Investigación
Recepción: 19 Julio 2021
Recibido del documento revisado: 07 Enero 2022
Aprobación: 27 Enero 2022
DOI: https://doi.org/10.21703/0718-5162202202102147004
Resumen: La información que arrojan las evaluaciones estandarizadas favorece la implementación de medidas que permitan mejorar la comprensión lectora. Frente a ello, el siguiente estudio consiste en el diseño, elaboración, validación y aplicación de un instrumento de evaluación a estudiantes de segundo medio que mida de forma progresiva la comprensión lectora. La investigación es descriptiva, utilizando para la recogida de datos la ejecución de un pilotaje. Por su parte, el análisis de la información corresponde a dos etapas: en primer lugar, la determinación del coeficiente Alfa de Cronbach para la fiabilidad y consistencia interna del instrumento; en segundo lugar, la aplicación del Análisis Factorial Exploratorio (AFE) para la validez del constructo, utilizando el Método de Componente Principales (MCP). Los resultados, de la primera etapa, indican que el instrumento inicial evidencia una consistencia y fiabilidad por debajo de lo establecido: un coeficiente inaceptable de .471. La segunda etapa, mediante el AFE, agrupa las 22 preguntas en 9 factores, los que explican el 59% de la varianza, sin embargo, la Matriz de Componentes Rotados permite extraer una estructura subyacente compuesta por 5 factores consideradas subescalas o instrumentos, lo que permite lograr el propósito de la validación del instrumento.
Palabras clave: Comprensión lectora, evaluación, instrumento, validación.
Abstract: The information provided by standardized assessments favors the implementation of measures to improve reading comprehension. In light of that, the following study consists of the design, elaboration, validation, and application of an assessment instrument for second-year high school students that measures their reading comprehension progressively. The research is descriptive, using the execution of a pilot test for data collection. For its part, the analysis of the information corresponds to two stages: first, the determination of the Cronbach's alpha coefficient for the reliability and internal consistency of the instrument. Second, the Exploratory Factor Analysis (EFA) was used to validate the construct using the Principal Component Method (MCP). The initial instrument's consistency and reliability are below the established level, according to the first-stage results: an unacceptable coefficient of .471. The second stage, through the EFA, groups the 22 questions into nine factors, which explain 59% of the variance; however, the Rotated Component Matrix allows the extraction of an underlying structure composed of five factors considered subscales or instruments, which allows achieving the purpose of validating the instrument.
Keywords: Reading comprehension, evaluation, instrument, validation.
1. Introducción
El sistema educativo chileno durante el período 2019-2020 ha visualizado nuevas propuestas de evaluaciones estandarizadas, principalmente en el ámbito de admisión para la universidad. Este enfoque estima que la competencia lectora ha alcanzado relevancia dentro de los procesos de aprendizaje, considerándose una competencia transversal que permite un desarrollo y participación activa en la sociedad. El Ministerio de Educación de Chile (MINEDUC, 2012) plantea que la competencia es uno de los pilares fundamentales que sustenta el desarrollo educativo del estudiantado “la Comprensión Lectora se sitúa en la base del sistema escolar, porque a partir de ella se desarrollan y se construyen todos los aprendizajes disciplinarios y, desde esta perspectiva, se transforma en una Competencia Básica Transversal” (p. 9). Según García (2015), la evaluación estandarizada del Programa para la Evaluación Internacional de Alumnos (PISA) dimensiona la lectura como un proceso: “entiende la competencia lectora como la capacidad para comprender, analizar y utilizar textos escritos con el fin de alcanzar los objetivos del lector, desarrollar sus conocimientos y posibilidades de participación en la sociedad” (p. 44).
En el ámbito de la evaluación a nivel nacional e internacional, el Sistema de Medición de la Calidad de la Educación (SIMCE) y PISA respectivamente, arrojan en sus resultados dificultades de desarrollo en los niveles superiores de comprensión lectora del estudiantado (Agencia de Calidad de la Educación de Chile, 2019). La Organización para la Cooperación y el Desarrollo Económicos (OCDE), en 2016 plantea la inquietud que, cerca del 20% de los estudiantes de enseñanza media de los países de la OCDE, aún no han desarrollado las competencias básicas de comprensión lectora. Por otro lado, a nivel nacional, la evaluación SIMCE, durante el periodo 2015 y 2016, presenta una baja considerable en los resultados de la evaluación de comprensión lectora en segundo medio. Desde esta perspectiva, los resultados de las evaluaciones estandarizadas dejan de manifiesto que una de las debilidades de los jóvenes chilenos se centra en el desarrollo efectivo de la comprensión lectora (Centro de Estudios Primera Infancia, 2018).
Sin embargo, la relevancia que adquiere el proceso lector no solo está enfocada en los estudiantes, sino también se relaciona de forma directa con la labor docente. ¿Cómo evalúa el profesorado el proceso lector? ¿Cómo están leyendo los estudiantes? García (2015), indica que “aunque los docentes tengan conciencia de la necesidad de estimular y desarrollar competencias (capacidades, habilidades, destrezas, y estrategias) necesarias en los alumnos, se sienten limitados para resolver el problema de comprensión de lo leído” (p. 46), debido a que no han considerado aspectos relevantes que intervienen en el proceso de orientación, enseñanza y desarrollo de la comprensión lectora como: aspectos pedagógicos, modelos de comprensión, el enfoque de competencia y los procesos cognitivos.
Tanto García (2015) como Neira (2012) señalan que este problema aumenta en magnitud cuando los docentes solo se concentran en evaluar a los estudiantes desde un nivel literal bajo un paradigma positivista, centrándose en la retención de información y contenido, es decir, en el desarrollo de habilidades básicas y literales, entendiendo la lectura como un proceso mecánico que se enfoca en decodificar y oralizar la escritura (Cassany, 2006). Desde este enfoque evaluativo de la comprensión, elaborar instrumentos que permitan diagnosticar o conocer el nivel de comprensión lectora en el que se encuentra el estudiante facilita la elaboración de planes de trabajo, de mejoramiento, de seguimiento y de planificación del docente, optimizando su labor y trabajo en aula (Silva, 2021).
Neira (2012) menciona que, si bien la comprensión lectora no se puede enseñar, sí se puede entrenar. Desde esta perspectiva, mediante evaluaciones formativas que favorecen el proceso de aprendizaje y disminuyen las brechas se contribuye a la motivación y compromiso del estudiantado (Propuestas Educación Mesa Social Covid-19, 2021); y además, aplicando estrategias de comprensión lectora, se puede lograr optimizar y favorecer el proceso lector.
