Artículos
Recepción: 04 Abril 2020
Recibido del documento revisado: 13 Septiembre 2020
Aprobación: 31 Enero 2021
DOI: https://doi.org/10.15446/cuad.econ.v41n86.86080
RESUMEN:
Este estudio cuestiona las limitaciones ontológicas, metodológicas y epistemológicas de los paradigmas clásicos, neoclásico y marxista para repensar el problema de la transformación y la formación del valor en el circuito económico. Esta aproximación rescata el postulado filosófico de Arthur (2004), primero, para materializarlo en una ecuación teórica que represente la formación del valor en el intercambio, donde la mercancía se transforma en dinero; segundo, para tipificar las formas de reproducción del capital.
B41, B24, B22, B16.
Palabras clave: Epistemología, dialéctica sistemática, reproducción, valor.
ABSTRACT:
This study challenges the ontological, epistemological, and methodological limitations of classical, neoclassical, and Marxist paradigms to rethink the problem of transformation and formation of value in the economic circuit. This approach rescues the philosophical postulate of Arthur (2004) firstly, to materialise it, in a theoretical equation that represents the formation of value during the exchange process, where merchandise is transformed into money; secondly, it seeks to typify ways to reproduce capital.
B41, B24, B22, B16.
Keywords: Epistemology, reproduction, systematic dialectic, value.
INTRODUCCIÓN
La discusión sobre el valor y el progreso de las naciones ha sido objeto de estudio desde hace varios siglos. La teoría económica ha investigado las categorías de las distintas escuelas de pensamiento, para entender el mundo moderno desde la interpretación de la naturaleza del crecimiento y del desarrollo económico de los países.
Estas discusiones formaron los primeros indicios epistemológicos desde la filosofía moral e idealista, que representaron tanto a la escuela fisiócrata (David Hume) como a la clásica (Adam Smith). Sin embargo, desde la década de 1890, se la teoría económica ha manejado con practicidad, lo que ha inducido a los investigadores a pasar por alto el cuestionamiento fundamental de la economía: el valor. Desde esta perspectiva, se desarrollan modelos basados en una teoría cuya su definición parte de la utilidad marginal. Así pues, urge repensar las categorías fundadoras a través de una metodología que permita entender al valor desde la dinámica de las relaciones sociales de producción en su totalidad.
Esta aproximación inicial intenta identificar las limitaciones ontológicas, metodológicas y epistemológicas de las principales corrientes de pensamiento teórico que abordan la problemática mercancía-valor-factores de producción-dinero. Para esta lectura crítica, se utilizó como base metodológica la división de las escuelas de pensamiento económico desarrollada por Lavoie (2014). Bajo este esquema, se analizaron las restricciones conceptuales de las escuelas clásica, neoclásica y marxista. Con el análisis, se evidenció que la estructura y el desarrollo de la economía capitalista se encuentran justo al principio, en la propia lógica y funcionamiento del intercambio.
Por otra parte, se postula una ecuación teórica que representa la formación del valor en la etapa de circulación e intercambio. Como herramienta de análisis, se consideró el esquema de discusión plural (Dutt, 2014) y se encontró en la metodología filosófica de Arthur (2004) una forma de estudiar al valor desde la totalidad. Adicionalmente, se rescató el planteamiento de la dialéctica sistemática de Rosdolski (1968/1978), Zumano (2006) y Martínez (2018), quienes analizan al valor desde el consumo, el intercambio y la producción. Con esta base teórica, se conceptualizó un cálculo del valor de corte heterodoxo.
Finalmente, a partir de la ecuación del valor, se recurre nuevamente a Uchida (1988), Althuser (2003) y Arthur (2004) para asimilar cómo las formas de autovalorización del capital-mercancía, capital productivo y capital monetario definen la acumulación, al tiempo que posibilitan que el capital cumpla con su función social de reproducción al transformase, mas no destruirse.
ALCANCES METODOLÓGICOS DE LA TEORÍA DEL VALOR
El abordaje metodológico de esta propuesta se delimita en tres fases: filosófica, analítica e instrumental.
Alcance filosófico. Se desarrollan los preceptos epistemológicos y ontológicos desde la dialéctica sistemática de Rosdolski (1968/1978), Arthur (2004), Zumano (2006) y Martínez (2018). Este método expone al capital como una totalidad. Las categorías económicas adquieren un mayor grado de concreción y complejidad. Esta metodología autodefine los conceptos a través de la afirmación-negación-negación de la negación. Bajo esta lógica de análisis, se promueve una especie de "ley de conservación del valor", donde el valor abstracto se origina en la producción. Sin embargo, para su materialización y existencia, se requiere de la mercancía: dinero.
Alcance analítico. Se explica la distinción de la teoría heterodoxa y ortodoxa desde las postulaciones de Dutt (2014) y Lavoie (2014), en las cuales el enfoque heterodoxo realiza una crítica sucesiva a la perspectiva real y proliberal, que se impone en la estructura de pensamiento "moderno". Dichas diferencias marcan la dimensión de cada línea de pensamiento. A continuación, se describen los criterios señalados por Lavoie (2014), y se resaltan las preguntas que caracterizan a la teoría del valor, desarrolladas por los principales pensadores económicos:
Ontología (supuestos): son las principales características que se abstraen del mundo real. ¿Qué es el valor?
Ontología (conclusiones): son los resultados fundamentales de la manera en que se ve el mundo. ¿Qué respuesta da el valor a la problemática del crecimiento y de la distribución?
Epistemología: es la organización del pensamiento que difiere de la visión del mundo real y se establece como principio que aborda cualquier aspecto y se acomoda a cualquier visión del mundo real. ¿La teoría del valor conlleva los principios del materialismo dialéctico, de las clases sociales, de la demanda efectiva o de la incertidumbre?
Metodología: es la reconstrucción que se presenta del análisis concreto. Se estudia el método por el cual el análisis se relaciona con el mundo empírico para examinar su idoneidad o comprender situaciones específicas del mundo real. ¿Cómo se representa el valor en el circuito económico?
Normativa: son los puntos de vista que dirigen o se ajustan sobre lo que es "bueno" o lo que es el objetivo deseable. Esto define lo que sucede "allá afuera" y sus posibles mejoras. Desde el punto de vista de la teoría del valor, ¿cuáles son los factores que mejoran las condiciones del crecimiento y del empleo?
