Resumen: El artículo tiene como objetivo presentar, de una forma sintética, una visión actualizada del problema de las desigualdades territoriales en América Latina. En su preparación se han utilizado cifras y documentos recientes, junto con otros publicados hace pocos años. Además de estudiar la concentración de la población y del producto dentro de los países, con las correspondientes diferencias entre sus provincias, estados o regiones, se estudian cuatro casos de países concretos para exponer qué tipos de políticas territoriales se han instrumentado en los últimos años. Un valor añadido del trabajo es que proporciona una amplia bibliografía, tanto de los trabajos citados como de otras obras de consulta que permitirán al lector ampliar, si lo desea, los temas tratados.
Palabras clave:América LatinaAmérica Latina,desigualdades territorialesdesigualdades territoriales,concentración de la población y del productoconcentración de la población y del producto,planificaciónplanificación,políticas regionalespolíticas regionales.
Abstract: This paper aims to synthetically present an updated vision of the problem of territorial inequalities in Latin America. In its preparation have been used figures and recent documents, as well as others published a few years ago. In addition to study the population and product concentration within countries, with the corresponding differences between their provinces, states or regions, four specific countries are more detaily studied to show what types of territorial poli- cies have been implemented in recent years. An added value of this article is that it provides a broad bibliography, both of the works quoted in the text, but as well other reports articles and webs that will allow the interested reader to broaden the topics covered.
Keywords: Latin America, territorial inequalities, population and production con- centration, planification, regional policies.
Artículos
Desigualdades y políticas regionales en América Latina: una visión actual
Inequalities and Regional Policies in Latin America: A Review
Recepción: 04 Junio 2018
Aprobación: 08 Octubre 2018
Uno de los rasgos que caracterizan a la mayoría de los países de América Latina es la permanencia de las desigualdades regionales dentro de cada país. Si se analiza el tema históricamente se comprueba que, en el transcurso de las cuatro últimas décadas, los avances en la reducción de dichas desigualdades han sido bastante escasos. Otro rasgo dominante es que, si bien este problema casi siempre figura en el inventario de los desafíos con los que se enfrentan los gobiernos latinoamericanos, su traslado a los programas de política económica se plantea, en no pocos casos, en términos de un discurso de carácter político que siempre tiene el riesgo de que un cambio del partido en el gobierno implique también cambios importantes en las políticas públicas. Esto último implica que muchas políticas orientadas a reducir las diferencias entre regiones dentro de un determinado país no tienen la necesaria continuidad, ni cuentan siempre con las debidas asignaciones presupuestarias, ni con un sistema bien establecido de evaluación y debate de los resultados. En definitiva, si existe consenso de que cualquier política destinada a desarrollar las áreas más atrasadas y a reducir las distancias con las más avanzadas debe ser siempre una política a largo plazo, lo que se observa en numerosos ejemplos de América del Sur es, precisamente, una falta de continuidad en el enfoque de las políticas, su puesta en práctica y su posterior evaluación.
El objetivo de este artículo es ofrecer una visión actual del problema de las disparidades regionales en el conjunto de América Latina, subrayar algunos de sus rasgos fundamentales y estudiar más adelante el tipo de políticas o de planteamientos que han realizado en los últimos años algunos países que se toman a modo de ejemplo.
En los objetivos para el desarrollo del milenio (ODM), promovidos por Naciones Unidas, figuró claramente como objetivo la reducción de las desigualdades, donde te nían cabida no solo las desigualdades económicas y territoriales, sino las más estrictamente sociales (incluyendo las de género), con particular énfasis en la educación, la salud y la lucha contra la pobreza. Estas ideas impulsaron que algunos gobiernos latinoamericanos reflexionasen, a partir del 2000, sobre cómo podían abordar y poner en práctica políticas que mejorasen el desarrollo humano y la reducción de las des- igualdades personales y territoriales, aunque los resultados fueron bastante distintos al efectuar comparaciones por países y, como es obvio, con grados de éxito bastante limitados también. Estas ideas no significan que haya que poner en duda el hecho de que bastantes países latinoamericanos han logrado notables avances económicos y sociales durante las dos últimas décadas. Buena parte de ellos superaron incluso la crisis internacional iniciada en 2007-2008 con un impacto muy inferior al que sufrie ron la mayor parte de las economías más avanzadas.
A partir de enero de 2016 se pone en marcha la «Agenda 2030», que incorpora 17 grandes objetivos bajo el título más general de alcanzar los objetivos del desarrollo sostenible (ODS), entre los cuales figura corregir la desigualdad económica y la lucha contra la pobreza, el cambio climático, lograr un incremento en términos de la innovación y alcanzar niveles de consumo sostenible. Estas ideas y objetivos han inspirado algunos planes para el desarrollo sostenible y la corrección de las desigualdades territoriales en varios países latinoamericanos, en armonía con la conservación del medio ambiente y la lucha contra el cambio climático.
La amplitud que tienen todos y cada uno de estos objetivos es evidente y en buena medida inabarcable. Por ello, este artículo se centra, específicamente, en lo relacionado con las desigualdades territoriales y en describir qué tipo de políticas se han tratado de instrumentar en algunos países de Latinoamérica.
El texto se organiza del siguiente modo. Tras esta breve introducción, cuya pretensión ha sido acotar el tipo de cuestiones que se van a tratar, el siguiente apartado revisa muy brevemente la cuestión de las desigualdades regionales en América Latina, con un enfoque particularmente sintético puesto que lo que se pretende es ofrecer un marco de referencia general. El apartado tres dedica su atención a los rasgos que caracterizan la concentración espacial de la población y la riqueza en toda el área, donde también se da cabida al índice de desarrollo regional (IDR) que ha producido la CEPAL. El cuarto apartado se dedica a revisar las propuestas de políticas territoriales que han puesto en marcha en los últimos años algunos países que se toman como referencia. Los elegidos son Brasil, Ecuador, Perú y Chile, que ciertamente muestran diferencias entre sí, pero donde es posible comprobar que el tema de las desigualdades territoriales se integra casi siempre en unos programas de gobierno de carácter mucho más amplio, siguiendo —en general— las líneas de política económica y social de la Agenda 2030.
El artículo se cierra con unas notas finales. No se trata, pues, de conclusiones pro- piamente dichas, ya que la amplitud y alcance de los problemas que aquí se plantean tienen peculiaridades que son propias de cada país y esto obliga, sin duda, a efectuar estudios pormenorizados de cada caso, lo cual no era, como ya se ha expuesto, el objetivo de este trabajo, orientado a ofrecer una visión de carácter más general, a modo de panorámica. En este sentido, una de las aportaciones del artículo es que proporciona no solo un amplio número de referencias bibliográficas que han sido utilizadas para prepararlo, sino un extenso conjunto de otras referencias —desde páginas web a informes y publicaciones oficiales y no oficiales— que pueden permitir al lector interesado ampliar y profundizar en los temas tratados.
Los países de América Latina realizaron grandes esfuerzos para transformar la estructura productiva y reducir la dependencia externa durante los años siguientes a la finalización de la Segunda Guerra Mundial, obteniendo resultados aceptables con el establecimiento de la industrialización por sustitución de importaciones (ISI). Durante estos años el producto interior bruto (PIB) creció a una tasa anual promedio del 5,3% y el ingreso promedio per cápita a 2,6%; sin embargo, las desigualdades no disminuyeron (Bethell, Bulmer-Thomas, Ffrench-Davis y Chocano, 1997). Durante los años setenta, los procesos de industrialización se desarrollaron en la región de forma estable, obteniendo un crecimiento en las exportaciones de productos manufacturados gracias al auge del comercio internacional (Bethell et al., 1997). El modelo ISI, que había generado básicamente el crecimiento del sector manufacturero, dio lugar a que se establecieran núcleos de crecimiento económico y demográfico que se diferenciaban de los territorios donde no se había establecido la industria manufacturera.
El endurecimiento de las políticas monetarias de los países industrializados, como la subida de los tipos de interés y unas condiciones financieras bastante más severas, hizo que muchos países de la región incumplieran sus compromisos de pago de la deuda externa, o al menos serias dificultades para hacerlo, lo que condujo a una crisis económica y social en casi todos los países de América Latina durante los años ochenta (Bielschowsky, 1998).
En la década de los noventa, se adoptaron nuevas medidas más liberales, planteándose diez instrumentos de política económica para formular los lineamientos del Consenso de Washington, que buscaban una más exigente disciplina presupuestaria, priorizar el gasto público en sanidad y educación, e incrementar los ingresos fiscales. Todo ello sin dejar de estimular la inversión productiva, aumentar la tasa de crecimiento de las exportaciones, liberalizar las importaciones, liberalización de los flujos de inversión extranjera, conseguir más eficiencia, y aliviar la presión en el presupues to del Estado mediante una política de privatizaciones, promoción de la competencia a través de políticas desreguladoras, y garantizar los derechos de propiedad para eliminar la idea de inestabilidad en la región.
Bajo los lineamientos del Consenso de Washington se desarrollaron reformas estructurales en la región que se tradujeron en una mayor estabilidad de precios en casi todos los Estados y más control del presupuesto público, crecimiento económico, acumulación interna de capital fijo e ingresos por inversiones extranjeras directas, aunque en el aspecto social, los indicadores de desigualdad y de pobreza se deteriora- ron claramente. Las políticas orientadas a reequilibrar las desigualdades en el interior de los países, que se habían ensayado por parte de las autoridades de varios Estados latinoamericanos, quedaron prácticamente en suspenso y, no solo por ello sino por las políticas económicas neoliberales aplicadas, la situación de las disparidades regiona les empeoró en la mayoría de los países de la región.
En la Figura 1, R. Correa (2016) muestra una línea de tiempo donde se relacionan los acontecimientos a nivel mundial, los modelos de desarrollo implantados en América Latina y las políticas regionales que buscaban resolver las desigualdades territoriales.

