fifty countries around the world, Hofstede derived four cultural dimensions. Later on, based on the Chinese Value Survey (CVS) in the 90s, and subsequent replication of Hofstede’s study conducted across 93 separate countries (Hofstede et. al, 2010), finally, six dimensions were established. These six dimensions are Power Distance (from small to large), Collectivism vs. Individualism, Feminity vs. Masculinity, Uncertainty Avoidance (from weak to strong), Long-term vs. Short-term Orientation and Indulgence vs. Restraint (Hosftede et.al 2010), which are presented in more detail in Figure 1.
Among the most publishing countries on traits-performance relations, China, Japan, Malaysia, India, and Iran can be considered mostly collectivist, while others are considered individualist (Hofstede et al., 2010). As for the studies regarding individualist countries, it can be said that they have more influence in the field, both quantitatively and qualitatively. This result is also seen in the cooperation between individualistic countries. For example, UK-USA, Canada-USA, Australia-USA, Australia-UK, German-USA, Netherlands-USA, Italy-USA collaborations stand out. Among top publishing countries, the USA seems to collaborate the most with other countries, but there is no cooperation with collectivistic countries like Malaysia and Iran. There has been some collaboration between researchers in collectivistic India and Japan and the individualistic USA. Finally, collectivistic China cooperated with both the individualistic USA and with other collectivistic countries, such as Pakistan and Thailand.
A meta-analysis study conducted by Salgado on European worker samples (Salgado, 1997) shows that Conscientiousness and Emotional Stability are especially valid predictors among professional groups, while other personality traits have different predictability according to different occupational groups. In addition to these studies, interpretation of different meta-analyses by Ones et al. (2007) reveals the importance and effectiveness of personality in organizational decision making. When considering a recent publication, Bhatti conducted descriptive and correlational studies with different authors in Saudi Arabia, Malaysia, and Egypt. In particular, his collaborative correlational study (Bhatti et al., 2014) on employees coming from 12 different countries, both individualistic and collectivistic, reveals that personality traits are effective in adapting to a different country and, in this sense, improving job performance.
When evaluating studies from different national contexts, considering Hofstede et al.'s (2010) cultural dimensions, it can be observed that in a South African (individualistic) meta-analysis, Conscientiousness and later Emotional Stability predicted technical performance (van Aarde et al., 2017), while in a quantitative synthesis study based on samples from Spain (individualist) Conscientiousness and Emotional Stability emerge as the most significant predictors of job performance (Lado & Alonso, 2017). In a study conducted in Sri-Lanka (collectivistic), it was found that Agreeableness predicted job performance the most, while Emotional Stability is the least predictive trait (Chandrasekara, 2019). Conscientiousness and Emotional Stability traits are the best predictors of job performance in other studies with individualistic country samples (Barrick et al., 2001; Ones et al., 2007; Salgado, 1997). When considering a recent publication, Batti et al (2014) conducted descriptive and correlational studies with different authors in Saudi Arabia, Malaysia, and Egypt. In particular, this collaborative correlational study on employees coming from 12 different countries, both individualistic and collectivistic countries, reveals that personality traits are effective in adapting to a different country and, in this sense, improving job performance.
Limited research regarding countries that are considered as of collectivist cultural structure is what encouraged the authors to conduct this study in the context of Türkiye, which, according to Hofstede’s scale, is considered as a collectivistic country.
Big Five and Job Performance in Türkiye
Located on the peninsula that bridges the European and Asian continent, Türkiye was throughout history considered as an important transportation, political, economic, and social space, where a plethora of cultures were mixing. Türkiye’s strategically important location has given it major influence in the region, but at the same time making it an important stop throughout numerous migration waves. Considering its significant influence and a population of almost 85 million people, Türkiye is being considered as a country of specific and dynamic cultural space which deserves to be further discovered and compared to other cultures throughout the world.
Türkiye can be considered as part of the cultural cluster of the Global Leadership and Organizational Behavior Effectiveness Research Program (GLOBE) (House et al., 2004), which was initially focusing on leadership, but further expanded into other aspects of national and organizational cultures. In the scope of this project, Hosftede’s scale was applied on the large scale proving some specific characteristics of the collectivist societies. When compared with Europe and USA, Türkiye’s culture is more collectivistic, as it tends to encourage social cohesion, national pride, intra-group loyalty, collective action, and mass distribution of resources at the level of a family, organization, and overall society (Hofstede et al., 2010; House et al., 2004). Socialization and interpersonal compatibility are likely to be more important in Türkiye than in Europe and the US. In societies like Türkiye, people in positions of authority are expected to act as parents and look after employees and their families. Employees are expected to have a holistic view instead of a narrow task-based one. It is observed that performance fit, which refers to the extent at which the community encourages and rewards innovation, high standards, and performance improvement, gets higher value in individualistic societies, such as the USA, than in the collectivistic societies such as Türkiye.
Another important concept in discussing cultural differences is human harmony, which is defined as the degree of rewarding society’s actions of justice, sacrifice, generosity, and courtesy. Human harmony is higher in Türkiye compared to countries such as Germany, England, Denmark, or Ireland (House et al., 2004). These differences may suggest that, in cases where an employee is evaluated by the supervisor, diligence and innovativeness-related characteristics may be less important in Türkiye than in societies such as the USA. Certain disparities are suggestive of how societal acts and behaviours are incentivized within certain cultural contexts. According to Smith et al. (1996), daily interactions and societal expectations in Türkiye place a significant focus on fairness, sacrifice, generosity, and civility. The notion of human harmony carries significant ramifications for the evaluation of employees, particularly in the context of performance assessments conducted by supervisors. In communities that place a strong emphasis on human harmony, employee assessments may prioritise attributes associated with fairness, sacrifice, generosity, and civility. This implies that in Türkiye performance assessments may place greater importance on elements such as teamwork, interpersonal skills, and conformity to cultural norms and values compared to societies where similar values are less emphasized. On the other hand, it is worth noting that certain nations, such as the United States, tend to prioritise individualism, achievement, and innovation to a greater extent (House et al., 2004; Triandis, 1995). In societies of this nature, the assessment of employees may place a higher degree of significance on attributes such as originality, proactivity, and proficiency in resolving challenges. The attributes of diligence and innovativeness are potentially more significant in ascertaining the success and progression of employees.
When examining correlational work between job performance and personality regarding Big Five personality scales in the context of Türkiye, besides Bacanlı et al. (2009), Gençöz and Öncül (2012), Somer et al. (2002), who each developed their own scales in Turkish, there are many other studies (Benet-Martínez & John, 1998; Costa & McCrae, 1985, 1992; Goldberg, 1992; Goldberg et al., 2006; Gosling et al., 2003; John et. al, 1991; John & Srivastava, 1999; McAbee & Oswald, 2013; Stewart, 1999) whose scales were adapted to Turkish after conducting validity and reliability tests. In her doctoral dissertation, Gümü (2009) applied the Turkish version of the scale used in another unpublished work by John et al. (1991). Sümer et al. (2005), presented a Turkish version of the Benet-Martínez and John’s (1998) study at a conference on traffic and transportation and contributed to the studies in this field, especially in master’s and doctoral dissertations. The scale used in Costa and McCrae (1985) was also adapted to Turkish and used in Kusdil’s (2000) doctoral dissertation, which later on contributed to other graduate dissertations and articles. In a book that brings together NEO-PI-R (Costa & McCrae, 1992) and studies from different cultures, Gulgöz (2002) adapted this scale to Turkish, enabling it to be used especially in master’s and doctoral dissertations. While some studies adapted Gosling et al.’s (2003) study to Turkish according to their own samples, Atak (2013) used adapted Turkish version in his article and master dissertations.