Alcance instrumental. Aquí, el propósito y el rol de la ecuación del valor se definen tomando como referencia los trabajos de Mäki, principalmente, los de los años 2011, 2013 y 2017, ya que se rechaza la idea sustantivista de la economía. En ese sentido, el presente estudio no explica el valor desde un modelo teórico que pretende representar "mini-mundos simples imaginados que están destinados a representar alguna parte o aspecto del complejo maxi-mundo en la sociedad" (Mäki, 2018, p. 92). Por el contrario, busca disrumpir en las estructuras causales que gobiernan el constructo filosófico de la economía heterodoxa, mediante la representación del valor en el intercambio. En este contexto, esto implica redefinir la relación del valor con los fundamentales, más que ampliar la cantidad de modelos de la teoría del valor.
Por tanto, para encontrar la relación del valor con los fundamentales de la economía, se trabaja con los supuestos metodológicos de Lorente y Sanchez Bravo (1983), quien propone que la definición del valor dentro de la heterodoxia debe considerar las siguientes relaciones:
La existencia de una redefinición del concepto de capital constante, capital variable y plusvalía, aunque se lo represente en diferentes formas de producción.
La ganancia total es igual que la plusvalía total.
El sistema de ecuaciones asigna valor a los bienes producidos, pero no a los usados para la producción.
Cada mercancía tiene un único proceso de producción y, por tanto, una tecnología para producirla. No existen productos sin terminar ni tampoco procesos cuyo resultado sean dos o más productos simultáneamente.
La selección de una actividad productiva que genere ganancia para componer la plusvalía de la economía capitalista, en la cual el trabajo aporte a la acumulación del capital.
Limitaciones teóricas del valor
Los axiomas de la economía parten de constructos formulados desde la filosofía (Bunge, 1980). Por esta razón, se identificaron las limitaciones de las teorías del valor construidas por los economistas más influyentes de la historia del pensamiento económico, a partir del análisis categórico realizado por Dutt en 1994. Estas prácticas discursivas concluyen en tres modos de concebir la teoría del valor:
Lo que resulta evidente en este bosquejo -simplificado-, son las limitaciones de cada concepción de la teoría del valor. Desde la línea de pensamiento de la escuela clásica que agrupa a Adam Smith y David Ricardo, según el trabajo referencial de Antonio y Manganelli (2010) y Lavoie (2014), se concluye que las teorías del valor se fundamentan en la línea epistemológica sobre la naturaleza racional del ser humano, que emplea el método a posteriori, donde el nivel de organización del pensamiento suele ser más positivo.
En el esquema planteado por A. Smith, se identifica la separación sujeto-objeto, dado que "el ser humano es objeto pasivo de observación, lo que hace que los hechos económicos tengan un carácter fenomenológico y cualquier elemento que sea filtrado será considerado como exógeno" (Abreu, 2014, p. 15). Por tanto, las limitaciones en esta escuela se presentan en los siguientes aspectos:
Ambigüedad en las categorías con respecto a la adquisición del trabajo ajeno, sea por el cambio del tiempo de trabajo, o bien a través del intercambio con otra mercancía con la respectiva equivalencia en horas de trabajo1 (Kicillof, 2010).
Ausencia de un contexto histórico2, pues se da por sentado que este proceso ha estado presente naturalmente en el ser humano (Dobb, 1973).
Derivación en una teoría de costos de producción, donde el valor depende principalmente de la razón salarios/beneficios3. No se encuentra la conexión entre la formación de precios justos con la estimación del valor-trabajo en el proceso de intercambio (Duboeuf, 2001, citado en Hurtado-Prieto, 2003).
Desde el punto de vista ricardiano, se postula una teoría del valor desde la ganancia, salarios y renta (Kicillof, 2010), debido a que se considera que la riqueza de las naciones depende de las formas de distribución de la sociedad moderna. En este sentido, abarca algunas limitaciones:
Ausencia de concordancia entre la teoría del valor y los precios del mercado (Escartín-González, 2004). Su error fue proponer dicha teoría del valor en función del tiempo de trabajo, incorporado en la producción de las mercancías y en la influencia de los factores de producción en los cambios de precio de las mercancías. De esta manera, se transformó en una teoría de redistribución del producto del trabajo4 (Antonelli, 2013).
Como consecuencia se concibe un esquema donde las cantidades y los precios se determinan simultáneamente. Ello crea una interdependencia y una relación no proporcional entre el costo y la cantidad producida.
Inconsistencias en los conceptos del proceso del intercambio, ya que el dinero cumple con el rol de patrón comparativo del trabajo promedio que se requiere para producir una onza de oro.
Por otro lado, en los estudios de la escuela neoclásica, es claro que la utilidad es la fuente de valor de las mercancías, mientras que el precio es un problema del cálculo integral. Por eso, se abandona el supuesto de que la oferta es fija y se analiza la relación entre el costo, la oferta, la utilidad marginal y el precio (Colander y Landreth, 2002). Al analizar la clasificación formal de Dutt, en sus investigaciones New Directions in Analytical Political Economy (1994) y Pathways to Economic Development (2014), se plantean algunas limitaciones para abordar el tema:
Se mantiene una definición tautológica sobre la categoría del valor.
Se parte de nociones subjetivas de las curvas de utilidad, donde el valor se define por sí mismo.
Se equivoca al asumir que "las condiciones de producción existentes y la noción subjetiva de las preferencias determinan el valor de los factores de producción y mercancías" (Crespo y Lazzarini, 2016, p. 69).
Los críticos de la escuela marxista clásica, Foley (1988), Fine y Saad-Filho (2004/2013) y Jaramillo (2011), conceptualizan las limitaciones de la teoría del valor desde el proceso de transformación. En su crítica, identifican la forma ambigua de definir los precios de producción, así como la tasa de ganancia (Mañán, 2012). Desde esta posición, la interpretación de la teoría de Marx presenta algunas limitantes:
Incongruencia entre la tasa de ganancia y valor.
Redundancia, pues bajo este esquema la teoría del valor no sería necesaria para precisar las ganancias, precios, producción física y determinación del nivel de salarios.