CEPAL (2017a), menciona que «la dimensión territorial del desarrollo, en particular los patrones de organización espacial y las desigualdades existentes, ha sido considerada históricamente como una expresión del estilo de desarrollo periférico, el cual se caracteriza, entre otros aspectos, por una clara tendencia concentradora y por reproducir diferencias significativas en la condiciones de vida de habitantes de distintos territorios»; y en CEPAL (2015) se menciona que las desigualdades territoriales se deben a una dinámica relacional de los estilos de inserción en la economía mundial, una relación centro-periferia donde existen estructuras productivas que se diferencian por su grado de especialización y heterogeneidad, los flujos migratorios y los factores institucionales que intervienen en los procesos económicos de los territorios.
América Latina y el Caribe es la región que presenta los índices más altos de desigualdad en la distribución del ingreso y de disparidades territoriales dentro y entre países de la región, siendo estas disparidades una muestra de las desigualdades económicas y sociales (CEPAL, 2015, 2017a, 2017b).

Las desigualdades territoriales en América Latina han cobrado relevancia en la Agenda Pública de la región, tal es así que se abordan posibles estrategias para tratar el problema en Agenda 2030, Hábitat III, el Consenso de Montevideo de Población y Desarrollo, el Marco de Sendai y la Nueva Agenda Urbana (CEPAL, 2017a).
Países como Chile, México, Argentina, Perú y Brasil son claros ejemplos de heterogeneidad territorial. Todos ellos presentan regiones dentro del país con diferentes etapas de desarrollo y altos grados de disparidad del PIB per cápita, en algunos casos existen territorios metropolitanos con PIB per cápita superiores al de América Latina, tal es el caso de Brasil (regiones de Sao Paulo y Río de Janeiro), Argentina (la Ciudad Autónoma de Buenos Aires, Córdoba y Santa Fe) y Chile (Región Metropolitana de Santiago) (OCDE/CAF/CEPAL, 2018 y CEPAL, 2017a). Véase Cuadro 1.