When we look at the master’s and doctoral dissertations that make use of the scale in the chapter “Big Five trait taxonomy: History, measurement, and theoretical perspectives” (John & Srivastava, 1999), it is seen that each study has its own adaptation. When the scales developed in Turkish are examined, Gençöz and Öncül (2012) found a “negative valance” dimension, which is a different dimension in addition to the Big Five, and stated that cultural differences may have an effect on the formation of this dimension. On the other hand, they express that the descriptive adjectives in the languages they use, as well as the cultures of the countries, can lead to the formation of such different dimensions. Bacanlı et al. (2009) developed a personality test based on adjectives in their work following the Big Five personality theory. In this study, it is seen that the internal consistency coefficient is high in the other four dimensions, while it is low in the Emotional Stability dimension. With 15 specific dimensions under these five basic dimensions, (Somer et al. 2002) also proved the weakness of the Emotional Stability dimension. It can be thought that the “negative valance” that arises from the cultural difference and descriptive adjectives introduced by Gençöz and Öncül (2012) may be the cause of the weak effect of the Emotional Stability dimension.
However, focusing on just the above mentioned three studies related to job performance is of limited use. Considering that mainly imported scales adapted to Turkish are used, it can be assumed that there is a high probability that the Emotional Stability dimension is not meaningful in the studies conducted in Türkiye. Thus, there is a need to examine a relationship between personality traits and job performance, as well as the moderating effect of sector/industry and performance evaluator variables, in the studies conducted on Turkish workforce samples and assess it through the scope of Hofstede’s individualism vs. collectivism dimension.
Method
Meta-analytic Database
Search Methods
For the purpose of this research, the following databases in Türkiye were used: National Thesis Center, TO-KAT Scanning, TR-Index, Harman Scanning, ULAKB-M Discovery, EKUAL Discovery, DergiPark. During the search, different combinations of the keywords in Turkish such as Big Five, personality, conscientiousness, extraversion, openness, neuroticism, emotional stability, agreeableness, openness to experience, performance, job performance, personnel selection were used. These keywords were searched in the specified databases as follows: (“big five” OR “big 5” OR “personality” OR “conscientiousness” OR “extraversion” OR “openness” OR “neuroticism” OR “emotional stability” OR “agreeableness” OR “openness to experience”) AND (“job performance” OR “work performance” OR “performance” OR “personnel selection”). The search was limited to articles, conference papers, and master’s and doctoral dissertations published between 2000 and August 2020.
Inclusion Criteria
During the analysis and according to previous meta-analytic studies (Barrick & Mount, 1991; Salgado, 1998), some criteria on the effect of Big Five personality traits on job performance were determined. Each resource was read by the Turkish authors and evaluated for inclusion. First focus was only on studies conducted in Türkiye and that these are not included in any international publication. Special emphasis was placed on ensuring a pure transformation of Turkish sources into the international literature, which was a crucial consideration in authors’ decision-making process. By excluding international publications published in the Turkish context, we aimed to create a clear distinction between studies born from the Turkish cultural context and those conducted by researchers from outside of Türkiye. This separation allows for a focused examination of the unique contributions and insights specifically originating from the Turkish context. It is important to acknowledge that our study serves as a complementary piece, focusing on the Turkish context and providing specific insights that may not be found in the broader international literature. By enabling a pure transformation of Turkish sources into the international literature, we tried to enhance the visibility and recognition of the unique contributions made by Turkish researchers. Subsequently, studies using different personality trait scales suitable for the Big Five personality trait structure were included. For these studies it was important to have correlation values or enough information to calculate a correlation between personality traits and job performance (academic, contextual, task, overall job, counterproductive work behavior, etc.), in addition to sufficient information about the sample size so that standard error can be calculated. No study with missing information was found.


During the research process, according to the aforementioned criteria (Figure 2) under the guidance of PRISMA 2020 (Page et al. 2021), 103 studies were initially discovered. Next, we reviewed the research abstracts and findings. We found that 57 of these studies were not related to the Big Five personality traits, while 8 studies were qualitative, and these 64 studies were left out of the analysis. Accordingly, the descriptive statistics of the 29 dissertations, 8 articles and 1 conference report included in this meta-analysis are shown in Table 1. When looking at the table, it can be concluded that the most studies were published in 2015 (k = 6, 16.7%), 2018 (k = 5, 13.2%) and 2019 (k = 4, 10.5%) respectively, with mainly dissertations (k = 29, 76.3%). While evaluators were predominantly employees (k =27, 71.1%), task performance is put forward as the dominant performance criterion (k = 29, 63.0%). When looking at the sector, mainly studies in service (k = 10, 25.6%) and health (k = 8, 20.5%) were in focus. Characteristics of all studies included are presented in Table 2.

Publication Bias
This study employed a thorough search through all the major databases in Türkiye to ensure a comprehensive search for pertinent research. The utilization of this extensive search method is vital in acquiring a wide range of studies, including both published and unpublished sources such as theses and dissertations. This process, along with our use of precise and diverse terminology, allowed us to guarantee the inclusion of a broad spectrum of relevant findings. The scope of our investigation extended beyond peer-reviewed articles to encompass conference papers as well as master’s and doctoral dissertations. This has significance due to the fact that unpublished studies, such as theses, frequently yield divergent findings compared to published studies, hence aiding in the mitigation of publication bias. In addition, the authors of the study were contacted for missing data or additional information.
The research methodology employed in this study was characterized by the implementation of well-defined criteria, which served as a guide for the inclusion or exclusion of studies. These criteria were established in advance and were based on objective standards. This practice mitigates the potential for biased reporting. The research methodology adhered to the PRISMA 2020 standards (Page et al., 2021), a set of principles specifically developed to enhance the quality of reporting in systematic reviews and meta-analyses. By adhering to these standards, individuals can adopt a methodical and open attitude, thereby mitigating any biases. The researchers presented a comprehensive description of the total number of studies identified, the rationale for their exclusion, and the ultimate number of papers used in the meta-analysis. The transparency exhibited in this context facilitates readers’ comprehension of the decision-making process while concurrently mitigating the potential for biased or partial reporting. The prioritization of research produced in Türkiye that remains unpublished in international journals can contribute to the identification of studies that may have been ignored in global databases, hence mitigating the potential for overlooking pertinent research. Although these aspects may contribute to mitigating publication bias, it is important to acknowledge that no strategy can completely eradicate this risk.