Ausencia del análisis de la elección técnica como determinante en la definición de las ganancias.
Por esta razón, resulta interesante que autores como Foley y Jaramillo debatan la teoría del valor abstracto. Por un lado, Foley (1988) argumenta que el valor es una sustancia abstracta, contenida en cantidades de productos definidos. Por ello, el proceso capitalista agrega una cualidad de uso y representa el trabajo socialmente necesario para la producción de un bien. Para este autor, tales variaciones hacen posible la reproducción del ciclo económico.
En contraste, Jaramillo (2011) plantea que el valor es una cualidad de las formas de intercambio y, por ello, depende del trabajo socialmente necesario para intercambiar el capital de trabajo o inputs imprescindibles para elaborar las mercancías. Dado que hay valores que no dependen directamente del trabajo socialmente necesario para la reproducción del bien, las deducciones de la plusvalía deben interpretarse. El trabajo social se transforma en valor en el momento en que el dinero se relaciona con la mercancía en su totalidad.
El acercamiento a los postulados anteriores remarca algunas debilidades al integrar al valor en el proceso de transformación de la mercancía. Por ejemplo, en el trabajo de Jaramillo (2011), el análisis del valor del trabajo abstracto de las sociedades mercantiles simples llega a ser una contradicción, ya que es planteado desde una redistribución permanente del trabajo incorporado.
En el caso de Foley (1988), se presenta una discordancia porque el valor termina como una categoría del precio natural, donde la cantidad de trabajo explica la gravitación de los precios. Adicionalmente, el dinero queda descontextualizado y no existe claridad sobre el funcionamiento del sistema de valores en el proceso de producción e intercambio, porque se obtiene el cálculo desde magnitudes reales. Entonces, las conclusiones sobre el trabajo incorporado y el sistema de precios "lleva a eliminar la distinción entre capital variable como capital y al salario en las manos del trabajador como una suma de ingresos" (Mañán, 2012, p. 37).
Elección epistemológica de la teoría del valor
De las limitaciones presentadas en cada línea de pensamiento, se concluye que persiste una inadecuada interpretación del proceso de transición de las mercancías entre los inputs y la generación de valor, a través del circuito económico por parte de las teorías clásica, neoclásica y marxista clásica.
Esta investigación descarta la perspectiva de la valoración de los bienes sobre la base de la escasez de los medios de producción: la apropiación diferencial por las distintas clases sociales y la definición del valor por su cualidad de uso, ya que estos conceptos se relacionan de manera tautológica5 (Bourdieu, 1977). En definitiva, se requiere un análisis del valor, no como el centro de la acumulación originaria, sino como el resultado de la materialización del valor en la mercancía (siguiendo la lógica sistemática). Así, resulta importante superar la propuesta de Foley (1988)6 con la sincronización de las relaciones capitalistas entorno a la consumación del valor en el dinero como representante directo del valor abstracto.
HACIA UNA TEORÍA DEL VALOR HETERODOXA
El problema actual de la teoría del valor marxista radica en la lógica lineal con la que se analiza (Arthur, 2004). Según Cataño (2009), concebirla desde la economía real implica entenderla desde la producción de las mercancías simples y como un proceso de agregación, donde el valor se mueve de acuerdo con las complicaciones inducidas por los precios que intentan igualarse al valor. Además, se encuentra una concepción de la teoría del valor que dista de los fundamentales del Grundrisse y que, únicamente, resalta las propuestas ricardianas de la economía no monetaria (Martínez, 2018). De esta manera, no se logra representar un proceso de transformación, pues para la transición del capital únicamente es necesario pasar de la reproducción simple de las mercancías a la producción en una forma capitalista.
Dentro de este contexto, un primer paso con miras a reconceptualizar al valor desde un enfoque heterodoxo es la aceptación de una línea de pensamiento alternativa a los planteamientos tradicionales de la economía, sobre todo, para explicar, desde la teoría del valor, los procesos de desempleo, acumulación y crisis (Lavoie, 2014). Con esta perspectiva, se emplea una propuesta de estudio7 innovadora (Lavoie, 2014), donde:
Se promueve la discusión realista y se prioriza el examen de la naturaleza y la existencia de los fenómenos considerados. Esto permite trabajar en una propia ontología y epistemología de la teoría del valor.
Se cuestiona la existencia de una única teoría aceptado en la economía. De esta manera, el valor es el resultado y el principio de todo.
Se adopta un enfoque holístico que incorpora en el análisis la relación entre las clases sociales. En el caso de la teoría del valor, se analiza el fetichismo de estos grupos sociales con la producción del valor abstracto en las mercancías.
La literatura sobre el tema tratado presenta varias implicaciones. Sin embargo, en este estudio, se optó por la dialéctica sistemática como metodología, porque genera una discusión realista de las categorías de la teoría del valor. Por un lado, el valor constituye la totalidad que se reproduce a sí mismo, desde las relaciones concretas entre otras categorías que dan origen a un sistema en el cual se autorreproducen (Arthur, 2004). Por otra parte, pone en tela de juicio la existencia de la linealidad, ya que el valor se construye desde la identificación de los procesos de transición de una categoría a otra (Martínez, 2018).
La apropiación de esta metodología holística sustenta la reconstrucción categórica con la totalidad. Esto significa que el método dialéctico permite que una categoría final llegue a la completitud, donde la negación de la negación determina lo ausente, y sus procesos la dejan en una nada determinada para encontrar el fenómeno específico que lo provocó.
Este fundamento se esclarece en el análisis que Arthur (2004) llevó a cabo para lograr la concreción del valor que reconoce la transición capitalista hacia la acumulación del capital. Es necesario definir dos puntos claves: (1) la esfera de la simple circulación o el intercambio de mercancías y (2) la residencia oculta de la producción (Tabla 1).
En el ítem A, se presenta una situación donde el valor de uso se encuentra suspendido en el intercambio. Se asume que, en ausencia del valor de uso y cambio, lo restante es nada. Por tanto, el valor se muestra en ausencia del valor de uso y cambio (Arthur, 2004). Por su parte, en el ítem B, el valor se hace presente mediante el desplazamiento de las mercancías, donde el valor no se encuentra en la producción ni en el consumo. En ambos casos, la mercancía tiende a desvalorizarse.