Los antecedentes en cuanto a la evaluación en comprensión lectora y a la investigación en esta área son escasos. Una de las evaluaciones destacadas e implementadas por las instituciones educativas responde a la Prueba de Comprensión Lectora (PCL). Este instrumento diseñado por Felipe Alliende, Mabel Condemarín y Neva Milicic, ha sido utilizado como un diagnóstico por más de dos décadas para evaluar el nivel logrado por el lector (Condemarín, 1981). Por otro lado, respecto a las investigaciones en evaluación de la Comprensión Lectora (CL), Neira y Castro (2013) aplican un instrumento que analiza los niveles de 4º y 8º básico para determinar las habilidades lectoras que evalúa la prueba, cuyos resultados dejan entrever que mide, principalmente, niveles inferiores de comprensión: textual y proposicional, sin profundizar en dimensiones críticas y pragmáticas. En esta misma línea, Herrera et al. (2015) aplican un instrumento evaluativo elaborado por el MINEDUC a 327 estudiantes de primero medio de seis colegios particulares subvencionados de Talca para determinar el nivel de comprensión lectora. Los resultados arrojaron que, si bien existe extracción de información, tanto implícita como explícita, se evidencia una carencia significativa de construcción de significado, vocabulario y evaluación del texto. Estos referentes justifican la necesidad de actualización de los instrumentos para medir la comprensión de forma integral en el estudiantado.
El proceso de la lectura ha sido abordado desde distintos paradigmas y teorías a partir de principios del siglo XX. Según Pearson y Stephens (1994), existen tres paradigmas que se involucran en el proceso de dominio lector: Conductista, Cognitivo y Socio-comunicativo, los que se desglosan en cuatro teorías sobre la comprensión de textos: teoría lineal; teoría cognitiva, teoría interactiva y teoría transaccional. El primer paradigma es el conductista, que desde la Teoría Lineal de la Comprensión permite entender el proceso de lectura como una decodificación de las palabras para su comprensión. Desde esta perspectiva, la lectura se observa como un proceso perceptual, que implica el desarrollo de la traducción basada en un código lingüístico (Makuc, 2008).
La reconceptualización de la lectura implicó un cambio de paradigma en función de la comprensión textual desde el funcionamiento interno de la mente. Lo anterior, da origen a un segundo paradigma, el Cognitivo, que implica el modelo generativista y un modelo interactivo: El primero, entiende la lectura como un proceso complejo donde el lector construye significados a través de la conexión entre la comprensión y los procesos que este realiza. El segundo modelo, comprende la lectura como la interacción entre los conocimientos previos de quien lee y el significado del texto. Este paradigma se basa en la psicolingüística y la psicología, la que es abordada por Chomsky (1978) a través de los supuestos generativos del lenguaje, que se centran en la comprensión y adquisición del lenguaje. Asimismo, el concepto de “comprensión” se analiza desde las investigaciones de Rumelhart (1997), la teoría de los esquemas, la psicolingüística y la psicología cognitiva. Entre las propuestas que permiten abordar la comprensión desde la concepción interactiva destacan las de: Van Dijk y Kintsch (1983); Graesser et al. (1994) y Kintsch (1998).
Finalmente, se encuentra el paradigma Socio-Comunicativo con el Modelo Transaccional. Este modelo, de Rosenblat (1996), se caracteriza por la integración de ramas como Historia, Literatura, Semiología, Filosofía, Sociología y Antropología e incluye un factor fundamental en el proceso lector: el contexto. Por otro lado, cabe señalar que existe además la teoría interaccionista que opera de acuerdo a criterios cognitivos, centrándose en los procesos inferenciales. Sus máximos representantes son Vygotsky (1962) y Bruner (1975), quienes basan sus hipótesis en la interrelación entre el aprendizaje individual y los factores sociales orientados al desarrollo de los procesos mentales.
Sin embargo, la lectura no solamente se aborda desde las teorías y los paradigmas, sino también desde la visión de la Didáctica de la Lengua y la Literatura (DLL). Este campo de conocimiento permitió consolidar los procesos de enseñanza y aprendizaje respecto de la CL. El proceso lector, desde los ochenta, fue foco de preocupación de la DLL, abordándola en sus inicios desde un modelo historicista, el que tuvo una fuerte crítica por centrarse solamente en la transmisión de lo patrimonial y lo cultural. Posterior a ello, surge el modelo estructuralista enfocado en una lectura que enfatizaba en los conocimientos, análisis y lectura crítica del texto; tanto el modelo historicista como estructuralista compartían la premisa de centrarse en el texto y no en el lector. Esta necesidad de otorgarle un rol activo al lector, fomentó la inserción del modelo comunicativo centrado en textos funcionales que estuvieran al servicio de las necesidades de la sociedad. Si bien este modelo responde a formar lectores competentes, carece del ámbito del deleite de la literatura para el estudiantado (Munita, 2017). Posterior a este modelo, el foco se concentra en el placer lector y se desescolariza[sic] la lectura, enfatizando en procesos lúdicos, libres y autónomos para el lector donde la figura del docente pasa a segundo plano (Bombini, 2001). No obstante, la propuesta anterior carece de complejidad cognitiva en el proceso de aprendizaje lector, por lo que un nuevo modelo surge para responder a una Educación Literaria que aborde textos clásicos para favorecer el desarrollo de la habilidad interpretativa con una complejidad progresiva en la lectura y no limitarse a un corpus de textos fáciles (Munita, 2017).
Los planteamientos anteriores permiten aterrizar y acercar el proceso lector al aula. Para ello, se considera la premisa de Cassany (2006) respecto a que la lectura es base para el desarrollo social del sujeto, además es una herramienta fundamental para disminuir la brecha en los aprendizajes (Ministerio de Educación de Chile y División de Educación General, 2021), por lo que cada elemento dentro de este proceso es completamente relevante para lograr una globalidad que responda a los requerimientos sociales y culturales. Asimismo, Condemarín (1981) aborda la lectura desde el punto de vista de Brooks et al. (1970), considerándola un proceso activo de reconstrucción del significado. Desde esta perspectiva, señala que: “el problema de la evaluación de la comprensión lectora debe plantearse como función del nivel de habilidad lectora del sujeto y su relación con el grado de complejidad del material impreso” (Condemarín, 1981, p. 1).
La visión de los autores mencionados, respecto de la evaluación y al nivel de comprensión lectora, se ajusta a la taxonomía de Barret (1968) citado en Condemarín (1981). Esta taxonomía cumple con presentar una progresión en la complejidad del nivel lector, incluyendo, además, dimensiones cognitivas y afectivas (Condemarín, 1981), dando respuesta a la realidad educativa. El primer nivel que se expone se denomina “Comprensión Literal”, el que implica la extracción de información explícita del texto, apelando al reconocimiento de detalles, ideas principales, secuencias, relaciones de causa y efecto y rasgos de personajes; además de considerar el recuerdo de detalles y de secuencias. Un segundo nivel, es el de “Reconstrucción” o “Reorganización”, que se refiere al orden y secuencia lógica, en términos de coherencia y cohesión del texto, apelando al análisis, síntesis, organización y clasificación de información explícita. El tercer nivel, corresponde a la “Comprensión Inferencial”, que involucra una lectura connotativa a través del uso de la información explícita, la intuición y la experiencia personal del lector, lo que implica un nivel mayor de complejidad cognitiva. El cuarto nivel, corresponde a una lectura de extrapolación que conlleva a un juicio valórico por parte del lector en cuanto a la apreciación del impacto que ha causado el texto en él.