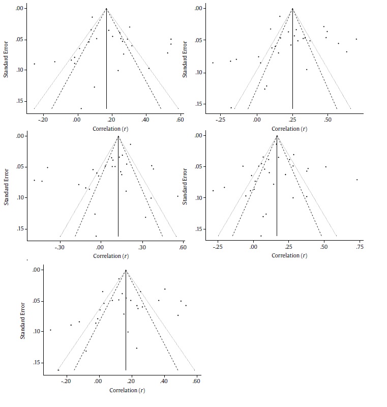
In Figures 3 and 4, we present the forest and funnel plots for the explored relationships between personality traits and task performance. We focused our analysis of publication bias only on the task performance effect sizes because all other tested relationships had very few (< 10) available studies. A visual inspection of the forest and funnel plots reveals some heterogeneity, though we do not see any evidence of egregious asymmetry that would lead us to conclude significant publication bias. Figure 3 shows the complex relationship between personality factors and task performance. Most studies had tight confidence intervals, indicating great precision and dependability in meta-analytic findings. However, to understand how personality differences affect work behaviour and outcomes, one must understand the effect sizes’ variability. Figure 4 for each personality feature demonstrates strong impact size symmetry, demonstrating little publication bias in our meta-analysis. Agreeableness and Emotional Stability favourable associations with task performance are supported by symmetrical studies across effect sizes. Minor asymmetries in the Conscientiousness, Extraversion, and Openness plots may not dramatically undermine the overall trends and may reflect the research’s heterogeneity rather than systematic bias. These plots demonstrate the resilience of our meta-analytic findings and provide a solid framework for evaluating how personality characteristics affect task performance by showing significant and non-significant results throughout the literature. The methodical strategy employed in this study was useful for mitigating the potential influence of publication bias. Nevertheless, the number of total studies for each personality trait and criterion is severely limited, and more research in this area within the Turkish context would greatly benefit our understanding of the true relationships between personality and performance criteria in Türkiye.


Effect Size Estimation
To analyze these data, psychometric meta-analysis (Schmidt & Hunter, 2015) was used and correlations across all studies were pooled. This form of meta-analysis is commonly used for assessing relationships between constructs, and uses a random effects meta-analysis model that estimates both the mean effect size and the true variability of effect sizes across studies (Schmidt et al., 2009). Psychometric meta-analysis is regarded as highly useful for these contexts as it corrects for both sampling error as well as other common statistical artefacts, such as measurement error and range restriction (Schmidt & Hunter, 2015).
In the present study, we corrected for both sampling error and measurement error in predictor and criterion, as well as for univariate indirect range restriction in the predictor. We used the artefact distribution approach to correct for measurement error and range restriction. In this approach, the initial meta-analysis was conducted using observed correlations without correction, and then these results were corrected post hoc using information about the distribution of reliability and range restriction ratio values. This approach is useful, as it can accommodate missing data in artefact values from the included studies, and it can reduce influence of outlier artefact values on the meta-analysis results (Dahlke & Wiernik, 2020).
In this study, we used the Taylor Series Approximation method for artefact distribution corrections (Wiernik & Dahlke, 2020). Information needed to correct for measurement error and range restriction was rarely reported in the studies included in the current meta-analyses, so we relied on previously published artefact distribution information to apply these corrections. We drew artefact distribution means and variances from Salgado’s (1997) large-scale meta-analyses of European personality-performance relationships. These distributions are applicable to the current studies for several reasons. First, Türkiye is a European country with similar economic contexts and job families as present in Salgado’s (1997) meta-analyses. Second, most of the personality inventories used in the current studies were translations of inventories originally developed in Europe or North America. Based on these factors, it is reasonable to expect similar levels of reliability and indirect range restriction as observed in other European personality-performance studies. We used the following mean (μu) and squared variance (σ2u) of observed-score u-ratios for each Big Five personality trait: Agreeableness (μu = 0.82, σ2u = 0.07), Conscientiousness (μu = 0.83, σ2u = 0.04), Emotional Stability (μu = 0.81, σ2u = 0.05), Extraversion (μu = 0.86, σ2u = 0.04), and Openness to Experience (μu = 0.85, σ2u = 0.08). For each Big Five–performance relationship examined in the current study, we computed mean observed correlations (r), mean corrected correlations (p), and confidence intervals around the mean corrected correlations.
Moderator analyses were subsequently conducted to assess the influence of occupational industry and rater type on the relationship between personality traits and job performance criteria. To examine heterogeneity, we estimated random effect variance (SD_ρ) using the Hunter-Schmidt estimator, and we computed credibility intervals for corrected correlations. The 80% credibility interval estimates the range of values where 80% of the population correlations lie (Whitener, 1990). A wide credibility interval suggests that there may be potential moderators increasing the variability of the effect sizes, whereas a narrow credibility interval suggests that potential moderators only have small or trivial effects (Wiernik et al., 2017).

All meta-analytic calculations were conducted using the Psychmeta package (Dahlke & Wernik, 2019) in R (R Core Team, 2023).
Results
Relations among Personality Traits and Performance Criteria
In total, 38 studies were included in this meta-analysis. Sample sizes were roughly equal across personality traits and performance criteria; however, the number of studies and sample sizes varied considerably between performance criteria, with task performance having the greatest number of studies included and the largest sample sizes.
Table 3 presents the results for the meta-analysis of relationships between personality traits and job performance criteria in Türkiye. All traits showed strong moderate correlations with task performance ranging in from .18 to .37; however, all correlations had wide 80% credibility intervals, suggesting varying influences of potential moderators.
A moderate correlation is observed between Agreeableness (ρ = .25) and task performance, with an 80% confidence interval excluding zero [.01, .48]. This suggests the presence of a potentially positive relationship between trait Agreeableness and task performance in the Turkish context. A stronger correlation with contextual performance is observed (ρ = .39); however, the 80% CR [-.06, .83] contains zero, which suggests that the effect may have low credibility. There is a positive correlation between Conscientiousness and task performance (ρ = .37, 80% CR [.09, .64]), while the correlation between Conscientiousness and contextual performance is still positive but has a very wide credibility interval that includes zero (ρ = .28, 80% CR [-.15, .70]), similar to the relationship with overall performance (ρ = .21, 80% CR [-.36, .79]).
Moving on to Emotional Stability, we see a weak to moderate positive correlation with both task performance (ρ = .18, 80% CR [-.13, .49]), overall performance (ρ = .14, 80% CR [-.20, .48]), and contextual performance (ρ = .15, 80% CR [-.38, .69]), but all 80% CRs encompass zero, and hence no conclusive relationships were found between Emotional Stability and performance. There is a positive correlation between Extraversion and task performance (ρ = .24, 80% CR [.01, .47]), contextual performance (ρ = .25, 80% CR [-.01, .52]), and overall performance (ρ = .18, 80% CR [.06, .30]). It is worth noting that the 80% CR for contextual performance just overlaps zero, leading to low confidence. Lastly, there exists a moderate to strong positive correlation between Openness and both task performance (ρ = .24, 80% CR [.01, .48]) and contextual performance (ρ = .39, 80% CR [.16, .63]). Notably, both of these correlations exclude zero in the 80% CR, which suggests the presence of plausible positive relationships between Openness and performance in the Turkish context. While these results help shed some light on the trait-criterion relationships observed in studies conducted in Türkiye, we are still limited in terms of number of studies and the variety of performance criteria assessed. Particularly, the available data for CWB is scant, which complicates the process of deriving meaningful conclusions about traits related to CWB. We found a single study that reported a somewhat meaningful CWB relationship: an inverse correlation with Extraversion was identified (ρ = -.32, 80% CR [-.49, -.15]), excluding zero, suggesting that Extraversion may be negatively related to CWB, but this finding comes from only one study and is not a meta-analytic estimate. All other correlations among traits and performance criteria were highly variable across samples given the frequently low number of studies, even after correcting for error, and all are accompanied by wide credibility intervals.