De esta manera, el valor se transforma del valor de uso (no ser), para convertirse en ser (valor abstracto) y, luego, pasa al ser real (valor de uso para el consumidor y el productor), esto es, al no ser del valor abstracto. De este modo, la línea B se caracteriza por la posición del valor como presencia del valor de uso (Arthur, 2004). En esta línea, Arthur (2004) plantea que la lógica dialéctica se produce en los momentos de la "negación de la negación", donde la primera negación se realiza en la producción y la segunda negación se efectúa en el espacio del intercambio.
A partir de esta lectura, surgen dos implicaciones. La primera constituye el valor como "nada", pues se encuentra en el centro de la dialéctica. Aquí, el vacío se valora como presencia oculta. Y la segunda es una en la que el valor como "valor de uso" puede considerarse una forma extraña de referirse a la realidad visible, aunque no hay nada de valor en la mercancía.
Estas conjeturas originan la inversión ontológica, donde el cambio de perspectiva de A a B es intencional. Proyecta la sombra del valor, desnaturalizada en el intercambio, y desarrolla nuevas categorías, más concretas. En este sentido, se trabaja con la proposición8 que afirma que "la producción es la única fuente de almacenamiento original del valor" (Arthur, 2004, p. 120). Esta requiere del capital para autorreproducirse continuamente.
Propuesta de las características del valor
Al emplear la metodología de la lógica hegeliana, se concluye que la mercancía guarda dos aspectos esenciales en la determinación del valor. Por un lado, su aspecto cualitativo se puntualiza por la satisfacción de las necesidades humanas, lo que lo deja fuera de la economía política (Cataño, 2009). Por otro, está la substancia de valor, cuya forma homogénea hace posible su relación con otros objetos, para que sean comparables con el dinero (Arthur, 2004).
El valor genera un proceso de asociación, en la medida en que se acepta que los objetos útiles y que forman parte de la propiedad privada de las personas estén disponibles para satisfacer las necesidades de los demás (Arthur, 2004). Por esta razón, el valor constituye el proceso de intercambio, donde persiste la negación del valor de uso. Dicho de otro modo, el valor es real solamente bajo la forma de dinero (Marx, 1957). En consecuencia, el rol del valor en el intercambio se constituye al momento de mediar entre los objetivos materiales del capitalista y de la satisfacción de las necesidades de los consumidores (Martínez, 2018).
Con el fin de hacer posible la adaptación de la metodología mencionada y provocar que el capital convierta al valor en su propio fin, la información que sigue se centra en la caracterización del valor sustentada por Arthur (2004), en The New Dialectic and Marx's Capital;Marx (1858/1957), en Elementos fundamentales para la crítica de la Economía Política (Grundrisse) y Cataño (2009), en La historia de la teoría económica desde la heterodoxia.
En virtud de ello, se llega a una de las implicaciones más importantes: la forma de valor. Esta se define a partir de estas características:
Todo objeto puede convertirse en portador de valor, pero no todo valor es real, porque el valor únicamente se materializa cuando sirve al capital (Arthur, 2004).
El valor es externo a las características del producto. Esto es, no existe algo como el "valor intrínseco", solamente correlaciones coyunturales de diferentes cantidades de valores de uso9.
La forma del valor debe estar constituida en la relación de intercambio, ya que llega a materializarse cuando el valor de uso está suspendido en este proceso10.
El valor permite relacionar, en el intercambio, los valores de uso particulares, dado que es un componente esencial en la dialéctica sistemática, donde se cohesionan los procesos de producción, intercambio y consumo11.
El valor necesita del dinero12, para la actualización de sí mismo, debido a que sirve como la unidad de medida estándar que identifica la relación entre el valor y el dinero. Con la adopción de esta figura, se garantiza que el valor de la mercancía no desaparezca13.
La producción es la única fuente de almacenamiento del valor14.
En virtud de lo expuesto, se induce que el valor de las mercancías es un concepto dual, que nace en el proceso de producción, y se realiza en la esfera del intercambio, siempre que el resultado de las relaciones sociales de producción retorne a su punto de partida (Arthur, 2004). Por consiguiente, el valor es un concepto que se transforma según el estadio de las relaciones de producción.
En resumen, todo proceso económico inicia con el capital en forma de dinero (que da origen a la mercancía donde se almacenan cualidades físicas y sociales); para transferir luego las características del valor de uso a los consumidores, al tiempo que transfiere la reserva de valor para la renovación de los procesos de producción (Arthur, 2004).
Ecuación del valor y el salto de transformación
Cataño (2009) cita a Dúmenil y Lévy como autores críticos al problema de la transformación. Esto implica entender que la debilidad de la teoría marxista se encuentra en forzar la relación entre el valor y el precio de producción, a partir de la equiparación de las tasas de ganancia. En la misma línea, se argumenta que el marxismo clásico resolvió el problema de la transformación abandonando la teoría del valor-trabajo. Sin embargo, esta investigación rechaza estos dos elementos argumentativos y aplica la dialéctica sistemática para resolver dicho inconveniente. De esta manera, se abre el análisis a partir de las siguientes premisas:
En este contexto, el valor se define como la esencia abstracta de la mercancía, que le permite adquirir características económicas15. Se obtiene como el resultado del proceso económico por el que atraviesa la producción, circulación e intercambio de mercancías, y solamente es valor cuando se materializa en el intercambio, donde requiere de la reinversión en la esfera del proceso productivo para su realización (Arthur, 2004; Moseley y Smith, 2014).
En esta línea, para representar el valor en el circuito económico descrito, se debe partir de la demanda agregada (ecuación 1)16, ya que representa el nivel de realización de las mercancías, a partir de la compra de los siguientes elementos:

Donde:
DA es la demanda agregada (en su abstracción más simple, sin gobierno y en una economía cerrada).
Ct corresponde al consumo privado17, el cual se divide en consumo de los trabajadores en función de su ingreso anterior18 (se asume que los trabajadores gastan todo su ingreso y no ahorran19) y consumo de propietarios de los bienes de producción PSt (Kalecki, 1971).
Dt representa los bienes de capital determinados por el capital constante invertido en el periodo actual.