La propuesta anterior responde a la complejidad progresiva que implica el proceso lector (División Educación General, 2020). Según el Centro de Perfeccionamiento, Experimentación e Investigaciones Pedagógicas (CPEIP) y el MINEDUC (2015), el aprendizaje sigue un camino que en la medida que se avanza adquiere complejidad, de tal forma, las Trayectorias de Aprendizaje se entienden como “Progresiones de aprendizaje que caracterizan los caminos que los niños parecen seguir a medida que aprenden” (p. 26). Esta complejidad se puede asociar a los niveles de comprensión a los que se deben enfrentar los lectores, debido a que se van configurando a partir de las experiencias de lectura, las representaciones, la práctica de nuevas lecturas que conllevan a interpretaciones y relaciones entre lectores y los textos (Gallego et al., 2019; Ortega, 2006). En esta transformación progresiva de las representaciones se reúnen los conocimientos previos, las inferencias y las vivencias del lector para interpretar la nueva información (Manzanal et al., 2016; Montanero, 2002).
La necesidad de llevar una Evaluación Progresiva al aula se relaciona con las nuevas nociones que ha adoptado el concepto de Evaluación. Esta investigación responde a lo ya planteado por la Agencia de Calidad en términos que un instrumento evaluativo debe considerar niveles de progresión en el aprendizaje (Agencia de Calidad de la Educación de Chile, 2017)
Una de las últimas propuestas en esta área es la Evaluación Progresiva en Comprensión Lectora aplicada a estudiantes de 2º básico desde el año 2016. Esta evaluación promueve la entrega de información oportuna y específica a los establecimientos, en cuanto al desarrollo de los aprendizajes del estudiantado. Este instrumento se aplica en tres momentos del año funcionando como Diagnóstico, Monitoreo y Trayectoria (Agencia de Calidad de la Educación de Chile, 2018).
A continuación, se presentan los pasos dados para el diseño, elaboración y validación de un instrumento que mida la comprensión lectora con un grado de dificultad progresiva para la enseñanza media de la educación chilena.
2. Diseño metodológico
La metodología utilizada corresponde a la cuantitativa, enfocada en la verificación de los resultados. La investigación se enmarca en el paradigma positivista. Según Hueso y Cascant (2012), la metodología cuantitativa “es un conjunto de técnicas que se utiliza para estudiar las variables de interés de una determinada población” (p. 3). Por lo tanto, este estudio responde a la necesidad de contar con un instrumento para la comunidad científica que permita medir la realidad educativa a través de la competencia lectora en función de lo cuantitativo bajo parámetros científicos, estadísticos y analíticos.
La investigación evaluativa ha tenido lugar y se ha concentrado en la metodología cuantitativa (Cook y Reichardt, 1986). Una de las técnicas de recolección de información en este ámbito es la medición, en esta línea, el estudio se enmarca en la validación de un instrumento evaluativo.
El tipo de investigación desarrollada corresponde a una investigación descriptiva que, según Hernández et al. (2014), se caracteriza porque busca “especificar las propiedades, las características y los perfiles de personas, grupos, comunidades, procesos, objetos o cualquier otro fenómeno que se someta a un análisis” (p. 122). En este caso, en el ámbito de la educación, se aborda el “qué es” de un fenómeno cognitivo-lector que busca responder a cuestiones presentes en el área educativa. Para ello, se recogió información sobre la variable dependiente, correspondiente al nivel de comprensión lectora de los estudiantes de segundo medio en un contexto educativo particular subvencionado de característica científico-humanista.
La investigación consistió en el diseño, elaboración y validación de un instrumento de evaluación aplicado a estudiantes de segundo medio, para cuyo caso se construyó un banco de 22 preguntas que integran los niveles de comprensión lectora de la taxonomía de Barret (1968) citado en Condemarín (1981).
En primera instancia, para el diseño y elaboración del instrumento, se seleccionaron los niveles de comprensión lectora asociados a la taxonomía de Barret (1968) citado en Condemarín (1981). Para ello se elaboraron ítems basados en contenidos propios del nivel segundo medio y textos literarios y no literarios sugeridos por los Planes y Programas del Ministerio de Educación de Chile.
La construcción del instrumento se realizó mediante preguntas de alternativas múltiples, permitiendo evaluar una gran cantidad de información en poco tiempo, además de favorecer la variedad de habilidades graduadas por dificultad.
La segunda etapa, se enfocó en la validez del instrumento en función de criterios aplicados a las preguntas que constituyen el banco de ítems. En cuanto a la validez externa del contenido los criterios son: a) nivel de dificultad, b) redacción y c) nivel de adecuación de comprensión.
Para la validez del instrumento se acudió a jueces expertos, con el fin de conocer la probabilidad de error respecto al instrumento (Corral, 2009). Para ello, se les solicitó la colaboración a tres docentes especialistas y destacados en Evaluación, Lenguaje y Comprensión Lectora, pertenecientes a la UCSC y Doctorados en Educación, quienes evaluaron los ítems respecto de la capacidad del instrumento y si estos representaban los criterios de evaluación.
Finalmente, la tercera etapa, abordó la aplicación del instrumento de comprensión lectora para la posterior recogida de datos y análisis de los mismos. Para la implementación se consideró un universo constituido por el estudiantado de segundo medio, y se escogió una muestra representativa para dar curso a la aplicación del pilotaje. La muestra se conformó por 216 estudiantes entre las edades de 14 y 17 años, pertenecientes a dos sedes de un mismo establecimiento Educacional, particular subvencionado de carácter científico-humanista, en el nivel de segundo medio.
Para la integración de la población fue necesario considerar ciertos criterios de inclusión de estudiantes:
- Cursar el nivel de segundo medio.
- Participar regularmente de las clases de Lenguaje y Comunicación.
- Contar con autorización escrita de los padres y/o apoderados para participar en la investigación de manera voluntaria.
El análisis de la investigación se realizó mediante el programa SPSS versión 15. Previo a la integración de la información al software se categorizó y valorizó las alternativas de la evaluación a través del ítem de respuesta graduada. Posterior a ello, el análisis de la información se efectuó a través de dos etapas de aplicación de técnicas para establecer las dimensiones del instrumento y su fiabilidad respecto a la validez del constructo. En primer lugar, se determinó el coeficiente Alfa de Cronbach para la fiabilidad y consistencia interna del instrumento; en segundo lugar, se aplicó el Análisis Factorial Exploratorio (AFE) para la validez del constructo utilizando el método de Componentes principales para la estimación del modelo factorial y como procedimiento de rotación se utilizó Varimax.
La aplicación del AFE permitió determinar el número de factores de acuerdo a cómo tienden a agruparse las 22 variables o ítems.
3. Resultados y hallazgos
En este apartado, se determinó el coeficiente Alfa de Cronbach considerando las respuestas de la totalidad de los indicadores del instrumento. En función de la consistencia interna y fiabilidad, arrojó que se encuentra por debajo de lo aceptable como criterio general en análisis estadístico:
Coeficiente alfa >.9 es excelente; Coeficiente alfa entre .8 y .9 es bueno; Coeficiente alfa entre .7 y .8 es aceptable; Coeficiente alfa entre .6 y .7 es cuestionable; Coeficiente alfa entre .5 y .6 es pobre; Coeficiente alfa <.5 es inaceptable (Gutiérrez, Gil-Madrona, Prieto-Ayuso y Díaz-Suarez, 2017, p. 103).