La CEPAL ha venido publicando desde el año 2010 el documento Panorama de Desarrollo Territorial, con ediciones posteriores de 2012, 2015 (presentación de la actualización del Índice de Desarrollo Regional) y 2017, con el propósito de realizar la medición y seguimiento de las disparidades territoriales para tener información de qué políticas públicas son adecuadas y necesarias en la región.
El Índice de Desarrollo Regional (IDR) es un indicador sintético que busca ofrecer una perspectiva más amplia de las desigualdades territoriales, que no se limita al ingreso por habitante de cada región, estado o provincia. El cálculo se realiza comparando el nivel de desarrollo relativo de 175 entidades territoriales de ocho países de América Latina con los promedios de la región, siendo por lo general las capitales de país o las grandes áreas metropolitanas las que mejores resultados presentan (CEPAL, 2018a).
La concentración espacial en América Latina ha sido un problema en la región desde la década de los cincuenta cuando se implantó el modelo económico de Industrialización Sustitutiva de Importaciones que, como se mencionó al principio, llevó a desarrollar ciertos territorios de cada país, en especial las ciudades o regiones capitales que aglomeraban núcleos de crecimiento económico y demográfico (CEPAL, 2017a). Este problema no ha mejorado posteriormente. Al contrario, los sucesivos modelos económicos han llevado a que esta concentración espacial limite el desarrollo tanto a nivel de país como a nivel de regiones internas de sus potencialidades territoriales y con ello el progreso económico, social y la sostenibilidad ambiental.
La concentración de la población se ha debido, principalmente, a las migraciones internas (campo-ciudad), debido al dinamismo económico que tenían las principales ciudades, que atraía a la población de territorios donde no había industrias manufactureras y unas paupérrimas condiciones de vida.
En CEPAL (2017a), indican que «una primera aproximación al análisis de la concentración espacial de la población puede realizarse, a partir de la comparación entre el peso relativo de la superficie y la población de las entidades territoriales principales de cada país, respecto de los totales nacionales para ambas variables», teniendo en cuenta algunas entidades territoriales especiales que recogen la contigüidad de algunos proceso espaciales urbanos tales como la ciudad principal más el territorio que la contiene o la limita.
Como ha subrayado la CEPAL (2018b), la superficie de las entidades territoriales seleccionadas representa menos del 10% de la superficie de cada país (salvo en Panamá, 16%). Es de destacar que las mayores diferencias entre superficie y población vienen dadas por las entidades territoriales de Panamá, Argentina y Chile, y en menor medida, pero no menos significativo, Ecuador. También se aprecia que, en los casos de Panamá, Argentina, Chile y Perú, sus entidades territoriales significan entre el 34% y el 51% de la población de estos países, en cuanto al aporte al PIB, Panamá y Argentina representan más del 50% (véase Figura 3).

La concentración demográfica es un fenómeno poblacional que describe el peso relativo de las principales aglomeraciones con respecto a la elevada urbanización de una región. En el caso de América Latina, en los últimos años se han atenuado los fenómenos migratorios campo-ciudad en gran medida, dando paso a procesos migratorios a ciudades de menor tamaño y próximas a los orígenes de las personas que emigran (CEPAL, 2017a). Las principales aglomeraciones urbanas de los países crecen o se mantienen. Uruguay, es un ejemplo claro en el que la emigración apenas varía a lo largo del periodo. Por el contrario, el país que más baja es Venezuela que pasó del 17,8% a un 9,4% en el año 2015 y que posiblemente mantendrá esta misma línea como consecuencia de las políticas puestas en práctica.

Otro indicador que es útil para analizar la concentración es el Índice de Concentración Demográfica (ICG), donde se comparan los pesos relativos de superficie y población de todas las entidades territoriales de los países, estimando el balance o desbalance que existe entre la superficie ocupada y para el caso de la concentración espacial, la población (Figura 5) (CEPAL, 2017a).


América Latina ha presentado una organización espacial de la producción caracterizada, como ya se indicó, por una alta concentración espacial de la actividad económica y una particular distribución regional de sus componentes, de forma que la parte más moderna de la industria y los servicios se localizan en las principales ciudades y la producción de bienes para la exportación se genera en territorios perifé ricos a las ciudades o más alejados si se trata de explotaciones mineras y de energía. Las ciudades, y de forma muy particular las capitales del país, concentran una gran parte de los servicios, tanto comerciales y de carácter personal, como en no pocos casos los servicios a las empresas, las empresas de transportes y otros. Esta forma de distribución espacial ha llevado, en el caso de América Latina, a fortalecer las gran- des ciudades en detrimento del resto de los territorios (CEPAL, 2017a).
CEPAL evalúa la concentración de la producción en nueve países, los cuales cuentan con estimaciones oficiales y hacen posibles contar con la información reque rida para el análisis (México, Panamá, Colombia, Ecuador, Perú, Estado Plurinacional de Bolivia, Chile, Uruguay y Argentina). De los resultados obtenidos, el caso más notorio es el de la Provincia de Panamá que representa el 70,6% del PIB del país, y los países donde una entidad territorial representa más del 50% del PIB del país son: Uruguay, Argentina y Perú, como se aprecia en el Cuadro 3.
En la Figura 6 se presenta la estimación del Índice de Concentración Geográfica del PIB, donde se aprecia que la concentración geográfica de la producción es mayor que el índice de concentración geográfica de la población (véase Figura 5). Aunque en orden diferente, los países que ocupan los seis primeros puestos en ambos índices son: Chile, Uruguay, Colombia, Argentina, Brasil y Perú.