These results largely reflect the consensus around trait-criterion relationships observed by Barrick and Mount (1991), Hough et al. (1990), and Salgado (1997), namely we observe moderate and high positive relationships between Conscientiousness and the performance criteria. However, we also observe these moderately positive correlations between Openness and Agreeableness and the performance criteria, while Salgado and other have observed much lower correlations. Additionally, Emotional Stability also emerged as positively correlated with task, overall, and contextual performance, supporting Salgado’s (1997) findings of positive validity at the same value. Similarly, while we find a moderate trait-criterion relationship for Extraversion, other studies such as Barrick et al. (2001) found that results linked to Extraversion were close to the low middle. These results highlight potentially different trait-criterion relationships observed in the Turkish context compared to Western ones.




Moderator Influences of Sector and Evaluator
Given the wide credibility intervals, we additionally explored influences of occupational industry and performance evaluator type as two types of moderators of these correlations. These moderator analyses were conducted separately. Table 4 and Table 5 present the results of the industry and evaluator moderator analyses respectively. In scrutinizing the relationships between personality traits and various performance criteria across different industries, a few more interesting insights emerge.
The trait of Conscientiousness consistently manifested as a robust predictor of task performance with an aggregate effect size of ρ, 80% CR = .37 [.09, .64]. Particularly within the health sector, this trait exhibited a pronounced effect (ρ, 80% CR = .69 [.57, .82]). However, its influence varied, becoming less apparent in the finance and mixed industries (ρ, 80% CR = .18 [.18, .18] and ρ, 80% CR = .31 [.15, .47], respectively). Other Conscientiousness relationships did not show meaningful relationships or had credibility intervals that included zero. Extraversion demonstrated a modest positive association with task performance, with an overall effect size of ρ, 80% CR = .24 [.01, .47]. Notably, this trait emerged as a stronger predictor within the health sector (ρ, 80% CR = .50 [.22, .78]) and mixed sector (ρ, 80% CR = .25 [.25, .25]), and showed a negligible impact in the finance sector (ρ, 80% CR = .02 [.02, .02]).
Openness displayed a moderately positive effect on task performance (ρ, 80% CR = .24 [.01, .48]), with notable amplification within the health sector (ρ, 80% CR = .56 [.56, .56]). However, its influence on overall performance was practically null (ρ, 80% CR = .00 [-.49, .50]), reflecting the trait’s limited applicability across performance domains. Agreeableness, while manifesting a modest positive relationship with task performance (ρ, 80% CR = .25 [.01, .48]), its association with overall performance was insubstantial (ρ, 80% CR = .04 [-.38, .46]), hinting at the circumscribed utility of this trait in predicting holistic job performance. In terms of task performance, the trait-criterion relationship was emphasised within the health sector (ρ, 80% CR = .57 [.57, .57]) and slightly lower in the mixed sector (ρ, 80% CR = .15 [.15, .15]). Lastly, in these data, the trait of Emotional Stability showed only one meaningful relationship with performance criteria, in the case of task performance within the “mixed” industry studies (ρ, 80% CR = .21 [.11, .31]), but remained unaffected by moderators.
These findings echo the multifaceted nature of personality-performance relationships, emphasizing the imperative of contextual considerations in elucidating the predictive power of personality traits across diverse occupational realms.
Similarly, for the evaluator-based moderator analyses reported in Table 5, correlations were consistent with the overall relationship across most cases. It must be noted again that several rows in the table show small number of effect sizes included in the evaluator-level analyses with ks ranging from 1 to 20 when including subjective measures, but only from 1 to 7 when subjective measures are excluded, indicating that the number of comparable studies for other evaluating types is relatively low.
Evaluating type largely did not influence the existing trait-criterion relationships. However, subjective rating measures had the greatest number of effect sizes reported than the other types, and in most cases, showed stronger correlations than when performance is scored using administrative evaluation. Notably, Openness (ρ, 80% CR = .27 [.05, .49]), Extraversion (ρ, 80% CR = .26 [.07, .45]), Agreeableness (ρ, 80% CR = .27 [.04, .49]), and Conscientiousness (ρ, 80% CR = .39 [.15, .64]) show higher correlations with task performance when performance is assessed using subjective measures than when using any other type of evaluations/ratings.
Discussion
The results of the current study show that the validities of personality traits for predicting job performance range from small to moderate and are largely consistent with expected and previously observed validities. Conscientiousness emerged as a strong predictor of all performance criteria, mirroring the accepted consensus, and this validity is generalizable across industries and evaluations types in Türkiye.
The second relevant finding is that even after accounting for variance from measurement error and statistical artefacts, all five of the Big Five traits showed some meaningful relationships with task performance, and to a lesser and more varied extent with contextual and overall performance. This finding slightly diverges from those of Barrick and Mount (1991), Hough et al. (1990), and Salgado (1997) who found validities of Openness and Agreeableness to be considerably smaller than was observed in this meta-analysis.
In the current study, we found positive relationships between task performance and all personality traits. Given that task performance primarily involves employees executing technical processes related to their job using their technical skills or supporting technical processes (Motowidlo & Van Scotter, 1994), the identification of a significant relationship between task performance and all five personality traits is a noteworthy discovery. As with most other contexts, in Türkiye there exists a strong relationship between personality traits and one’s ability to execute different aspects of their job. Those functions that are particularly predicted by a certain trait would be better performed by those who generally exhibit more of that trait. In the study conducted in South African context (van Aarde et al., 2017), there was a positive correlation between Conscientiousness and Emotional Stability and task performance. Similar results were found in Spain, as the European country with the lowest individualistic trait (Lado & Alonso, 2017). In the current study, it is seen that Emotional Stability and task performance and other performance types do not differ from individualist culture studies. While collectivist Japan and individualist USA evaluate Emotional Stability levels differently (Minkov & Hofstede, 2013), it is an important finding that collectivist Türkiye has similar results to the USA.
We also find that for contextual performance, Agreeableness and Openness emerge as the strongest predictors, followed by Conscientiousness, Extraversion, and Emotional Stability. In studies specific to South Africa and Spain, Extraversion and Emotional Stability have a positive and high relationship with contextual performance, while Openness has a negative one. There are clear differences between individualist and collectivist (Türkiye) cultures. When we consider issues such as willingly helping a colleague and volunteering as components of contextual performance, in a society where collaborative, thoughtful features and inner feelings, and socialization are always open, Agreeableness and Openness are expected to be positively high, unlike in individualistic cultures.
Overall performance, which is a general performance indicator related to other types of performance, was positively correlated with Conscientiousness, Emotional Stability, and Extraversion, while in the South African study and other similar individualistic culture studies (Barrick & Mount, 1991; Hough, 1992; Hurtz & Donovan, 2000; Lado & Alonso, 2017; Salgado, 1998) the same directional relationship is observed. In addition, Agreeableness and Openness were very low in the study, while the other mentioned similarly low correlation is seen in individualistic culture studies.