De esta forma, su aplicación al instrumento se traduce de la siguiente manera:

El coeficiente Alfa de Cronbach es de .471, ubicándose en una posición lejana al ideal que es 1. De esta manera, el obtener un valor de Alfa de Cronbach bajo implica que:
los ítems tienen una estructura multidimensional y es aconsejable realizar un análisis factorial de los ítems para observar cómo se agrupan los ítems en dimensiones latentes diferentes y entonces calcular el valor de alfa de Cronbach para cada dimensión por separado que ha detectado el análisis factorial (Frias-Navarro, 2019, p. 6).
Frente a lo anterior, debido a que su consistencia interna no permite estimar la fiabilidad del instrumento es necesario la aplicación del AFE.
En la tercera etapa se buscó determinar la validez del constructo utilizando esta técnica cuyo objetivo “es determinar un número reducido de factores que puedan representar a las variables originales” (De la Fuente, 2011a, p. 9).
Se procedió a realizar la prueba de esfericidad de Bartlett y la obtención del índice de medida de adecuación muestral de Kaiser-Meyer-Olkin (KMO). El objetivo es contrastar “si las correlaciones parciales entre las variables son suficientemente pequeñas. Permite comparar la magnitud de los coeficientes de correlación observados con la magnitud de los coeficientes de correlación parcial” (De la Fuente, 2011b, p. 11). Para lo anterior, se considera el criterio que los valores menores a .5 no son apropiados para el uso del AFE, por lo que se sugiere, dado el caso, abandonar la técnica. De la Fuente (2011a) señala que KMO superior a .75 se clasifica como Bien; si KMO, superior a .5 es Aceptable; mientras que por debajo de .5 es completamente Inaceptable.
En la Tabla 2 se observa un valor de KMO = .627 por lo que aplica a los datos muestrales del análisis.

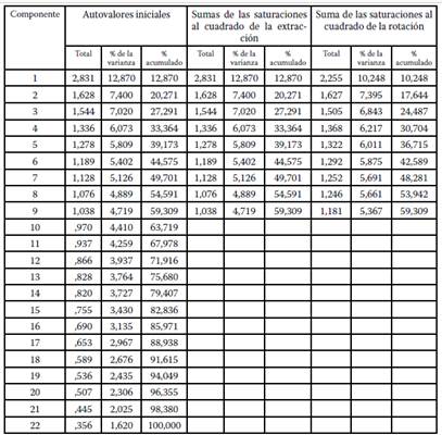
El software SPSS permitió extraer el Gráfico de Sedimentación donde en el eje X se encuentra el número de factores o componentes que coinciden con el número de ítems del instrumento, mientras que en el eje Y están los autovalores o varianza explicada por cada factor.
El número óptimo de factores se establece con el punto de inflexión en el gráfico como criterio general mediante el procedimiento de Gutman-Kaiser. Se establece que los factores o componentes principales son aquellos factores cuyos autovalores son superiores a 1 (De la Fuente, 2011b). En el gráfico, por lo tanto, existen 9 factores con autovalor superior a 1, pero cabe destacar que del factor 2 se desprende una clara inflexión en la línea descendente.

Se utiliza el método de rotación ortogonal Varimax para la rotación de ejes y minimizar el número de variables que tienen altos valores en cada factor. En la Tabla 3 se evidencia que con todos los factores se llega al 100% de la varianza, sin embargo, solo los primeros nueve factores que corresponden a un autovalor superior a 1, son los que se deben retener para el análisis. Una expectativa realista en términos de la varianza explicada por los factores, según Henson y Roberts (2006) citado en Morales (2013), es del 52,03%, otros autores sugieren altas expectativas en torno al 75%. En la Tabla 3 los nueve factores recogen casi el 60% de la varianza total explicada.
El porcentaje explicativo de la varianza total en la rotación Varimax por factor corresponde a: 10,2 %, el primer factor; 7,3%, el segundo; 6,8%, el tercero; 6,2% el cuarto; 6% el quinto; 5,8% el sexto; 5,6% el séptimo y el octavo; y 5,3% el noveno factor.
La rotación permite mejorar la interpretación de los componentes a través del peso de los coeficientes de correlación entre las variables y los factores. De esta forma, se puede identificar cuáles son las variables que están correlacionadas con cada uno de los factores.
El criterio para la interpretación de los datos se basa fundamentalmente en la matriz de elementos rotados. Lo anterior permite identificar una estructura subyacente a las variables que pueda ser interpretada con mayor facilidad.
En la siguiente tabla se evidencian 9 factores, sin embargo, solo serán considerados cinco de acuerdo al peso y al número de ítems por factor.
Los factores se consideran definidos por los ítems que tienen en él los pesos mayores. Para que un ítem se considere que pertenece a un factor, o dicho con más propiedad, que lo define o explica suficientemente, debe tener en él una correlación razonablemente alta (.30 o más) y no tenerlas mayores en otro factor. Un factor debe estar definido al menos por tres ítems para que merezca la pena tenerlo en cuenta (Morales, 2013, p. 6).

Frente a las rotaciones expuestas en la tabla anterior, dados los criterios de selección de los factores, el proceso de análisis conceptual se basa en las siguientes interrogantes: ¿en qué se relacionan los ítems que definen a un factor? ¿Cómo se denominan los factores dada la relación en común entre sus ítems?
De la matriz anterior cabe señalar que la estructura subyacente queda determinada por 5 factores, considerando un mínimo de tres variables por componente y además, los pesos de los coeficientes más altos. Así los factores que no cumplieron con dicho criterio y que se descartan del análisis son los siguientes: Factor 4, 5, 6 y 9.
Seleccionados los factores sujetos a análisis: 1, 2, 3, 7 y 8; se determina, considerando como primera relación, que todos los ítems responden a la categoría de ser estrategias de comprensión lectora. Bajo esta premisa, la reflexión de los factores se da en torno a cinco categorías de estrategias cognitivas más comunes usadas por los lectores, entendiendo que “Las estrategias cognitivas constituyen métodos o procedimientos mentales para adquirir, elaborar, organizar y utilizar información que hacen posible enfrentarse a las exigencias del medio, resolver problemas y tomar decisiones adecuadas” (Elosúa, 1993, p. 4).

La tabla 4 permite el desglose del siguiente análisis centrado en los factores extraídos.
Factor 1: Se encuentra definido por las variables 12, 13 y 11 con sus coeficientes superiores a .7; los ítems tienen en común que apuntan hacia la forma en que está distribuida la información en el texto, por lo tanto, este primer factor se denomina “organización”. El lector tiene la función de darle una secuencia u orden determinando al texto; en este caso, tiene que ver con el tipo de estructura textual, que puede variar y ser diferente, de este modo, las variables responden a la tipología secuencia-causación, ya que en el ítem 12 y 13 la información se organiza a través de la estructura causal, mientras que en el ítem 11, se realiza de forma secuencial-cronológica.