La mayor parte de los países de América Latina se caracterizan por presentar más concentración económica que concentración en población y muestran, asimismo, que existen grandes disparidades entre los territorios dentro de cada país, tanto en cuanto a condiciones de vida como en términos de ingresos y grados de riqueza. En CEPAL (2017a) se plantea la necesidad de abordar las disparidades desde dos perspectivas, la primera, las disparidades económicas en función de las diferencias en PIB por habitante entre los territorios de los países para el periodo 1995-2015 y, la segunda, aplicando el Índice de Desarrollo Regional de América Latina, en función del desarrollo relativo de cada entidad territorial con respecto al conjunto de América Latina.
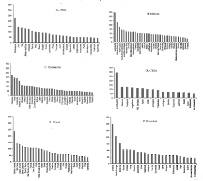
La Figura 7 recoge los resultados de la estimación del PIB por habitante de Perú, México, Colombia, Chile, Brasil y Ecuador en relación con la media del respectivo país, donde pueden observarse las fuertes diferencias que existen en los casos de México, Chile, Ecuador y Brasil.

CEPAL (2015) propuso la estimación de un Índice de Desarrollo Regional cuya primera versión se presentó en el Panorama de 2015. «Dicho índice —como señala dicho documento— busca profundizar en el análisis de las desigualdades subnacionales, pero a partir de una nueva perspectiva metodológica», como se explica en el recuadro adjunto.
El siguiente mapa recoge los resultados de las estimaciones del IDR de ocho países que disponen de información completa para el cálculo del mismo. La base detallada de los territorios subnacionales puede consultarse en CEPAL, 2017: 42-44.

Nota: los límites y los nombres que figuran en este mapa no implican su apoyo o aceptación oficial por las Naciones Unidas.
Fuente: CEPAL, 2017a.No es posible analizar el tipo de políticas que se han planteado en todos los países latinoamericanos en los últimos años. Aparte de las dificultades de información con- que hay que enfrentarse, por cuestiones de espacio resulta imposible e inadecuado analizarlos todos. Por ello, se ha optado por estudiar cuatro países concretos: Brasil, Ecuador, Perú y Chile. En todos los casos nos referiremos a los planteamientos adoptados en la etapa más próxima a la actualidad. Sin duda tendría interés realizar un estudio con una perspectiva histórica más amplia, pero esto requeriría un extenso estudio individual de cada país, que en algunos casos ya existe. Por tanto, se opta aquí por ofrecer, siempre de forma sintética, las orientaciones político-sociales que son más destacables en cada ejemplo.
Hay dos rasgos que nos parece necesario subrayar antes de iniciar el tratamiento de cada uno de los países mencionados. Por supuesto que al comparar los casos indicados se comprueba que existen diferencias. Sin embargo, se constata que dos rasgos muy característicos y comunes son: 1) que las políticas territoriales aparecen enmarcadas siempre en programas o planes de gran envergadura que comprenden actuaciones en muy diferentes frentes, y 2) que los textos que se han analizado se caracterizan por una preferencia de carácter discursivo y muy ambicioso, al tiempo que carecen —en general— de la concreción que debería acompañarlos en términos de los recursos anuales que se destina a las políticas territoriales y del detalle de los objetivos de segundo y tercer nivel, que deberían ser muy concretos y medibles, es decir, fijando proyectos específicos, con el plazo de realización y la evaluación que tendrá lugar posteriormente.
Brasil tiene una larga tradición de desarrollo de políticas regionales, que se ha plasmado en la creación de instituciones dedicadas específicamente al tema en el país. En 1736 se creó la Secretaría de Estado de los Negocios Interiores del Reino, cuya denominación ha ido cambiando con el paso de los años, aunque manteniendo el mismo objetivo de desarrollo de políticas regionales para el país. En los últimos años se han promulgado la Ley núm. 10683 del año 2003 y el Decreto núm. 8980 del año 2017 donde se establecen las facultades de la institución.
El Ministerio de Integración Nacional es el encargado de formular, conducir, desarrollar normas para la Política Nacional de Desarrollo Regional (PNDR), así como de establecer estrategias de integración de las economías regionales, realizar el seguimiento y la evaluación de los programas y políticas regionales.

En la Figura 8 se aprecian las profundas desigualdades sociales y regionales exis tentes en Brasil, desigualdades que no se limitan a la dimensión regional, sino que dentro de los grandes estados de estas existen microrregiones con enormes diferencias entre ellas. Las tipologías en que clasifica la PNDR las microrregiones son: a) renta alta: pertenecen por lo general a las regiones del Sur y Sureste y en las capitales de los estados representan el 76% del PIB nacional y el 53,7% de la población, teniendo un patrón consolidado de competitividad; b) dinámica: microrregiones con dinamismo creciente o emergente en los últimos años, se concentran principalmente en el Centro-Oeste o Noreste corresponden al 9% de la población y representan el 4% del PIB nacional; c) estacionada: estas microrregiones están repartidas por todas las grandes regiones, representan el 29% de la población y el 18% del PIB nacional, y d) baja renta: concentrados sobre todo en las regiones del Norte y Noreste de Brasil, representan el 8,4% de la población y el 1,7% del PIB brasileño.