Esta propuesta conserva la relación monetaria asociada al capital. Por consiguiente, la inversión será igual al capital variable (salarios de trabajadores), sumado al capital constante (masa monetaria que se destinará a la compra de maquinaria e insumos), cuyo valor es corregido por las existencias del periodo anterior. Para determinar la inversión20, se calcula el costo de uso21 (CU,), el cual representa la relación entre la inversión propia en el equipo y las compras realizadas a otros empresarios (ecuación 2).

Donde:
CUt es el costo de uso y se refiere al capital constante en forma de dinero. Por lo tanto, es una constante al tener un valor que se determina por sí mismo.
At son las compras a otros empresarios.
CFt es la inversión realizada en el equipo determinado.
De la ecuación (2), se despliega la necesidad de entender que CFt consiste en la variación de existencias. Esta calcula la inversión en el propio equipo, y está definida por G', que representa el valor de este capital, si no se hubiera comprado, menos el gasto generado para sostenerlo o haberlo usado, como se representa en la ecuación (3).

Donde:
CFt es la inversión en el periodo t, realizada en planta y equipo. G es el valor actual del equipo.
G' es el valor actual del equipo, si no se hubiera utilizado.
B' es el valor de conservar el equipo (gastos de bodega, mantenimiento, etc.).
Con estas definiciones, puede construirse la ecuación de la inversión neta. Así, está compuesta por la inversión que será igual al capital variable (salarios de trabajadores), más el costo de uso (CUt ), a lo que se restan las compras realizadas por los capitalistas en artículos diferentes a los de la inversión (ecuación 4).

Donde:
Dt es la inversión al mantener en esta perspectiva una relación monetaria. Vt-1 corresponde a la nómina de salario22.
CUt es el costo de uso y se refiere a la inversión de mediano y largo plazo en forma de dinero (toda inversión que se requiera para la recomposición de maquinaria e insumos).
PSt corresponde a los productos suntuarios de los capitalistas (los cuales llegan a ser residuales, en referencia a las utilidades y lo invertido en el siguiente año).
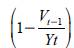
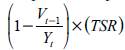
Para definir la tasa de plusvalía (ecuación 5), se realizó un quiebre con la teoría tradicional tanto de la línea ortodoxa clásica23 como de la marxista clásica24. Aquí, se propone que el análisis de la plusvalía es fruto de la producción, consumada en el intercambio, y su relación con los salarios. Por ello, la tasa de plusvalía en el periodo t viene dada por la relación entre el capital variable del anterior periodo t -1 (el salario pagado por los capitalistas) y el total de producción consumada en el intercambio en el periodo t, frente al tiempo de materialización de la inversión en el consumo25.

Donde:
pvt es la tasa de plusvalía del periodo t - 1.
TSR es el tiempo socialmente necesario para la materialización de la inversión en el consumo26.

es el excedente no pagado al trabajador, cuyo objetivo es la reproducción del capital. Por tanto, sus unidades son monetarias y resulta de la producción y la circulación.
Yt es el ingreso general de la economía en periodo t.
vt-1 es el salario de los trabajadores.
Finalmente, la ecuación del valor estará dada por la expresión (6).

Donde:
Valuet1 es la tasa de plusvalía del periodo t.
pvt es la tasa de plusvalía del periodo t - 1.
Dt es la inversión al mantener en esta perspectiva una relación monetaria.
Resolución del sistema de ecuaciones
Una vez que se resuelve la ecuación (1) para incorporarla en la (2), se asume que DA, CUt y vt_x son valores conocidos, de los cuales tenemos información. De ello se obtiene PSt, el cual es un valor que, generalmente, no es calculado dentro de la información de cuentas nacionales. Por tanto, lo despejamos:

Finalmente, incorporamos la ecuación (6) en las ecuaciones (5) y (7), lo cual conduce a la ecuación (8).

Donde:
valuet es el salario nominal.
Dt, compuesta por 2vt-1+ CUt- Ct, es la inversión al mantener en esta perspectiva una relación monetaria.
pvt es la tasa de plusvalía del periodo t.
EL SALTO DE LA TRANSFORMACIÓN
Es evidente que el valor del trabajo abstracto no puede simular un sistema de precios, porque sería una tautología afirmar que el precio es igual al valor, cuando este se determina a partir del precio del capital, renta, trabajo, o bien de la utilidad. Por ello, la ecuación propuesta define al valor como un proceso de transformación entre el capital en forma de dinero (inversión), hasta la consumación de la mercancía en el intercambio y su regreso en forma de utilidad al circuito de la producción de capital. Así, el proceso de transformación del valor trabajo abstracto originado en las relaciones sociales de producción encuentra su principio y fin entre la inversión del periodo t y la inversión del periodo t + 1.
En síntesis, el resultado encontrado en la ecuación (8) revela que (2vt-1+ CU, - Ct) constituye la esencia de la realización de la mercancía en el intercambio. Por otra parte, la absorción del salario en la demanda, multiplicado por el tiempo socialmente necesario para la reproducción de la economía
revela el salto de la transformación del valor a variables económicas tangibles, el cual afecta directamente a la ratio de valor. Además, una mayor absorción de los salarios sobre la demanda aumenta esta relación, aunque esto reduce la tasa de ganancia de los capitalistas.
Análisis teórico del valor en el intercambio, acumulación y reproducción del capital
El intercambio es el nexo fundamental para asimilar no solamente la consolidación del valor de las mercancías, sino también su forma de reproducción. Para complementar, a continuación, se detallan los diferentes esquemas que permitirán analizar la reproducción de capital. Cada forma depende de la capacidad de consumar el valor abstracto y el valor de uso de los bienes y servicios intercambiados. En la reproducción del capital, Marx (186712006) explica que existen dos tipos:
1. Reproducción simple. Se caracteriza por el intercambio equivalente de valores de uso de las mercancías, a través del dinero. En esta forma de reproducción, no se logra consumar el valor abstracto de las mercancías y, únicamente, se evidencia la generación de excedentes, cuando existe especulación o intercambio desigual. Esta forma de reproducción caracteriza a los procesos de intercambio, donde se consume todo el excedente generado. Por ejemplo:
- La clase obrera, ya que la única mercancía para la venta es su fuerza de trabajo donde el salario (expresado en términos monetarios) se utiliza para la compra de bienes salarioslmercancía.