Este factor responde de forma directa tanto al nivel de comprensión como a la dimensión propuesta inicialmente. Las tres variables: 12, 11 y 13 se encuentran en el nivel de Reorganización y en la dimensión Semántica adquiriendo el más alto coeficiente Alfa de Cronbach de .693.
Factor 2: Las variables 3, 10 y 22 determinan el segundo factor; la primera variable tiene un peso superior a .7, y arriba de .5 en las últimas dos. La relación establecida entre los ítems radica en la creación de nuevos elementos en base al contenido del texto, por lo tanto, este factor se denomina “elaboración”. Los ítems de este factor apuntan a reformular la idea principal que se encuentra implícita, interpretar la secuencia de un microcuento, cuya tipología textual es compleja; y finalmente, aplicar los conocimientos previos del lector para identificar el proceso intertextual.
Al establecer una relación entre las variables del factor y el nivel de comprensión lectora de Barret se puede señalar que: este factor responde a tres niveles y dimensiones distintas. La variable 3 corresponde al nivel Literal, dimensión Sintáctica; mientras que el ítem 10 responde al nivel Reorganización, dimensión Semántica; finalmente, la pregunta 22 se encuentra en el nivel Inferencial, dimensión Pragmática. Este factor logra un coeficiente Alfa de Cronbach de .374.
Factor 3: Las variables que mejor definen este factor son: 1, 15 y 14, con pesos negativos en el primer y último ítem. La relación que se establece entre ellos radica en las estrategias de vocabulario contextual, uso de conectores y propósito del autor, ya que ameritan la incorporación de información para la coherencia del texto, por lo que este factor se denomina “integración”. Morles (1986) señala que estas estrategias tienen como propósito la unión de la información contenida en el texto más los conocimientos previos del lector para otorgarle sentido total.
Si se asocia el factor con los niveles y dimensiones de comprensión, resulta que: de las tres variables, solo dos coinciden en nivel y dimensión, los ítems 15 y 14 comparten el nivel Inferencial y la dimensión Léxica, no obstante, la variable 1 tiene el nivel Literal y la dimensión Sintáctica. Este factor adquiere un coeficiente Alfa de Cronbach de -.115.
Factor 4: Este factor se encuentra determinado solo por el ítem 20; si bien tiene un coeficiente con peso alto, superior a .7, no cuenta con tres variables como mínimo para ser significativo. Por lo tanto, este factor queda excluido del análisis.
Factor 5: El factor no puede ser sujeto a análisis, si bien sus coeficientes tienen pesos altos: .779 y .450; no cumple con estar definido con un mínimo de 3 variables, ya que solo se encuentran los ítems 6 y 5.
Factor 6: Este solo está definido por dos variables: 4 y 16. Tal como el factor anterior, tampoco queda sujeto a análisis por la cantidad de ítems que lo determinan (dos), pese a que sus coeficientes tienen un peso superior a .6.
Factor 7: Está determinado por los ítems: 7, 21 y 19, los dos últimos con valores negativos. Las variables se relacionan en términos de la subjetividad que implican las estrategias de interpretar el tipo de texto, puntos de vista para relacionarlos, y distinción entre hechos y opiniones. Lo anterior permite encasillar el factor como “Verificación”; al respecto, Morles (1986) indica que estas estrategias buscan corroborar las interpretaciones considerando la inclusión de la información del texto como base. Por otro lado, en palabras de García (1993), estas estrategias apuntan a comprobar la coherencia y cohesión del texto incluyendo los conocimientos previos del lector.
Al asociar este factor con los niveles y dimensiones de comprensión, se puede señalar que: de las tres variables, solo dos coinciden en nivel y dimensión, los ítems 21 y 19 comparten el nivel Inferencial y la dimensión Pragmática, no obstante, la variable 7 corresponde al nivel Literal y a la dimensión Estructural. Este factor obtiene un coeficiente Alfa de Cronbach de -.115.
Factor 8: Este factor está definido por los ítems 9, 17 y 2. La relación establecida entre las variantes se da a partir de dar solución a una dificultad planteada durante el proceso lector, alterando el sentido total del texto. Las tres variables responden a una dificultad o problema relacionado con la coherencia y cohesión de un texto. En este caso las estrategias responden al uso de conectores y organización causal del texto, respondiendo a la cohesión en cuanto a la relación entre enunciados; mientras que el vocabulario contextual responde a la cohesión del texto.
Al establecer una relación entre las variables del factor y el nivel de comprensión lectora de Barret se puede señalar que: este factor responde a tres niveles y dimensiones distintas. La variable 9, con carga negativa, corresponde al nivel de Reorganización, dimensión Semántica; mientras que el ítem 17 responde al nivel Inferencial, dimensión Léxico; finalmente, la pregunta 2 se encuentra en el nivel Literal, dimensión Sintáctica adquiriendo un coeficiente Alfa de Cronbach de -.024.
Factor 9: Este factor no cumple con los requisitos mínimos para someter a análisis ya que se encuentra definido solo por dos ítems: 8 y 18.
Del análisis anterior, se desprende que las variables 21, 19 y 2 se pueden considerar plurifactoriales, ya que responden con pesos semejantes en varios factores. El ítem 21 responde al factor 1, 4 y 7; el ítem 19 tiene peso semejante en los factores 4 y 7; finalmente el ítem 2 se encuentra en los factores 4, 7 y 8. De esta forma, los tres ítems comparten los factores 4 y 7.
Por otro lado, respecto a los ítems negativos, para todos los factores, cabe señalar que, independiente de que sean positivos o con valores negativos, el peso no varía y permite la correlación y el cumplimiento del criterio para agruparlos, según peso. No obstante, al momento de interpretar estas variables, su condición negativa arroja que miden lo opuesto a lo planteado en los ítems de forma inicial.
Respecto al Alfa extraído de cada factor (ver Tabla 4), excepto el 4 que al definirse por un ítem no queda sujeto a análisis de fiabilidad, solo el factor 1 sobresale con un coeficiente Alfa de Cronbach de .693 categorizándose, según Gutiérrez et al. (2017), como cuestionable. Los factores analizados se consideran subescalas o test pequeños independientes graficados en la siguiente tabla.

La Tabla 5 expone la asociación establecida entre las variables que constituyen cada factor y su relación con el nivel y dimensión de comprensión propuesto inicialmente y el coeficiente Alfa de Cronbach.
4. Discusión
El pilotaje aplicado a la muestra de segundo medio de un colegio particular subvencionado buscó responder al objetivo general de validar un instrumento evaluativo capaz de medir la comprensión lectora de forma progresiva de acuerdo a la taxonomía de Barret.
El instrumento inicial evidenció, posterior a la validación de juicio de experto, que no era fiable tras exhibir un coeficiente Alfa de Cronbach de .471; mientras que el AFE no solo permitió comprobar si el instrumento medía la comprensión lectora, sino también descartar, agrupar y reagrupar los ítems para constituir un instrumento depurado. Si bien se logran establecer hipótesis respecto a las agrupaciones de las variables y los factores que resultaron, midiendo efectivamente la comprensión lectora, cabe señalar que la complejidad progresiva solo logró observarse en un grupo de un total de seis de la muestra.