Representó el paso del enfoque macrorregional, de arriba hacia abajo, con grandes inversiones y sin control social, hacia un enfoque en múltiples escalas, de abajo hacia arriba, explorando el potencial local, se reconoce control social, el empodera- miento y se estima a la diversidad como activo.
Esta política nacional no cumplió sus metas debido a la falta de consenso político. De hecho, no llegó a buen puerto el Fondo Nacional de Desarrollo Regional (FNDR) y la Cámara de Políticas de Integración Nacional de Desarrollo Nacional, dos cimientos importantes para el financiamiento y la coordinación del PNDR I.
Los planes plurianuales (PPA) anteriores buscaban que Brasil tuviese un crecimiento económico con inclusión social. El PPA (2004-2017) tenía como prioridad las políticas sociales; el PPA (2008-2011) en el contexto de crisis global dio prioridad a la mantención y expansión de las inversiones en infraestructura; y el PPA (2012- 2015) tuvo como principal objetivo la erradicación de la pobreza extrema. La finalidad del PPA (2016-2019) es reforzar el compromiso en el desarrollo económico y social para reducir las desigualdades y la creación de oportunidades. Este plan tiene cuatro ejes principales: educación de calidad, inclusión social y reducción de des- igualdades, ampliación de la productividad y de la competitividad de la economía y el fortalecimiento de las instituciones. También se establecieron directrices estratégicas transversales a los ejes principales; entre ellos está «la reducción de las desigualdades regionales e interregionales y la promoción del desarrollo territorial sustentable, respetando las identidades y la diversidad cultural». La inclusión de esta directriz se debe a la PNDR que puso de manifiesto que la desigualdad debe ser tratada a diferentes escalas, de tal manera que abarquen las áreas menos desarrolladas repartidos por todo el territorio nacional.

Dado que Brasil acaba de desarrollar unas elecciones políticas que han implicado cambios en la composición y orientaciones del nuevo gobierno, es bastante probable que se opte por olvidar todos los planteamientos precedentes y programar actuaciones distintas. Se cumpliría, así, una de las notas dominantes de las políticas de desarrollo y de equilibrio territorial en bastantes países latinoamericanos (véase J. R. Cuadrado-Roura y P. Aroca, 2013), que es la falta de continuidad de los programas diseñados, sin tiempo siquiera para comprobar su eficacia o sus fallos.
Con la promulgación de la Constitución del año 2008, Ecuador tiene como mandatos priorizar la inversión social, reducir la pobreza, las brechas sociales y territoriales que existen en el país. El gobierno ecuatoriano creó la Secretaría Nacional de Planificación (Senplades) como institución encargada de llevar a cabo la planificación nacional de Ecuador, para dar cumplimiento a los mandatos establecidos en la Constitución ecuatoriana. Cuatro han sido los Planes Nacionales de Desarrollo que se han formulado: 2007-2010, establecido como propuesta de cambio definida en el programa de gobierno de Rafael Correa para las elecciones realizadas en el año 2006; 2009-2013: llamado Plan Nacional para el Buen Vivir (PNBV) y formulado según mandato de la Constitución ecuatoriana; y el 2013-2017, donde se establece, entre otros objetivos, fomentar la igualdad, la cohesión, la inclusión y la equidad social y territorial. Además, este plan estableció un sistema de monitoreo y evaluación de las políticas públicas para una mejora en la toma de decisiones (Senplades, 2013).
En este mismo tercer Plan 2013-2017 se incorpora, como complemento para la consecución de los objetivos, el instrumento llamado Estrategia Territorial Nacional (ETN) que «contiene lineamientos para el corto, mediano y largo plazo; establece criterios, directrices y guías de actuación sobre el ordenamiento físico del territorio y sus recursos naturales. Constituye una guía para el establecimiento de infraestructura y desarrollo espacial, la potenciación de las actividades económicas, así como la protección y conservación del patrimonio natural y cultural» (Senplades, 2013).
Aunque en el Plan 2009-2013 ya se incorporó una primera «Estrategia Territorial Nacional» y Agendas Zonales 1 para las siete zonas de planificación que existían y que buscaban identificar las necesidades de la población, de acuerdo con las cualidades, potencialidades y limitaciones que tenía cada territorio, en el tercer plan 2013-2017 se formula en base a cuatro ejes prioritarios: asentamientos humanos, sustentabilidad ambiental, transformación de matriz productiva y cierre de brechas (Senplades, 2013).
Para Senplades, de acuerdo al PNBV, la aglomeración de actividades económicas en unos cuantos «polos de desarrollo» no es una opción eficiente ni equitativa y crea desigualdad territorial que no permite salir de la pobreza.
En concordancia con el PNBV 2009-2013 también se desarrolló el Plan Nacional de Descentralización (PND) que tiene como finalidad establecer un «Estado poli- céntrico, desconcentrado y descentralizado, articulado entre los distintos niveles de gobierno» según lo que establece la Constitución ecuatoriana de 2008 2, y el PND 2012-2015 se formuló de forma participativa (organizaciones indígenas, pueblos y nacionalidades, alcaldes, etc.) con el ideal de fortalecer a los gobiernos autónomos descentralizados (GADs) 3 y con el ideario de no duplicar las acciones entre ellas o el gobierno central, ni tampoco dejar territorios sin cubrir sus necesidades. Ello surge de la experiencia anterior de descentralización del año 1998-2008, donde se realizaron procesos individuales de negociación con los territorios que llevaron a una mayor desigualdad territorial (Senplades, 2012; Godoy y Clarck, 2015).
En la siguiente Figura 9 se aprecia cómo se realiza la distribución de recursos para la descentralización mediante el modelo de Equidad Territorial (MET) y cuáles son los criterios de distribución aplicados.
En la Figura 10 figuran los montos transferidos a las GADs durante los años 2011 a 2013, donde se aprecia que fueron en aumento año a año y también según el nivel de gobierno.
Jarrin Feijóo (2014), realiza un análisis para el periodo 2011-2013 del Modelo de Equidad Territorial en el que, entre otras conclusiones, determina que «la descentralización debe ser concebida como un proceso necesario que aporta al desarrollo local. Sin embargo, su éxito depende de una reforma institucional en diferentes instancias (implica el buen manejo tanto de: recursos financieros, talento humano, material y tecnológico); y, además, involucra la capacidad de gestión de las autoridades de los gobiernos locales y la participación de la sociedad civil» y destaca que las GADs con altos índices de NBI 4, bajos ingresos y territorios con más del 50% de población rural y ubicadas en la región amazónica e insular son las que reciben mayores


transferencias en términos per cápita del monto B 5, y por el contrario, las menores transferencias por habitantes son las percibidas por las GADs que pertenecen a las regiones serranas y costeras de Ecuador 6.
Con el fin de llevar una ordenada descentralización, la Senplades estableció niveles administrativos de Planificación, dividiendo el país en nueve Zonas 7, 140 distritos y 1.134 circuitos, donde las zonas esta conformadas por provincias contiguas y están constituidas por distritos y los distritos a su vez por circuitos.