Only Conscientiousness and Extraversion and counterproductive work performance (CWP) were negatively correlated with collectivist South Korea and Taiwan (Oh, 2009), while each of them was positively associated with Conscientiousness in the individualistic South African sample. It is considered normal that Conscientiousness and Extraversion are positive in other desired performance indicators and that CWP, which is an undesirable performance, is negative in these features. However, in the case of South Africa, the positive result of this performance indicator with Conscientiousness can be considered as a remarkable difference.
As for the moderator relationship of the industry, there was a high positive relationship with Conscientiousness and Agreeableness, Openness, Extraversion, Emotional Stability, respectively. In their study that deals with 15 meta-analyses (539 studies) specific to individualistic countries, Wilmot & Ones (2021) indicated a low positive relationship between Emotional Stability and task performance, while a low positive relationship is also seen in Conscientiousness, Agreeableness, and Extraversion among health workers. While there is a similarity in Emotional Stability specific to healthcare professionals in both individualistic and collectivistic countries, there is a clear difference in terms of Conscientiousness and Agreeableness. Particularly in collectivist cultures, there is a general sense of responsibility, generosity and kindness in caring for family members (Minkov & Hofstede, 2013). This norm may be a factor in explaining this difference in Conscientiousness and Agreeableness characteristics when compared with more success-oriented individualistic cultures, due to the fact that healthcare professionals approach people in difficult situations such as patient care and elderly care with the same understanding. Including Emotional Stability, the same results are observed with Conscientiousness, Agreeableness, Openness, Extraversion among service workers in individualist countries (Wilmot & Ones, 2021).
Although the sample of military personnel in our study is small, while task performance and Conscientiousness, Agreeableness, and Openness have similar values with individualistic countries, there are small differences in Emotional Stability and Extraversion. While Emotional Stability is considered natural to be same from individualistic culture in almost all cases, a low Extraversion in a military profession can be considered culture-specific. It can be explained by the low level of masculinity and high power distance in collectivist societies such as Türkiye (Hofstede et al., 2010) and its compatibility with the requirements of the profession. Considering the health, service, and military workers as moderate in occupational complexity (Wilmot & Ones, 2019) task performance and Conscientiousness show the same results as in individualist countries. On the other hand, when we look at those working in finance with the same complexity, Openness, Conscientiousness, and Agreeableness are positively related to task performance, while Emotional Stability is negatively related (albeit with a wide CR). Additionally, there is no relationship with Extraversion. As in other studies (Barrick & Mount, 1991; Barrick et al., 2001; Judge & Zapata, 2015; Ones et al., 2007; Salgado, 1997; Schmidt & Hunter, 1992), we can conclude that each personality trait may be related to different sectors and, naturally, predict performance differently. However, there are likely to be significant differences between collectivist and individualistic societies in occupations that may be associated with cultural norms, such as in the healthcare and military sectors. Thus, there is a need for studies examining the wider personality and performance relationship in the context of occupations that can be associated with cultural norms.
Extensive research on personality and social psychology, where supervisor and acquaintance ratings can provide accurate information about one’s personality, can be encountered (Hofstede et al., 2010; Kolar et al., 1996). Moreover, there is a dominant opinion that the subjective evaluations of people are also very valuable (Connelly & Hülsheger, 2012; Kluemper et al., 2015; Morgeson et al., 2007; Ployhart, 2006; Wilmot & Ones, 2022). Based on evaluator-moderated evaluation, Emotional Stability is positively related to task performance, as expected, with subjective evaluations being strongly related to Conscientiousness. On the other hand, a significant positive relationship is observed in Openness, Extraversion, and Agreeableness. Likewise, in the subjective rating moderator, contextual performance was positively associated with Emotional Stability, while Openness and Agreeableness were positively associated with high levels, and Conscientiousness and Extraversion were positively associated, respectively. Considered as a subjective moderator, there is a significant positive relationship between overall performance and Conscientiousness and Extraversion.
When task performance under the supervision of supervisor evaluations is examined, Emotional Stability is not highly correlated, while in the individualist meta-analysis study (van Aarde et al., 2017), a positive relationship is observed at the same level. Furthermore, Openness and Agreeableness display similarly low positive relationships. Moreover, in the same study there is a positive relationship in Conscientiousness, although at different levels. The positive correlation between overall performance and Agreeableness in the supervisor evaluations was similar in a meta-analysis study conducted in individual cultures (Wilmot & Ones, 2022). When task performance is examined under the moderation of administrative evaluations/ratings, there is a positive correlation between Extraversion and Conscientiousness, corresponding to the individualist culture study. While Agreeableness was very low in the same individualistic culture study (van Aarde et al., 2017), it was found to be significantly positively correlated in this one.
These findings are not dissimilar to previous research, such as Alonso (2000), though the validities observed here are generally higher than validities reported by Barrick and Mount (1991) and Salgado (1997), but are more similar to validities reported by van Aarde et al. (2017) in their meta-analysis of personality-performance relationships in South Africa.
In our assessment of industry and evaluator type as moderators, we find the personality-performance relationships to be generally consistent across different sectors and evaluators. This is in line with reported findings in other contexts and suggests that these relationships can be generalizable. However, the small number of studies included in some of the moderator analyses makes it difficult to draw major conclusions with a high degree of certainty. Each of the personality traits can have different relational statuses to job performance types in different contexts such as situation, condition, structure, country, environment, or a completely different result can be obtained when evaluated from an overall perspective. For example, while there is no relationship between overall performance and Agreeableness in other meta-analyses, our study and a study of 142 different meta-analyses (> 1.9 million participants) (Wilmot & Ones, 2022) actually find a relationship.
Limitations and Suggestions for Future Studies
Limitation of the current study lies in the fact that there is a small number of studies that are exploring the Turkish personality-performance landscape. Moreover, the limited number of studies included in some of the moderator analyses makes it difficult to draw major conclusions with a high degree of certainty. As in the meta-analysis by Salgado and Moscoso (2022), in which the relationship between subject well-being and work performance reveals the intercultural differences, there is a need for more meta-analysis studies that will reveal the individualistic and collectivist differences of the relationships between the Big Five and work performance. So far, organizational research in Türkiye was based largely on data collected for purposes other than verification tests. When considering the behavior patterns of contemporary work job performance, particularly deviant organizational behavior in Türkiye, the lack of further work in these areas is a noticeable omission. Looking at the last five years of studies in the field regarding the Big Five-job performance relationship, it is observed that there are also studies on other personality traits such as Machiavellianism, Narcissism, psychopathy. Thus, it might be interesting to see more studies that are examining these traits and performance relationships, especially in different cultural contexts.
Conclusion
This study meta-analyzed the validities of personality trait predictors of job performance criteria across a range of industries/sectors and evaluator types in Türkiye. This topic has been addressed previously around the world, particularly in American and European contexts (e.g., Barrick and Mount, 1991; Salgado, 1997), although this research focuses solely on workers based in Türkiye. The results of this study are shown to be consistent with meta-analytic findings from other national and organizational contexts, providing support to the cultural universality of personality-performance relations. This has been observed previously in other cultural contexts such as in Europe (Salgado, 1997), East Asia (Oh, 2009), and South Africa (van Aarde et al., 2017). This study focuses on a single country and finds that Turkish personality-performance relationships are generally consistent across industries and evaluation types, and are consistent with observed relationships across global contexts.