En la siguiente tabla se evidencia que el 17% de los consultados, correspondiente al grupo 1, respondió a la complejidad progresiva en comprensión lectora.

El Grupo 1 expone el mayor porcentaje de respuestas correctas en el primer nivel “Literal”, disminuyendo progresivamente hacia los otros dos niveles, evidenciando que el más complejo corresponde al nivel “Inferencial”. Sin embargo, los grupos restantes alcanzan un alto porcentaje de respuestas correctas en el segundo nivel de “Reorganización”, seguido del nivel “Literal”. Cabe señalar que los 6 grupos coinciden en determinar que el nivel más complejo corresponde al “Inferencial”, donde se encuentran los porcentajes más bajos de respuestas correctas, evidenciando déficit de logro de acuerdo al planteamiento de Manzanal et al. (2016).
Considerando lo anterior, respecto a la progresión de la comprensión lectora cabe señalar que su grado de importancia radica en el mismo criterio aplicado por la Agencia de Calidad y el Nuevo Sistema Nacional de Evaluación de Aprendizajes respecto a la Evaluación progresiva aplicada en segundo básico. Ambas evaluaciones se centran en la Trayectoria del Aprendizaje del estudiante.
El propósito, tanto del instrumento ministerial como del propuesto, difieren en cuanto a la información recogida. La Agencia de Calidad busca evaluar el progreso de los estudiantes en aprendizajes claves para su desarrollo a lo largo del año; mientras que el diseño de este instrumento busca una progresión cognitiva al momento de la evaluación, no a través del tiempo explícitamente, con el fin de concientizar al estudiante acerca de su proceso cognitivo respondiendo a una metacognición efectiva y oportuna durante la evaluación (Agencia de la Calidad de Educación de Chile, 2018).
Desde esta perspectiva la información recogida de las evaluaciones permite transformarlas en acciones concretas que respondan a toda la comunidad educativa. Pero en particular, debe comenzar con la concientización del estudiante en cuanto a sus propias fortalezas y debilidades potenciando el trabajo de estrategias de comprensión como un trabajo metacognitivo y que responde a la autonomía del estudiante viéndolo como centro de su aprendizaje. Por otro lado, refiriéndose a los parámetros de comprensión que se desprenden del instrumento es necesario indicar que el AFE, en primer lugar, permitió extraer información en cuanto a que los aspectos que subyacen a una serie de variables quedaron determinados en 5 factores. En segundo lugar, permitió definir qué variables o ítems definieron cada factor y cómo estos factores se encontraban relacionados entre sí. De tal forma, el AFE ha clarificado una estructura interna de las variables que favorece la revisión de lo que efectivamente se mide otorgando opciones de mejoras y revisiones al instrumento original o inicial.
En esta misma línea, los 5 factores que arrojó el AFE fueron agrupados de acuerdo con el criterio común de procesamiento de la información dando origen a 5 categorías de estrategias. Lo anterior, arroja indicios del cumplimiento de la validez pertinente del instrumento evaluativo. Considerando en primera instancia que:
La lectura es una actividad “estratégica”. El buen lector pone en juego unos procedimientos o estrategias para obtener un resultado. Tales estrategias o destrezas son susceptibles de ser mejoradas, de convertirse en objeto del proceso de enseñanza-aprendizaje, con el fin de optimizar en los lectores su nivel de comprensión (Elosúa, 1993, p. 13).
Por otro lado, la tipología de texto cobra importancia de acuerdo al procesamiento de la información. Larrea (2004) señala que incide fundamentalmente en la lectura porque está relacionado directamente con los procesos cognitivos que realiza el lector durante el proceso de lectura. Esto se traduce en estrategias que dan cuenta del nivel de comprensión de un lector, por tanto, resulta necesario que para validar las dimensiones teóricas concordantes con los niveles de comprensión propuestos en la elaboración del instrumento evaluativo, es necesario señalar que el análisis AFE permitió detectar que respecto a los tres niveles de comprensión y a las 5 dimensiones propuestas, es posible asociar los factores de acuerdo a la siguiente tabla:

La tabla evidencia que el factor 1 se relaciona de manera directa con el segundo nivel planteado por Barret: Reorganización respondiendo a la dimensión semántica; mientras que los factores 3 y 7 se corresponden parcialmente con el tercer nivel Inferencial, con las dimensiones de Léxico y Pragmática, respectivamente, lo que se condice con lo propuesto por Manzanal et al. (2016). Finalmente, los factores 2 y 8, levemente responden a los tres niveles de comprensión siendo pluridimensionales.
Frente a lo anterior, el pilotaje abordó niveles de mayor complejidad, respondiendo a la progresión cognitiva del texto acompañado de las estrategias de comprensión lectora.
Por otro lado, tanto la consistencia y fiabilidad a través del coeficiente Alfa de Cronbach, como la validez de constructo mediante el AFE, establecen ítems que presentan dificultades y que deben reevaluarse: Entre ellos, el 1, 2, 4, 7, 8, 9, 14, 16, 19 y 21.
Los ítems que se relacionan con los factores seleccionados 3, 7 y 8, con coeficiente Alfa de Cronbach negativo deben ser replanteados y considerados para su eliminación o reformulación.
5. Conclusión
En relación a caracterizar las tipologías textuales y las dimensiones que permiten determinar la comprensión progresiva de acuerdo a la taxonomía de Barret (1968) citado en Condemarín (1981) para el diseño de un instrumento de evaluación, se puede indicar que tanto las tipologías textuales como las dimensiones inciden en el proceso lector. El estudio arroja que la dificultad o complejidad de un texto, debido a sus diversas características: autor, tipología, contexto, función, estructura, léxico, entre otras; permite avalar la selección y mantención de una progresiva complejidad de la comprensión, entendiendo que esta se debe abordar de forma gradual y en profundidad en cuanto a los procesamientos cognitivos del lector: cómo este aborda el texto y cómo se relaciona con él.
En cuanto al diseño de un instrumento evaluativo progresivo basado en la taxonomía de Barret (1968) citado en Condemarín (1981), que mida las habilidades lectoras como evaluación formativa, el instrumento presenta dificultad en la construcción de ítems que responden al primer nivel de Barret: Literal. En este sentido, los estudiantes presentaron mayor complejidad en el nivel uno: Literal, que en el dos: Reorganización. Si bien un grupo, de los seis de la muestra, evidenció una progresión correcta de los niveles propuestos (Literal, Reorganización e Inferencial), es un porcentaje minoritario considerada la muestra total. Cabe señalar al respecto, como información adicional, que este grupo minoritario fue expuesto, previo al pilotaje, a una intervención ajena al proyecto, según el programa del establecimiento, relacionada con la enseñanza de estrategias de comprensión lectora, variable que debe ser declarada, pues incide en los resultados del estudio, siendo confirmado por la segunda etapa de análisis del instrumento: el AFE.