En detrimento del Plan del Buen Vivir, se ha cuestionado más recientemente el uso de ingresos nacionales a cuenta de una fuerte extracción de recursos naturales no renovables y se desarrollan proyectos dentro de La Estrategia Territorial Nacional que tienen un alto grado de impacto en el territorio (hidroeléctricas, explotación petrolera, refinerías, extracción de minerales) sin que los territorios afectados puedan intervenir (López, 2015), o la sociedad civil expresar sus críticas al sistema (Williford, 2018).
R. Correa (2016) afirma que, aunque se han venido realizando políticas públicas territoriales, planes de desarrollo para las regiones y programas de gobierno enfocadas al desarrollo territorial para Ecuador, estas no han tenido objetivos claros que lleven a un crecimiento de los territorios debido al sistema centralista del país.
El último Plan Nacional de Desarrollo de Ecuador (2017-2021), bajo el lema:
«Toda una Vida», comprende tres ejes programáticos y nueve Objetivos Nacionales de Desarrollo, basados en el desarrollo territorial y la sustentabilidad ambiental (Senplades, 2017). Al igual que otros países de América Latina el gobierno de Ecuador establece este plan acorde con los objetivos de la Agenda 2030, dejando a un lado las referencias al socialismo de buen vivir (Hidalgo-Capitan y Cubillo-Guevara, 2018). Este plan es el cuarto de Planificación Nacional que se formuló con la experiencia y resultados de los tres anteriores, principalmente surge como respuesta al balance realizado del Plan Nacional para el Buen Vivir y con base en el programa de gobierno del presidente Lenin Moreno.
La Estrategia Territorial Nacional (ETN) es el instrumento marco para el ordena- miento del territorio a nivel nacional y uno de los principales componentes del nuevo Plan denominado Toda una Vida. Este instrumento analiza el territorio ecuatoriano desde tres directrices territoriales: cohesión territorial con sustentabilidad ambiental y gestión de riesgos; acceso equitativo a infraestructuras y conocimiento; y gestión territorial y gobernanza multinivel (Senplades, 2017), siendo las dos primeras lineamientos territoriales y la tercera lineamientos de articulación.
En este plan actual se apuesta nuevamente por la descentralización y la desconcentración como políticas nacionales complementarias para democratizar y transformar el estado 8. Sin embargo, los problemas económicos que ha tenido que afrontar el país, en términos de endeudamiento externo, de menores ingresos por la exportación de recursos primarios, y de la existencia de una amplia burocracia y numerosos compromisos de subsidios a personas y a determinadas energías (como las derivadas del petróleo) han hecho que se cuestione la viabilidad de algunos de los compromisos adquiridos en el último Plan, y la conveniencia de recortar algunos objetivos y gastos. Todo lo cual ha afectado también a los objetivos orientados a reequilibrar las disparidades económico-sociales entre las provincias ecuatorianas.
Perú, al igual que otros países de América Latina, ha establecido su Plan Estratégico de Desarrollo Nacional, llamado Plan Bicentenario 9: El Perú hacia el 2021, aprobado por D. S. 054-2011-PCM en el año 2011, este plan está enfocado hacia el cumplimiento de los objetivos de la Agenda 2030. El Centro Nacional de Planeamiento Estratégico - CEPLAN es el organismo creado por el gobierno encargado del Sistema Nacional de Planeamiento Estratégico (SINAPLAN) que es el «conjunto articulado e integrado de órganos, subsistemas y relaciones funcionales cuya finalidad es coordinar y viabilizar el proceso de planeamiento estratégico nacional para promover y orientar el desarrollo armónico y sostenido del país» 10.
En el Plan Bicentenario establece seis ejes estratégicos, siendo el quinto eje estratégico: el desarrollo regional y la infraestructura, que busca cerrar las brechas que existen entre Lima y las otras regiones mediante el desarrollo de una infraestructura económica, descentralizada y de uso público (Ceplan, 2011a).
La concentración espacial es uno de los principales problemas del país, primero de Lima frente a las otras regiones y luego entre las otras regiones, este problema se originó principalmente en el siglo pasado debido a los grandes flujos migratorios hacia la costa y particularmente a Lima como capital del país desde las regiones de sierra y selva, principalmente. Es así que Lima concentra el 52,6% del PIB (Figura 11). Además, Lima Metropolitana reúne el 27% de la población 11. La concentración espacial a nivel económico, de servicios, infraestructuras y de población que presenta Lima se ha replicado a las capitales de regiones o departamentos.
Otro de los factores que contribuyeron a la concentración espacial fue que el centro del poder de Perú estaba en Lima, es debido a ellos que se desarrolla la Ley 27783, Ley de Bases de la Descentralización con siete principios generales: permanente, democrática, integral, dinámica, irreversible, subsidiaria y gradual; la descentralización debería propiciar el desarrollo integral a nivel político, económico y administrativo; la descentralización se concibió como una forma de fortalecer las regiones mediante la unión de dos o más departamentos colindantes y con características similares, pero debido a que la clase política no llegó a acuerdos y además la decisión de la población mediante un referéndum de no formar las regiones propuestas se terminó por configurar en las regiones con cada departamento, es decir, por ejemplo, el departamento de Ica pasó a ser la región de Ica, a excepción de Lima que se configuró en dos regiones, Lima Metropolitana y Lima (conformada por el resto de provincias del departamento de Lima).