There are several theoretical implications of the current study. Meta-analytical results of the current study confirm that the Big Five personality traits play an important role in predicting job performance in Türkiye. Additionally, this study is among the first to address the moderating effect of evaluators and sectors on the relationship between Big Five personality traits and job performance dimensions. Further development of industrial psychological research in Türkiye may be achieved with new scales that evaluate the criteria in a cultural sense, rather than solely relying on the available scales in the analysis. In predictive validity studies, researchers should emphasize the importance of ratings and accountability to ensure data quality through the participation of different evaluators. Finally, a psychometric meta-analysis was used in the current study, which is one of the first of its kind to be used in the context of a Turkish workforce sample. As a collectivist country that is in the position to be a bridge between Europe and Asia, Türkiye is representing valuable and interesting context to conduct a meta-analysis that can further contribute to discussion and comparison on cultural differences among personality-performance academic studies.
Not only does this study contribute with its discussion regarding collectivistic-individualistic cultural dimension, but it implies that performance evaluator and sector in which the performance is measured is also of significant importance. Accordingly, among practical implications it can be derived that in occupations that may be associated with cultural norms, such as in the healthcare and military sectors, special emphasis should be placed on differences between collectivistic and individualistic societies. Robust estimates of the effects of personality traits for the key performance areas in organizations that were proposed in the current study should inform the human resources management practices in Türkiye. Thus, human resources managers and recruiters should adopt personality assessments and incorporate them into decision-making systems for other practices such as staff selection, career development, mentoring, and similar.
References
Alonso, A. (2000). The relationship between cognitive ability, the big five, task and contextual performance: A meta-analysis. FIU Electronic Theses and Dissertations, 1077. https://digitalcommons.fiu.edu/etd/1077
Aria, M., & Cuccurullo, C. (2017). bibliometrix: An R-tool for comprehensive science mapping analysis. Journal of Informetrics, 11(4), 959-975. https://doi.org/10.1016/j.joi.2017.08.007
Akun, V., Çizel, R., & Ajanovic, E. (2021). Comparative analysis of factors affecting employee performance according to job performance measurement method: The case of performing artists. Ege Academic Review, 21(1), 29-45. https://doi.org/10.21121/eab.698302
Aslan, M. (2012). Hastanelerde çalıan hemirelerin balamsal performans düzeyleri ve ilikili faktörler. stanbul Üniversitesi Salık Bilimleri Enstitüsü.
Atak, H. (2013). On-maddeli kiilik ölçeinin Türk kültürüne uyarlanması. Noropsikiyatri Arsivi, 50(4), 312-319. https://doi.org/10.4274/npa.y6128
Bacanlı, H., lhan, T., & Aslan, S. (2009). Be faktör kuramına dayalı bir kiilik ölçeinin gelitirilmesi: Sıfatlara dayalı kiilik testi (SDKT). Türk Eitim Bilimleri Dergisi, 7(2), 261–279.
Barrick, M. R., & Mount, M. K. (1991). The Big Five personality dimensions and job performance: A meta-analysis. Personnel Psychology, 44(1), 1-26. https://doi.org/10.1111/j.1744-6570.1991.tb00688.x
Barrick, M. R., & Mount, M. K. (1993). Autonomy as a moderator of the relationships between the Big Five personality dimensions and job performance. Journal of Applied Psychology, 78(1), 111-118. https://doi.org/10.1037/0021-9010.78.1.111
Barrick, M. R., Mount, M. K., & Judge, T. A. (2001). Personality and performance at the beginning of the new millennium: What do we know and where do we go next? International Journal of Selection and Assessment, 9(1&2), 9-30. https://doi.org/10.1111/1468-2389.00160
Benet-Martínez, V., & John, O. P. (1998). Los cinco grandes across cultures and ethnic groups: Multitrait-multimethod analyses of the Big Five in Spanish and English. Journal of Personality and Social Psychology, 75(3), 729-750. https://doi.org/10.1037//0022-3514.75.3.729
Bhatti, M. A., Battour, M. M., Ismail, A. R., & Sundram, V. P. (2014). Effects of personality traits (big five) on expatriates adjustment and job performance. Equality, Diversity and Inclusion, 33(1), 73-96. https://doi.org/10.1108/EDI-01-2013-0001
Çetinsöz, B. C., & Akda, G. (2015). Otel çalıanlarının sahip oldukları kiilik özellikleri ve i performansı ilikileri: Antalya’da faaliyet gösteren be yıldızlı otellerde bir uygulama. Turizm Akademik Dergisi, 2(1), 1-14.
Chandrasekara, S. (2019). Relationship among Big Five personality traits, job performance and job satisfaction: A case of school teachers in Sri Lanka. International Journal of Information, Business and Management, 11(2), 219-232. https://doi.org/10.20472/iac.2018.044.009
Colbert, A. E., Judge, T. A., Choi, D., & Wang, G. (2012). Assessing the trait theory of leadership using self and observer ratings of personality: The mediating role of contributions to group success. Leadership Quarterly, 23(4), 670-685. https://doi.org/10.1016/j.leaqua.2012.03.004
Connelly, B. S., & Chang, L. (2016). A meta-analytic multitrait multirater separation of substance and style in social desirability scales. Journal of Personality, 84(3), 319-334. https://doi.org/10.1111/jopy.12161
Connelly, B. S., & Hülsheger, U. R. (2012). A narrower scope or a clearer lens for personality? Examining sources of observers’ advantages over self-reports for predicting performance. Journal of Personality, 80(3), 603-631. https://doi.org/10.1111/j.1467-6494.2011.00744.x
Costa, P. T., & McCrae, R. R. (1985). The NEO personality inventory manual. Psychological Assessment Resources.
Costa, P. T., & McCrae, R. R. (1992). Revised NEO Personality Inventory (NEO-PIR) and NEO Five-Factor Inventory (NEO-FFI) manual. Psychological Assessment Resources.
Dahlke J, & Wiernik B (2019). “psychmeta: An R package for psychometric meta-analysis.” Applied Psychological Measurement, 43(5), 415-416. https://doi.org/10.1177/0146621618795933
Dahlke, J. A., & Wiernik, B. M. (2020). Not restricted to selection research: Accounting for indirect range restriction in organizational research: Organizational Research Methods, 23(4), 717-749. https://doi.org/10.1177/1094428119859398
Gençöz, T., & Öncül, Ö. (2012). Examination of personality characteristics in a Turkish sample: Development of basic personality traits inventory. Journal of General Psychology, 139(3), 194-216. https://doi.org/10.1080/00221309.2012.686932
Goldberg, L. R. (1992). The development of markers for the Big-Five structure. Psychological Assessment, 4(1), 26-42. https://doi.org/10.1037/1040-3590.4.1.26
Goldberg, L. R., Johnson, J. A., Eber, H. W., Hogan, R., Ashton, M. C., Cloninger, C. R., & Gough, H. G. (2006). The international personality item pool and the future of public-domain personality measures. Journal of Research in Personality, 40(1), 84-96. https://doi.org/10.1016/j.jrp.2005.08.007
Gosling, S. D., Rentfrow, P. J., & Swann, W. B. (2003). A very brief measure of the Big-Five personality domains. Journal of Research in Personality, 37(6), 504-528. https://doi.org/10.1016/S0092-6566(03)00046-1
Gulgöz, S. (2002). Five-Factor model and NEO-PI-R in Turkey. In R. R. McCrae & J. Allik (Eds.), The Five-Factor model of personality across cultures (pp. 175-196). Springer Science+Business Media.