Siguiendo esta línea, este análisis permitió extraer factores que entre sí responden a la categoría del procesamiento de la información del lector: Estrategias, dando paso a una estructura interna del instrumento depurada en función del inicial, que tras someterse a un primer análisis utilizando el coeficiente Alfa de Cronbach, resultó con una consistencia y fiabilidad por debajo de lo establecido como criterio general. No obstante, en la segunda etapa de análisis mediante el AFE, surgen 5 factores considerados subescalas o instrumentos, donde el factor 1 logra un coeficiente Alfa de Cronbach de .693, por lo tanto, el instrumento inicial logra una limpieza que permite depurarlo y pasar, según el coeficiente, de inaceptable a cuestionable.
La evaluación de la comprensión lectora debe considerar la variable de las Estrategias durante el procesamiento de la información, pues intencionan y dirigen los resultados esperados. Tal como se desprende del AFE, el factor que mayor relevancia tiene en el instrumento es la Organización, que apunta a cómo el lector, en primera instancia, procede a darle una lógica al texto para poder comprenderlo en su totalidad.
En cuanto a la tipología textual cumple con la progresión cognitiva en comprensión respondiendo a la siguiente secuencia: narrativo-instructivo; narrativo-epopeya; narrativo-microcuento; narrativo-mitológico; narrativo-cuento; y ensayístico. Si bien predomina la narración, se evidencia variedad en los subgéneros abordados y complejidad respecto a estas mismas subcategorías.
Finalmente, el nivel Literal de comprensión de Barret (1968) citado en Condemarín (1981), según el AFE, no responde a una representación viable de dicho nivel, ya que los factores que son representativos de él, resultan ser inferiores. Por lo que, el planteamiento de las preguntas debe ser reevaluado, ya que altera la progresión en la complejidad lectora. Sin embargo, cumple con medir niveles de complejidad cognitiva mayores al establecido, según la literatura, en la práctica pedagógica docente, es decir, se logra medir niveles de Reorganización e Inferencias.
Si bien, se aplicaron los criterios y protocolos consignados en la literatura para validar un instrumento con las características propuestas, se releva a partir del análisis que este instrumento depurado a través del AFE, aún presenta debilidades en su construcción. Cabe señalar que el instrumento puede ser aplicado, sin embargo, presenta el desafío de un análisis posterior con muestras mayores. En conclusión, el instrumento constituye una primera aproximación para evaluar mediante la taxonomía de Barret la comprensión lectora en el contexto escolar chileno.
Dada la contingencia, de acuerdo con las pruebas estandarizadas que cada vez apuntan de forma explícita al desarrollo de la competencia lectora, resulta relevante continuar estudios e investigaciones en esta área. De esta forma, el instrumento y las subescalas validadas, son un aporte principalmente para el área evaluativa de la comprensión lectora, la que resulta ser de interés para el sistema educativo. En esta misma línea, la implementación de un segundo pilotaje favorecería la difusión de los resultados compartidos con todos los docentes, con el fin de orientar programas de formación continua en evaluación de la comprensión lectora, como una contribución a la práctica pedagógica en el aula. Asimismo, lo anterior tributa directamente al logro de los estándares señalados por la Agenda 2030 en su Objetivo 4 de desarrollo sostenible, permitiendo garantizar una educación inclusiva, equitativa y de calidad promoviendo oportunidades de aprendizaje para todas las personas (CEPAL-UNESCO, 2020). En consecuencia, el instrumento facilita los procesos evaluativos, orientando el ejercicio docente respecto del aprendizaje y de la enseñanza del estudiantado.
Referencias
Agencia de Calidad de la Educación de Chile. (2017). Colegio Irma Salas Silva, Punitaqui: Estrategias de aprendizaje progresivo. En Se puede. Doce prácticas de aula, desarrollo profesional docente y liderazgo pedagógico, (pp. 66-79). http://archivos.agenciaeducacion.cl/SePuede_2_final_.pdf.
Agencia de Calidad de la Educación de Chile. (2018). Evaluación Progresiva. Orientaciones: Textos recomendados para la Comprensión de Lectura. Santiago de Chile. https://www.evaluacionprogresiva.cl/wp-content/uploads/2019/02/Textos-recomendados-Lectura-2B.pdf.
Agencia de Calidad de la Educación de Chile. (2019). Evaluaciones Nacionales e Internacionales de Aprendizaje Período 2004-2018. https://archivos.agenciaeducacion.cl/Panorama_Final.pdf.
Bombini, G. (2001). La literatura en la escuela. In: M. Alvarado (Coord.). Entre líneas: teorías y enfoques en la enseñanza de la escritura, la gramática y la literatura, (pp. 53-74). Buenos Aires: Flacso; Manantial.
Brooks, E., Goodman, S., y Meredith, R. (1970). Language and Thinking in the Elementary School. Holt, Rinehart & Winston Inc., New York.
Bruner, J. (1975). Early social interaction and language adquisition. London: Academic Press.
Cassany, D. (2006). Tras las líneas. Barcelona. Editorial Anagrama.
Centro de Estudios Primera Infancia (2018). Informa Final de Evaluación. Fondo Nacional de Fomento del libro y la lectura del Consejo Nacional de la Cultura y las Artes. https://www. dipres.gob.cl/597/articles-177373_informe_final.pdf.
CEPAL-UNESCO . (2020). Informe COVID-19. La educación en tiempos de pandemia de COVID-19.https://repositorio.cepal.org/bitstream/handle/11362/45904/1/S2000510_es.pdf. Chomsky, N. (1978). Estructuras sintácticas. México D. F.: Siglo XXI.
Condemarín, M. (1981). Evaluación de la comprensión lectora. Revista Lectura y Vida, 2(2). http://www.lecturayvida.fahce.unlp.edu.ar/numeros/a2n2/02_02_Condemarin.pdf.
Cook, T., y Reichardt, C. (1986). Métodos cualitativos y cuantitativos en investigación evaluativa. Métodos Cualitativos y Cuantitativos en Investigación Evaluativa, 25-59.
Corral, Y. (2009). Validez y confiabilidad de los instrumentos de investigación para la recolección de datos. Revista Ciencias de la Educación, 19(33), 228-247. http://servicio.bc.uc. edu.ve/educacion/revista/n33/art12.pdf.
CPEIP, MINEDUC (2015). Trayectorias de Aprendizaje. Ponencia presentada en Segunda Jornada “Educación, Neurociencias y Desarrollo Profesional Docente”.
De la Fuente, S. (2011a). Análisis Factorial. Universidad Autónoma.
De la Fuente, S. (2011b). Análisis Componentes principales. Universidad Autónoma.
División Educación General. (2020). Formando comunidades lectoras. https://media.mineduc.cl/wp-content/uploads/sites/28/2020/12/Formando-Comunidades-Lectoras.pdf.
Elosúa, M. (1993). Estrategias para enseñar y aprender a pensar. Universidad Complutense de Madrid. Ediciones Narcea. http://www.ignaciodarnaude.com/textos_diversos/Aprender%20a%20pensar,M.L.Elosua.PDF.
Frias-Navarro, D. (2019). Apuntes de consistencia interna de las puntuaciones de un instrumento de medida. Universidad de Valencia. España. https://www.uv.es/friasnav/AlfaCronbach.pdf.