Para poner en marcha el proceso de descentralización se promulgaron las siguientes leyes: Nueva Ley Orgánica del Poder Ejecutivo, Ley 29158; Ley Orgánica de Gobiernos Regionales y la Ley Orgánica de Municipalidades; Plan Nacional de Desarrollo de Capacidades para la Gestión Pública Descentralizada; como desarrollo de la Ley de Bases de la Descentralización.
El desarrollo del Plan Bicentenario se desarrolla en dos tipos de planes nivel territorial: el plan de desarrollo regional concertado (PDRC), y el plan de desarrollo local concertado (PDLC).
Uno de los principales hándicaps del desarrollo económico del Perú son las infraestructuras, muchas de ellas deficientes en las regiones y por lo general concentradas en Lima. En la mayoría de los rankings que miden las infraestructuras de transporte, comunicaciones y energía, Perú está a la cola de América del Sur (A. Vásquez y L. Bendezú, 2008).
La siguiente figura (12) muestra el Índice de competitividad regional en el Perú, donde además de advertir que Lima es la más competitiva, las regiones de la costa son las que presentan mayor competitividad seguidas de las regiones de la sierra y las que menos las regiones de la selva que se caracterizan por tener infraestructuras deficientes o poco desarrolladas, siendo apenas atractivas para la inversión privada.

Los programas estratégicos que se establecen en el Plan Bicentenario para el desarrollo económico y de infraestructuras se muestran en el Cuadro 5 y un primer balance para el periodo 2012-2017 se muestra en el Cuadro 6:




1 Sistema Eléctrico Interconectado Nacional (SEIN).
Fuente: Dirección Nacional de Seguimiento y Evaluación (DNSE) (Ceplan, 2018)Nota: s.i.: sin información.En OCDE-CEPLAN (2016), indica que el Perú es diverso en su territorio y las dinámicas de crecimiento son diferentes entre las regiones; reafirman que Lima tiene un excesivo dominio regional en comparación a los países que integran la OCDE y que las zonas rurales a pesar de que contribuyen a la economía nacional (actividades principalmente extractivas) no explotan su potencial debido a la falta de planeamiento, a deficientes infraestructuras y falta de inversión. Una de las medidas que debería tenerse en cuenta para una buena planificación sería contar con información y bases de datos actualizados a nivel de las regiones.
En Atienza y Aroca (2012) afirman que las políticas promovidas por los diferentes Gobiernos chilenos no han contribuido a desconcentrar el país muy por el contrario se ha ido concentrando la población y las actividades económicas en torno a la capital del país, Santiago de Chile a lo largo de los años. También, concluyen que la geografía económica de Chile se ha mantenido polarizada y no ha iniciado un proceso de desconcentración acorde con los niveles de desarrollo que tiene el país. Las políticas públicas lejos de reducir la desigualdad existente entre las regiones, han contribuido a aumentarla al priorizar a la Región Metropolitana en detrimento de las otras regiones del país 12.
Chile, como país miembro de la Organización de las Naciones Unidas (ONU), suscribió el compromiso de implementar la Agenda 2030 en sus planes de desarrollo, previamente el país ha pasado por la experiencia de los ODM 13 (2000-2015), aunque el resultado en cuanto a cumplimiento de los objetivos trazados fue positivo, Chile tiene todavía pendiente el desafío de las desigualdades y en especial las territoriales 14 que hace que el potencial y talento que se encuentra en las regiones no sea aprovechado para el crecimiento del país.
Para la implementación de la Agenda 2030 en Chile se creó el Consejo Nacional para la Implementación de la Agenda 2030 de Desarrollo Sostenible conformado por cuatro ministerios, a diferencia de otros países donde es, por lo general, una secretaria, dependiente de un ministerio, quien administra y coordina la planificación del plan nacional. Además, del Consejo Nacional se constituyó la Red Gubernamental ODS integrada por representantes de cada uno de los ministerios del país. Chile ha considerado incluir los ODS en cuatro grandes desafíos: 1) alcanzar un desarrollo económico y social sostenible e inclusivo; 2) disminuir la pobreza y la desigualdad; hacer frente al cambio climático, resguardando la diversidad biológica y de los recursos naturales, y promoviendo la innovación, y 4) fortalecer las instituciones y la democracia.
El gobierno chileno en el Plan de implementación de la Agenda 2030 considera como uno de los ejes principales la reducción de la pobreza y la desigualdad (en sus diferentes dimensiones: social, económico, medioambiental, por grupos de población y áreas geográficas) y para ello se estableció tres reformas importantes:
— Reforma Educacional: garantizar el acceso a una educación que sea inclusiva, gratuita y de calidad sin importar su origen o nivel socioeconómico.
— Reforma Tributaria: recaudar el 3% del PIB para poder financiar la Reforma educacional y fortalecer el Sistema de Protección Social.
— Reforma Laboral: fortaleció los derechos de los trabajadores.
Para llevar a cabo el cumplimiento de los desafíos del eje de reducción de pobreza y la desigualdad se han actualizado los elementos para generar estadísticas de pobreza más fiables y se ha añadido un nuevo indicador que mide la pobreza multidimensional 15.

En la Figura 13, se aprecia que existe una gran brecha entre la pobreza (por ingresos o multidimensional) que existe en las zonas urbanas frente a las zonas rurales.
Las regiones de mayor pobreza multidimensional son La Araucania (29,29) y Atacama (26,3) mientras que La Araucania (23,6) sigue siendo la primera también en pobreza por ingresos, la región de Atacama ( 6,9) está por debajo de la media chilena.
Se han establecido programas sociales que permitan proveer a personas con pobreza por ingreso: el Subsidio Único Familiar; la Pensión Básica Solidaria (de vejez e invalidez), el Seguro de Cesantía, subsidio empleo de la mujer, subsidio empleo joven, subsidio al pago de consumo de agua potable, las prestaciones del Subsistema de Seguridades y Oportunidades; el Fondo de Solidaridad e Inversión Social (FOSIS).