Gümü, Ö. D. (2009). Kültür, deerler, kiilik ve siyasal ideoloji arasındaki ilikiler: Kültürlerarası bir karılatırma (Türkiye-ABD) (Ph.D. dissertation). Ankara University.
Hofstede, G., Hofstede, G. J., & Minkov, M. (2010). Cultures and organizations, software of the mind: Intercultural cooperation and its importance for survival. McGraw-Hill.
Hogan, J., & Holland, B. (2003). Using theory to evaluate personality and job-performance relations: A socioanalytic perspective. Journal of Applied Psychology, 88(1), 100-112. https://doi.org/10.1037/0021-9010.88.1.100
Hough, L. M. (1992). The “Big Five” personality variables-construct confusion: Description versus prediction. Human Performance, 5(1–2), 139-55. https://doi.org/10.1080/08959285.1992.9667929
Hough, L. M., Eaton, N. K., Dunnette, M. D., Kamp, J. D., & McCloy, R. A. (1990). Criterion-related validities of personality constructs and the effect of response distortion on those validities. Journal of Applied Psychology, 75(5), 581-595. https://doi.org/10.1037/0021-9010.75.5.581
House, R. B., Hanges, P. J., Javidan, M., Dorfman, P. W., & Gupta, V. (2004). Culture, leadership, and organizations: The GLOBE study of 62 societies. SAGE Publications.
Hurtz, G. M., & Donovan, J. J. (2000). Personality and job performance: The Big Five revisited. Journal of Applied Psychology, 85(6), 869-879. https://doi.org/10.1037/0021-9010.85.6.869
John, O. P., Donahue, E. M., & Kentle, R. L. (1991). The Big Five Inventory-versions 4a and 54. University of California,Berkeley, Institute of Personality and Social Research.
John, O. P., & Srivastava, S. (1999). The Big Five trait taxonomy: History, measurement, and theoretical perspectives. In L. A. Pervin & O. P. John (Eds.), Handbook of personality: Theory and research (2nd ed., pp. 102-138). The Guilford Press.
Judge, T. A., Heller, D., & Mount, M. K. (2002). Five-factor model of personality and job satisfaction: A meta-analysis. Journal of Applied Psychology, 87(3), 530-541. https://doi.org/10.1037/0021-9010.87.3.530
Judge, T. A., Rodell, J. B., Klinger, R. L., Simon, L. S., & Crawford, E. R. (2013). Hierarchical representations of the five-factor model of personality in predicting job performance: Integrating three organizing frameworks with two theoretical perspectives. Journal of Applied Psychology, 98(6), 875-925. https://doi.org/10.1037/a0033901
Judge, T. A., & Zapata, C. P. (2015). The person-situation debate revisited: Effect of situation strength and trait activation on the validity of the big five personality traits in predicting job performance. Academy of Management Journal, 58(4), 1149-1179. https://doi.org/10.5465/amj.2010.0837
Kim, L. E., Jörg, V., & Klassen, R. M. (2019). A meta-Analysis of the effects of teacher personality on teacher effectiveness and burnout. Educational Psychology Review, 31(1), 163-195. https://doi.org/10.1007/s10648-018-9458-2
Kluemper, D. H., McLarty, B. D., & Bing, M. N. (2015). Acquaintance ratings of the big five personality traits: Incremental validity beyond and interactive effects with self-reports in the prediction of workplace deviance. Journal of Applied Psychology, 100(1), 237-248. https://doi.org/10.1037/a0037810
Kolar, D. W., Funder, D. C., & Colvin, C. R. (1996). Comparing the accuracy of personality judgments by the self and knowledgeable others. Journal of Personality, 64(2), 311-337.
Kusdil, M. E. (2000). Value socialisation in cultural context: A study with British and Turkish families (Ph.D Thesis). University of Sussex.
Lado, M., & Alonso, P. (2017). The Five-Factor model and job performance in low complexity jobs: A quantitative synthesis. Journal of Work and Organizational Psychology, 33(3), 175-182. https://doi.org/10.1016/j.rpto.2017.07.004
LaHuis, D. M., Martin, N. R., & Avis, J. M. (2005). Investigating nonlinear Conscientiousness-job performance relations for clerical employees. Human Performance, 18(3), 199-212. https://doi.org/10.1207/s15327043hup1803_1
Le, H., Oh, I. S., Robbins, S. B., Ilies, R., Holland, E., & Westrick, P. (2011). Too much of a good thing: Curvilinear relationships between personality traits and job performance. Journal of Applied Psychology, 96(1), 113-133. https://doi.org/10.1037/a0021016
Martínez, A., Moscoso, S., & Lado, M. (2021). Faking effects on the factor structure of a quasi-ipsative forced-choice personality inventory. Journal of Work and Organizational Psychology, 37(1), 1-10. https://doi.org/jwop2021a7
Martínez, A., & Salgado, J. F. (2021). A meta-analysis of the faking resistance of forced-choice personality inventories. Frontiers in Psychology, 12, Article 732241. https://doi.org/10.3389/fpsyg.2021.732241
McAbee, S. T., & Oswald, F. L. (2013). The criterion-related validity of personality measures for predicting GPA: A meta-analytic validity competition. Psychological Assessment, 25(2), 532-544. https://doi.org/10.1037/a0031748
Minkov, M., & Hofstede, G. (2013). Cross-Cultural Analysis: The science and art of comparing the world’s modern societies and their cultures. SAGE Publications.
Morgeson, F. P., Campion, M. A., Dipboye, R. L., Hollenbeck, J. R., Murphy, K., & Schmitt, N. (2007). Reconsidering the use of personality tests in personnel selection contexts. Personnel Psychology, 60(3), 683-729. https://doi.org/10.1111/j.1744-6570.2007.00089.x
Motowidlo, S. J., & Van Scotter, J. R. (1994). Evidence that task performance should be distinguished from contextual performance. Journal of Applied Psychology, 79(4), 475-480. https://doi.org/10.1037/0021-9010.79.4.475
Mount, M. K., Barrick, M. R., & Stewart, G. L. (1998). Five-Factor model of personality and performance in jobs involving interpersonal interactions. Human Performance, 11(2-3), 145-165. https://doi.org/10.1080/08959285.1998.9668029
Myers, D. G. (2010). Social psychology (10th ed.). McGraw-Hill.