- El intercambio de aquellos bienes que se obtiene directamente de la naturaleza, principalmente, porque en estos procesos no existe la transformación de la fuerza de trabajo en mercancías (extracción de minerales, pesca, etc.).
En la reproducción simple, el flujo de los desembolsos de capital será constante y, por tanto, el flujo de valor de la producción acabada será igual a estos desembolsos. Por esta razón, es evidente que se comercia el valor de uso para la obtención de otros valores de uso. En otros términos, si incorporamos en la ecuación del capital constante únicamente la compra a otros empresarios, la ecuación (4) quedaría reescrita como se muestra en la ecuación (9).

Esto afecta directamente en la determinación de la demanda agregada. Entonces, obtendremos la siguiente ecuación:

Asimismo, es importante destacar que la ecuación (5) se modifica ligeramente en el valor de TSR, donde el tiempo de trabajo socialmente necesario tiende a cero, por la rapidez con que la mercancía comprada se vende más cara (ecuación 11).

Finalmente, en la ecuación del valor 11, incorporamos las ecuaciones (10) y (9), para obtener la ecuación (12).

Por consiguiente, es claro que el mayor peso en el proceso de generación de valor abstracto dependerá de las compras entre los empresarios y los salarios, de los trabajadores pagados en el periodo anterior.
2. Reproducción expansiva. La producción capitalista inicia con la compra de dos tipos de mercancías: los medios de producción y la fuerza de trabajo. Es importante entender que es una condición necesaria y suficiente que los obreros vendan libremente su fuerza de trabajo. En este proceso, la circulación comienza y termina con dinero.
El objetivo de este proceso de circulación es obtener valor abstracto, en lugar de diferentes valores de uso. El trabajo abstracto genera valores de uso, crea valor abstracto y, potencialmente, plusvalía. En este contexto, el plusvalor se reinvierte para aumentar las escalas de producción y el capital variable aumenta en las mis mas proporciones (aumenta el empleo). La ecuación en la fase expansiva es la que se representa en la ecuación (8).
En esta forma de producción, las ventas actuales requieren de la producción pasada y, a su vez, esta producción depende de los desembolsos de capital anterior; por tanto, la tasa de expansión dependerá de los siguientes parámetros:
El margen de ganancia.
Las relaciones sociales de producción.
El desarrollo de las fuerzas productivas27.
La composición del capital (capital variable frente a capital constante).
La tasa de capitalización de la plusvalía (que determina cuánto de la plusvalía vuelve a entrar en el circuito del capital).
El tiempo que se toma en las diversas fases del circuito económico.
En consecuencia, el trabajo social se transforma en valor en el momento en que el dinero se relaciona con la mercancía en su totalidad. De ahí que el valor abstracto se origine en el intercambio de los bienes que producen un interés o capital comercial. Finalmente, el dinero se transforma en capital, cuando se emplea para la producción de mercancías.
En síntesis, la materialización del valor se da en el intercambio y ocurre de modo permanente, al no ser reproducible de manera unilateral por los capitalistas. El movimiento del capital, en sus distintas fases, cristaliza la ganancia y, por ende, la actualización del valor genera acumulación de capital. En efecto, el proceso de acumulación determina el régimen productivo, caracteriza la forma de apropiación del valor y devela el valor en las mercancías. De manera que el capital solo puede reconocerse en la acumulación y se simboliza en el dinero28. Esta forma de representación del capital es lo que diferencia al capitalismo de otros regímenes de producción y tiene como propósito primordial la acumulación de la riqueza.
CONCLUSIONES
El primer resultado surge del análisis de las limitaciones sobre la teoría del valor, sustentadas en los paradigmas clásicos, neoclásico y marxista, bajo las dimensiones ontológica (al examinar los supuestos y conclusiones), epistemológica, metodológica y normativa. Este acercamiento analítico delimita tres formas de concebir la teoría del valor: (1) como resultado subjetivo de la elección del consumidor; (2) como resultado de los costos de producción y, por tanto, de las implicaciones sobre los precios y (3) como un resultado sistémico entre el valor, mercancía, dinero y acumulación. Con esta metodología, es necesario evaluar el valor como resultado del proceso de materialización de la mercancía en el intercambio, siguiendo la lógica sistemática.
En la teoría marxista clásica, se fijan tres debilidades del valor: (1) no existe congruencia entre la tasa de ganancia y el valor; (2) no se incorpora el análisis de la elección técnica, como determinante en la elección de las ganancias y (3) las formas de dinero quedan descontextualizadas y las conclusiones sobre el trabajo incorporado y el sistema de precios eliminan la distinción entre capital variable y salarios.
La caracterización de propuesta metodológica del valor del presente estudio abstrae el no ser del "sujeto" de investigación a través de la dialéctica sistemática. De esa forma, pudo sintetizarse de la totalidad del no ser en el ser. Así, el valor es la esencia abstracta de la mercancía para adquirir características económicas. Este se obtiene como resultado del proceso económico por el cual atraviesa la producción, la circulación y el intercambio de mercancías. En tal sentido, únicamente es valor cuando se materializa en el intercambio, donde se requiere de la reinversión en la esfera de la producción para ser ejecutado.
Con esta definición, se resuelve el problema de la transformación, al entender que el valor se identifica, en primer lugar, en su forma de dinero que resulta del proceso de intercambio (en el cual interviene una negociación), donde este saldo se vuelve capital. Desde esta lógica, la función del capital es convertir al valor en su propio fin.
Para encontrar el valor, se parte de la demanda agregada, bajo el enfoque heterodoxo, ya que este explica la relación del intercambio (en términos de consumo de los hogares) con la producción (en términos de dinero), a través del consumo inducido por el ingreso generado en la producción. Esta metodología incorpora el rol de las relaciones sociales de producción en la relación monetaria asociada al capital, salarios y consumo.