Como se señaló al inicio del artículo, su objetivo principal ha sido presentar una visión de conjunto de los problemas relacionados con las desigualdades regionales que siguen vigentes en América Latina, mostrar sus principales rasgos y, tomando como ejemplo algunos países significativos, exponer las orientaciones de las políticas que se han instrumentado en los últimos años. El valor añadido del trabajo no solo radica, quizá, en su contenido, sino en la amplia revisión de documentos, informes e investigaciones publicadas en los últimos años que se han llevado a cabo.
Como ya se ha indicado, sería muy injusto no reconocer los avances en el desarrollo económico y social que han tenido lugar en la mayor parte de los países de América Latina en las tres últimas décadas. Los datos muestran con claridad este hecho, aunque dichos avances no han sido muy importantes en algunos ámbitos más concretos. Uno de los frentes que sigue abierto es, sin duda, el de las desigualdades territoriales «dentro» de cada país. Las diferencias extremas entre regiones —provincias o estados— son en no pocos casos, cuatro, cinco y hasta ocho veces entre las que tienen un nivel de PIBpc más elevado y las que lo tienen más bajo. Además, en bastantes casos, las distancias apenas se han reducido entre 1970 y 2018.
Este hecho está vinculado a la fuerte concentración que muestran bastantes países en términos de población y de producción. Con datos de 2015, en Argentina, la ciudad y la provincia de Buenos Aires concentra más del 55% de la producción del país; en Perú, la capital y su provincia suponen el 51% del total del país; en Chile, el 46% corresponde a la Capital y su provincia; en Brasil, el estado de São Paulo produce el 32,2% del total nacional; en Colombia, Bogotá y Cundinamarca proporciona el 30,8%; y en México, el Distrito Federal y el Estado de México suman el 26,2% de toda la producción mexicana.
Como se ha expuesto en un apartado anterior, la concentración de la población alcanza igualmente cifras extraordinariamente elevadas, si las comparamos con lo que ocurre en otras latitudes. Y las disparidades en términos no solo de ingresos sino de otras variables, como pretende recoger el IDR que calcula CEPAL en sus dos últimos informes sobre las desigualdades territoriales, refrendan una situación que si bien ha preocupado a todos los gobiernos y han tratado de impulsar acciones y planes para reducir las disparidades entre las unidades sub-nacionales, los resultados no han sido excesivamente positivos, aunque cabe anotar diferencias en términos comparativos.
En el ámbito de las políticas regionales, los gobiernos han estado generalmente más atentos a realizar actuaciones con un impacto político inmediato que a poner en práctica programas de largo alcance temporal y con continuidad. Las cuestiones relacionadas con la reducción de la pobreza, la mejora de las condiciones sanitarias y los subsidios a las familias con bajos ingresos han figurado en todos los programas de gobierno. Pero, evidentemente, este tipo de actuaciones —donde sí se han podido percibir resultados a nivel de las familias con ingresos más reducidos— no son las que exige instrumentar actuaciones que permitan un desarrollo a largo plazo y de carácter sostenido de las regiones, provincias o estados con una media de ingresos más bajos.
A lo anterior se ha sumado un hecho que no cabe ignorar. En algunos países de América Latina la continuidad de los gobiernos ha sido, en los últimos tiempos, bastante reducida en términos temporales. Lo cual ha determinado que cada cambio de gobierno supusiera un nuevo enfoque de algunas de las políticas de desarrollo regional que habían sido propuestas con anterioridad. Es un tema digno de estudio relacionar los cambios en los programas orientados al desarrollo de los territorios más atrasados con los cambios de gobierno habidos en cada país. Si algo puede afirmarse a partir de la experiencia internacional es que las políticas de desarrollo regional son siempre políticas a «largo plazo». Sus resultados no pueden verse a corto o medio plazo y su principal enemigo es, precisamente, la falta de continuidad y su posible sujeción a los cambios de los partidos y coaliciones gobernantes que suelen producirse.
Los cuatro ejemplos que figuran en el apartado 4 de este trabajo permiten constatar que, con frecuencia, las políticas de tipo social o contra la pobreza se confunden con las políticas de desarrollo regional. Las primeras pueden ofrecer algunos resulta- dos a corto plazo, pero sus destinatarios son los individuos o familias. Sin embargo, las políticas de desarrollo regional apuntan y deben apuntar a crear las bases para un desarrollo de las regiones más desfavorecidas a largo plazo. Sus resultados no serán fácilmente observables en un periodo de cuatro o cinco años, aunque puedan producirse avances, sino a más largo plazo y... además, siempre que tengan continuidad y siempre que las medidas se cuantifiquen, se asignen los fondos previstos y se evalúen más tarde los logros y no-logros que se hayan producido, con objeto de reforzar las acciones iniciadas o de reajustarlas —que no es sustituirlas por otras— para lograr unos objetivos a largo plazo que permitan reducir, efectivamente, las desigualdades territoriales que existen dentro de cada país.
*: La autora agradece la ayuda y los comentarios recibidos de algunos investigadores y revisores, que han permitido enriquecer y mejorar el primer borrador de este trabajo. Un especial agradecimiento al profesor J. R. Cuadrado Roura por su ayuda y sugerencias.












Nota: los límites y los nombres que figuran en este mapa no implican su apoyo o aceptación oficial por las Naciones Unidas.
Fuente: CEPAL, 2017a.











1 Sistema Eléctrico Interconectado Nacional (SEIN).
Fuente: Dirección Nacional de Seguimiento y Evaluación (DNSE) (Ceplan, 2018)Nota: s.i.: sin información.