Gallegos, J., Figueroa, S., y Rodríguez, A. (2019). La comprensión lectora de escolares de educación básica. Literatura y Lingüística, 40, 187-208. http://dx.doi.org/10.29344/0717621x.40.2066.https://scielo.conicyt.cl/pdf/lyl/n40/0716-5811lyl-40-187.pdf.
García, E. (1993). La comprensión de textos. Modelo de procesamiento y estrategias de mejora. Editorial Complutense. Madrid. Didáctica 5.
García, F. (2015). Comprensión lectora y producción textual. Ediciones de la U. Bogotá, Colombia.
Graesser, A., Singer, M., y Trabasso, T. (1994). Constructing inferences during narrative text comprehension. Pyschological review, 101(3), 371-395. https://doi.org/10.1037/0033-295X.101.3.371.
Gutiérrez, E., Gil-Madrona, P., Prieto-Ayuso, A., y Díaz-Suarez, A. (2017). Conductas apropiadas en Educación Física y el deporte en la escuela y validación de la escala. Cuadernos de Psicología del Deporte, 17(2), 99-110. https://scielo.isciii.es/pdf/cpd/v17n2/psicologia_deporte5.pdf.
Hernández, R., Fernández, C., y Baptista, M. (2014). Metodología de la investigación. México. https://www.uca.ac.cr/wp-content/uploads/2017/10/Investigacion.pdf.
Herrera, L., Hernández, G., Valdés, E., y Valenzuela, N. (2015). Nivel de comprensión lectora de los primeros medios de colegios particulares subvencionados de Talca. Foro Educacional, 25, 125-142. https://doi.org/10.29344/07180772.25.815.
Hueso, A., y Cascant, M. (2012). La investigación cuantitativa. Metodología y Técnicas Cuantitativas de Investigación. Cuadernos docentes en procesos de desarrollo. https://riunet. upv.es/bitstream/handle/10251/17004/Metodolog%C3%ADa%20y%20t%C3%A9cnicas%20cuantitativas%20de%20investigaci%C3%B3n_6060.pdf?sequence=3.
Kintsch, W. (1998). Comprehension: A paradigm for cognition. Cambridge University Press: Cambridge.
Larrea, M. (2004). Estrategias lectoras en el microcuento. Estudios Filológicos, 39, 179-190. http://dx.doi.org/10.4067/S0071-17132004003900011.
Makuc, M. (2008). Teorías implícitas de los profesores acerca de la comprensión de textos. Revista Signos, 41(68), 403-422. http://dx.doi.org/10.4067/S0718-09342008000300003.
Manzanal, A., Jiménez-Taracido, L., y Flores-Vidal, P. (2016). El control de la comprensión lectora de textos científicos: una evaluación en Educación Secundaria. Revista Electrónica de Enseñanza de las Ciencias, 15(2), 192-214. http://dx.doi.org/10.13140/RG.2.1.4148.4402.
Ministerio de Educación de Chile. (2012). Orientaciones e Instrumentos de Evaluación Diagnóstica, Intermedia y Final en Comprensión Lectora 2° año de Educación Media. Chile.
Ministerio de Educación de Chile y División de Educación General. (2021). La evaluación en la lectura 7º año básico a 4º año medio. https://bibliotecas-cra.cl/sites/default/files/ cra_2018/la-evaluacion-en-la-lectura.pdf.
Montanero, M. (2002) Inferencias profundas en la comprensión del texto expositivo. Revista española de pedagogía, LX(221), 127-146. https://revistadepedagogia.org/wp-content/ uploads/2006/05/Inferencias-_profundas_en_la_comprensi%C3%B3n.pdf.
Morles, A. (1986). Entrenamiento en el uso de estrategias para comprender la lectura. Revista Latinoamericana de lectura. Lectura y Vida,7(2). http://www.lecturayvida.fahce.unlp.edu. ar/numeros/a7n2/07_02_Morles.pdf.
Morales, P. (2013). El análisis factorial en la construcción e interpretación de test, escalas y cuestionarios. Universidad Pontificia Comillas. Madrid. https://3699dea9-7151-4213bf21-9ab04a3c21a6.filesusr.com/ugd/8d49cf_c8d4720f730f456c86fd152a605686b2.pdf.
Munita, F. (2017). La didáctica de la literatura: hacia la consolidación del campo. Revista Educ. Pesqui., 379-392. https://doi.org/10.1590/S1517-9702201612151751.
Neira, A., y Castro, G. (2013). Análisis de un instrumento estandarizado para la evaluación de la comprensión lectora a partir de un modelo psicolingüístico. Estudios Pedagógicos, XXXIX(2), 231-249. http://dx.doi.org/10.4067/S0718-07052013000200015.
Neira, R. (2012). Concepciones y prácticas evaluativas de la comprensión lectora. Extra Muros, 141-154. https://www.umce.cl/joomlatools-files/docman-files/universidad/revistas/ extramuros/2012/extramuros_2012_141-154.pdf.
OCDE. (2016). PISA 2015 Resultados Clave. Creative Commons Attribution-NonCommercial-ShareAlike 3.0 IGO. https://www.oecd.org/pisa/pisa-2015-results-in-focus-ESP.pdf.
Ortega, F. (2006). Comunidades y trayectorias de lectura en la biblioteca pública. Un estudio etnográfico en el municipio de Chalco, Estado de México. Revista Mexicana de Investigación Educativa, 11(28), 293-315. https://www.redalyc.org/pdf/140/14002814.pdf.
Pearson, D., y Stephens, D. (1994). Learning about literacy: A 30-year journey. En H. Singer & B. Rudell (Eds.), Theoretical models and processes of reading, (pp. 22-103). Newark: IRA & Erlbaum.
Propuestas Educación Mesa Social Covid-19 (2021). Recomendación para una evaluación pertinente en tiempos de crisis. Santiago de Chile.
Rosenblatt, L. (1996). La Teoría Transaccional de la Lectura y Escritura. En: L. Flower & J. Hayes (Coords.), Textos en Contextos. Los procesos de lectura y escritura. Buenos Aires: Proyecto Editorial Lectura y Vida. https://lecturayescrituraunrn.files.wordpress.com/2013/08/unidad-1-complementaria-rosemblatt.pdf.
Rumelhart, D. (1997). Hacia una comprensión de la comprensión. En E. Rodríguez & E. Laguer (Comp.) La lectura, (pp. 25-51). Santiago de Cali: Editorial Universidad del Valle.
Silva, S. (2021). La comprensión lectora y los avances en la educación básica regular. Polo del Conocimiento, 6(1), 963-977. https://doi.org/10.23857/pc.v6i1.2193.
Van Dijk, T., y Kintsch, W. (1983). Strategic of discourse comprehension. New York: Academic Press. https://doi.org/10.4236/ojml.2013.32020.
Vygotsky, L. (1962). Thought and Language. Cambrigde: The MLT Press.
Notas de autor
*Correspondencia: Angelina Contreras Bravo. Correo electrónico: acontrerasb@magisteredu.ucsc.cl.