Con el fin de definir la tasa de plusvalía, en esta investigación se realizó un quiebre con la teoría tradicional, pues se propuso un cálculo basado en la producción consumada en el intercambio y su relación con los salarios de los trabajadores. De esto se desprende que el valor es igual a valuet= Dt + pvt=1 Esencialmente, en esta metodología se entiende al valor como un proceso de transformación del capital en forma de dinero a la consumación de la mercancía en el intercambio. Esta ecuación plasma los cambios que sufre el valor trabajo abstracto, que encuentra su principio y fin en la inversión del periodo t y la del periodo t + 1.
La propuesta constituye un cambio de paradigma dado que (1) se encuentra el valor como el resultado del proceso de negociación de las mercancías, en un periodo determinado; (2) se representa al valor por el dinero resultante del intercambio, es decir, no es el precio de la mercancía lo que lo define, sino es el dinero obtenido durante el periodo transcurrido desde producción, circulación e intercambio; (3) el instrumento de producción es diferente de su valor. Su existencia como valor es distinta de su existencia como producto; (4) la esencia del valor se visibiliza en el momento de la reinversión, y (5) se entiende a los agregados macroeconómicos desde su naturaleza de saldos y no de precios. En definitiva, el valor es el principio, pero su materialización se vislumbra al final de un proceso económico cuyo fin es aumentar el capital.
La forma de reproducción del capital es la métrica cuantitativa del valor, pues, al representarse a través del dinero, adquiere la propiedad de universal, lo cual garantiza el valor.
El capital tiene como característica ser infinito y, por tanto, se genera un círculo elíptico que garantiza la continuidad de la reproducción de las mercancías y el desarrollo de la propiedad privada. Esto hace posible la apropiación del producto social (trabajo) y la alienación del trabajo, donde el ser humano no tiene relación con sus condiciones naturales de producción como pertenencia.
Para finalizar, no puede dividirse el proceso económico en producción y consumo como dos etapas distintas y antagónicas, pues de ellas depende el proceso de transformación del capital dinero, mercancía y comercial. Por ello, para analizar el valor, es necesario definir al capital dentro del proceso de producción, intercambio y consumo. Este resultado, naturalmente, concuerda con que la conceptualización de la categoría del capital deja de ser un objeto y pasa a ser analizado bajo los diferentes estadios de su formación.
REFERENCIAS
Abreu, P. A. (2014, enero). Crítica a la epistemología de la economía neoclásica. Revista Universitaria de Investigación, 15(1), 1-22. http://www.scielo.org.ve/pdf/sp/v15n1/art02.pdf
Althuser, L. (2003). Marx dentro de sus límites (vol. 1). En J. García del Campo (ed.). Alkal. http://lobosuelto.com/wp-content/uploads/2018/10/Althusser-L.-Marx-dentro-de-sus-l%C3%ADmites-1978-ed.-Akal-2003.pdf(obra original publicada en 1978)
Antonelli, E. (2013). Macroeconomia, teoría, controversias, fronteras. Editorial Enfoques Alternativos.
Antonio, G., & Manganelli, M. (2010). Teoría del valor trabajo: los enfoques de Smith y Ricardo. Universidad del CEMA.
Anwar, S. (2016). Capitalism (vol. 1). Oxford University Press.
Arthur, C. J. (2004). The new dialectic and Marx's Capital. Leiden.
Bourdieu, P. (1977). La production de la croyance: Contribution a une économie des biens symboliques. Les actes de la recherche en sciences sociales, 13, 3-43.
Bunge, M. (1980). La investigación científica. Su estrategia y su filosofía (7.a ed.). Ariel.
Castellano Montiel, A. G., & Borgucci García, E. V. (2016, enero-junio). La teoría económica y la epistemología. Económicas CUC, 37(1), 9-40. http://dx.doi.org/10.17981/econcuc.15.5.2016.01
Cataño, J. F. (2009, julio-diciembre). La historia de la teoría económica desde la heterodoxia. Cuadernos de Economía, 35, 297-308. https://revistas.unal.edu.co/index.php/ceconomia/article/view/10728
Colander, H., & Landreth, D. (2002). Historia del pensamiento económico (vol. 4). En A. Nieva (ed.). Houghton Mifflin Company.
Costa, A., Langer, A., & Rodríguez J. (2003). Fundamentos de economía. Ediciones Cooperativas. https://s3.amazonaws.com/academia.edu.documents/31740239/
Crespo, E., & Lazzarini, A. (2016). Premisas contrafácticas de la teoría marginalista y los supuestos detrás de las curvas de demanda factoriales. Filosofía de la Economía, 5, 60-76. http://ppct.caicyt.gov.ar/index.php/filoecon/article/view/9958
Dobb, M. (1973). Teoría del valor y de la distribución desde Adam Smith: ideología y teoría económica (4.a ed.). En R. Cusminsky (trad.). Siglo Veintiuno Editores.
Dutt, A. (1994). New directions in analytical political economy. Edward Elgar Publishing, Inc.
Dutt, A. (2014a). Dimensions of pluralism in economics. Review of Political Economy, 26(4), 1-17. https://doi.org/10.1080/09538259.2014.9504
Dutt, A. (2014b). Pathways to economic development (vol. 1). Oxford University Press.
Escartín-González, E. (2004). Apuntes sobre historia del pensamiento económico. Universidad de Sevilla. http://personal.us.es/escartin/Ricardo.pdf
Fine, B., & Saad-Filho, A. (2013). El capital de Marx (I. Perrotini, trad.). Fondo de Cultura Económica (obra original publicada en 2004)
Foley, D. (1988). Understanding Capital: Marx economic theory. Harvard University Press.
Gabriel, A., & Manganelli, M. A. (2010). Teoría del valor trabajo: los enfoques de Smith y Ricardo. Universidad del CEMA.
Gianna, S. D., & Mallardi, M. (2008, noviembre). Subjetividad y conciencia de clase. Reflexiones sobre la alineación y reificación en el actual capitalismo. En P. Flier. (ed.), Las formas actuales de la alienación: subjetividad y lucha de clases (pp. 30-62). Simposio Jornadas Internacionales de Investigación y Debate, Universidad Nacional de Córdova. https://www.razonyrevolucion.org/jorn/PONENCIAS%20EN%20PDF/Mesa%2028/mesa29-gianna.pdf
Hurtado Prieto, J. (2003). La teoría del valor de Adam Smith: cuestión de precios naturales y sus interpretaciones. Cuadernos de Economía, 22(38), 15-45. http://www.scielo.org.co/scielo.php?script=sci_arttext&pid=S0121-47722003000100002&lng=en&nrm=iso
Jaramillo González, S. (2011). Teoría del valor trabajo abstracto y teoría de los precios. Centro de Estudios sobre Desarrollo Económico.