Oh, I. S. (2009). The five factor model of personality and job performance in East Asia: A cross-cultural validity generalization study (Doctoral dissertation). University of Iowa, Iowa City. http://search.proquest.com/dissertations/docview/304903943/
Oh, I. S., Wang, G., & Mount, M. K. (2011). Validity of observer ratings of the Five-Factor Model of personality traits: A meta-analysis. Journal of Applied Psychology, 96(4), 762-773. https://doi.org/10.1037/a0021832
Ones, D. S., Dilchert, S., Viswesvaran, C., & Judge, T. A. (2007). In support of personality assessment in organizational settings. Journal of Applied Psychology, 60(4), 995-1027. https://doi.org/10.1111/j.1744-6570.2007.00099.x
Ones, D. S., & Viswesvaran, C. (1996). Bandwidth-fidelity dilemma in personality measurement for personnel selection. Journal of Organizational Behaviour, 17(6), 609-626. https://doi.org/10.1002/(SICI)1099-1379(199611)17:6<609::AID-JOB1828>3.0.CO;2-K
Ones, D. S., Viswesvaran, C., & Reiss, A.D. (1996). Role of social desirability in personality testing for personnel selection: The red herring. Journal of Applied Psychology, 81(6) 660-679. https://doi.org/10.1037/0021-9010.81.6.660
Otero, I., Cuadrado, D., & Martínez, A. (2020). Convergent and predictive validity of the Big Five factors assessed with single stimulus and quasi-ipsative questionnaires. Journal of Work and Organizational Psychology, 36(3), 215-222. https://doi.org/10.5093/jwop2020a17
Page, M. J., McKenzie, J. E., Bossuyt, P. M., Boutron, I., Hoffmann, T. C., Mulrow, C. D., Shamseer, L. , Tetzlaff, J. M., Akl, E. A., Brennan, S. E., Chou, R., Glanville, J., Grimshaw, J. M., Hróbjartsson, A., Lalu, M. M., Li, T., Loder, E. W., Mayo-Wilson, E., McDonald, S., … Moher, D. (2021). The PRISMA 2020 statement: an updated guideline for reporting systematic reviews. International Journal of Surgery, 88, Article 105906.
Ployhart, R. E. (2006). Staffing in the 21st Century: New challenges and strategic opportunities. Journal of Management, 32(6), 868-897. https://doi.org/10.1177/0149206306293625
R Core Team (2023). R: A language and environment for statistical computing. R Foundation for Statistical Computing, Vienna, Austria. URL https://www.R-project.org/
Salgado, J. F. (1997). The five factor model of personality and job performance in the European Community. Journal of Applied Psychology, 82(1), 30-43. https://doi.org/10.1037/0021-9010.82.1.30
Salgado, J. F. (1998). Big five personality dimensions and job performance in army and civil occupations: A European perspective. Human Performance, 11(2–3), 271-288. https://doi.org/10.1080/08959285.1998.9668034
Salgado, J. F., & Moscoso, S. (2022). Cross-cultural evidence of the relationship between subjective well-being and job performance: A meta-analysis. Journal of Work and Organizational Psychology, 38(1), 27-42. https://doi.org/10.5093/jwop2022a3
Salgado, J. F., & Táuriz, G. (2014). The five-factor model, forced-choice personality inventories and performance: A comprehensive meta-analysis of academic and occupational validity studies. European Journal of Work and Organizational Psychology, 23(1), 3-30. https://doi.org/10.1080/1359432X.2012.716198
Schmidt, F. L., & Hunter, J. E. (1992). Development of a causal model of processes determining job performance. Current Directions in Psychological Science, 1(3), 89-92. https://doi.org/10.1111/1467-8721.ep10768758
Schmidt, F. L., & Hunter, J. E. (2015). Methods of meta-analysis: Correcting error and bias in research findings. In H. E. Hunter & F. L. Smith (Eds.), Methods of meta-analysis: Correcting error and bias in research findings. SAGE Publications, Ltd. https://doi.org/10.4135/9781483398105
Schmidt, F. L., Oh, I. S., & Hayes, T. L. (2009). Fixed- versus random-effects models in meta-analysis: Model properties and an empirical comparison of differences in results. British Journal of Mathematical and Statistical Psychology, 62(1), 97-128. https://doi.org/10.1348/000711007X255327
Smith, P. B., Dugan, S., & Trompenaars, F. (1996). National culture and the values of organizational employees: A dimensional analysis across 43 nations. Journal of Cross-Cultural Psychology, 27(2), 231-264. https://doi.org/10.1177/0022022196272006
Somer, O., Korkmaz, M., & Tatar, A. (2002). Be Faktör kiilik envanterinin gelitirilmesi-I: Ölçek ve alt ölçeklerinin oluturulması. Türk Psikoloji Dergisi, 17(49), 21-33.
Stewart, G. L. (1999). Trait bandwidth and stages of job performance: Assessing differential effects for conscientiousness and its subtraits. Journal of Applied Psychology, 84(6), 959-968. https://doi.org/10.1037/0021-9010.84.6.959
Sümer, N., Lajunen, T., & Özkan, T. (2005). Big five personality traits as the distal predictors of road accident involvement. In G. Underwood (Ed.), Traffic and transport psychology: Theory and application (pp. 215.227). Elsevier.
Tett, R. P., Jackson, D. N., & Rothstein, M. (1991). Personality measures as predictors of job performance: A meta-analytic review. Personnel Psychology, 44(4), 703-742. https://doi.org/10.1111/j.1744-6570.1991.tb00696.x
Triandis, H. C. (1995). Individualism and collectivism. Westview Press.
van Aarde, N., Meiring, D., & Wiernik, B. M. (2017). The validity of the Big Five personality traits for job performance: Meta-analyses of South African studies. International Journal of Selection and Assessment, 25(3), 223-239. https://doi.org/10.1111/ijsa.12175
Walmsley, P. T., Sackett, P. R., & Nichols, S. B. (2018). A large sample investigation of the presence of nonlinear personality-job performance relationships. International Journal of Selection and Assessment, 26(2-4), 145-163. https://doi.org/10.1111/ijsa.12223
Whitener, E. M. (1990). Confusion of confidence intervals and credibility intervals in meta-analysis. Journal of Applied Psychology, 75(3), 315-321. https://doi.org/10.1037/0021-9010.75.3.315
Wiernik, B. M., & Dahlke, J. A. (2020). Obtaining unbiased results in meta-analysis: The importance of correcting for statistical artifacts. Advances in Methods and Practices in Psychological Science, 3(1), 94-123. https://doi.org/10.1177/2515245919885611
Wiernik, B. M., Kostal, J. W., Wilmot, M. P., Dilchert, S., & Ones, D. S. (2017). Empirical benchmarks for interpreting effect size variability in meta-analysis. Industrial and Organizational Psychology, 10(3), 472-479. https://doi.org/10.1017/IOP.2017.44
Wilmot, M. P., & Ones, D. S. (2019). A century of research on conscientiousness at work. Proceedings of the National Academy of Sciences of the United States of America, 116(46), 23004-23010. https://doi.org/10.1073/pnas.1908430116
Wilmot, M. P., & Ones, D. S. (2021, October). Occupational characteristics moderate personality-performance relations in major occupational groups. Journal of Vocational Behavior, 131, Article 103655. https://doi.org/10.1016/j.jvb.2021.103655
Wilmot, M. P., & Ones, D. S. (2022). Agreeableness and its consequences: A quantitative review of meta-analytic findings. Personality and Social Psychology Review, 26(3), 242-280. https://doi.org/10.1177/10888683211073007
Notes
Author notes
Correspondence: mukhunth@usf.edu (M. Raghavan)
Conflict of interest declaration