Kalecki, M. (1971). Selected essays on the dynamics of the capitalism economy. University Printing House.
Kauder, E. (1953, noviembre). The retarded acceptance of the marginal utility theory. The Quarterly Journal of Economics, 67(4), 564-575. http://www.jstor.org/stable/1883602
Keynes, J. M. (1965). Teoría general de la ocupación, interés y dinero (2.a ed.). (E. Hornedo, trad.). Fondo de Cultura Económica.
Kicillof, A. (2010). De Smith a Keynes: 7 lecciones de historia del pensamiento un análisis de los textos originales. Editorial Universitaria de Buenos Aires.
Lavoie, M. (2014). Post-Keynesian economics: New foundations. Edward Elgar Publishing, Inc.
Lorente y Sanchez Bravo, L. (1983). Dinero, precios y capital: una teoría causal. Cuadernos de Economía, 5(5), 197-238. https://revistas.unal.edu.co/index.php/ceconomia/article/view/23779.
Maito, E. (2017). Tasa de ganancia, ciclos y distribución en Argentina (1993-2016). Debates del Marxismo contemporáneo en torno al Marxismo. Academia Edu. https://s3.amazonaws.com/academia.edu.documents/54625220/Maito__Esteban_Ezequiel_-_Tasa_de_ganancia_ciclos-y-distribucion_en_Argentina_1993-2016.PDF?response-content-disposition=inline%3B%20filename%3DMaito_Esteban_Ezequiel_-_Tasa_de_gananci.pdf&X-Amz-Alg
Maki, U. (2011). Models and the locus of their truth. Synthese, 180, 47-63. http://www.jstor.org/stable/41477540
Maki, U. (2013). Contested modelling: The case of economics. En U. Gahde, S. Hartmann, & J. H. Wolf (eds.), Models, simulations, and the reduction of complexity (pp. 87-106). Walter de Gruyter.
Maki, U. (2017). Modelling failure. En H. Leitgeb, I. Niiniluoto, P. Seppala, & E. Sober (eds.), Logic, methodology and philosophy of science. Proceedings of the 15th International Congress (Helsinki) (pp. 381-40). College Publications.
Maki, U. (2018). Rights and wrongs of economic modelling: Refining Rodrik. Journal of Economic Methodology, 25(3), 218-236, https://doi.org/10.1080/1350178X.2018.1488475
Mañán, O. (2012). Teoría marxista y transformación de valores en precios: 117 años de controversia. Estudios Críticos del Desarrollo, 2(3), 29-51. https://estudiosdeldesarrollo.mx/estudioscriticosdeldesarrollo/wp-content/uploads/2019/01/ECD3-3.pdf
Marshal, A. (1890). Principios de Economía (vol. 2). En M. Aguilar (ed.), (E. Figueroa, trad.). Fundación Ico.
Martínez, F. (2018). La filosofía de "El capital". http://mhh.domainepu-blic.net/
Marx, C. (2006). El capital (3 a ed., vol. 3). (W. Roces, trad.). Fondo de Cultura Económica (obra original publicada en 1867)
Marx, C. (1957). Elementos fundamentales para la crítica de la economía política (Grundrisse). En J. Aricó, M. Murmis & P. Scaron (eds.), (P. Scaron, trad.). Siglo Veintiuno Editores (obra original publicada en 1858)
Moseley, F. & Smith, T (2014). Marx Capital and Hegel's Logic: A reexamination (pp. 17-113). Brill.
Novelo, F. (2015, abril). Más allá de la mano invisible: fundamentos para una nueva economía política. Argumentos, 28(77), 245-251. http://www.scielo.org.mx/scielo.php?script=sci_arttext&pid=S0187-57952015000100012&lng=es&nrm=iso>
Osorio Urbina, J. S. (2004, julio). Crítica de la ciencia vulgar. Sobre epistemología y método. Revista Herramienta, 26, 28. http://www.nacionmul-ticultural.unam.mx/mezinal/docs/1904.pdf
Restrepo, J., & Soto, G. C. (2006, agosto). Regularidades empíricas de la economía chilena: 1986-2005. Revista Economía Chilena, 9(2), 15-40. https://core.ac.uk/download/pdf/6642174.pdf
Ricardo, D. (1919). Principios de economía política y tributación (vol. 1). (P. de la Nuez, y C. Rodríguez B., trads.). Pirámide.
Ricardo, D. (1959). Principios de economía política y tributación (3.a ed., vol. 1). (J. Broc B., N. Wolff & J. Estrada M., trads.). Cambridge University Press.
Rima, I. H. (1996). Desarrollo del análisis económico (5.a ed., vol. 2). En Irwin (ed.), (A. M. Ramírez, trad.). Rutledge.
Romanos de Tiratel, S. (2000). Guía de fuentes especializadas de información (2.a ed.). Geybyd. http://biblio.colmex.mx/curso_investigacion_documental/Gu%C3%ADa%20de%20fuentes.pdf
Rosdolsky, R. (1978). Génesis y estructura de El capital de Marx. (1° ed., vol. 1). (Mames, León., trads). Siglo Veintiuno Editores (obra original publicada en 1968)
Santana Acuña, A. (2015). Outside structures: Smithian sentiments and tardian monad. The American Sociologist, 46(2), 194-218. https://www.jstor.org/stable/43955626.
Smith, A. (2006). Investigación de la naturaleza y causas de la riqueza de las naciones (15.a ed., vol. 1). En M. Lerner (ed.), F. Gabriel (trad.). Fondo de Cultura Económica (obra original publicada en 1776)
Uchida, H. (1988). Marx's grundrisse and Hegel's logic (vol. 1). En T. Carver (ed.). Routledge Library Editions. https://www.marxists.org/sub-ject/japan/uchida/index.htm
Zumano, H. (2006). La interpretación de la Fenomenología del Espíritu de Hegel abierta por Marx. Revista Xihmai, 1(2), 24-36.
Notas